Curvilinear motion control laws for a semi-trailer caterpillar train for off-road cargo transportation
- Authors: Evseev K.B.1
-
Affiliations:
- Bauman Moscow State Technical University
- Issue: Vol 89, No 4 (2022)
- Pages: 263-276
- Section: Theory, designing, testing
- Submitted: 18.10.2022
- Accepted: 20.10.2022
- Published: 27.01.2023
- URL: https://journals.eco-vector.com/0321-4443/article/view/111978
- DOI: https://doi.org/10.17816/0321-4443-111978
- ID: 111978
Cite item
Abstract
BACKGROUND: For transport accessibility in areas with an undeveloped road network, the use of tracked trains that provide low ground pressure is a rational solution. To ensure the mobility of a semi-trailed, unmanned caterpillar train, which can be controlled remotely by a driver-operator or by an automatic unmanned driving system, traffic control laws are needed.
AIMS: Ensuring energy efficiency in curve control of a unmanned semi-trailer tracked train for off-road freight transport.
METHODS: The methods of simulation mathematical modelling and analytical methods based on the consideration of the quasi-stationary motion of the caterpillar train links are used to derive energy-efficient control laws and determine the mobility performance that can be achieved.
RESULTS: Control laws are obtained for two variants of tracked trains: a tracked train with independent drive control of driving wheels and a tracked train with a differential drive scheme of a semi-trailer link. The control laws are designed to improve the energy efficiency of travel which is achieved by rational distribution of traction forces on the driving wheels of the tracked train and use of the regulator which ensures adjustment of the traction on the semi-trailer driving wheels accord-ing to the sign and magnitude of force in the fifth-wheel coupling of the tractor.
A block diagram of a governing system of a caterpillar train and a mathematical description of its basic structural components (blocks) are given. Using the developed control laws the theoretical research of curvilinear movement by simulation mathematical modelling is carried out; the comparative analysis of the considered control laws of the semitrailer caterpillar train movement with two transmission variants is given.
CONCLUSIONS: The application of the developed caterpillar train motion control laws will enable the vehicle to move unmanned or follow the lead vehicle along a set path with high accuracy of turning manoeuvres and, consequently, will improve the safety of freight transportation.
Full Text
ВВЕДЕНИЕ
Для обеспечения транспортной доступности регионов с неразвитой дорожной сетью при перевозке грузов распространение в США, Канаде и СССР [1–3] получили гусеничные поезда (ГП). Объектом исследования в работе являются безэкипажные ГП, применяемые для грузовых перевозок. В этом случае управление движением ГП является нетривиальной задачей и требует использования систем управления движением в дистанционном или автономном исполнениях.
Основной задачей вождения безэкипажных гусеничных поездов является обеспечение энергоэффективного и безопасного движения по заданной траектории с минимальными отклонениями по курсовому углу и положению. Траектория может задаваться ведущей машиной-лидером [4–6], либо быть синтезирована исходя из расположения конечной точки маршрута и препятствий, обнаруженных посредством технического зрения [7].
Для точного позиционирования ГП относительно желаемой траектории и/или ее построения могут применяться спутниковые системы навигации. Для решения задачи обеспечения беспилотного движения машины по заданной траектории возможно применять системы дифференциальной коррекции, использующие для повышения точности спутникового позиционирования данные с геостационарных источников (базовых станций), опорные координаты которых известны с высокой точностью. В этом случае положение машины относительно траектории движения может быть определено с точностью до 0,05–0,1 м [8].
На основании получаемых таким образом данных при следовании транспортного средства по заданной траектории анализируют отклонения, исходя из этого определяют управляющее воздействие для системы управления движением ТС [9]. В работе [10] получен закон управления двухшарнирным ГП, однако законы управления движением ГП, выполненных по седельной одношарнирной схеме (рис. 1), существенно отличаются.
Рис. 1. Конструктивно-компоновочная схема беспилотного гусеничного поезда, выполненного по седельной одношарнирной схеме полной массой 106 тонн.
ЦЕЛЬ ИССЛЕДОВАНИЯ
Обеспечение энергоэффективности управления криволинейным движением безэкипажного полуприцепного гусеничного поезда для внедорожных грузовых перевозок.
МАТЕРИАЛЫ И МЕТОДЫ
Для получения энергоэффективных законов управления и определения достигаемых показателей подвижности используются методы имитационного математического моделирования и аналитические методы, основанные на рассмотрении квазистационарного движения звеньев ГП.
Распределение сил тяги на гусеницах ГП в повороте
Рассмотрим расчетную схему, представленную на рис. 2. Для обеспечения складывания звеньев в горизонтальной плоскости необходимо, чтобы , т. е.
(1)
где – скорость изменения угла между звеньями; – угловая скорость поворота тягача вокруг вертикальной оси; – угловая скорость поворота прицепа вокруг вертикальной оси.
Рис. 2. Схема поворота двухзвенного ГП.
Таким образом, для обеспечения складывания звеньев, как показано на рис. 2, необходимо, чтобы угловая скорость поворота тягача была больше угловой скорости поворота полуприцепа.
Для точного следования траектории переменной кривизны вторая производная по времени угла складывания звеньев будет максимальной по абсолютной величине при
, (2)
а т. к. при складывании звеньев, то для выполнения условия (2) необходимо, чтобы
(3)
Таким образом, чтобы обеспечить движение звеньев ГП по траектории переменной кривизны с максимальной точностью следования необходимо, чтобы угловые ускорения звеньев и были направлены в противоположные стороны. Это может быть реализовано путем создания поворачивающих моментов звеньев, направленных в противоположные стороны, что в свою очередь достигается созданием одинаково направленных движущих сил на гусеницах тягача и прицепа разноименных бортов («крест-накрест»).
Для определения соотношения тяговых сил на гусеницах звеньев ГП рассмотрим схему поворота ГП при и с разными массогабаритными параметрами звеньев, приведенную на рис. 3.
Рис. 3. Схема поворота двухзвенного ГП с разными массогабаритными параметрами звеньев.
Допустим, что центры тяжести звеньев расположены по центру гусеничных тележек, движение происходит с малыми скоростями по ровной горизонтальной площадке без учета смещения центров давлений гусениц. Равнодействующие боковых реакций опорной поверхности равны нулю. Тогда, составляя уравнения равновесия системы, получим:
(4)
где и – силы тяги на забегающих гусеницах тягача и прицепа; и – силы торможения на отстающих гусеницах тягача и прицепа; – вес тягача и прицепа; – коэффициент сопротивления движению; , – моменты сопротивления повороту тягача и прицепа; – колея.
Обозначая и и решая уравнения (4), получим:
(5)
Таким образом, при движении ГП по траектории переменной кривизны поворачивающие моменты тягача и прицепа должны быть направлены в противоположные стороны, а их отношение должно быть пропорционально отношению веса тягача к весу прицепа. Указанный подход к распределению поворачивающих моментов (сил тяги) по гусеницам («крест-накрест») будем учитывать при формировании законов управления поворотом полуприцепного ГП.
Закон управления поворотом полуприцепного ГП с независимым приводом ведущих колес полуприцепного звена
Для обеспечения точности следования траектории переменной кривизны с учетом полученного соотношения (3) силы на гусеницах тягача и полуприцепа должны распределяться «крест-накрест». Однако в случае движения по траектории постоянной кривизны полуприцеп будет препятствовать установившемуся движению ГП из-за большой разницы в весах тягача и полуприцепа, что особенно будет проявляться при больших углах складывания ГП. Поэтому предлагается в законе управления поворотом предусмотреть два режима: управление «крест-накрест» и управление в установившемся повороте.
Рассмотрим расчетную схему установившегося поворота ГП, представленную на рис. 4. Теоретическая кривизна траектории может определяться углом . При этом управление тягой полуприцепного звена не должно препятствовать повороту ГП, равно как и приводить к чрезмерному «складыванию» при малых радиусах поворота.
Рис. 4. Схема поворота полуприцепного ГП.
Для рассматриваемого полуприцепного ГП (рис. 1) радиус поворота тягача значительно превосходит по величине расстояние от полюса поворота тягача до центра шарнира седельно-сцепного устройства , поэтому при формировании закона управления поворотом ГП примем, что шарнир седельно-сцепного устройства совпадает с полюсом поворота тягача (), тогда выражение для требуемого угла поворота тягача в зависимости от кривизны его траектории будет иметь следующий вид:
(6)
Управление поворотом тягача осуществляется аналогично управлению поворотом одиночной гусеничной машины [11].
При управлении тягой полуприцепа предлагается поддерживать скорости перематывания гусениц такими, чтобы соответствовать теоретическим скоростям центров опорных ветвей гусениц в повороте, поскольку движение происходит с постоянной кривизной . Вычисление необходимой для этого теоретической угловой скорости полуприцепа производится по теоретической скорости тягача и текущему углу складывания ГП .
(7)
где и – скорости перематывания забегающей и отстающей гусениц тягача соответственно.
Для обеспечения теоретической угловой скорости вращения полуприцепа скорости перематывания забегающей и отстающей гусениц полуприцепа должны составлять
(8)
Управляющие воздействия и , формирующие силы тяги/торможения на гусеницах полуприцепного звена, поддерживаются ПИД регулятором системы управления по разнице текущей и заданной скоростей перематывания гусениц:
(9)
где и – текущие скорости перематывания забегающей и отстающей гусениц полуприцепа; и – управляющие воздействия регуляторов забегающего и отстающего борта.
Система управления тягой полуприцепа должна предусматривать переход от управления в установившемся режиме движения к режиму изменения кривизны траектории «крест-накрест». Переход от одного режима управления к другому осуществляется в зависимости от разницы требуемого угла складывания и текущего угла складывания . При большой разнице углов, т. е. при отклонении текущего угла складывания от требуемого угла складывания преобладает режим движения с распределением сил на гусеницах «крест-накрест», а при незначительном отклонении преобладают управляющие воздействия, формирующие силы тяги/торможения на гусеницах полуприцепного звена, в соответствии с формулой (9).
Структурная схема системы управления поворотом полуприцепа с учетом двух режимов движения представлена на рис. 5.
Рис. 5. Структурная схема системы управления тягой полуприцепа.
Таким образом, для реализации системы управления поворотом полуприцепного ГП необходимы датчики угловых частот вращения всех ведущих колес и датчик поворота полуприцепа относительно тягача. Предложенная система управления позволяет обеспечить прямолинейное и криволинейное движение ГП как в установившемся режиме, так и в случае движения ГП по траектории переменной кривизны, с возможностью независимого управления приводом ведущих колес тягача и полуприцепа. Отношение базы к колее для полуприцепа ГП равно 2,4, т. е. возможность его самостоятельного поворота с минимальным радиусом будет ограничена [12], поэтому использование предложенного закона управления приводом ведущих колес полуприцепа может быть неэнергоэффективно. Далее для исследования энергоэффективности и безопасности движения ГП рассмотрим предложенные законы управления поворотом ГП в сравнении со схемой трансмиссии с дифференциальной связью ведущих колес полуприцепного звена.
Закон управления гусеничного поезда с дифференциальной связью ведущих колес полуприцепного звена
В случае использования дифференциальной связи ведущих колес полуприцепного звена или «пассивного» полуприцепа система управления поворотом тягача будет аналогична системе управления поворотом одиночной машины.
Известно, что наименьшие потери энергии при движении будут при минимальной отрицательной продольной силе в седельно-сцепном устройстве тягача, т. к. в таком случае тягач определяет направление движения ГП, тянет за собой полуприцеп, который при минимальной силе в узле сочленения двигается в нейтральном режиме (тянущая сила в узле и положительные моменты на ведущих колесах) по аналогии с полноприводными колесными машинами [13]. При этом снижается буксование гусениц тягача, таким образом, снижаются потери энергии при движении.
В качестве критерия энергоэффективности ГП при повороте с заданным углом складывания (кривизной) был выбран коэффициент мощности сопротивлений, который будем определять следующим образом [14]:
(10)
где – суммарная мощность, подведенная к ведущим колесам тягача и полуприцепа; – суммарная нормальная реакция звеньев гусеничного поезда; – абсолютная скорость тягача гусеничного поезда.
Для формирования закона управления подводимой мощностью к ведущим колесам полуприцепного звена при криволинейном движении ГП определим распределение удельных мощностей между полуприцепом и тягачом , при котором продольная составляющая силы в седельно-сцепном устройстве тягача будет минимальная и отрицательная для тягача для различных углов складывания и скоростей движения ГП. При исследовании задавался параметр управления мощностью полуприцепного звена. Путем последовательного приближения были определены значения для различных скоростей движения и углов складывания ГП, при которых отрицательная продольная сила в седельно-сцепном устройстве тягача и коэффициент мощности сопротивлений минимальны. Для каждой расчетной точки методами имитационного математического моделирования [15, 16] определены отношение , коэффициент , продольная составляющая силы в сцепке тягача . Результаты расчета приведены в табл. 1. На рис. 6 приведены зависимости от радиуса поворота.
Таблица 1. Результаты исследования криволинейного движения ГП
Table 1. Research results of curvilinear motion of a caterpillar train
Угол складывания ГП | 0° | 5° | 10° | 20° | 35° | 40° |
1 | 1,057 | 1,027 | 0,912 | 0,78 | 0,597 | |
0,06 | 0,061 | 0,064 | 0,071 | 0,082 | 0,093 | |
, кН | 0 | 0,08 | 0,13 | 0,24 | 0,45 | 0,27 |
1 | 1,053 | 1,025 | 0,903 | 0,749 | 0,62 | |
0,06 | 0,061 | 0,064 | 0,067 | 0,083 | 0,099 | |
, кН | 0 | 0,06 | 0,13 | 0,44 | 0,3 | 0,2 |
1 | 1,061 | 1,023 | 0,893 | 0,751 | – | |
0,06 | 0,061 | 0,064 | 0,065 | 0,088 | – | |
, кН | 0 | 0,12 | 0,13 | 0,14 | 0,26 | – |
Рис. 6. Зависимость отношения удельных мощностей полуприцепа и тягача от радиуса поворота ГП.
Движение в установившемся режиме с радиусом поворота 20 м со скоростью невозможно из-за недостаточности потребных мощностей, подводимых к ведущим колесам. При условии обеспечения достаточного уровня мощности, подводимой к ведущим колесам ГП, распределение удельных мощностей будет являться функцией только радиуса поворота.
Установлено, что при движении ГП с радиусами поворота меньше 20 м использование активного полуприцепа будет приводить к складыванию ГП, поэтому при дальнейшем увеличении угла складывания ГП полуприцеп должен становится пассивным. Таким образом, при управлении тягой полуприцепного ГП с дифференциальной связью ведущих колес полуприцепного звена необходимо отключать привод полуприцепа. Примем, что значение предельного угла складывания . При превышении указанного угла предлагается тягу полуприцепа постепенно отключать и при движении с радиусами меньше 20 м полуприцеп становится пассивным.
Окончательно для управления ГП с дифференциальной связью ведущих колес полуприцепного звена предлагается поддерживать отношение удельных мощностей полуприцепа и тягача в соответствии с законом, приведенным на рис. 7.
Рис. 7. Закон управления полуприцепом с дифференциальной связью ведущих колес полуприцепного звена.
Разработанная система управления движением ГП с дифференциальной связью ведущих колес полупри- цепного звена дополнена регулятором, обеспечивающим дополнительную корректировку тяги на ведущих колесах полуприцепа по знаку и величине силы в седельно-сцепном устройстве тягача в продольном направлении, чтобы не возникало толкающей силы в шарнире. На рис. 8 представлена структурная схема регулятора. Регулятор определяет знак силы в шарнире седельно-сцепного устройства и с помощью фильтра «скользящее среднее» определяется продолжительность действия толкающей силы на заданном интервале. Помимо этого, определяется значение мгновенной величины толкающей силы, отнесенное к предельному допустимому заданному значению. Далее полученные значения (от 0 до 1) суммируются и нормализуются. В результате при продолжительном действии толкающей силы и/или при появлении силы больше, чем заданное предельное значение регулятор корректирует тягу полуприцепа в сторону уменьшения.
Рис. 8. Структурная схема регулятора по силе в седельно-сцепном устройстве.
Закон управления движением полуприцепного гусеничного поезда по заданной траектории
На основании получаемых данных о положении ГП при следовании по заданной траектории анализируются отклонения от нее по расстоянию и по углу , а управляющее воздействие направлено на минимизацию этих отклонений и . Расчетная схема для вычисления указанных отклонений применительно к задаче управления полуприцепным ГП представлена на рис. 9.
Рис. 9. Расчетная схема движения полуприцепного ГП по заданной траектории.
Для реализации алгоритма управления полуприцепным ГП на платформе выбирается точка , используемая для определения отклонений от траектории и от курса . Точка является точкой пересечения заданной траектории и перпендикуляра к продольной оси ГП, проведенного из точки в текущий момент времени. Точка была выбрана на оси шарнира седельно-сцепного устройства.
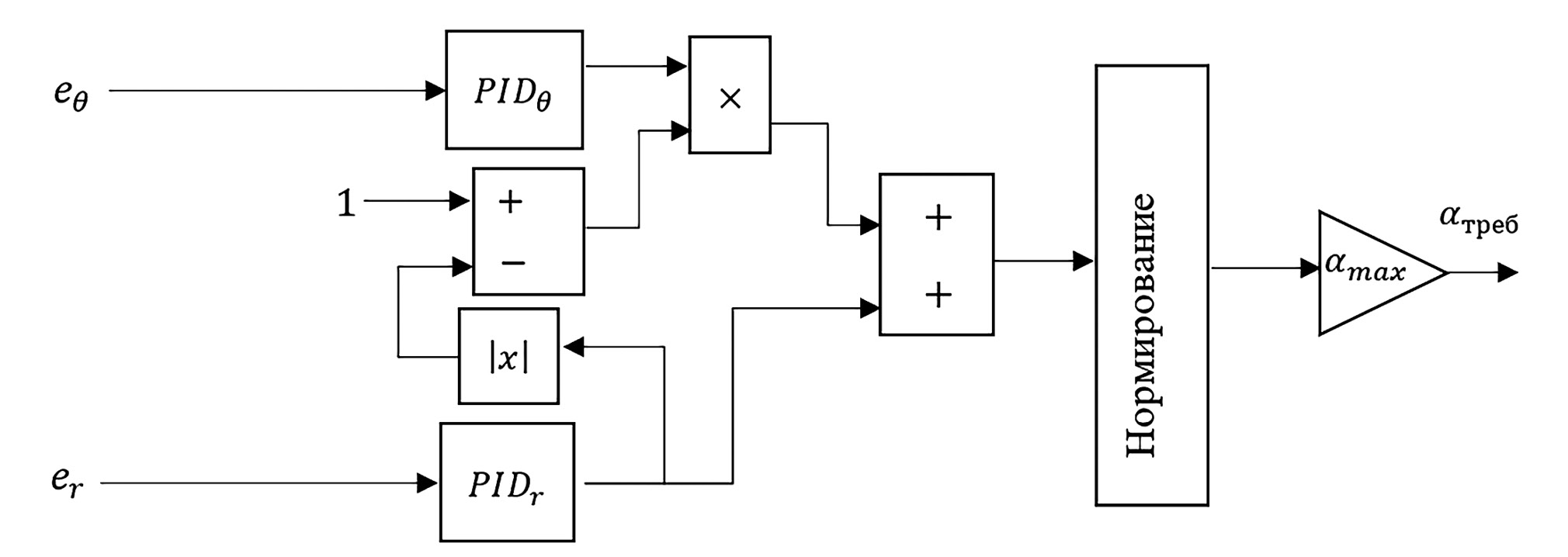
В случае движения полуприцепного ГП компенсация отклонения от траектории движения по расстоянию и углу обеспечивается поворотом тягача на требуемый угол. Для полуприцепного ГП предлагается ввести следующий алгоритм работы системы: в первую очередь устраняется линейное отклонение, а затем – угловое. В соответствии с указанными требованиями разработан регулятор управления движением полуприцепного ГП, структурная схема которого представлена на рис. 10.
Рис. 10. Структурная схема комбинированного регулятора управления движением полуприцепного ГП.
В данной схеме при наличии управляющего воздействия ПИД регулятора (), компенсирующего линейное отклонение машины от траектории движения, управляющее воздействие регулятора углового отклонения () уменьшается (путем умножения на коэффициент меньше единицы). Далее полученные управляющие воздействия суммируются и происходит операция нормирования. Система управления поворотом тягача полуприцепного ГП при этом останется аналогичной системе управления одиночной гусеничной машины.
Окончательно структурная схема управления движением приведена на рис. 11.
Рис. 11. Структурная схема управления поворотом полуприцепного ГП.
РЕЗУЛЬТАТЫ И ОБСУЖДЕНИЕ
Для оценки эффективности разработанных законов движения ГП с активным полуприцепным звеном в двух вариантах (с возможностью независимого управления приводом ведущих колес и с дифференциальной связью ведущих колес ведущих колес) по маршруту типа «змейка» переменной кривизны [17]. Эффективность разработанных законов управления будем оценивать по максимальным траекторным и курсовым ошибкам и их среднему значению и за время движения по заданному маршруту и энергоэффективности – по величине затраченной энергии ГП за время прохождения маршрута. Допустимая ширина коридора для точки (рис. 9) принята равной 7 м (рис. 12). При маневрировании поддерживается низкая скорость движения 5 км/ч. При проведении сравнительной оценки различных вариантов ГП прямолинейные участки маршрута были ограничены длиной 30 м. На рис. 12 в качестве примера представлена траектория движения точки для ГП с независимым управлением приводом ведущих колес полуприцепного звена и допустимый коридор движения точки .
Рис. 12. Траектории движения точки О ГП с независимым управлением приводом ведущих колес полуприцепного звена.
Результаты определения средних значений траекторных и курсовых ошибок и затраченной энергии за время движения по заданному маршруту для различных вариантов ГП представлены в табл. 2. Анализируя данные таблицы, можно сделать вывод, что при наибольших отклонениях от траектории у полуприцепного ГП с дифференциальной связью ведущих колес полуприцепа затрачиваемая энергия на движение по маршруту будет минимальна. Максимальное значение затрачиваемой энергии на движение по маршруту у полуприцепного ГП с независимым приводом ведущих колес полуприцепа составляет 132 850 кДж, что в 2,5 раза больше, чем у полуприцепного ГП с дифференциальной связью ведущих колес полу-прицепа.
Таблица 2. Результаты сравнительной оценки движения ГП
Table 2. Results of comparative evaluation of the caterpillar train movement
Полуприцепной ГП с независимым управлением приводом ведущих колес полуприцепа | Полуприцепной ГП с дифференциальной связью ведущих колес полуприцепа | |
, м | 0,06 | 0,18 |
, | 0,25 | 0,79 |
, кДж | 132 850 | 53 189 |
ЗАКЛЮЧЕНИЕ
Разработаны законы управления движением ГП с силовым способом поворота для движения по заданной траектории с учетом дистанционного управляющего воздействия водителя-оператора и автоматической системы беспилотного вождения.
Установлено, что для обеспечения движения ГП по траектории переменной кривизны поворачивающие моменты тягача и полуприцепа должны быть направлены в противоположные стороны и быть пропорциональны отношению веса тягача к весу прицепа. Силы тяги/торможения на гусеницах разноименных бортов звеньев ГП должны быть направлены в одну сторону (управление «крест-накрест»).
Разработан закон управления поворотом полуприцепного ГП с различными вариантами привода полуприцепного звена: с возможностью независимого управления приводом ведущих колес полуприцепного звена и с дифференциальной связью ведущих колес полуприцепного звена. Отличительной особенностью для полуприцепного звена с возможностью независимого управления приводом ведущих колес является обеспечение перехода от режима движения с распределением сил на гусеницах «крест-накрест» (при необходимости обеспечения складывания ГП) к установившемуся режиму движения, формирующему силы тяги/торможения на гусеницах, обеспечивающих кинематическое согласование движения полуприцепа и тягача. Для ГП с дифференциальной связью ведущих колес полуприцепного звена отличительной особенностью является распределение удельных мощностей полуприцепа и тягача в соответствии с полученным законом, обеспечивающим движение ГП с минимальными затратами энергии.
Применение разработанных законов управления движением ГП позволит обеспечить беспилотное движение машины или следование за машиной-лидером по заданной траектории с высокой точностью выполнения маневров поворота и, соответственно, повысит безопасность грузоперевозок.
Установлено, что для повышения автономности (снижение затрат энергии на движение) целесообразно использовать полуприцепной ГП с дифференциальной связью ведущих колес полуприцепа.
ДОПОЛНИТЕЛЬНАЯ ИНФОРМАЦИЯ
Конфликт интересов. Автор декларирует отсутствие явных и потенциальных конфликтов интересов, связанных с публикацией настоящей статьи.
Источник финансирования. Автор заявляет об отсутствии внешнего финансирования при проведении исследования.
ADDITIONAL INFORMATION
Competing interests. The author declares no any transparent and potential conflict of interests in relation to this article publication.
Funding source. This study was not supported by any external sources of funding.
About the authors
Kirill B. Evseev
Bauman Moscow State Technical University
Author for correspondence.
Email: kb_evseev@bmstu.ru
ORCID iD: 0000-0001-7193-487X
SPIN-code: 7753-2047
Associate Professor, Cand. Sci. (Tech.), Associate Professor of the Wheeled Vehicles Department
Russian Federation, MoscowReferences
- Kotiev GO, Evseev KB, Gojaev ZA. Analysis of structural and layout designs of tracked trains for off-road container transportation. Mir transporta. 2021;19(5):23–34. (In Russ). doi: 10.30932/1992-3252-2021-19-5-3
- Zubov PP, Makarov VS, Zeziulin DV, et al. Overview of existing structures of articulated tracked vehicles and advice in choosing their parameters. Transactions of Nizhni Novgorod state technical university n.a. R.Y. Alexeev. 2015;(2):170–176. (In Russ).
- Barakhtanov LV, Vakhidov USh, Manyanin SE. The determination of resistance forces during the turning motion of caterpillar semi-section vehicles. Modern Problems of Science and Education. 2014;(6):56. (In Russ).
- Fuady S, Ibrahim AR, Trilaksono BR. Comparative experimental study of formation control of mobile robots. Procedia Technology. 2013;11:689–695. doi: 10.1016/j.protcy.2013.12.246
- Wang M, Geng Z, Peng X. Measurement-Based method for nonholonomic mobile vehicles with obstacle avoidance. Journal of the Franklin Institute. 2020;357(12):7761–7778. doi: 10.1016/j.jfranklin.2020.05.042
- Wu J, Wang G, Zhao H, Sun K. Study on electromechanical performance of steering of the electric articulated tracked vehicles. Journal of Mechanical Science and Technology. 2019;33(7):3171–3185. doi: 10.1007/s12206-019-0612-7
- Shin J, Huh J, Park Y. Asymptotically stable path following for lateral motion of an unmanned ground vehicle. Control Engineering Practice. 2015;40(1):102–112. doi: 10.1016/J.CONENGPRAC.2015.03.006
- Racelogic [Internet]. Experts in positioning, data logging and video. Available from: https://www.racelogic.co.uk/index.php/en/ Accessed: 15.10.2022.
- Chen T, Chen L, Xu X, Cai Y. Passive actuator-fault-tolerant path following control of autonomous ground electric vehicle with in-wheel motors. Advances in Engineering Software. 2019;134(6):22–30. doi: 10.1016/j.advengsoft.2019.05.003
- Evseev KB. Design of a control law for turning of a tracked train to follow a reference trajectory. Vestnik Moskovskogo avtomobil’no-dorozhnogo gosudarstvennogo tehnicheskogo universiteta (MADI). 2021;(3):67–75. (In Russ).
- Gorelov VA, Kosicyn BB, Miroshnichenko AV, Staduhin AA. The controller of the steering control system of a high-speed tracked vehicle with individual drive wheels. Izvestiya MGTU “MAMI”. 2019;(4):21–28. (In Russ). doi: 10.31992/2074-0530-2019-42-4-21-28
- Nikitin AO, Sergeev LV. Tank theory. Moscow: Publication of the Military Order of Lenin of the Academy of Armored Forces; 1962. 588 p. (In Russ).
- Shukhman SV, Solovyov VI, Prochko EI. Theory of power drive of wheels of high-pass vehicles. Moscow: Agrobiznestsentr; 2007. 336 p. (In Russ).
- Larin VV. Theory of movement of four-wheel drive wheeled vehicles: textbook. Moscow: Publishing House of Bauman Moscow State Technical University; 2010. 391 p. (In Russ).
- Yevseyev KB. Mathematical model of the movement of a tracked train for off-road container transportation. Tractors and agricultural machinery. 2021;88(5):18–29. (In Russ). doi: 10.31992/0321-4443-2021-5-18-29
- Evseev KB, Kositsyn BB, Kotiev GO, Stadukhin AA. Design of the double-jointed multi-tracked vehicle steering control law providing its motion along a reference trajectory. Journal of Physics Conference Series. 2021;2032(1):12064. (In Russ). doi: 10.1088/1742-6596/2032/1/012064
- Evseev KB, Kositsyn BB, Kotiev GO, Stadukhin AA. On the issue of caterpillar trains controllability evaluation at the design stage using a complex of natural-mathematical modeling. Trudy NAMI. 2022;(1):35–51. (In Russ). doi: 10.51187/0135-3152-2022-1-35-51
Supplementary files














