Analysis of the influence of radial stiffness of the metal wheel on traction characteristics
- Authors: Pashkovsky R.R.1, Evseev K.B.1
-
Affiliations:
- Bauman Moscow State Technical University
- Issue: Vol 91, No 2 (2024)
- Pages: 229-242
- Section: Theory, designing, testing
- Submitted: 12.01.2024
- Accepted: 13.04.2024
- Published: 19.07.2024
- URL: https://journals.eco-vector.com/0321-4443/article/view/625591
- DOI: https://doi.org/10.17816/0321-4443-625591
- ID: 625591
Cite item
Abstract
BACKGROUND: The traction characteristic of a wheel mover depends both on its design, which defines its stiffness, and on the physical-mechanical properties of soil. The combined use of the discrete element method to describe the soil and the finite element method to model the wheel makes it possible to specify and expand the existing empirical models of the interaction of the mover with the ground surface. The application of this method helps to reduce the amount of full-scale testing required to verify the interaction model.
AIM: Improvement of the traction characteristic of a metal wheel by varying its design parameters.
METHODS: Numerical methods of discrete and finite elements are used to develop a mathematical model of a metal wheel and determine traction characteristics.
RESULTS: In this paper, the mathematical model of the metal wheel with ability to vary the thickness of the elastic sidewall was developed. Radial stiffness characteristics were obtained for three wheel samples. The developed mathematical model of the interaction of a wheel mover with a ground surface is based on the application of discrete and finite element methods. A proportional controller was used to create the forces applied to the wheel mover. The dependences of the longitudinal reaction coefficient on the slip coefficient were obtained and a comparative analysis of the radial stiffness influence on traction characteristics was carried out.
CONCLUSION: The combined application of the discrete and finite element methods will make it possible to determine the traction characteristics of the movers of various designs when interacting with a deformable soil and to evaluate the influence of its design parameters on it.
Full Text
ВВЕДЕНИЕ
В настоящее время существует большое количество работ, связанных с исследованием взаимодействия металлоупругих колёс (МУК) с несвязным грунтом [1–5]. Данные типы движителей применяются в тех местах, где нет возможности использовать колёсные движители классической пневматической конструкции.
Физико-механические свойства несвязного грунта и конструкция колёсного движителя определяют тягово-сцепные и тягово-энергетические характеристики. Использование метода дискретных элементов позволяет разработать математическую модель грунта для уменьшения количества проводимых натурных испытаний и сокращения времени исследований. Моделирование взаимодействия движителя с деформируемым опорным основанием с учётом его реальных жёсткостных свойств позволяет проанализировать влияние его различных конструктивных параметров на тягово-сцепные характеристики. Совместное применение методов дискретных элементов и конечных элементов позволяет прогнозировать показатели опорной проходимости транспортного средства при наличии верифицированной математической модели несвязного грунта и движителя без проведения натурных испытаний.
Моделирование с использованием метода конечных элементов металлоупругих колёс существенно проще по сравнению с моделированием резинокордной оболочки шины, для которой требуется учёт анизотропных свойств материала, связанных с наличием различным образом ориентированных ортотропных слоёв. Кроме этого, проведено большое количество натурных испытаний металлоупругих колёс при движении по различным грунтам, результаты которых опубликованы в работах [4, 5]. Наибольшее распространение получили колеса с упругим ободом в виде единой оболочки и колеса с упругим каркасом из отдельных упругих элементов.
При проведении исследований взаимодействия движителя с деформируемым опорным основанием в качестве несвязного грунта выбран сухой песок. Для верификации математической модели используются тягово-сцепные характеристики колёсного движителя с различными радиальными жёсткостями. Полученные результаты можно использовать для оценки влияния различных конструктивных параметров МУК на тягово-сцепные свойства.
ЦЕЛЬ ИССЛЕДОВАНИЯ
Совершенствование тягово-сцепных характеристик металлоупругого колеса путем варьирования конструктивных параметров.
МАТЕРИАЛЫ И МЕТОДЫ
Для разработки математической модели металлоупругого колеса и определения тягово-сцепных характеристик используются методы имитационного математического моделирования, в том числе, методы дискретных и конечных элементов.
РАЗРАБОТКА МАТЕМАТИЧЕСКОЙ МОДЕЛИ МЕТАЛЛОУПРУГОГО КОЛЕСА
Для разработки математической модели МУК будем использовать образец колеса из работ Ю.Л. Рождественского и К.Ю. Машкова [4, 5]. На рис. 1 показан образец колеса с упругим каркасом из отдельных элементов, а также основные геометрические размеры, используемые в работе. Упругий каркас выполнен в виде упругих элементов, установленных по периметру внутреннего жёсткого обода радиально. Каждая упругая боковина соединена с жёсткой пластиной. В тангенциальном направлении пластины элементов связаны гибкими стальными лентами и вместе с покрытием из металлической сетки составляли цилиндрическую нерастяжимую беговую дорожку. При проведении натурных испытаний поверхность беговой дорожки (стеклотканевая оболочка и сетчатое покрытие) имело фрикционные качества, минимизирующие её скольжение по поверхностному слою грунта.
Рис. 1. Образец колеса с упругим каркасом.
Fig. 1. The sample of the wheel with an elastic frame.
Рассматриваемый в настоящей работе образец МУК позволяет исследовать зависимость влияния различных конструктивных параметров на тягово-сцепные свойства. Так, например, варьированием толщины боковин можно изменять радиальную жёсткость колеса. Основные параметры колёсного движителя приведены в таблице 1. Рассмотрим 3 варианта МУК с различной толщиной боковины мм.
Таблица 1. Основные параметры МУК
Table 1. Main parameters of the metal wheel
Параметр | Значение |
Наружный диаметр , мм | 680 |
Внутренний диаметр , мм | 460 |
Габаритная ширина колеса , мм | 240 |
Ширина пластины беговой дорожки , мм | 200 |
Расстояние между лентами , мм | 180 |
Ширина одной ленты , мм | 20 |
Толщина пластины беговой дорожки , мм | 2 |
Толщина ленты , мм | 0,5 |
Толщина боковины , мм | 1 / 0,75 / 0,5 |
Количество боковин | 72 |
Конечно-элементная модель (КЭМ) колеса, разработанная в программном комплексе RecurDyn [6], с применением оболочечных конечных элементов (КЭ) типа Shell, показана на рис. 2. Для передачи сил и моментов от оси к колесу использовался элемент FDR (Force Distributing Rigid), который соединяет центральный узел с узлами боковин и ограничивает 2 степени свободы перемещений. Лента соединена с пластинами и боковинами также путём использования элемента указанного типа. В модели используется изотропный линейно-упругий материал. Основные параметры КЭМ приведены в таблице 2.
Рис. 2. Конечно-элементная модель колеса.
Fig. 2. The finite element model of the wheel.
Таблица 2. Основные параметры конечно-элементной модели
Table 2. Main parameters of the finite element model
Параметр | Значение |
Размер КЭ пластины, мм | 10×10 |
Размер КЭ ленты, мм | 5×5 |
Размер КЭ боковины, мм | 5×5 |
Материал | Пружинная сталь 65Г |
Коэффициент демпфирования | 0,01 |
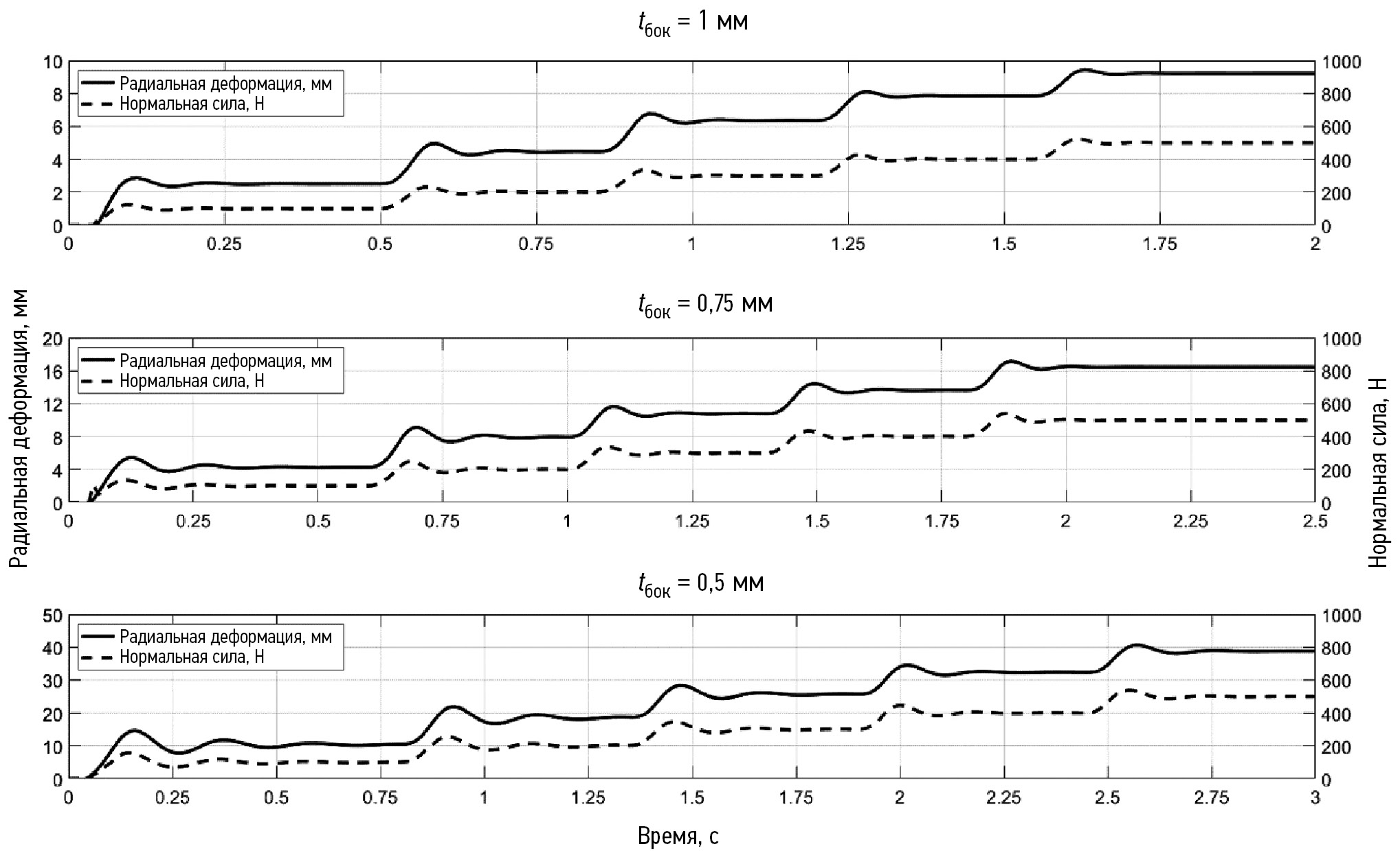
Для построения нагрузочной характеристики МУК к оси колеса ступенчато с шагом изменения 100 Н (от 0 до 500 Н) прикладывается нормальная сила. На рис. 3 показаны зависимости радиальной деформации и нормальной силы от времени. Значение прогиба фиксировалось после окончания переходного процесса.
Рис. 3. Зависимости радиальной деформации колёс и нормальной силы от времени.
Fig. 3. Time-domain graphs of wheel radial deformation and normal force.
На рис. 4 представлены полученные в результате расчётов графики нагрузочной характеристики (зависимость нагрузки от радиальной деформации МУК) с различными значениями толщин боковин, а также результаты натурных испытаний, полученные в работах Ю.Л. Рождественского и К.Ю. Машкова [4, 5]. В указанных работах рассматривалась серия из пяти образцов МУК, отличающихся радиальной жёсткостью — МК-1, МК-2, МК-3, МК-4, МК-5. Образец МК-1 имел наименьшую жёсткость, образец МК-5 — наибольшую жёсткость. Радиальная жёсткость образца МК-5 близка к радиальной жёсткости смоделированного колеса с толщиной боковины мм; а для образца МК-4 — мм.
Рис. 4. Нагрузочные характеристики колёс.
Fig. 4. The wheel load characteristics.
РАЗРАБОТКА МАТЕМАТИЧЕСКОЙ МОДЕЛИ ВЗАИМОДЕЙСТВИЯ ДВИЖИТЕЛЯ С ОПОРНЫМ ОСНОВАНИЕМ
В математической модели взаимодействия отдельных частиц грунта друг с другом силы взаимодействия можно разделить на упругую и диссипативную составляющие, а потери, возникающие из-за трения качения, учитываются путём выбора соответствующей модели.
Наибольшее распространение в программном комплексе EDEM получили следующие модели [7]:
- модель Герца-Миндлина;
- модель Герца-Миндлина с учётом адгезии;
- модель Герца-Миндлина с учётом адгезии версия 2;
- модель трения качения.
Для разработки математической модели взаимодействия движителя с опорным основанием необходимо в первую очередь верифицировать математическую модель грунта. При проведении исследований в качестве несвязного грунта выбран сухой песок, который обеспечивает хорошую повторяемость эксперимента и стабильность механических свойств.
Сравнение существующих математических моделей показало, что математическая модель Герца-Миндлина наилучшим образом подходит для описания несвязного грунта [8]. При верификации модели песка использовались такие параметры грунта, как угол внутреннего трения и связность . Основные физико-механические свойства песка и используемые параметры математической модели приведены в табл. 3 и 4 и были получены в работе [9]. Для снижения затрат машинного времени при моделировании радиус частицы был увеличен до 4 мм.
Таблица 3. Основные физико-механические свойства песка
Table 3. Main physical-mechanical properties of sand
Параметр | Значение |
Плотность грунта, кг/м3 | 1500 |
Плотность скелета, кг/м3 | 2600 |
Связность, кПа | 0 |
Угол внутреннего трения, ° | 33–34 |
Таблица 4. Параметры математической модели
Table 4. The mathematical model parameters
Параметр | Значение |
Плотность частицы, кг/м3 | 2600 |
Модуль сдвига частицы, МПа | 10 |
Коэффициент Пуассона частицы | 0,3 |
Радиус частицы, мм | 4 |
Коэффициенты взаимодействия частицы с частицей | |
Коэффициенты взаимодействия частицы с геометрией | |
Связность, кПа | 0 |
Угол внутреннего трения, ° | 33,8 |
При разработке математической модели взаимодействия движителя с опорным основанием были приняты следующие допущения:
- влияние стеклотканевой оболочки и сетчатого покрытия МУК не учитываются в модели;
- внешняя продольная сила и внешняя нормальная сила постоянны по величине и по направлению в процессе одного цикла моделирования;
- размеры грунтового канала в модели меньше натурных размеров, используемых в эксперименте, для уменьшения времени расчёта.
Расчётная схема качения колеса показана на рис. 5. При расчётах использовались следующие геометрические размеры грунтового канала: мм — длина грунтового канала, мм — ширина грунтового канала, мм — высота грунтового канала.
Рис. 5. Расчётная схема качения колеса.
Fig. 5. The analytical model of wheel rolling.
Движение колеса в общем случае описывается двумя дифференциальными уравнениями (1):
(1)
где — масса колеса; — момент инерции колеса; — продольная и нормальная реакции соответственно; — подводимый к колесу момент; — суммарный момент взаимодействия колёсного движителя с опорным основанием; — линейная скорость колеса; — угловая скорость колеса.
В процессе моделирования к колесу прикладывалась постоянная нормальная сила Н. Для определения тягово-сцепной характеристики колеса использовалось упрощённое управление подводимым к колесу моментом с пропорциональным регулятором (П-регулятором). Подводимый момент для облегчения подбора коэффициента П-регулятора определялся по формуле (2):
(2)
где — изменяющаяся составляющая момента; — управляющий сигнал; — постоянная составляющая момента.
Блок-схема показана на рис. 6. Здесь мм/с — заданная линейная скорость; — ошибка по скорости; — управляющий сигнал, ограниченный от 0 до 1; — внешнее возмущение со стороны грунта. Так как в работе используется П-регулятор, то фактическая линейная скорость колеса будет меньше требуемой на некоторую постоянную величину (установившуюся ошибку).
Рис. 6. Блок-схема.
Fig. 6. The block diagram.
Использование ПИД-регулятора позволит избавиться от необходимости использования двух составляющих момента, однако, требует значительных временных затрат на подбор коэффициентов для адекватного управления движением колеса.
Модель грунтового канала показана на рис. 7.
Рис. 7. Грунтовой канал в EDEM.
Fig. 7. The ground box in the EDEM.
ИССЛЕДОВАНИЕ ВЗАИМОДЕЙСТВИЯ КОЛЕСНОГО ДВИЖИТЕЛЯ С ДЕФОРМИРУЕМЫМ ОПОРНЫМ ОСНОВАНИЕМ С ИСПОЛЬЗОВАНИЕМ МАТЕМАТИЧЕСКОЙ МОДЕЛИ
Одной из основных характеристик взаимодействия колёсного движителя с опорным основанием является тягово-сцепная характеристика , где — коэффициент продольной реакции при установившемся движении, — коэффициент буксования [10].
Первым этапом получения тягово-сцепной характеристики колеса является определение радиуса качения в свободном режиме (). Он определяется по формуле (3):
(3)
Следующим этапом является получение коэффициентов продольной реакции и буксования в ведущих режимах с различным уровнем буксования (). В процессе проведения виртуальных экспериментов задавалась внешняя продольная сила с шагом изменения 30 Н (от 30 до 150 Н). Фиксируемыми параметрами модели для построения тягово-сцепной характеристики являлись линейная и угловая скорости, с помощью которых далее определялся коэффициент буксования для заданного коэффициента продольной реакции.
На рис. 8 и 9 в качестве примера показаны полученные результаты моделирования в свободном (продольная сила ) и ведущем режимах (продольная сила Н) для МУК с толщиной боковины мм. Для колёс с другими толщинами боковин процесс определения тягово-сцепной характеристики аналогичен.
Рис. 8. Результаты моделирования, свободный режим.
Fig. 8. The simulation results for the free rolling mode.
Рис. 9. Результаты моделирования, ведущий режим.
Fig. 9. The simulation results for the traction rolling mode.
В табл. 5, 6 и 7 приведены усреднённые результаты моделирования в интервале времени с. Значения приведены для установившегося режима, поэтому .
Таблица 5. Результаты моделирования качения колеса, мм
Table 5. The wheel rolling simulation results for mm
Режим | , Н·м | , Н | , Н | , рад/с | , мм/с | , мм | ||
Свободный | 7,2 | 0 | 300 | 0,2461 | 81,88 | 332,5 | 0 | 0 |
Ведущий | 17,7 28,3 39,4 50,6 62,9 | 30 60 90 120 150 | 300 | 0,2218 0,2203 0,3207 0,4328 1,0630 | 70,47 64,66 76,41 73,54 66,70 | 317,6 293,5 238,2 169,9 62,9 | 0,045 0,117 0,283 0,489 0,811 | 0,1 0,2 0,3 0,4 0,5 |
Таблица 6. Результаты моделирования качения колеса, мм
Table 6. The wheel rolling simulation results for mm
Режим | , Н·м | , Н | , Н | , рад/с | , мм/с | , мм | ||
Свободный | 14,8 | 0 | 300 | 0,22 | 70,48 | 320,4 | 0 | 0 |
Ведущий | 25,3 35,7 47,2 59,4 | 30 60 90 120 | 300 | 0,2396 0,2716 0,3782 0,6683 | 69,45 68,58 65,62 61,01 | 289,9 252,5 173,5 91,3 | 0,095 0,272 0,458 0,715 | 0,1 0,2 0,3 0,4 |
Таблица 7. Результаты моделирования качения колеса, мм
Table 7. The wheel rolling simulation results for mm
Режим | , Н·м | , Н | , Н | , рад/с | , мм/с | , мм | ||
Свободный | 19,6 | 0 | 300 | 0,2149 | 67,36 | 313,5 | 0 | 0 |
Ведущий | 30,2 41,2 53,1 69,4 | 30 60 90 120 | 300 | 0,2353 0,2895 0,4236 0,7796 | 66,34 64,64 61,58 56,83 | 282,0 223,3 145,4 72,9 | 0,101 0,289 0,536 0,768 | 0,1 0,2 0,3 0,4 |
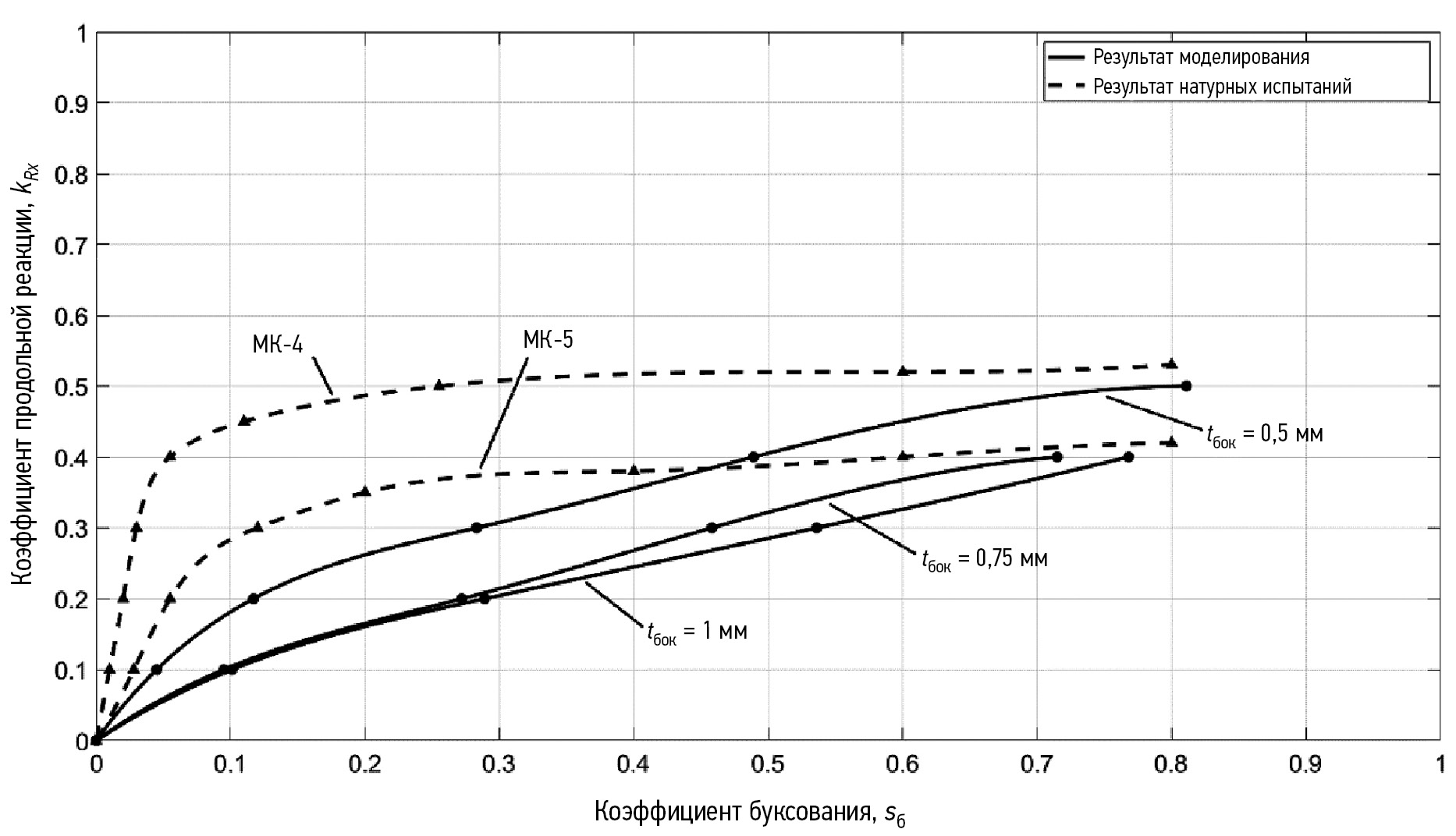
На рис. 10 показаны полученные зависимости коэффициента продольной реакции от коэффициента буксования . Для сравнения показаны тягово-сцепные характеристики образцов МК-4 и МК-5 с радиальными жёсткостями близкими к исследуемым колёсам.
Рис. 10. Тягово-сцепная характеристика.
Fig. 10. The traction characteristic.
Как видно, полученные значения коэффициентов продольной реакции в зоне интенсивного буксования практически совпадают с результатами эксперимента. В зонах малого и среднего буксования наблюдается расхождение с результатами натурных испытаний, что может быть вызвано несколькими факторами, которые не учитывались в модели. Так, например, размеры грунтового канала при моделировании меньше размеров канала, используемого в экспериментах, что приводит к изменению деформации грунта при качении колеса. При верификации математической модели грунта использовались такие параметры грунта, как угол внутреннего трения и связность, т.е. только параметры, влияющие на максимальные касательные напряжения. Кроме этого, при проведении натурных испытаний поверхность беговой дорожки (стеклотканевая оболочка и сетчатое покрытие) имело фрикционные качества, минимизирующие её скольжение по поверхностному слою грунта. С использованием выбранной модели взаимодействия частиц с геометрией реализовать отсутствие скольжения колеса по частицам грунта практически не представляется возможным. Необходимо варьировать параметры взаимодействия частиц с геометрией для уменьшения влияния на результаты, что требует значительных временных затрат.
На рис. 11 показаны эпюры распределения нормальных реакций, когда колесо неподвижно и в ведущем режиме. Значения приведены для колеса с толщиной боковины мм. Для неподвижного колеса распределение реакций является симметричным, а в ведущем режиме суммарная реакция сдвигается по направлению движения на 36 мм, что соответствует результатам экспериментов [11–15].
Рис. 11. Эпюры распределения нормальных реакций под колесом.
Fig. 11. The diagrams of normal force distribution.
РЕЗУЛЬТАТЫ И ОБСУЖДЕНИЕ
Показанные на рис. 10 зависимости коэффициента продольной реакции от коэффициента буксования позволяют качественно оценить влияние радиальной жёсткости МУК на тягово-сцепные свойства.
Уменьшение радиальной жёсткости МУК увеличивает тягово-сцепные свойства. Это объясняется тем, что уменьшается среднее давление на грунт и, как следствие, в пятне контакта может реализоваться большая продольная сила при том же уровне буксования. Уменьшение радиальной жёсткости МУК можно сравнить с уменьшением давления в шинах.
Результаты сравнительной оценки представлены в табл. 8 и показаны на рис. 12. При уменьшении радиальной жёсткости коэффициент сопротивления качению колеса в свободном режиме также уменьшается.
Таблица 8. Результаты сравнительной оценки
Table 8. The comparison results
№ | , мм | , Н/мм | при | при | при | |
1 | 1 | 54,3 | 0,208 | 0,10 | 0,16 | 0,29 |
2 | 0,75 | 30,5 | 0,154 | 0,10 | 0,17 | 0,32 |
3 | 0,5 | 12,9 | 0,072 | 0,18 | 0,26 | 0,41 |
Рис. 12. Зависимости коэффициентов продольной реакции и сопротивления качению в свободном режиме от радиальной жёсткости.
Fig. 12. Dependences of the coefficients of longitudinal reaction and rolling resistance in the free rolling mode on radial stiffness.
При этом увеличение коэффициента продольной реакции при одинаковом уровне буксования наблюдается только при жёсткостях, меньших Н/мм. Уменьшение жёсткости с 30,5 до 12,9 Н/мм увеличивает коэффициент продольной реакции при буксовании и на 80%; 53% и 28% соответственно.
Коэффициент сопротивления качению колеса в свободном режиме находим по формуле (4):
(4)
где — момент сопротивления качению колеса.
Примем за радиальную жёсткость МУК значение, которое будет определяться по следующей зависимости при максимальном прогибе для Н (5):
(5)
где , мм — радиальная деформация, соответствующая вертикальной силе .
ЗАКЛЮЧЕНИЕ
Разработана математическая модель МУК с использованием метода конечных элементов с возможностью варьирования различных конструктивных параметров, как, например, толщина упругих боковин, и получены нагрузочные характеристики колёс.
Разработана математическая модель взаимодействия движителя с опорным основанием типа несвязный грунт с использованием методов конечных и дискретных элементов. Построены тягово-сцепные характеристики для различных радиальных жёсткостей колёс, а также эпюры распределения нормальных реакций. Установлено, что с уменьшением радиальной жёсткости коэффициент продольной реакции при относительно больших значениях радиальной жёсткости изменяется незначительно, а при малых — увеличивается. При этом потери на качение в свободном режиме уменьшаются. Показано, что при движении колёсного движителя суммарная нормальная реакция сдвигается вперёд по направлению движения, что также подтверждается результатами работ [11–15].
Полученный коэффициент продольной реакции с использованием разработанной математической модели взаимодействия движителя с опорным основанием меньше, чем коэффициент продольной реакции, полученный при натурных испытаниях, при одинаковом коэффициенте буксования. При этом максимальные значения близки к результатам экспериментов. Для уточнённого описания рекомендуется провести анализ влияния коэффициентов взаимодействия частиц с геометрией, а также уточнить результаты эксперимента, которые были получены сравнительно давно. Данный подход требует значительных временных затрат и может быть реализован при проведении натурных экспериментов по верификации математической модели взаимодействия грунта с движителем.
ДОПОЛНИТЕЛЬНАЯ ИНФОРМАЦИЯ
Вклад авторов. Р.Р. Пашковский ― поиск публикаций по теме статьи, написание текста рукописи, создание изображений; К.Б. Евсеев ― редактирование текста рукописи, экспертная оценка, утверждение финальной версии. Авторы подтверждают соответствие своего авторства международным критериям ICMJE (все авторы внесли существенный вклад в разработку концепции, проведение исследования и подготовку статьи, прочли и одобрили финальную версию перед публикацией).
Конфликт интересов. Авторы декларируют отсутствие явных и потенциальных конфликтов интересов, связанных с публикацией настоящей статьи.
Источник финансирования. Авторы заявляют об отсутствии внешнего финансирования при проведении исследования.
ADDITIONAL INFORMATION
Authors’ contribution. R.R. Pashkovsky — search for publications on the topic of the article, writing the text of the manuscript, creating figures; K.B. Evseev — editing the text of the manuscript, expert opinion, approval of the final version.
All authors made a substantial contribution to the conception of the work, acquisition, analysis, interpretation of data for the work, drafting and revising the work, final approval of the version to be published and agree to be accountable for all aspects of the work.
Competing interests. The authors declare no any transparent and potential conflict of interests in relation to this article publication.
Funding source. This study was not supported by any external sources of funding.
About the authors
Roman R. Pashkovsky
Bauman Moscow State Technical University
Author for correspondence.
Email: Roma115577@mail.ru
Student of the Wheeled Vehicles Department
Russian Federation, MoscowKirill B. Evseev
Bauman Moscow State Technical University
Email: kb_evseev@bmstu.ru
ORCID iD: 0000-0001-7193-487X
SPIN-code: 7753-2047
Associate Professor, Dr. Sci. (Engineering), Associate Professor of the Wheeled Vehicles Department
Russian Federation, MoscowReferences
- Gromov VV, Zabavnikov NA, Kemurdzhian AL, et al. Movement on the soils of the Moon and planets. Moscow: Mashinostroenie; 1986. (in Russ.)
- Cherkasov II, Shvarev VV. Moon soil. Moscow: Nauka, 1975. (in Russ.)
- Rozhdestvenskij YuL, Mashkov KYu. On the formation of reactions during elastic wheel rolling on a non-deformable road. Trudy MVTU. 1982;390:56–64. (in Russ.)
- Rozhdestvensky YuL. Analiz i prognozirovaniye tyagovykh kharakteristik kolesnykh dvigateley planetokhodov [dissertation] Moscow; 1982. (in Russ.)
- Mashkov KYu. Metod ocenki tyagovo-scepnyh svojstv kachestv special’nogo transportnogo sredstva v rezhime bortovogo povorota na stadii proektirovaniya [dissertation] Moscow; 1991. (in Russ.)
- RecurDyn help. [internet] Accessed: 15.11.2023. Available from: https://dev.functionbay.com/RecurDynOnlineHelp/V9R5/index.html
- EDEM help. [internet] Accessed: 25.10.2023. Available from: https://altairuniversity.com/learning-library/edem-tutorials/
- Pashkovsky RR. Analysis of the existing approaches to the determination of the physicomechanical parameters of the unbound soil and the modeling of the its particles dynamics. Politekhnicheskiy molodezhnyy zhurnal. 2023;01(78). (in Russ.) doi: 10.18698/2541-8009-2023-01-853
- Pashkosky RR, Evseev KB. Development and verification of a mathematical model of the interaction between a wheeled propulsor and deformable soil based on the application of the discrete element method. Tractors and Agricultural Machinery. 2023;90(2):149–160. (in Russ.) doi: 10.17816/0321-4443-352576
- Larin VV. The theory of movement of all-wheel drive vehicles. Moscow: MGTU im NE Baumana; 2010. (in Russ.)
- Larin VV. Physics of soils and cross-country ability of wheeled vehicles. Moscow: MGTU im NE Baumana; 2014. (in Russ.)
- Ageikin YaS. Vehicles cross-country power. Moscow: Mashinostroenie; 1981 (in Russ.)
- Ageykin YaS, Volskaya NS, Chichekin IV. Vehicles cross-country power. Moscow: MGIU; 2010. (in Russ.)
- Volskaya NS. Assessment of the patency of wheeled vehicles when driving on an uneven ground surface. Moscow: MGIU; 2007. (in Russ.)
- Kartashov A.B., Kotiev G.O., Smirnov A.A. Study of rolling modes of wheels made of composite materials based on fiberglass // Journal of the Association of Automotive Engineers. 2009. No. 4 (57). pp. 40–43. (in Russ.)
Supplementary files















