Influence of the Mg/MoO3 additive to diesel fuel on heat output
- Authors: Abalyaev A.Y.1, Lyukhter A.B.1
-
Affiliations:
- Vladimir State University named after A.G. and N.G. Stoletovs
- Issue: Vol 90, No 3 (2023)
- Pages: 245-255
- Section: Theory, designing, testing
- Submitted: 05.07.2023
- Accepted: 10.07.2023
- Published: 14.09.2023
- URL: https://journals.eco-vector.com/0321-4443/article/view/529698
- DOI: https://doi.org/10.17816/0321-4443-529698
- ID: 529698
Cite item
Abstract
BACKGROUND: The study results of influence of the Mg/MoO3 composite nanoadditive on the combustion process in the 4Ch10.5/12 diesel engine are given. It is shown that the heat output process in diesel engines divides into two phases: kinetic and diffusive combustion. The review of simulation methods for the heat output process in a diesel engine considering kinetic and diffusive combustion based on the I.I. Vibe’s method is presented. The review of methods of indicator diagram processing helping to obtain parameters of the Vibe’s heat output law for the two-phase combustion for the sake of following simulation and working process analysis is made. The heat output analysis of the 4Ch10.5/12 diesel engine indicator diagram processing using the Mg/MoO3 composite nanoadditive is made.
AIMS: Research of the influence of the Mg/MoO3 composite nanoadditive to fuel on the heat output process in a diesel engine.
METHODS: The 4Ch10.5/12 air-cooled diesel engine with factory-built fuel supply system was tested at the engine test rig. During the research, influence of the Mg/MoO3 composite nanoadditive to fuel on the heat output process was studied.
RESULTS: It is found that using the nanoadditive leads to decreasing hardness of combustion process, reduction of self-ignition time delay, increasing the maximal temperature of working body in a combustion chamber, reduction of amount of heat output at the kinetic combustion. Working body temperature increase and simultaneous maximal cycle pressure decrease testify the growth of pre-expansion degree. Parameters of diffusive combustion remain almost stable no matter of mass fraction of the nanoadditive in diesel fuel.
CONCLUSIONS: It was revealed that nanoparticles of the Mg/MoO3 additive serve as a homogenizer helping to destroy drops of the sprayed fuel and to intensify the evaporation process. Moreover, the nanoparticles serve as self-ignition centers at early stages of the combustion process.
Keywords
Full Text
ВВЕДЕНИЕ
Улучшение мощностных, экономических и экологических показателей двигателей внутреннего сгорания не может происходить только лишь путем изменения конструкции силового агрегата и его систем. Важной составляющей совершенствования дизелей является воздействие на процесс тепловыделения. Широкое применение электронных систем управления и развитие систем топливоподачи привело к улучшению топливной экономичности и экологичности современных дизелей. Однако, наблюдаемый сегодня переход на «зеленую» энергетику приводит, в том числе, к необходимости применения как топлив растительного происхождения, так и нефтяных топлив утяжеленного фракционного состава. Их использование ведет к повышенному нагаро- и сажеобразованию, ухудшению индикаторных и эффективных показателей дизеля и увеличению расхода топлива. Решение этих проблем возможно путем предварительной обработки топлива, например, проведению реакции этерификации растительных масел – взаимодействия жирных кислот с метиловым спиртом в присутствии катализатора, или крекинга тяжелых нефтяных топлив. Однако, такая обработка отличается повышенной опасностью как применительно к жизни и здоровью человека, так и по отношению к окружающей среде. Второй путь модификации топлив – использование различного рода присадок и добавок, оказывающих воздействие на протекание процесса тепловыделения в дизелях. Одной из перспективных присадок такого рода является композиционная наноприсадка Mg/MoO3. Исследование ее влияния на процессы тепловыделения в дизелях является актуальным.
МЕТОДЫ ИССЛЕДОВАНИЯ
Объектом исследования является атмосферный дизель воздушного охлаждения 4Ч10,5/12 (Д-37Е) производства ОАО ВМТЗ (г. Владимир, Россия), оснащенный штатной системой топливоподачи, включающей в себя топливный насос высокого давления УТН-5 и форсунки ФД-22 производства ОАО НЗТА (г. Ногинск, Московская обл., Россия). Установочный угол опережения впрыскивания составлял θвпр=23,6 °ПКВ до ВМТ, частота вращения коленчатого вала n =1500 мин-1.
Для регистрации и обработки индикаторных диаграмм использовался измерительно-вычислительный комплекс для регистрации, накопления и обработки информации о быстропротекающих процессах в ДВС производства АОЗТ “Спектр” (г. Павловский посад, Московская обл., Россия) [1]. Регистрация индикаторных диаграмм проводилась с шагом дискретизации равным 2/3 °ПКВ.
Определение момента начала видимого сгорания проводилось по методике, описанной в [2].
Композиционная наноприсадка к дизельному топливу представляет собой инертный, при нормальных условиях, порошок серого цвета, состоящий из частиц оксида молибдена MoO3 диаметром 20 нм с включением наночастиц магния Mg. Состав композита в массовых долях . Насыпная плотность равняется 2,99 г/см3. При нагревании до температуры выше 180 °С между компонентами композита протекает экзотермическая реакция
(1)
Теплотворная способность композита составляет 4900 кДж/кг.
Массовая доля композита в топливе, в процессе исследований, изменялась в пределах С = 0…0,04.
РЕЗУЛЬТАТЫ ИССЛЕДОВАНИЯ И ИХ ОБСУЖДЕНИЕ
Часовой расход топлива и воздуха при работе дизеля на топливе, с различным содержанием наноприсадки, приведены в таблице 1.
Таблица 1. Параметры работы дизеля 4Ч10,5/12 / Table 1. The 4Ch10.5/12 diesel engine operation indicators
Массовая доля наноприсадки в топливе, С | Часовой расход топлива, Gт, кг/ч | Часовой расход воздуха, Gв, кг/ч | Коэффициент избытка воздуха, α |
0 | 7,81 | 184,8 | 1,63 |
0,01 | 7,66 | 183,3 | 1,65 |
0,02 | 7,74 | 183,6 | 1,64 |
0,03 | 7,72 | 183,2 | 1,64 |
0,04 | 7,78 | 183,0 | 1,62 |
Данные таблицы 1 показывают незначительное изменение часового расхода топлива в процессе проведения эксперимента. Величина часового расхода воздуха, при этом, остается практически постоянной. Коэффициент избытка воздуха изменяется в пределах α=1,62…1,65 отклоняясь от среднего значения не более чем на 0,97%.
Индикаторные диаграммы, полученные в ходе экспериментальных исследований, представлены на рис. 1.
Рис. 1. Индикаторные диаграммы дизеля 4Ч10,5/12 при работе на дизельном топливе с массовой долей наноприсадки C: – 0; ---- – 0,01; ···· – 0,02; –·– – 0,03; — – 0,04; ○ – начало сгорания. / Fig. 1. The 4Ch10.5/12 diesel engine indicator diagrams at operation using the diesel fuel with the nanoadditive mass fraction C: solid line – 0; short-dashed line – 0.01; dotted line – 0.02; dot-dashed line – 0.03; long-dashed line – 0.04; circles – start of combustion.
Анализ, представленных на рис. 1, данных, показывает, что применение наноприсадки позволило снизить максимальное давление цикла pz с 5,32 МПа при работе двигателя на чистом дизельном топливе, до 5,14 МПа при C=0,01 и 5,09…5,10 МПа при C>0,01.
Анализ данных, приведенных в таблице 2, показывает, что с увеличением массовой доли композиционной наноприсадки в топливе максимальная скорость повышения давления (dp/dφ)max уменьшается на 44,3% с 0,440 МПа/°ПКВ при работе на чистом дизельном топливе до 0,245 МПа/°ПКВ при С=0,04. Уменьшение жесткости процесса сгорания приводит к понижению ударных нагрузок в кривошипно-шатунном механизме и снижению механического и газодинамического шума. Последнее особенно важно для двигателей воздушного охлаждения, т. к. позволяет существенно уменьшить акустическое воздействие силового агрегата на окружающую среду. Необходимо отметить тот факт, что наблюдаемые при использовании наноприсадки величины скорости нарастания давления характерны для дизелей с газотурбинным наддувом.
Таблица 2. Результаты обработки индикаторных диаграмм / Table 2. Results of the indicator diagram processing
Массовая доля нано-присадки в топливе, С | Максимальное давление цикла, pz, МПа | Максимальная температура цикла, Tmax, К | Период задержки само-воспламенения ti, мс | Максимальная скорость нарастания давления, (dp/dφ)max, МПа/°ПКВ | Относительный индикаторный КПД, ηiо |
0 | 5,32 | 1530 | 1,50 | 0,440 | 1,000 |
0,01 | 5,14 | 1566 | 1,35 | 0,288 | 1,096 |
0,02 | 5,10 | 1576 | 1,35 | 0,275 | 1,099 |
0,03 | 5,10 | 1591 | 1,35 | 0,253 | 1,122 |
0,04 | 5,09 | 1603 | 1,35 | 0,245 | 1,100 |
Применение композиционной наноприсадки приводит к увеличению максимальной температуры цикла на 4,7%, с Tmax=1530 К при работе дизеля на чистом дизельном топливе до Tmax=1603 К при увеличении массовой доли композиционной присадки до С=0,04. Это приводит к ухудшению теплонапряженного состояния деталей цилиндропоршневой группы, что, для дизеля воздушного охлаждения, ведет к необходимости оценки теплового состояния и, возможно, к проведению мероприятий по увеличению эффективности системы охлаждения.
Добавление композиционной наноприсадки Mg/MnO3 в дизельное топливо ведет к увеличению индикаторного КПД цикла. Результаты определения относительного индикаторного КПД ηiо, определяемого относительно ηi цикла при C=0, (табл. 2) показывают, что с увеличением массовой доли присадки происходит повышение ηiо более чем на 12% при C=0,03. Такой эффект от применения наноприсадки связан с увеличением полноты индикаторной диаграммы [3]. Дальнейший рост C ведет к уменьшению относительного индикаторного КПД. Наблюдаемое при этом уменьшение максимального давления цикла и увеличение максимальной температуры сгорания свидетельствуют об увеличении доли теплоты, подводимой после ВМТ, и, следовательно, к увеличению степени предварительного расширения, что, в свою очередь, ведет к уменьшению эффективности термодинамического цикла, и, как следствие, к уменьшению индикаторного КПД.
Количество теплоты, подводимой с присадкой, составляет от qин=2,10 до qин=9,03 Дж/цикл (таблица 3), что составляет от 0,10% до 0,45% от общего количества подводимой к рабочему телу теплоты, равного 2024 Дж/цикл. Следовательно, количество подводимой с присадкой теплоты не оказывает существенного влияния на тепловой баланс дизеля.
Таблица 3. Результаты обработки индикаторных диаграмм на тепловыделение / Table 3. Results of the indicator diagram processing for heat output
Массовая доля наноприсадки в топливе, C | Теплота, вводимая с наноприсадкой, qин, Дж | Теплота, выделяющаяся в период с начала сгорания qti, Дж |
0 | 0,00 | 0,00 |
0,01 | 2,10 | 1,60 |
0,02 | 4,30 | 1,71 |
0,03 | 8,50 | 1,73 |
0,04 | 9,03 | 1,76 |
Анализ данных, представленных в таблице 3, показывает, что при использовании наноприсадки, в период от начала сгорания до момента самовоспламенения чистого дизельного топлива (С=0), количество выделяющейся теплоты qti остается практически неизменным [3], независимо от массовой доли присадки. Отсюда можно сделать вывод о том, что нанокомпозиционная присадка, равномерно распределенная по объему топлива, при испарении капли попадает на ее поверхность, где нагревается до температуры начала реакции (1). Результатом реакции восстановления молибдена является дробление капель распыленного топлива и возникновение активных центров реакции, приводящих к уменьшению ti. Незначительное изменение qti с увеличением C объясняет постоянную, независимую от массовой доли нанокомпозита в топливе, величину периода задержки самовоспламенения.
Для анализа влияния композитной наноприсадки на характеристику тепловыделения, особенно на начальных стадиях сгорания, использовались параметры модифицированной модели И.И. Вибе [4]. Ее отличие от оригинальной методики заключается в разбиении процесса сгорания на два этапа: кинетическое сгорание – выгорание паров топлива, образовавшихся за период задержки самовоспламенения, и диффузионное сгорание – объединяющее процессы управляемого сгорания на участке топливоподачи, развитое горение и догорание. Такой подход соответствует более сложным и развитым моделям процесса сгорания, учитывающим большее количество факторов, например, [5]. Подобные модификации модели тепловыделения [4], получившие название «двойной функции Вибе», известны и достаточно хорошо описаны в литературе [6–10].
Одной из первых работ, посвященных использованию функции тепловыделения Вибе для расчета процессов совместного выгорания паров топлива, образовавшихся за период задержки самовоспламенения, и сгорания основной дозы, является [6]. В ней описана математическая модель процесса тепловыделения в дизелях, базирующаяся на методике [4], однако учитывающая выгорание паров топлива, образовавшихся в период задержки самовоспламенения. Для этого вводился переменный показатель характера сгорания m, равный
где – относительная продолжительность сгорания; t – текущее время сгорания, с; – полное время сгорания, начиная с момента начала подачи топлива; tz – продолжительность процесса сгорания, с; τm – относительное время достижения максимальной скорости сгорания.
Уравнение скорости относительного тепловыделения дополняется функцией динамики сгорания [6]
и принимает вид
,
где для xz=0,999 – коэффициент полноты выгорания топлива.
Совмещение начала процесса сгорания с моментом начала впрыскивания приводит к необходимости уменьшения доли выделившийся теплоты за время задержки самовоспламенения и увеличения скорости относительного тепловыделения в начальный период сгорания, продолжительность которого оценивается авторами в 0,5ti.
В работе [7] предложено разделить процесс сгорания на два не связанных друг с другом этапа:
,
где ak, ad – коэффициенты полноты выгорания топлива в кинетическом и диффузионном процессах сгорания; τk – продолжительность кинетического сгорания, с; mk, md – показатели характера кинетического и диффузионного сгорания.
Одна из наиболее распространенных методик описания двухстадийного сгорания в дизелях, используемая в данной работе, предполагает суперпозицию протекающих в камере сгорания независимых процессов тепловыделения [8–10], при этом, процессы кинетического сгорания и начало процесса диффузионного сгорания протекают одновременно. В этом случае характеристика относительного тепловыделения определяется как
, (2)
а скорость относительного тепловыделения:
, (3)
где xk – относительная теплота, выделившаяся в результате кинетического сгорания; xd – относительная теплота, выделившаяся в результате диффузионного сгорания; w, wk, wd – скорости относительного тепловыделения суммарная, в процессе кинетического и диффузионного сгорания, соответственно; σk – доля теплоты, выделившаяся в результате кинетического сгорания;
В выражениях (2) и (3) относительное тепловыделение вычисляется как
,
,
а скорость относительного тепловыделения
,
,
где , – относительная продолжительность кинетического и диффузионного сгорания, соответственно.
Определение параметров σk, τk, mk и md можно осуществлять различными методами. Например, в работе [7], для определения τk, τz, mk, mz используется метод построения логарифмической анаморфозы интегральной характеристики тепловыделения, аналогичный [4], за исключением того, что продолжительность и показатели характера сгорания определяются для каждого периода.
В работе [9] предлагается определять параметры процесса тепловыделения двойной функции Вибе, подобной (2), с помощью одного из двух методов: полного перебора или градиентного спуска. В работе показано, что метод градиентного спуска позволяет определять требуемое сочетание параметров с достаточной точностью при ограниченных вычислительных ресурсах.
В [10], несмотря на использование зависимости (2) для расчета процесса тепловыделения дизеля с турбонаддувом, не делается предположений относительно определения параметров двойной функции Вибе по результатам обработки индикаторных диаграмм, полученных экспериментальным путем.
В работе [11], для определения параметров двойной функции Вибе, используется метод наименьших квадратов, позволяющий обеспечить наилучшее приближение расчетной характеристики тепловыделения к экспериментальной, полученной с помощью обработки индикаторной диаграммы.
Необходимо отметить тот факт, что численные методы, в частности, основанные на решении задачи оптимизации, оказываются достаточно трудоемкими, и требуют не менее 100 итераций для определения такого сочетания параметров двойной функции тепловыделения Вибе, которое обеспечит отклонение расчетной кривой относительного тепловыделения от экспериментальной не более 5% [9].
Использование в чистом виде логарифмических анаморфоз кривой относительного тепловыделения не дает информации о доле теплоты, выделившейся в процессе кинетического сгорания, а определение показателей характера сгорания на каждом из участков тепловыделения может быть осуществлено с достаточно большой погрешностью [4]. В тоже время, наиболее сложной задачей, в процессе нахождения параметров двойной функции Вибе, является именно определение продолжительности кинетического сгорания.
Для определения mk, md, τk и σk в настоящей работе предлагается использовать следующую последовательность действий:
- Для экспериментальной индикаторной диаграммы, по методике, подобной [2], определяются углы начала и окончания сгорания.
- С помощью одной из известных методик обработки индикаторных диаграмм на тепловыделение, подобных реализованной в [1], проводится определение относительного тепловыделения и скорости относительного тепловыделения.
- По величине относительного времени сгорания, соответствующего максимальному значению скорости относительного тепловыделения [4]
(4)
определяется показатель характера диффузионного сгорания md.
- Доля теплоты, выделяющейся в процессе кинетического сгорания, определяется по величине
или
,
где wdm и xdm – максимальная скорость относительного тепловыделения и относительное количество теплоты в момент τm, определяемые в результате обработки индикаторной диаграммы;
и – расчетные максимальная скорость относительного тепловыделения и относительное количество теплоты в момент времени τm.
- По логарифмической анаморфозе кривой относительного тепловыделения [4]
,
.
определяется продолжительность кинетического сгорания. Ордината точки пересечения прямых, соответствующих участкам диффузионного и кинетического сгорания, Yk, позволяет определить величину
.
- Для разности кривых скоростей суммарного (экспериментального) и диффузионного (расчетного, wd) тепловыделения, в диапазоне 0 < τ < τk, определяется относительное время максимальной скорости кинетического сгорания, после чего, с использованием выражения (4), проводится вычисление показателя характера сгорания mk.
Описанная процедура позволяет с достаточно высокой точностью определить параметры, описывающие теоретическую кривую тепловыделения с учётом двухстадийного сгорания топлива в дизелях.
Результаты определения параметров кинетического и диффузионного сгорания по описанной выше последовательности действий при обработке индикаторных диаграмм дизеля 4Ч10,5/12, работающего на топливе с различным содержанием композиционной наноприсадки, на тепловыделение приведены в таблице 4.
Таблица 4. Параметры процесса сгорания при двухфазном тепловыделении / Table 4. Parameters of the combustion process at two-phase heat output
Массовая доля наноприсадки в топливе, С | Доля теплоты, подведенная в процессе кинетического сгорания, σk | Относительная продолжительность кинетического сгорания, τz /τk | Показатель характера кинетического сгорания, mk | Показатель характера диффузионного сгорания, md |
0 | 0,12 | 15,07 | 7,56 | 0,60 |
0,01 | 0,09 | 15,21 | 1,84 | 0,61 |
0,02 | 0 | – | – | 0,66 |
0,03 | 0 | – | – | 0,61 |
0,04 | 0 | – | – | 0,60 |
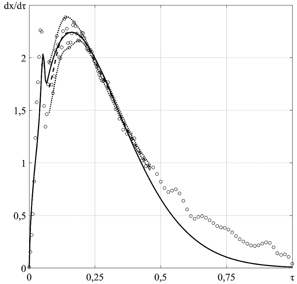
На рис. 2 показаны результаты обработки индикаторной диаграммы двигателя, работающего на чистом дизельном топливе, на тепловыделение, и построенную по формуле (3) кривую скорости относительного тепловыделения по данным таблицы 4 при C=0.
Рис. 2. Скорость относительного тепловыделения при работе дизеля 4Ч10,5/12 на дизельном топливе (C=0): ○ – эмпирическая; ···· – верхняя и нижняя огибающие; ---- – среднее значение; — – вычисленная по выражению (3) с параметрами из табл. 4. / Fig. 2. Relative heat output rate at operation of the 4Ch10.5/12 diesel engine using the diesel fuel with C=0: circles – empirical; dotted line – upper and lower boundaries; dashed line – average value; solid line – calculated using the equation (3) with the parameters from Table 4.
Следует обратить внимание на то, что на эмпирической характеристике скорости относительного тепловыделения полученной в результате обработки индикаторной диаграммы, на участке развитого горения и догорания присутствуют искажения (см. рис. 2), обусловленные различными причинами, такими как волновые процессы в системе топливоподачи на линии высокого давления, колебания иглы форсунки, периодические процессы при образовании и развитии факела распыленного топлива, колебанием скорости распространения фронта пламени, волновыми процессами в канале датчика давления в цилиндре, погрешностями при регистрации индикаторной диаграммы, в частности при аналого-цифровом преобразовании и осреднении многоцикловой индикаторной диаграммы для последующей обработки, а также погрешностями, вносимыми при обработке индикаторной диаграммы на тепловыделение, характерными для используемых численных схем. Для снижения влияния этих искажений, на участке диффузионного сгорания, производится построение верхней и нижней огибающих характеристики скорости относительного тепловыделения и вычисление среднего значения относительной скорости тепловыделения в каждый момент времени (см. рис. 2).
На рис. 3 представлены кривые скорости относительного тепловыделения полученные экспериментальным и расчетным, по данным таблицы 4, путем.
Рис. 3. Скорость относительного тепловыделения: ○ – эмпирическая; — - вычисленная по выражению (3) с параметрами из табл. 4; a – C=0,01; b – C=0,02; c – C=0,03; d – C=0,04. / Fig. 3. Relative heat output rate: circles – empirical; solid line – calculated using the equation (3) with the parameters from Table 4: a – C=0,01; b – C=0,02; c – C=0,03; d – C=0,04.
Анализ данных, представленных в таблице 4 и на рис. 2, 3, показывает, что с увеличением доли наноприсадки в дизельном топливе доля теплоты, выделившейся в период кинетического сгорания, уменьшается с 0,12 при работе двигателя на чистом топливе (без присадки) до 0 при массовой доле присадки 2% и более. Анализ эмпирических кривых скорости относительного тепловыделения (см. рис. 3) показывает, что с увеличением доли наноприсадки в топливе первый пик скорости относительного тепловыделения существенно уменьшается, что свидетельствует о снижении доли теплоты, подведенной в процессе кинетического сгорания.
Использование дизельного топлива с массовой доли композиционной наноприсадки C=0,01 приводит к уменьшению, по сравнению с дизелем, работающем на чистом топливе, доли теплоты, выделившейся в кинетической фазе сгорания, до величины σk=0,09. Это является следствием, во-первых, выполнения присадкой роли гомогенизирующего агента, заключающейся в дроблении и интенсификации процесса испарения капель распыленного топлива, и, во-вторых, выполнением наночастицами присадки роли центров самовоспламенения, приводящей к увеличению интенсивности процесса сгорания дизельного топлива на ранних этапах процесса подвода теплоты.
Применение композиционной наноприсадки приводит к существенному уменьшению показателя кинетического сгорания (таблица 4). Так, при C=0,01 показатель кинетического сгорания mk уменьшается с 7,56 до 1,84, что делает процесс выгорания паров топлива, образовавшихся за период задержки самовоспламенения, т.е., сгорания гомогенной топливовоздушной смеси, для которого характерны значения показателя характера сгорания m≥2, более похожей на сгорание дизельного топлива, характеризующегося величинами m<2 [4]. Дальнейшее увеличение C делает процесс кинетического тепловыделения неотличимым от диффузионного. Таким образом, при увеличении доли наноприсадки до C=0,02 и более, процесс сгорания в дизеле становится управляемым на всех стадиях.
В тоже время, применение наноприсадки оказывает незначительное влияние на величину показателя характера диффузионного сгорания. При увеличении доли присадки в топливе до C =0,02 показатель характера диффузионного сгорания md увеличивается с 0,60 до максимального значения, равного 0,66 (таблица 4), а при дальнейшем увеличении доли наноприсадки уменьшается до исходного значения md =0,60 при C =0,04. Несущественное изменение показателя диффузионного сгорания является следствием малого количества теплоты, подводимого к рабочему телу в камере сгорания дизеля в результате воздействия наноприсадки (таблица 3), и незначительного влияния присадки на развитое сгорание и догорание дизельного топлива.
Добавление композиционной наноприсадки приводит к уменьшению периода задержки самовоспламенения ti на 0,15 мс, с ti =1,50 мс при работе двигателя на чистом дизельном топливе до ti =1,35 мс при добавлении композиционной наноприсадки. Следует отметить тот факт, что увеличение массовой доли наноприсадки в топливе с 0,01 до 0,04 не приводит к сокращению ti. Следовательно, можно сделать вывод о том, что использование наноприсадки в любой концентрации приводит к образованию достаточного для уменьшения периода задержки самовоспламенения активных центров реакции.
При массовой доле наноприсадки меньшем или равном C=0,01 относительная продолжительность кинетического сгорания τd /τk практически не изменяется (табл. 4). Незначительный ее рост при увеличении доли наноприсадки в топливе до C =0,01 объясняется сокращением периода задержки самовоспламенения. Увеличение массовой доли присадки до C =0,02 и выше приводит к уменьшению доли теплоты, выделившейся в процессе кинетического сгорания, практически до нуля, а сам процесс сгорания становится неотличим от диффузионного управляемого горения в дизелях.
ВЫВОДЫ
- Применение композиционной наноприсадки Mg/MoO3 позволяет улучшить экономические показатели дизеля, о чем свидетельствует снижение минимального часового расхода топлива Gт с 7,81 кг/час при работе дизеля на чистом дизельном топливе до 7,66 кг/ч при C =0,01, сократить максимальную скорость повышения давления на 44,3%, увеличить относительный индикаторный КПД до ηiо = 1,122 при C =0,03, снизить максимальное давление цикла с 5,32 МПа до 5,09 МПа, сократить период задержки самовоспламенения на 0,15 мс.
- Использование наноприсадки приводит к повышению максимальной температуры цикла на 73К, что может привести к ухудшению теплонапряженного состояния деталей цилиндропоршневой группы, особенно в дизелях воздушного охлаждения.
- Снижение максимального давления цикла с одновременным увеличением максимальной температуры рабочего тела в процессе сгорания свидетельствует об увеличении степени предварительного расширения в процессе подвода теплоты.
- Предложенная методика определения параметров двойной функции Вибе, моделирующей процессы кинетического и диффузионного сгорания, базируется на закономерностях, установленных в оригинальной методике описания процесса подвода теплоты, и обеспечивает приемлемую точность при минимальном использовании вычислительных ресурсов.
- Использование наноприсадки приводит к сокращению доли теплоты, выделяющейся при кинетическом сгорании, σk до нуля при C ≥0,02, относительная продолжительность кинетического сгорания, при σk >0, остается неизменной, показатель характера диффузионного сгорания изменяется незначительно.
- Композиционная наноприсадка Mg/MoO3 выполняет роль гомогенизируещего фактора, способствует разрушению капель распыленного топлива, а также приводит к образованию дополнительных центров самовоспламенения, что позволяет увеличить интенсивность испарения и сгорания топлива на ранних этапах процесса подвода теплоты.
ДОПОЛНИТЕЛЬНО
Вклад авторов. А.Ю. Абаляев ― поиск публикаций по теме статьи, написание и редактирование текста рукописи; А.Б. Люхтер ― редактирование текста рукописи, экспертная оценка, утверждение финальной версии. Авторы подтверждают соответствие своего авторства международным критериям ICMJE (все авторы внесли равноправный вклад в разработку концепции, проведения исследования и подготовку статьи).
Конфликт интересов. Авторы декларируют отсутствие явных и потенциальных конфликтов интересов, связанных с публикацией настоящей статьи.
Источник финансирования. Авторы заявляют об отсутствия внешнего финансирования при проведении исследования.
ADDITIONAL INFORMATION
Authors’ contribution. A.Yu. Abalyaev ― search for publications, writing and editing the text of the manuscript; A.B. Lyukhter ― editing the text of the manuscript, expert opinion, approval of the final version. All authors made a substantial contribution to the conception of the work, acquisition, analysis, interpretation of data for the work, drafting and revising the work, final approval of the version to be published and agree to be accountable for all aspects of the work.
Competing interests. The authors declare that they have no competing interests.
Funding source. This study was not supported by any external sources of funding.
About the authors
Andrey Yu. Abalyaev
Vladimir State University named after A.G. and N.G. Stoletovs
Author for correspondence.
Email: ice_aya@bk.ru
ORCID iD: 0000-0003-0590-321X
SPIN-code: 2180-2769
Dr. Sci. (Tech.), Head of the Heat Engines and Power Plants Department
Russian Federation, 87 Gorkiy street, 600000 VladimirAlexander B. Lyukhter
Vladimir State University named after A.G. and N.G. Stoletovs
Email: 3699137@mail.ru
ORCID iD: 0000-0003-1523-0637
SPIN-code: 5633-5549
Dr. Sci. (Tech.), Associate Professor of the Heat Engines and Power Plants Department
Russian Federation, 87 Gorkiy street, 600000 VladimirReferences
- Abalyaev AYu, Ivanchenko AB, Starchak VK. IVK ICE as a basis for automation of measurements. In: International scientific-practical conference “Fundamental and applied problems of improving piston engines”: materials of the XI Intern. Scientific-practical conf. May 27–29, 2008. Vladimir: izd-vo VlGU; 2008:131–136. (In Russ.).
- Abalyaev AYu. On the issue of determining the angle of combustion on the indicator diagram. In: Actual problems of vehicle operation: materials of the XVI Intern. Scientific-practical. conf. November 20–21, 2014. Vladimir: izd-vo VlGU; 2014:258–261. (In Russ.).
- Abalyaev AYu, Basurov VM, Guskov VF. Influence of nanocomposite additive Mg/MOO3 to fuel on the combustion process in diesel. In: Improving the performance of internal combustion engines: Proceedings of the IV International Scientific and Practical Conference “Science – Technology – Resource Saving”: collection of scientific papers, Kirov, February 07, 2011. Kirov: Vyatskaya gosudarstvennaya selskokhozyaystvennaya akademiya; 2011:3–4. (In Russ.).
- Vibe II. New about engine duty cycle: combustion rate and engine duty cycle. Moscow, Sverdlovsk: Mashgiz; 1962. (In Russ.).
- Razleytsev NF. Modeling and optimization of the combustion process in diesel engines. Kharkiv: Vishcha shkola; 1980. (In Russ.).
- Razleytsev NF, Filipkovsky AI. Mathematical model of the combustion process in a diesel engine with jet mixing. Dvigatelestroenie. 1990;7:52–56. (In Russ.).
- Lazarev E.A. Physical concepts and mathematical models of the fuel combustion process in a diesel engine. Vestnik YuUrGU. Seriya «Mashinostroenie». 2010;10(15):32–39. (In Russ.).
- Pesic R., Milojević S., Davinić A., et al. The experimental VCR diesel engine and determination of double vibe function parameters // Proceedings of the 9th International Congress on Automotive CAR2005 2–4 november 2005, Pitesti, Romania, 2005, pp. 1–10. ISBN 973-690-450-4
- Bolotov PO. Calculation and Experimental Determination of Heat Release Parameters in an Engine Cylinder with Spark Ignition. Politekhnicheskiy molodezhnyy zhurnal. 2018;9(26):1–12. (In Russ.). doi: 10.18698/2541-8009-2018-9-381
- Abalyaev AY, Gavrilov AA, Gots AN. The Algorithm of Calculation of the Four-Stroke Turbocharged Diesel Engine Cycle Using the Compressor Efficiency Map. Lecture Notes in Mechanical Engineering. 2022;619-626. doi: 10.1007/978-3-030-85233-7_73
- Pesic R, Davinić A, Taranović D, et al. Experimental determination of double vibe function parameters in diesel engines with biodiesel. Thermal Science. 2010;14:197-208. doi: 10.2298/TSCI100505069P
Supplementary files






