Comparison of various models of supercooled water loss factor with experimental data at microwaves
- Authors: Bordonskiy G.S.1, Orlov A.O.1
-
Affiliations:
- Institute of Natural Resources, Ecology and Cryology, Siberian Branch of the Russian Academy of Sciences
- Issue: No 3 (2019)
- Pages: 104-112
- Section: ФИЗИЧЕСКИЕ ОСНОВЫ ИССЛЕДОВАНИЯ ЗЕМЛИ ИЗ КОСМОСА
- URL: https://journals.eco-vector.com/0205-9614/article/view/14274
- DOI: https://doi.org/10.31857/S0205-961420193104-112
- ID: 14274
Cite item
Full Text
Abstract
An improved formula for the supercooled water loss factor at frequencies 10…180 GHz in the temperature range 0 ... –70 °C is presented. The formula based on the experimental data obtained by the authors on measurements of attenuation in the pore water of silicate materials. The formula contains two terms connected the Debye dependence of the loss factor on frequency and temperature, and non-Debye, determined by the influence of the second critical point of water. Comparison of the proposed formula and the model formulas of other authors is carried out. A significant discrepancy between the calculation results (at several times) of the loss factor at frequencies above 100 GHz and temperatures below –30 °C has been founded. The model based on the measurements provides the most adequate representation of the behavior of the loss factor with an error of ~ 30% in the area of deep supercooling of water and in the upper part of the studied frequency band.
Full Text
ВВЕДЕНИЕ
Знание диэлектрических характеристик переохлажденной воды в микроволновом диапазоне представляет интерес для дистанционного зондирования полярных и субполярных регионов, где возможно глубокое переохлаждение микрокапельной влаги и воды в порах растительных покровов, почвогрунтов и снежно−ледяных покровов. Особый интерес представляет изучение структуры и динамики облачных образований в тропосфере, стратосфере и мезосфере, содержащих жидкую воду, для решения задач переноса излучения в атмосфере при аэрокосмических дистанционных измерениях. Диэлектрическая проницаемость воды в микроволновом диапазоне при температурах выше 0 °C достаточно хорошо исследована (Садовский и др., 2014). Вместе с тем для случая переохлажденной воды, измерения были выполнены для температур не ниже − 20 °C (Bertolini et al., 1982; Башаринов, Кутуза, 1968; Башаринов, Кутуза, 1974).
В недавних работах (Бордонский и др., 2017; Бордонский и др., 2019) были впервые представлены результаты экспериментального определения фактора потерь ( ) переохлажденной метастабильной воды в интервале частот () 11…140 ГГц и температур (T) 0… − 70 °C. Для достижения глубокого переохлаждения воды в (Бордонский и др., 2017; Бордонский и др., 2019) были использованы пористые силикатные материалы с порами нанометровых размеров. В них незамерзшая вода из−за влияния поверхностной энергии находится в равновесном состоянии. При этом удаленные от поверхности пор области жидкости, могут иметь структуру, соответствующую объемной (метастабильной) воде (Castrillon et al., 2011). Особенность силикатных материалов, согласно выполненным структурным исследованиям, заключается в том, что для них только первый слой молекул воды (прочносвязанная вода) имеет отличную структуру от объемной воды, остальные слои соответствуют объемной воде (Castrillon et al., 2011; Limmer, Chandler, 2012; Меньшиков и др., 2017). Данная особенность позволила определить микроволновый фактор потерь, соответствующий переохлажденной (метастабильной) воде, по измерениям характеристик поровой воды.
При определении в (Бордонский и др., 2017; Бордонский и др., 2019) из измеренных значений коэффициента затухания по мощности ( ) использовали при вычислениях данные о действительной части относительной диэлектрической проницаемости ( ) из упрощенной модели работы (Meissner, Wentz, 2004). Можно было бы использовать формулы для ряда работ (Ellison, 2007; Rosenkranz, 2015; Turner et al., 2016), однако результаты этих исследований еще экспериментально не проверялись ниже 40 °C. Отсюда следует, что они не позволяют принципиально увеличить точность определения значений для по сравнению с использованием формулы для работы (Meissner, Wentz, 2004).
Цель настоящей работы заключалась в выполнении сравнения полученных экспериментальных результатов с аналитическими выражениями, представленными ранее для другими исследователями; в уточнении математических выражений на основе новых измерений в высокочастотной части исследуемого диапазона частот до 180 ГГц, а также формулировании задач для дальнейшего изучения микроволновых параметров глубоко переохлажденной воды.
АППРОКСИМАЦИЯ ФАКТОРА ПОТЕРЬ НА ОСНОВЕ ЭКСПЕРИМЕНТАЛЬНЫХ ДАННЫХ
В работах (Бордонский и др., 2017; Бордонский и др., 2019) фактор потерь был найден из измерения коэффициента затухания поровой воды по мощности с использованием рефракционной модели, из которой следует, что, , где , коэффициенты затухания воды и твердой матрицы, соответственно; , относительные эффективные толщины их слоев.
Кроме того, была использована априорная информация о значениях и при 0 °C, а также о полном замерзании воды в порах при − 90 °C. Для удобства практического использования формул для фактора потерь с учетом новых экспериментальных данных в широком интервале температур, от положительных до отрицательных ее значений, был представлен в виде суммы:
, (1)
где взят из работы (Meissner, Wentz, 2004) для температур выше − 45 °C. В данной формуле соответствует значениям ( ), здесь значения фактора потерь, найденные из измерений при отрицательных температурах. характеризует поправку к расчетным значениям для температур ниже − 20… − 30 °C (для них до настоящего времени отсутствовали экспериментальные данные).
Особенность заключается в том, что на основании некоторых физических соображений, определяемых существованием сингулярности при °C фактор потерь . При этом в (Meissner, Wentz, 2004) формулы для ниже − 45 °C не определены, поэтому в (1) для целей сравнения необходимо было принять при °C (это очевидное условие было использовано в (Бордонский и др., 2017) неявным образом).
При представлении в виде (1) и нахождении аналитической зависимости было установлено, что эта величина хорошо аппроксимируется двумя гауссовскими функциями с экстремумами при °C и , находящейся в интервале температур − 50… − 60 °C. Найденная разность экспериментальных значений и имеет аналитический вид (Бордонский и др., 2017):
(2)
где T в градусах Цельсия.
Из найденной математической зависимости был сделан вывод о существовании для воды в порах двух, дополнительных к дебаевскому, механизмов электромагнитных потерь. Этот вывод был аналитически представлен в виде: . Для экстремум находится при − 45 °C. Его связали с усилением флуктуаций энтропии и плотности объемной воды на линии Видома (Widom, 1963). Эти флуктуации определяются влиянием, обнаруженной при компьютерном моделировании, второй критической точки воды (Anisimov, 2012). В области температур − 50… − 60 °C, где наблюдали второй экстремум, слагаемое связали с замерзанием воды в порах и образованием особой кристаллической модификации льда сегнетоэлектрического льда 0 (Quigley et al., 2014; Russo et al., 2014; Бордонский, Орлов, 2017). Образование такой модификации льда возможно только при температурах ниже 23 °C. Его появление может привести к росту проводимости среды на 56 порядков в тонком граничном слое на контакте двух диэлектриков с большой разностью статической диэлектрической проницаемости ( ) (Korobeynikov et al., 2005). Слагаемое , таким образом, определяется особенностями поверхности раздела между жидкостью и материалом пор. Этот эффект приводит к возрастанию микроволновых потерь из−за роста удельной проводимости дисперсной среды, особенно при большой удельной поверхности пор. Для случая жидких капель воды нанометровых размеров на их поверхности также можно ожидать возрастания проводимости. Однако такой случай для глубокого переохлаждения не реализуем из−за быстрой кристаллизации капель воды даже для нанометровых размеров.
Для описания зависимости от частоты были определены параметры ( , ) в (2) в виде формул (3). Причем в них представлены скорректированные значения параметров, по сравнению с данными работы (Бордонский и др., 2017), на основании новых экспериментов в области частот 100…180 ГГц.
(3)
где в гигагерцах.
СРАВНЕНИЕ РАЗЛИЧНЫХ МОДЕЛЕЙ ФАКТОРА ПОТЕРЬ
Модели, представленные в (Meissner, Wentz, 2004; Ellison, 2007; Rosenkranz, 2015; Turner et al., 2016), основаны на модели Дебая с одной или несколькими частотами релаксации ( ). В работе (Meissner, Wentz, 2004) было использовано гипотетическое представление для комплексной диэлектрической проницаемости , основанное на сингулярности при температуре 45 °C, для которого предполагали стремление частоты релаксации к нулевому значению, откуда следовало, что при этой температуре. В отличие от работы (Meissner, Wentz, 2004), в других моделях, где также теоретически пытались определить параметры глубоко переохлажденной воды, значения принимались в виде конечных и плавных ее изменений в зависимости от (Ellison, 2007; Rosenkranz, 2015; Turner et al., 2016). В нашей модели (Бордонский и др., 2017; Бордонский и др., 2019), основанной на экспериментальных данных, вводится дополнительное поглощение, определяемое недебаевским механизмом при температурах ниже − 30 °C. Используя формулы из этих работ, мы провели сравнение результатов по определению . В качестве примера выполнены расчеты по результатам работ (Meissner, Wentz, 2004; Turner et al., 2016) и по формулам (1), (2). Для формулы (2), основанной на эксперименте, использовали добавку как в виде суммы двух функций и , так и только в виде . , как отмечено выше, определяется влиянием второй критической точки воды, а замерзанием части воды при глубоком охлаждении увлажненной среды с образованием льда 0, который взаимодействует с материалом поровой матрицы.
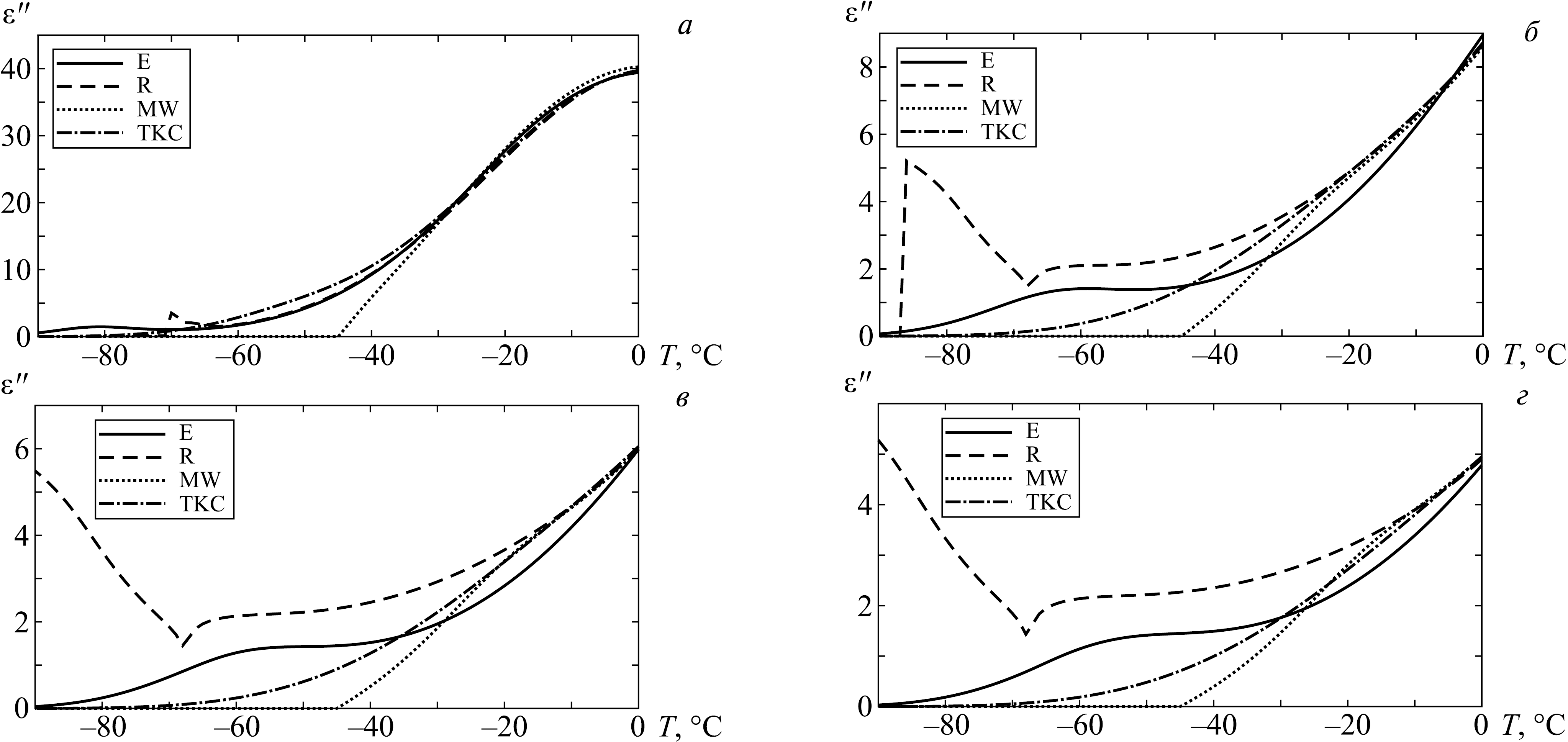
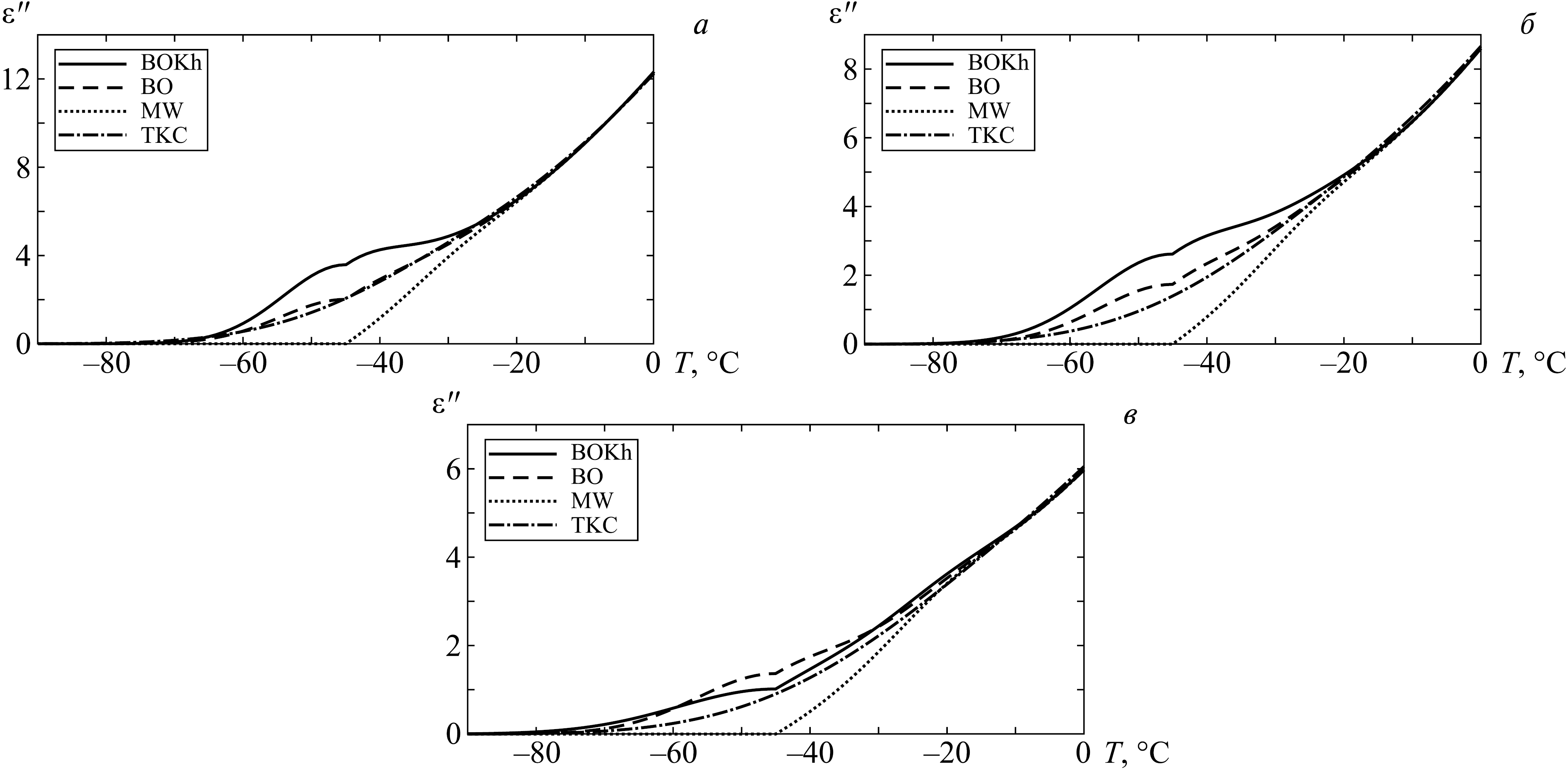
На рис. 1а, б приведены значения для частот 10 и 120 ГГц. Зависимости фактора потерь от частоты при фиксированной температуре представлены на рис. 2. Обозначения графиков: BO настоящая работа; MW (Meissner, Wentz, 2004); TKC (Turner et al., 2016); BOKh (Бордонский и др., 2017); E (Ellison, 2007); R (Rosenkranz, 2015).
Поскольку в (Бордонский и др., 2017; Бордонский и др., 2019) связывается с механизмом потерь, определяемым взаимодействием с поверхностью порового пространства, то для исключения этого механизма для случая чисто объемной воды можно выполнить сравнение моделей только с использованием . На рис. 3 представлены результаты по нашей модели без учета и данные из других моделей для частот 60 ГГц; 90 ГГц и 140 ГГц.
Графики в зависимости от температуры для различных, ранее опубликованных моделей, из работ приведены на рис. 4. Они практически совпадают на низких частотах при охлаждении до − 30 °C и имеют существенные различия в высокочастотной области исследуемого диапазона частот, особенно ниже температуры − 20 °C.
Рис. 1. а — зависимости фактора потерь переохлажденной воды от температуры на частоте 10 ГГц для трех моделей: обозначения на графиках в тексте статьи, б — то же для частоты 120 ГГц..
Рис. 2. а — зависимости фактора потерь переохлажденной воды от частоты при температуре –20 °C для трех моделей: обозначения на графиках в тексте статьи; б — то же для температуры –40 °C; в — то же для температуры –60 °C.
Рис. 3. а — зависимости фактора потерь переохлажденной воды от температуры на частоте 60 ГГц для четырех моделей; б — то же для частоты 90 ГГц; в — то же для частоты 140 ГГц.
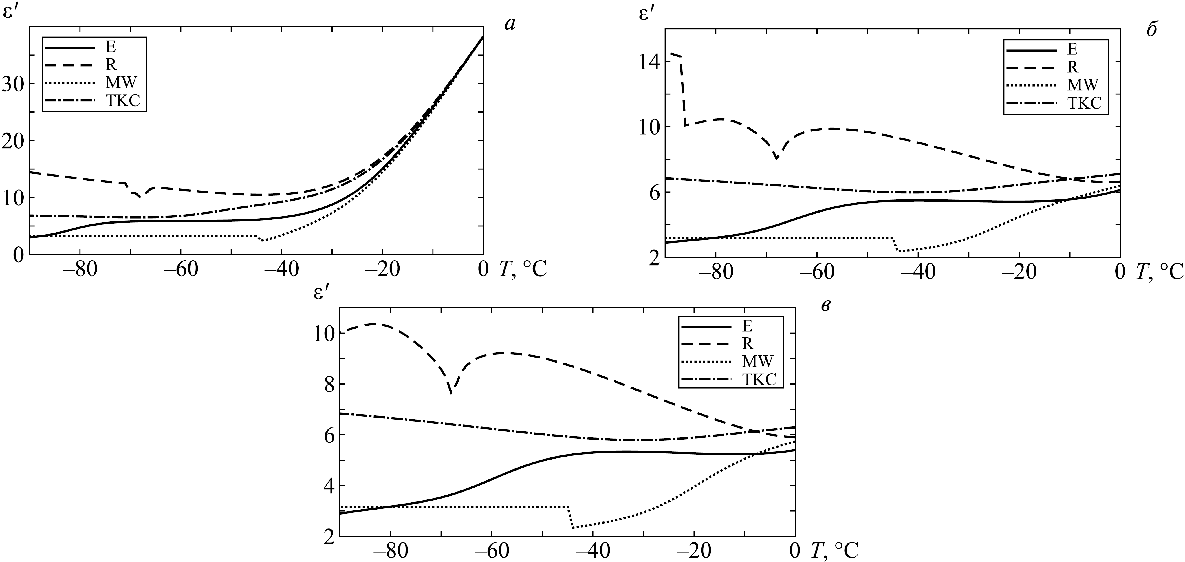
На рис. 5 приведены также значения для различных моделей. Для результатов (Meissner, Wentz, 2004) ниже − 45 °C использовали значение 3.16, соответствующее льду, так как по формулам цитируемой работы в данной области температур частота релаксации не определена, но она близка к нулю. Значение для этой модели при °C стремится к значениям близким к 3, с некоторым различием в зависимости от частоты.
ОБСУЖДЕНИЕ РЕЗУЛЬТАТОВ
Как показывает сравнение значений , имеет место практически полное совпадение результатов настоящей работы и работы (Turner et al., 2016) для частот от 10 до 60 ГГц. Однако, использованные в (Бордонский и др., 2017) и настоящей работе значения из (Meissner, Wentz, 2004), существенно ниже, чем представленные в (Turner et al., 2016). Поэтому, если подставить и для нахождения в формулу:
, (4)
то для модели (Turner et al., 2016) будут получены более низкие значения коэффициента затухания по сравнению с моделью (Бордонский и др., 2017).
Рис. 4. Зависимости фактора потерь от температуры для четырех различных моделей: а — частота 11 ГГц; б — частота 90 ГГц; в — частота 140 ГГц; г — частота 180 ГГц.
Рис. 5. а — Значения действительной части относительной диэлектрической проницаемости для различных моделей переохлажденной воды на частоте 11 ГГц; б — на частоте 90 ГГц; в — на частоте 140 ГГц. Для модели (Meissner, Wentz, 2004) при °C использовано значение 3.16.
Следует отметить, что вода в свободном состоянии (объемная вода) при охлаждении может существовать только до температуры гомогенной нуклеации − 41 °C (Franzese, Stanley, 2007). Вместе с тем, в недавних экспериментах удалось получить воду ниже этого значения. Кратковременно, в течение нескольких миллисекунд, капли микронных размеров не замерзали в вакуумной камере до − 46 °C (Sellberg et al., 2014). Данное достижение показывает возможность существования глубоко переохлажденной объемной воды ниже ранее определенного значения температуры гомогенной нуклеации при некоторых особых условиях (возможно в верхних слоях тропосферы и в стратосфере Земли). Но в обычных условиях вода, близкая по свойствам к объемной, может существовать при …− 41 °C только в поровом пространстве твердых частиц с наноразмерными порами или в наноэмульсиях. В этом случае при микроволновых измерениях в переходной области необходимо учитывать дополнительный механизм потерь, связанный с фазовым переходом воды в лед с образованием недавно открытой модификации − льда 0. Его образование может происходить при температурах ниже − 23 °C. При этом ранее использованная методика в работе (Bertolini et al., 1982) для определения комплексной диэлектрической проницаемости ( ) может дать повышенную погрешность измерений, если переохладить капли воды в микроэмульсии ниже − 23 °C (в цитируемой работе охлаждали микроэмульсию воды до 18 °C). Такой механизм потерь должен иметь место в увлажненных пористых аэрозольных частицах, в мелкодисперсных средах (почвах, грунтах), растительных покровах и биологических тканях при замерзании глубоко переохлажденной воды. Например, явные признаки образования льда 0 были обнаружены в древесине веток сосны в (Бордонский и др., 2018) при микроволновых исследованиях.
Неточность знания приводит к ошибкам в восстановлении при использовании формулы для связи между , и . Были выполнены оценки ошибок восстановления при двукратном изменении в интервале от 3 до 6 на частотах от 15 ГГц до 120 ГГц и температурном диапазоне от − 30 °C до − 50 °C. Установлено, что минимальное вычисленное значение относительной погрешности фактора потерь составляет 18% на 15 ГГц при − 30 °C. На этой же частоте погрешность достигала 27% при − 50 °C. При повышении частоты до 120 ГГц относительная погрешность, при использованном интервале изменений в знании , монотонно возрастала и составила 30% при − 30 °C и 36% при − 50 °C. Предполагается, что возможное отклонение от использованных значений не столь велики и ошибки определения по этой причине должны быть в 23 раза меньше, по сравнению с представленными выше их оценками.
Погрешность относительных измерений в (Бордонский и др., 2017) оценивалась в 20%. С учетом возможной ошибки знания суммарная погрешность определения достигает ~30%. Для температур ниже − 50 °C из−за перехода части жидкой воды в лед погрешность определения фактора потерь должна линейно возрастать при приближении к − 90 °C. Для этой области температур требуется разработка специальных методов получения переохлажденной воды. В настоящее время такие методы отсутствуют.
ВЫВОДЫ
Выполненное сравнение для фактора потерь по формулам различных моделей в области переохлаждения воды на частотах 10…180 ГГц показало следующее.
1. Сравнение модели фактора потерь (Turner et al., 2016) с уточненной моделью (Бордонский и др., 2017) показало хорошее совпадение величины в области 10…60 ГГц при температурах 0… − 70 °C. На более высоких частотах (90…180 ГГц) имеет место расхождение результатов определения при температурах ниже − 30 °C с максимальным различием значений при − 50 °C. При этой температуре имеет место приблизительно двукратное превышение для модели (Бордонский и др., 2017) по сравнению с результатами из (Turner et al., 2016).
2. Действительная часть диэлектрической проницаемости переохлажденной воды для известных моделей имеет значительное расхождение в области температур ниже − 20 °C, что увеличивает ошибку определения из измерений при использовании имеющихся данных для . Однако низкая чувствительность при ее расчете к значениям позволяет определить фактор потерь в области глубокого переохлаждения, до − 50 °C, с точностью около 30% при охлаждении воды с использованием нанопористых силикатов. Для повышения точности требуется выполнить измерения переохлажденной объемной воды, что является самостоятельной задачей.
3. На графиках воды по результатам уточнений работы (Бордонский и др., 2017) имеется область немонотонных изменений величины вблизи − 45 °C. Это связано с тем, что при вычислениях использованы результаты работы (Meissner, Wentz, 2004), для которых на этих зависимостях имеет место резкий перегиб значений величины. Для уточнения поведения вблизи − 45 °C требуются специальные исследования и с высокой точностью задания температуры в объеме образцов.
4. Предложенные в работе (Бордонский и др., 2017) два дополнительных недебаевских механизма потерь в поровой воде силикатных материалов объясняют поведение микроволнового фактора потерь переохлажденной поровой воды в зависимости от температуры. Один механизм потерь связан с аномальными свойствами переохлажденной объемной воды при температуре − 45 °C. Он объясняется влиянием второй критической точки воды, из которой на фазовой диаграмме «температурадавление» исходит линия повышенных флуктуаций температуры и плотности линия Видома. Температура − 45 °C при давлении 0.1 МПа соответствует этой линии. Второй механизм связан с взаимодействием замерзшей воды в виде недавно открытого сегнетоэлектрического льда 0 и материала стенок порового пространства. Лед 0 может образовываться только из глубоко переохлажденной воды ниже − 23 °C.
5. Особенности микроволновых параметров переохлажденной воды, существующей как в виде капель, так и находящейся в поровом пространстве, могут представлять интерес при радиозондировании атмосферных аэрозолей, а также растительных и почвенных покровов полярных и субполярных регионов.
About the authors
G. S. Bordonskiy
Institute of Natural Resources, Ecology and Cryology, Siberian Branch of the Russian Academy of Sciences
Author for correspondence.
Email: lgc255@mail.ru
Russian Federation, Chita
A. O. Orlov
Institute of Natural Resources, Ecology and Cryology, Siberian Branch of the Russian Academy of Sciences
Email: lgc255@mail.ru
Russian Federation, Chita
References
- Anisimov M.A. Cold and supercooled water: a novel supercritical-fluid solvent // Russ. J. Phys. Chem. B. 2012. V. 6. № 8. P. 861–867.
- Basharinov A.E., Kutuza B.G. Issledovaniya radioizlucheniya i pogloshcheniya oblachnoi atmosfery v millimetrovom i santimetrovom diapazonakh [Studies of radio emission and absorption of the cloudy atmosphere in the millimeter and centimeter ranges] // Trudy GGO. L.: Gidrometeoizdat, 1968. № 222. Perenos mikrovolnovogo izlucheniya v atmosfere. P. 100–110. (in Russian).
- Basharinov A.E., Kutuza B.G. Opredelenie temperaturnoi zavisimosti vremeni relaksatsii molekul vody v oblakakh i vozmozhnosti otsenki ehffektivnoi temperatury kapel'nykh oblakov po SVCh radiometricheskim izmereniyam [Determination of the temperature dependence of the relaxation time of water molecules in clouds and the possibility of estimating the effective temperature of droplet clouds from microwave radiometric measurements] // Izvestiya vyssh. ucheb. zaved. Radiofizika. 1974. V. 17. № 1. P. 52–57. (in Russian).
- Bordonskii G.S., Gurulev A.A., Orlov A.O., Tsyrenzhapov S.V. Variatsii mikrovolnovykh poter' v vetkakh sosny pri otritsatel'nykh temperaturakh [Variations of microwave losses in pine branches at negative temperatures] // Sovrem. probl. dist. zondir. Zemli iz kosmosa. 2018. V. 15. № 5. P. 103–112. (in Russian).
- Bordonskii G.S., Orlov A.O. Priznaki vozniknoveniya l'da "0" v uvlazhnennykh nanoporistykh sredakh pri ehlektromagnitnykh izmereniyakh [Signs of the appearance of ice "0" in humidified nanoporous media with electromagnetic measurements] // Pis'ma v ZHETF. 2017. V. 105. № 8. P. 483–488. (in Russian).
- Bordonskii G.S., Orlov A.O., Khapin Yu.B. Koehffitsient zatukhaniya i diehlektricheskaya pronitsaemost' pereokhlazhdennoi ob"emnoi vody v intervale temperatur 0… —90 С na chastotakh 11…140 GGts [Attenuation coefficient and dielectric constant of supercooled bulk water in the temperature range 0 … —90 C at frequencies 11 … 140 GHz] // Sovrem. probl. dist. zondir. Zemli iz kosmosa. 2017. V. 14. № 3. P. 255–270. (in Russian).
- Bordonskii G.S., Orlov A.O., Krylov S.D. Izuchenie faktora poter' pereokhlazhdennoi porovoi vody na chastotakh 60…140 GGts [Study of the loss factor of supercooled pore water at frequencies of 60 … 140 GHz] // Radiotekhnika i elektronika. 2019. V. 64. № 4. P. 350–355. (in Russian).
- Bertolini D., Cassettari M., Salvetti G. The dielectric relaxation time of supercooled water // J. Chem. Phys. 1982. V. 76. № 6. P. 3285–3290.
- Castrillon S.R.-V., Giovambattista N., Arsay I.A., Debenedetti P.G. Structure and Energetics of Thin Film Water // J. Phys. Chem. C. 2011. V. 115. P. 4624–4635.
- Ellison W.J. Permittivity of pure water, at standard atmos- pheric pressure, over the frequency range 0–25THz and the temperature range 0–100 C // J. Chem. Phys. Ref. Data. 2007. V. 36. № 1. P. 1–18.
- Franzese G., Stanley H.E. The Widom line of supercooled water // J. Phys.: Condens. Matter. 2007. V. 19. P. 205126/16.
- Korobeynikov S.M., Melekhov A.V., Soloveitchik Yu.G., Royak M.E., Agoris D.P., Pyrgioti E. Surface conductivity at the interface between ceramics and transformer oil // J. Phys. D: Appl. Phys. 2005. V. 38. № 6. P. 915–921.
- Limmer D.T., Chandler D. Phase diagram of supercooled water confined to hydrophilic nanopores // J. Chem. Phys. 2012. V. 137. P. 044509/11.
- Meissner T., Wentz F.J. The complex dielectric constant of pure and sea water from microwave satellite observations // IEEE Trans. Geosci. Rem. Sens. 2004. V. 42. № 9. P. 1836–1849.
- Men'shikov L.I., Men'shikov P.L., Fedichev P.O. Fenomenologicheskaya model' gidrofobnykh i gidrofil'nykh vzaimodeistvii [Phenomenological model of hydrophobic and hydrophilic interactions] // ZHETF. 2017. V. 152. № 6. P. 1374–1392. (in Russian).
- Quigley D., Alfè D., Slater B. Communication: On the stability of ice 0, ice i, and Ih // J. Chem. Phys. 2014. V. 141. № 16. P. 161102–1/5.
- Rosenkranz P.W. A model for the complex dielectric constant of supercooled liquid water at microwave frequencies // IEEE Trans. Geosci. Rem. Sens. 2015. V. 53. № 3. P. 1387–1393.
- Russo J., Romano F., Tanaka H. New metastable form of ice and its role in the homogeneous crystallization of water // Nature Materials. 2014. V. 13. № 7. P. 733–739.
- Sadovskii I.N., Sharkov E.A., Kuz'min A.V., Sazonov D.S., Pashinov E.V. Obzor modelei kompleksnoi diehlektricheskoi pronitsaemosti vodnoi sredY, primenyaemykh v praktike distantsionnogo zondirovaniya [Overview of models of complex dielectric constant of the aquatic environment, used in the practice of remote sensing] // Issled. Zemli iz kosmosa. 2014. № 6. P. 79–92. (in Russian).
- Sellberg J.A., Huang C., McQueen T.A., Loh N.D., Laksmono H., Schlesinger D., Sierra R.G., Nordlund D., Hampton C.Y., Starodub D., DePonte D.P., Beye M., Chen C., Martin A.V., Barty A., Wikfeldt K.T., Weiss T.M., Caronna C., Feldkamp J., Skinner L.B., Seibert M.M., Messerschmidt M., Williams G.J., Boutet S., Pettersson L.G.M., Bogan M.J., Nilsson A. Ultrafast X ray probing of water structure below the homogeneous ice nucleation temperature // Nature. 2014. V. 510. № 7505. P. 381–384.
- Turner D.D., Kneifel S., Cadeddu M.P. An improved liquid water absorption model at microwave frequencies for supercooled water clouds // J. Atmos. Oceanic Technol. 2016. V. 33. P. 33–44.
- Widom B. Some Topics in the Theory of Fluids // J. Chem. Phys. 1963. V. 39. P. 2808–2812.
Supplementary files







