Research of the combustion process in a tractor diesel engine when operating on alcohol and vegetable oil
- Authors: Likhanov V.A.1, Lopatin O.P.1
-
Affiliations:
- Vyatka State Agrotechnological University
- Issue: Vol 90, No 3 (2023)
- Pages: 191-200
- Section: Environmentally friendly technologies and equipment
- Submitted: 06.03.2023
- Accepted: 23.07.2023
- Published: 14.09.2023
- URL: https://journals.eco-vector.com/0321-4443/article/view/320931
- DOI: https://doi.org/10.17816/0321-4443-320931
- ID: 320931
Cite item
Abstract
BACKGROUND: Tractor diesels are widely used in agriculture, industry and transport due to their high efficiency, reliability, manufacturability and economy. Nevertheless, the ever-increasing tractor fleet is one of the main causes of environmental pollution and the increase in the consumption of petroleum motor fuel. The paper substantiates the use of an alternative fuel, suitable in its physical and chemical characteristics and properties for efficient and environmentally friendly combustion in a tractor diesel, such as ethanol and rapeseed oil.
AIMS: Research of the combustion process in a tractor diesel engine operating on ethanol and rapeseed oil, establishment the dependencies of the influence of tractor diesel operating modes on the combustion process indicators and determination of their numerical characteristics.
METHODS: An experimental sample of a tractor diesel engine was converted for operation on ethanol and rapeseed oil. Ethanol was used as the main fuel and was ignited with a jet of rapeseed oil entering the diesel combustion chamber. Ethanol has a lower calorific value compared to diesel fuel, therefore, there was a need to determine the optimal cyclic supply of the ignition portion of rapeseed oil and to study the indicators of the combustion process.
RESULTS: The results of experimental studies of the effect of the use of ethanol and rapeseed oil as a pilot fuel on the indicators of the combustion process of tractor diesel are presented. The optimal value of the cyclic supply of rapeseed oil has been determined, a decrease in the value of which from the optimal value leads to an increase in exhaust gas temperature, specific effective and total fuel consumption, worsens the combustion process, while an increase of it worsens the environmental performance of a tractor diesel engine, including the smokiness of exhaust gases. The results of scientific research on the determination of optimal installation angles of advance injection of ethanol and rapeseed oil are presented.
CONCLUSIONS: The complete replacement of petroleum diesel fuel with alternative fuels has been achieved without making significant changes to the design of a tractor diesel engine, improving its environmental characteristics while maintaining power indicators at the level of a serial diesel. On the basis of the conducted studies of the operating process of a tractor diesel engine on ethanol and rapeseed oil, the dependencies of the influence of its operating modes on the indicators of the combustion process are established and their numerical characteristics are determined.
Keywords
Full Text
REFERENCE INFORMATION.
Symbols in captions:
RO ― rapeseed oil
E ― ethanol
EAC ― excess air coefficient
CC ― combustion chamber
EG ― exhaust gases
EF ― efficiency factor
IDP ― ignition delay period
TDC ― top dead center
SAIA ― setting angle of injection advance
qi ― cyclic supply of ignition rapeseed oil
GE ― hourly consumption of ethanol, kg/h
GRO ― hourly consumption of rapeseed oil, kg/h
GTΣ ― total fuel consumption (ethanol + rapeseed oil),
kg/h
n ― diesel engine crankshaft rotation speed, min−1
pe ― average effective pressure, MPa
pz ― maximum cycle pressure, MPa
ΘE ― setting angle of ethanol injection advance, deg
ΘRO ― setting angle of rapeseed oil injection advance,
deg
INTRODUCTION
The inevitability of an energy crisis, caused by the steady increase in the consumption of exhaustible energy resources, forces humanity to seek alternative, renewable energy sources. The active use of these sources will certainly lead to a reduction in the environmental damage caused by the burning of traditional fuels in automotive vehicles [1–3].
The motor and tractor pool significantly contribute to environmental pollution, especially in large cities where it may account for over 90% of total air pollution. Its operation is accompanied by significant pollution of the entire environment, including atmospheric air, water environment, soils, agricultural products through toxic components emitted by the exhaust gases (EG) from vehicles [4–6].
Since the Russian Federation not only has significant potential in developing renewable energy sources but also possesses the world’s largest area of arable land, it is advisable to consider fuels derived from plant materials as alternative energy sources. Ethyl alcohol and rapeseed oil (RO) are among such fuels, offering physical and chemical characteristics and properties suitable for efficient and environmentally friendly combustion in a tractor diesel engines [7, 8].
The work aimed to study the combustion process in a tractor diesel engine running on ethyl alcohol and rapeseed oil (RO). It sought to identify how different operating modes of the tractor diesel affect combustion process indicators and to determine their numerical characteristics.
METHODS AND TOOLS OF RESEARCH
At the Vyatka State Agrotechnological University, the Department of Heat Engines, Automobiles and Tractors conducted studies on the working process and developed a modification of the experimental model of the tractor diesel engine D-21A1 (2Ch 10.5/12.0). This modification allows the engine to operate on ethyl alcohol and RO using separate fuel supply systems [7–9]. The tractor diesel is equipped with a hemispherical combustion chamber (CC) in the piston, with ethanol serving as the main fuel and ignited by a jet of RO entering the CC. Owing to ethyl alcohol’s lower calorific value compared to diesel fuel (DF), it was necessary to determine the optimal cyclic supply of the igniting portion of RO. This supply ensures stable operation of the tractor diesel in all modes, while also maintaining optimal efficiency and environmental performance.
The minimum igniting fuel supply qi, at which the engine operates without misfiring at the nominal operating mode, is 8.3 mg/cycle (0.9 kg/h) at n = 1800 min−1 and 6.1 mg/cycle (0.51 kg/h) at n = 1400 min−1. With an increase in the RO ignition portion, the cyclic supply of ethyl alcohol correspondingly decreased. For example, with a minimum supply of igniting fuel, the ethanol consumption at the nominal operating mode was 7.3 kg/h (67 mg/cycle). When the RO supply was increased to 2.1 kg/h (19.4 mg/cycle), the ethanol consumption reduced to 5.2 kg/h (48 mg/cycle). Optimal effective engine performance values were achieved with a cyclic RO supply in the range from 11 mg/cycle to 14 mg/cycle. At the nominal operating mode, supplying an ignition portion of 11.7 mg/cycle resulted in a total fuel consumption GTΣ = 7.06 kg/h, ethanol consumption GE = 5.81 kg/h, total specific effective fuel consumption gеΣ = 384.5 g/kW, and specific effective EF ηе = 0.324 (Fig. 1).
Fig. 1. The effect of the size of the ignition portion of rapeseed oil on the effective performance of the D21A1 tractor diesel engine (n =1800 min-1 and ре = 0.588 МPа).
Рис. 1. Влияние величины запальной порции РМ на эффективные показатели тракторного дизеля Д21А1 (n =1800 мин-1 и ре = 0,588 МПа).
In the maximum torque mode, the maximum effective EF ηе of 0.334 was achieved with a qi of 12.5 mg/cycle. In this case, the total fuel consumption was GTΣ of 4.92 kg/h, and the ethanol consumption (GE) was 3.87 kg/h. A further increase in the cyclic supply of RO led to a decrease in the total fuel consumption. For example, with a cyclic supply of RO (qi = 15.5 mg/cycle), the ethanol consumption GE was 3.54 kg/h, making the total consumption GTΣ equal to 4.84 kg/h. However, the effective EF decreases slightly and amounts to ηе of 0.32. The maximum value of the excess air coefficient (EAC) was obtained α = 1.72 at qi = 11.7 mg/cycle at n = 1800 min−1.
With an increase in the cyclic supply of ethanol, the duration of the fuel supply increases, which slows down the evaporation process. This leads to the formation of more over-enriched zones within the ethanol fuel spray, and a decrease in the local EAC in the thermal decomposition zone decreases. Furthermore, it is necessary to consider changes in the geometric parameters of the fuel spray, as well as an increase in its volume. Concurrently, the RO supply decreases and the quality of fuel atomization in the combustion chamber (CC) by the pin nozzle deteriorates. As a result, the ignition delay period (IDP) increases, the combustion process shifts toward the expansion line, and the EG temperature rises. These factors collectively result in an increase in the total fuel supply and a decrease in EAC. Owing to the late initiation of the combustion process, not only does the effective EF diminish, but there is also a significant reduction in heat release, indicating incomplete combustion of the fuel.
Conversely, with an increase in the cyclic RO supply, the fuel atomization characteristics improve, leading to reduced unevenness of fuel supply across the cylinders and a shortened IDP. In turn, this enhances the completeness of fuel combustion and the effective EF, raises the average temperature of the gases in the cylinder (Fig. 2a), reduces the degree of homogenization of the mixture during the initial period of combustion, and increases the mass of fuel burned in the diffusion flame. However, when cyclic portions of RO exceed 16 mg/cycle, the range of the fuel spray expands, causing part of it to potentially deposit on the CC walls. This deposition worsens the mixture formation process, leading to increased total fuel consumption and increased soot formation. Furthermore, with an increase in the igniting fuel supply, the maximum combustion pressure pz escalates from 5.24 MPa with a cyclic RO supply of qi = 8.3 mg/cycle to 6.44 MPa with qi = 19.4 mg/cycle at the nominal crankshaft speed (Fig. 2b).
Fig. 2. The influence of rapeseed oil consumption on the combustion process indicators: a – the maximal averaged gas temperature, K; b – the maximal indicator pressure in a cylinder, MPa.
Рис. 2. Влияние расхода РМ на показатели процесса сгорания: a – максимальной осредненной температуры газов, К; b – максимального индикаторного давления в цилиндре, Мпа.
When the igniting fuel portion increases above 16 mg/cycle, the combustion process worsens, evident from a decrease in active heat release and an increase in total fuel consumption. This is attributed to an increase in the amount of igniting fuel reaching the CC walls, extending the fuel evaporation duration and prolonging the combustion period.
Experimental findings have thus established that for optimal performance of a diesel engine, setting the igniting fuel supply at qi = 13 mg/cycle is advisable. Reducing the amount of the ignition portion leads to higher EG temperatures, increased specific effective and total fuel consumption, and a degraded combustion process. With an increase in the ignition portion, the environmental performance of a tractor diesel engine deteriorates and the EG smoke opacity increases. Further studies were performed with a cyclic supply of RO qi = 13 mg/cycle, which corresponds to an hourly consumption of RO GRO = 1.4 kg/h at the nominal operating mode.
After determining the ignition portion of RO, the optimal combination of setting injection of advance angles (SAIA) of RO and ethanol was determined.
RESEARCH RESULTS AND DISCUSSION
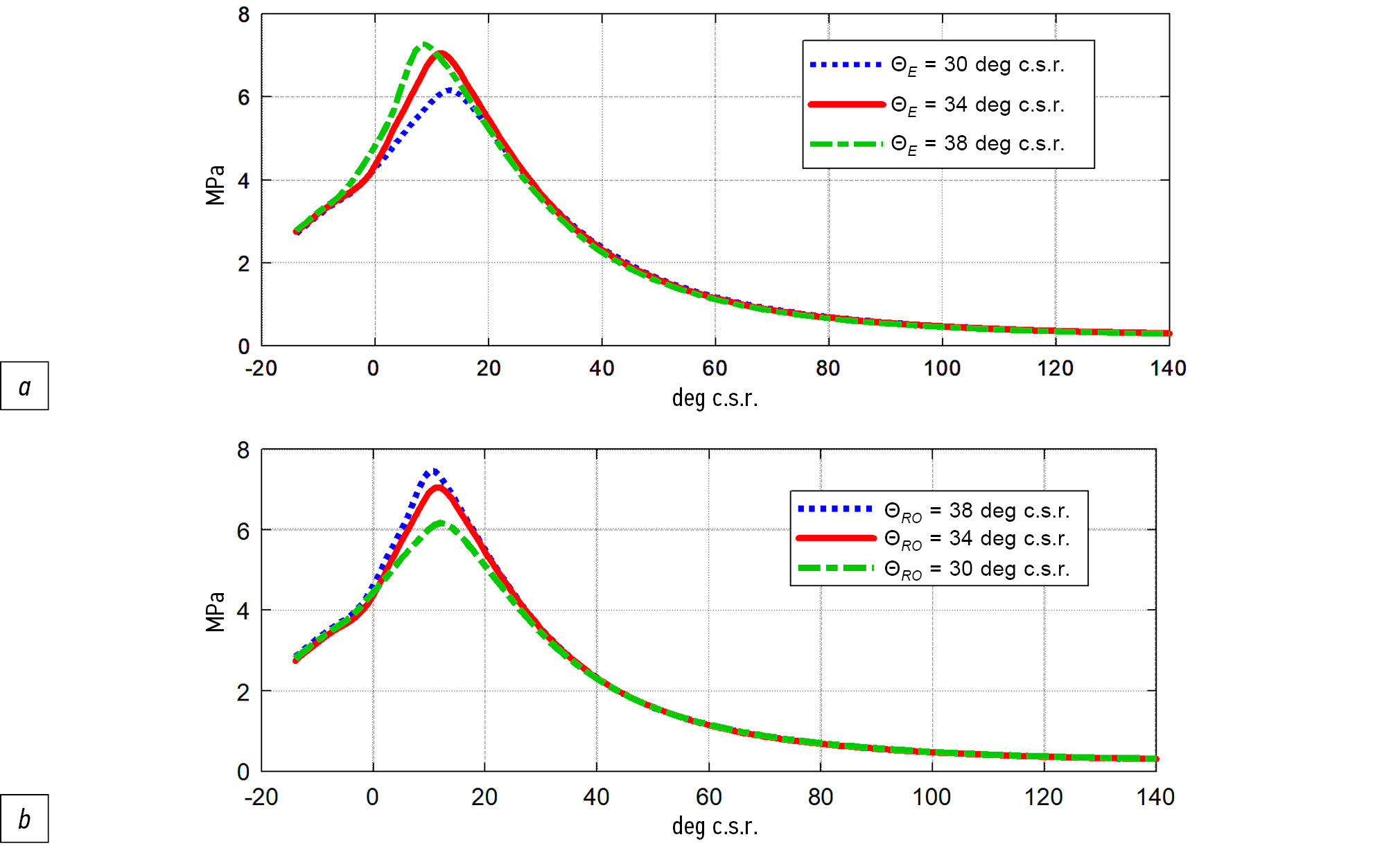
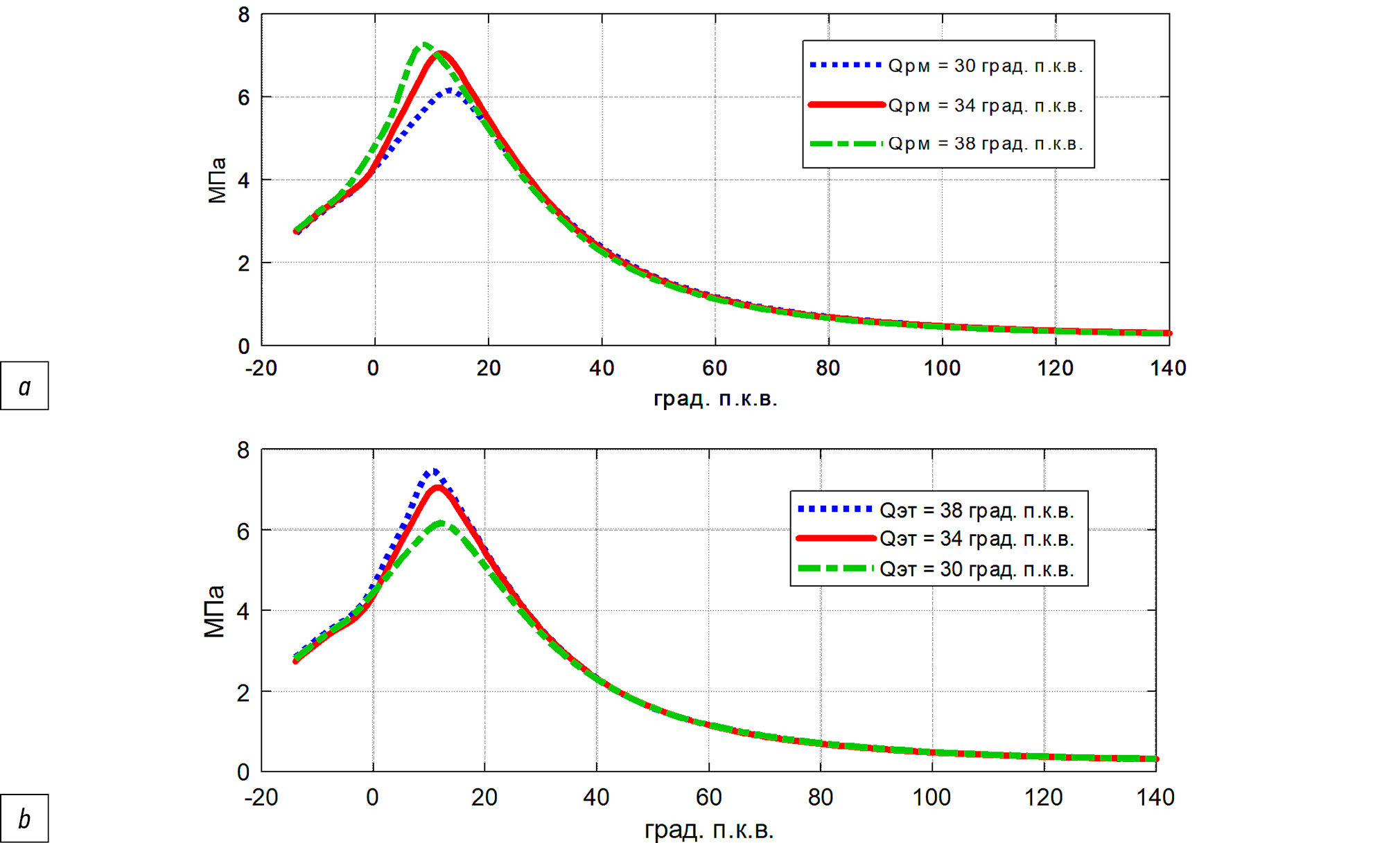
SAIA has a strong influence on the combustion process. When the ignition fuel SAIA is adjusted from 30 degrees of crankshaft rotation (c.s.r.) to 38 c.s.r. away from the top dead center (TDC), the maximum pressure in the cylinder increases. The diagram’s point of separation from the compression line and peak pressure in the cylinder (pz) shifted to the left by 5 degrees c.s.r. (Fig. 3a). This increase in pressure, resulting from a higher RO SAIA, is attributed to intensified combustion near TDC.
Fig. 3. The gas pressure in a cylinder of the tractor diesel engine when operating on ethanol and rapeseed oil at various setting angles of fuel injection advance: а – ΘE =34°; b – ΘRO =34°.
Рис. 3. Давление газов в цилиндре тракторного дизеля при работе на этиловом спирте и РМ при различных УУОВ: а – ΘE =34°; b – ΘРМ =34°.
When adjusting the SAIA of ethanol with a constant RO injection timing, the shift of characteristic points on the indicator diagram relative to TDC is less significant (Fig. 3b). Early ethanol injection leads to an increase in the indicator pressure as more heat is released during homogeneous combustion. The onset of combustion depends on the timing of igniting fuel injection, although ethanol inhibits the ignition process.
Figure 4 presents the results of a two-dimensional regression analysis of experimental data, measuring the maximum gas pressure in the cylinder pz depending on the setting angle when operating a diesel engine on ethanol and RO.
Fig. 4. Change in the maximum combustion pressure in a cylinder of the D21A1 diesel engine when operating on ethanol and rapeseed oil.
Рис. 4. Изменение максимального давления сгорания в цилиндре дизеля Д21А1 при работе на этиловом спирте и РМ.
Experimental data has established that the variation in maximum pressure, with a constant ethanol SAIA depending on the RO SAIA, is less pronounced, especially at late ethanol supply angles. With an increase in ethanol SAIA, the influence of RO SAIA also increases. The maximum value of pz is recorded at ΘЭ of 38° and ΘRO of 42° and is pz = 7,72 MPa.
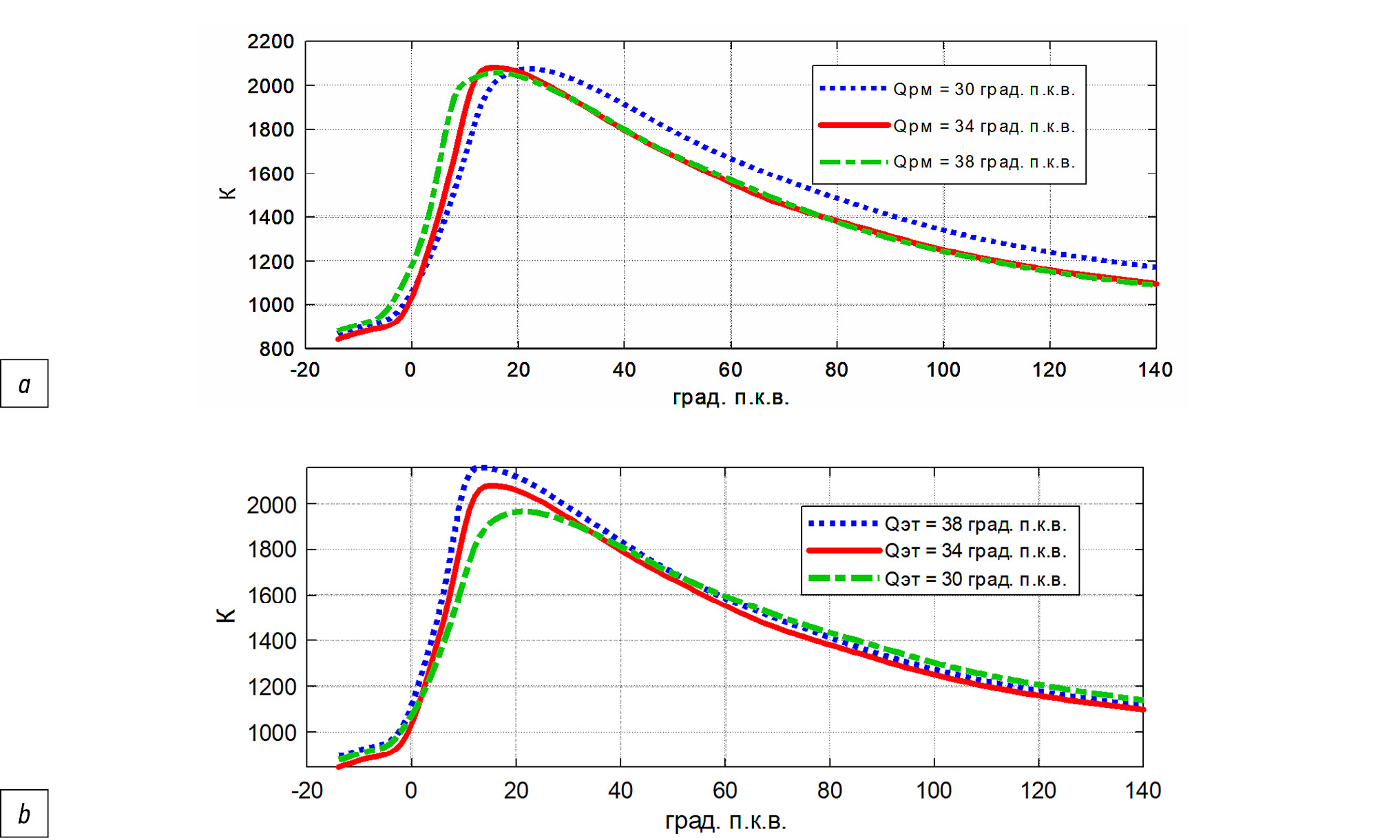
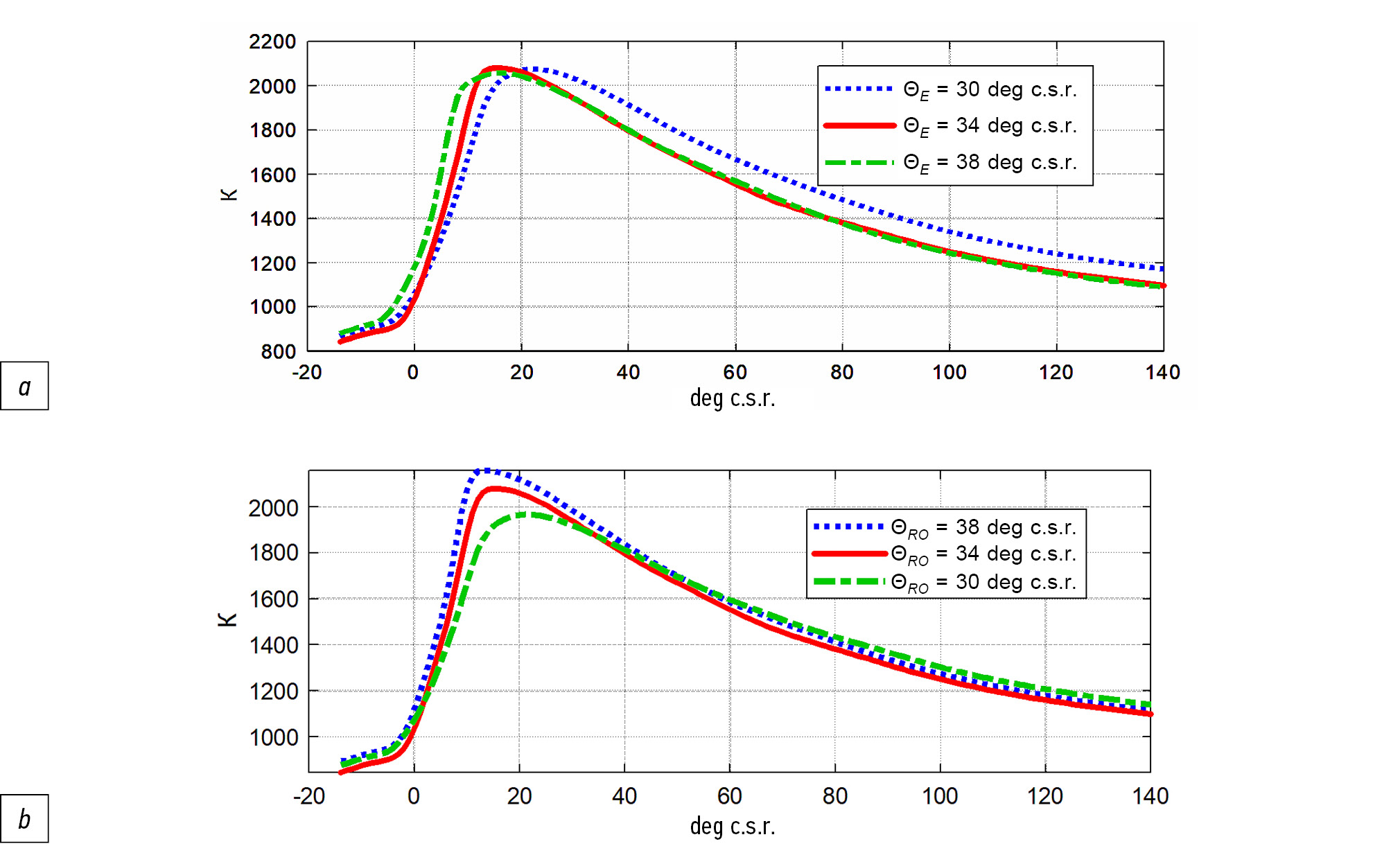
Changes in the RO SAIA cause a corresponding shift in the function of the average temperature of the gases in the cylinder (Fig. 5). An earlier supply leads to an earlier peak temperature achievement. However, the maximum gas temperature does not change significantly.
Fig. 5. The averaged gas temperature in a cylinder of the tractor diesel engine when operating on ethanol and rapeseed oil: а – ΘE =34°; b – ΘRO =34°.
Рис. 5. Осредненная температура газов в цилиндре тракторного дизеля при работе на этиловом спирте и РМ: а – ΘE =34°; b – ΘРМ =34°.
At a constant ignition fuel SAIA, when varying the ethanol SAIA values, an increase in the maximum indicator temperature of the gases in the cylinder is observed with early alcohol supply. This increase is attributed to the causes mentioned previously, namely the energy saturation of fuel portions and the different cetane numbers of RO and ethyl alcohol.
The maximum gas temperature increases with an increase in the ethanol SAIA at all ignition fuel SAIA settings. At late RO supply angles, the increase in the maximum average gas temperature in the cylinder is more intense in the cylinder than at early RO angles (ΘRO = 42°). The highest Tmax values are achieved at ΘE = 38° c.s.r. to TDC (Fig. 6).
Fig. 6. Change in the maximal average gas temperature in a cylinder of the D21A1 tractor diesel engine when operating on ethanol and rapeseed oil.
Рис. 6. Изменение максимальной осредненной температуры газов в цилиндре тракторного дизеля Д21А1 при работе на этаноле и РМ.
The influence of the RO SAIA on the maximum averaged temperature of the gases in the cylinder is complex, stemming from different degrees of fuel combustion and an increase in fuel supply with inefficient combustion process organization in the cylinder at non-optimal fuel SAIA settings. The highest temperature values are recorded at ΘRO = 30° and ΘRO = 34° at early ethanol SAIA.
In analyzing the values of the main combustion process indicators pz and Tmax depending on the SAIA of fuels, the following observations can be made:
- The values of these parameters depend strongly on the SAIA of ethanol and, to a lesser extent, on changes in the RO SAIA.
- Excessively high values of the maximum pressure and average gas temperature, associated with early ethanol SAIA, affect negatively the durability of engine parts, lead to an increase in the noise of the diesel engine, the appearance of knocking, and a higher maximum rate of pressure increase in pressure in the cylinder.
- Too late ethanol supply angles shift the combustion process toward the expansion line, leading to higher EG temperatures, increased specific effective fuel consumption, and a decrease in effective EF.
When a tractor diesel engine operates on ethyl alcohol and RO, the maximum value of the average gas temperature Tmax in the cylinder at maximum loads is higher than when operating on DF (Fig. 7a). Temperature equality between the fuel types is achieved at pe of 0.4 MPa. However, at lower loads, the maximum temperature in the cylinder when operating on ethanol and RO is achieved much later than when operating on DF, indicating late combustion (Fig. 7c). This late combustion decreases the efficiency of diesel engines running on ethanol and RO at low loads. Increasing the ethanol supply improves the combustion process, shifts the angle of maximum gas temperature closer to TDC, and raises the maximum gas temperature in the cylinder.
Fig. 7. Indicators of the combustion process during operation of the D21A1 tractor diesel engine depending on the load: a – the maximal averaged gas temperature in a cylinder; b – the maximal pressure in a cylinder; c – the crankshaft rotation angle corresponding to the maximal averaged gas temperature in a cylinder, deg; d –the crankshaft rotation angle corresponding to the maximal gas pressure in a cylinder, deg.
Рис. 7. Показатели процесса сгорания при работе тракторного дизеля Д21А1 в зависимости от нагрузки: a – максимальная осредненная температура газов в цилиндре; b – максимальное давление в цилиндре; c – угол п.к.в., соответствующий максимальной осредненной температуре газов в цилиндре град.; d – угол п.к.в., соответствующий максимальному давлению газов в цилиндре, град.
Moreover, when the engine runs on ethanol and RO, there is a more intense increase in the maximum combustion pressure with increasing load (Fig. 7b). The maximum pressure is pz = 3.91 MPa at pe = 0.115 MPa, and pz = 8.1 MPa at pe = 0.692 MPa. At loads where pe is lower than 0.500 MPa, the maximum pressure pz in the cylinder, when running a diesel engine on alternative fuels, is lower compared to when running on DF. The maximum gas pressure in a diesel cylinder when operating on DF increases from pz = 5.1 MPa at pe = 0.115 MPa to pz = 7.85 MPa at pe = 0.692 MPa. The angle in degrees of c.s.r. for maximum pressure in the cylinder when operating on ethanol and RO is reached later by 2–5 degrees, depending on the load mode. A shift in the angle of maximum pressure at higher loads does not diminish the efficiency of heat supply; on the contrary, it contributes to an increase in the effective energy factor of a diesel engine by reducing the portion of heat supplied to TDC, thereby reducing the duration of intense combustion.
The increase in the maximum pressure and maximum average temperature of the gases in the cylinder with increasing load is associated with an increase in the cyclic supply of ethanol, which burns almost completely in the flame of a homogeneous air-fuel mixture.
CONCLUSIONS
The complete replacement of petroleum DF with alternative ones has been achieved without making significant changes to the design of the tractor diesel engine. This change has improved its environmental characteristics while maintaining power indicators at the level of a serial diesel engine.
It has been proven that in the tractor diesel engine under study, when operating on ethyl alcohol and RO, it is necessary to set the igniting fuel supply qi to 13 mg/cycle for optimal performance. Decreasing the amount of the ignition portion results in a higher EG temperature, increased specific effective and total fuel consumption, and a deterioration of the combustion process. Conversely, increasing the ignition portion leads to worse environmental performance of a tractor diesel engine and an increase in EG smoke opacity.
Based on experimental studies, the optimal setting angles for fuel injection advance when operating a tractor diesel engine on ethanol and RO have been determined. For ethanol, ΘE = 34°, for RO ΘRO = 34°. At this configuration, operating in nominal mode yields the minimum total specific effective fuel consumption of geΣ = 368 g/(kW∙h).
Experimental data has shown that when operating in nominal mode on DF, ethanol and RO, the values of the maximum gas pressure pzmax in the diesel cylinder are nearly identical. However, the combustion process when operating a diesel engine on ethanol and RO shifts slightly to the right beyond the TDC line, with the maximum cycle pressure pzmax being achieved at angle φ = 11.5° c.s.r. after TDC. By contrast, while using DF, the pressure pzmax is achieved at φ = 6.5° c.s.r. after TDC, indicating that the combustion process on alternative fuels occurs mostly in an increasing cylinder volume. Consequently, the maximum effective EF shifts toward higher load operating modes.
ADDITIONAL INFORMATION
Authors’ contribution. V.A. Likhanov ― scientific guidance, analysis and revision of the text, approval of the final version; O.P. Lopatin ― formation of the structure of the article, analysis of literary data, text editing, image creation, drawing conclusions and conclusions. Authors confirm the compliance of their authorship with the ICMJE international criteria. All authors made a substantial contribution to the conception of the work, acquisition, analysis, interpretation of data for the work, drafting and revising the work, final approval of the version to be published and agree to be accountable for all aspects of the work.
Competing interests. The authors declare that they have no competing interests.
Funding source. This study was not supported by any external sources of funding.
ДОПОЛНИТЕЛЬНО
Вклад авторов. В.А. Лиханов ― научное руководство, анализ и доработка текста, утверждение финальной версии; О.П. Лопатин ― формирование структуры статьи, анализ литературных данных, редактирование текста, создание изображений, составление выводов и заключения. Авторы подтверждают соответствие своего авторства международным критериям ICMJE (все авторы внесли существенный вклад в разработку концепции, проведение исследования и подготовку статьи, прочли и одобрили финальную версию перед публикацией).
Конфликт интересов. Авторы декларируют отсутствие явных и потенциальных конфликтов интересов, связанных с публикацией настоящей статьи.
Источник финансирования. Авторы заявляют об отсутствии внешнего финансирования при проведении исследования.
About the authors
Vitaly A. Likhanov
Vyatka State Agrotechnological University
Email: lihanov.va@mail.ru
ORCID iD: 0000-0003-3033-7176
SPIN-code: 9474-7629
Scopus Author ID: 57197821797
Professor, Dr. Sci. (Tech.), Head of the Heat Engines, Automobiles and Tractors Department
Russian Federation, 133 Oktyabrsky avenue, 610017 KirovOleg P. Lopatin
Vyatka State Agrotechnological University
Author for correspondence.
Email: nirs_vsaa@mail.ru
ORCID iD: 0000-0002-0806-6878
SPIN-code: 8716-0189
Scopus Author ID: 57197821205
ResearcherId: ААД-8374-2019
Dr. Sci. (Tech.), Professor of the Heat Engines, Automobiles and Tractors Department
Russian Federation, 133 Oktyabrsky avenue, 610017 KirovReferences
- Gowrishankar S, Krishnasamy A. A relative assessment of emulsification and water injection methods to mitigate higher oxides of nitrogen emissions from biodiesel fueled light-duty diesel engine. Fuel. 2022;308:121926. doi: 10.1016/j.fuel.2021.121926
- Attia AMA, Nour M, El-Seesy AI, et al. The influence of castor biodiesel blending ratio on engine performance including the determined diesel particulate matters composition. Energy. 2022;239:121951. doi: 10.1016/j.energy.2021.121951
- Wu G, Ge JC, Choi NJ. Effect of ethanol additives on combustion and emissions of a diesel engine fueled by palm oil biodiesel at idling speed. Energies. 2021;14(5):14051428. doi: 10.3390/en14051428
- Hosseinzadeh-Bandbafha H, Rafiee S, Mohammadi P, et al. Exergetic, economic, and environmental life cycle assessment analyses of a heavy-duty tractor diesel engine fueled with diesel-biodiesel-bioethanol blends. Energy Conversion and Management. 2021;241:114300. doi: 10.1016/j.enconman.2021.114300
- Ayhan V, Cesur İ, Çangal Ç, et al. Combined influence of supercharging, egr, biodiesel and ethanol on emissions of a diesel engine: proposal of an optimization strategy. Energy. 2020;207:118298. doi: 10.1016/j.energy.2020.118298
- Yesilyurt MK. A detailed investigation on the performance, combustion, and exhaust emission characteristics of a diesel engine running on the blend of diesel fuel, biodiesel and 1-heptanol (C7 Alcohol) as a next-generation higher alcohol. Fuel. 2020;275:117893. doi: 10.1016/j.fuel.2020.117893
- Likhanov VA, Kozlov AN. Modeling of soot emission in the cylinder of a diesel engine 2Ch 10.5/12.0 when operating on alternative fuels. Kirov: Vyatskiy GATU; 2019.
- Likhanov VA, Araslanov MI. Investigation of the indicators of the working process of a high-speed diesel engine when operating on ethanol and rapeseed oil. Kirov: Vyatskiy GATU; 2021.
- Lihanov VA, Lopatin OP. Heat generation in biofuel tractor diesel engines. Tractors and Agricultural Machinery. 2019;86(2):3–9. doi: 10.31992/0321-4443-2019-2-3-9
Supplementary files










