Modeling the working process of a gas-diesel engine running on ammonia with the addition of hydrogen
- Authors: Galyshev Y.V.1, Xinyao L.1, Abyzov O.V.1, Zaitsev A.B.1
-
Affiliations:
- Peter the Great St. Petersburg Polytechnic University
- Issue: Vol 91, No 6 (2024)
- Pages: 748-759
- Section: Theory, designing, testing
- Submitted: 17.08.2024
- Accepted: 30.12.2024
- Published: 21.12.2024
- URL: https://journals.eco-vector.com/0321-4443/article/view/635228
- DOI: https://doi.org/10.17816/0321-4443-635228
- ID: 635228
Cite item
Abstract
BACKGROUND: Ammonia, as a carbon-free fuel, has attracted much attention from researchers in many countries and is considered as one of the promising alternative fuels that ensures reduction of greenhouse gas emissions. Despite the fact that the properties of ammonia have been widely studied, the practical application of this type of fuel remains difficult. Additional research is needed to overcome problems, including low combustion rate, high emissions of nitrogen oxides and unburned ammonia. To stimulate the combustion process in the cylinder, it is possible to use hydrogen additive as a combustion activator of the ammonia-air mixture. This paper is aimed at a computational study of the effect of replacing diesel fuel with ammonia on the characteristics and harmful emissions of an in-ternal combustion engine.
OBJECTIVE: Computational study of the working process and harmful emissions from exhaust gases of an automotive and tractor gas-diesel engine when operating on ammonia with the addition of hydrogen.
METHODS: The object of the study was the modern YaMZ-53415 automotive and tractor diesel engine. The calculations were carried out for the nominal operating mode of the engine. For three-dimensional modeling of the working process of a gas-diesel engine running on ammonia with the addition of hydrogen, the Ansys Forte software package was used, which was developed based on modern theoretical concepts of the physics of three-dimensional gas and liquid flows, fuel spray dynamics and combustion processes.
RESULTS: Calculation of the working process of a gas-diesel engine running on ammonia with various ignition doses of diesel fuel showed that when the dose of diesel fuel is reduced from 100% to 5%, the engine power and efficiency are maintained, the maximum pressure in the cylinder is reduced by 26%, nitrogen oxide emissions and the amount of unburned ammonia increase. Calculation of the working process of a gas-diesel engine running on ammonia with hydrogen additive helped to determine the minimum hydrogen additive that ensures complete combustion of ammonia.
CONCLUSIONS: Running a gas-diesel engine on ammonia results in a significant reduction in carbon dioxide emissions, more than an order of magnitude, i.e. ammonia can become an alternative to hydrocarbon fuel to achieve carbon neutrality.
The use of a small hydrogen additive — 0.4% helps to significantly increase the combustion rate of the ammonia-air mixture and ensures almost complete combustion of ammonia.
Nitrogen oxide emissions when replacing diesel fuel with ammonia increase more than twice. To reduce them, it is necessary to use known methods — exhaust gas recirculation, a SCR-neutralizer.
Keywords
Full Text
ВВЕДЕНИЕ
Использование низкоуглеродных альтернативных видов топлива в сочетании с передовыми технологиями их сжигания является одним из эффективных способов достижения целей энергосбережения и снижения вредных выбросов для двигателей внутреннего сгорания. Аммиак, как безуглеродное топливо, в связи с его характеристиками привлекает большое внимание исследователей разных стран и считается одним из наиболее перспективных альтернативных видов топлива [1-7].
Компания MAN [8] подтвердила практическую возможность использования аммиачного топлива в малооборотных двухтактных двигателях, а исследования показали, что применение аммиачного топлива эффективно для снижения вредных выбросов двигателя. Однако в исследовании [9] показано, что аммиак обладает узким пределом воспламеняемости, высокой температурой самовоспламенения, медленным распространением пламени и токсичностью. Несмотря на то, что характеристики пламени на основе аммиака широко изучены, практическое применение этого вида топлива остаётся затруднительным. Поэтому необходимы дополнительные исследования для преодоления проблем, включая низкую скорость горения, высокий выброс NOx и несгоревшего аммиака [10].
Водород обладает высокой теплотворной способностью, быстрой скоростью распространения пламени, высокой реакционной активностью. Исследователи часто используют эти свойства водорода в качестве топливного активатора при смешивании водорода с другими видами топлива для стимулирования процесса сгорания в цилиндре [11–17].
Современные расчётные комплексы, обеспечивающие моделирование рабочего процесса поршневого двигателя в трёхмерной постановке с учетом кинетики реакций сгорания топлива, позволяют прогнозировать характеристики двигателя и его вредных выбросов при работе на различных топливах. В этой связи в настоящей статье проведено моделирование и анализ рабочего процесса и вредных выбросов газодизельного двигателя, работающего на аммиаке при различных запальных дозах дизельного топлива и добавках водорода.
ЦЕЛЬ ИССЛЕДОВАНИЯ
Цель настоящей работы — расчётное исследование рабочего процесса и вредных выбросов с отработавшими газами автотракторного газодизеля при работе на аммиаке с добавкой водорода.
МЕТОДЫ
В качестве объекта исследования выбран автотракторный дизельный двигатель ЯМЗ-53415. Двигатели ЯМЗ-534 — это 4-тактные, 4-цилиндровые рядные дизельные и газовые двигатели семейства ЯМЗ-530 рабочим объёмом 4,43 л с жидкостным охлаждением, имеют мощности в диапазоне 100–154 кВт (136–210 л.с.) и крутящий момент 420–780 Н·м. (43–80 кгс·м). Двигатели устанавливаются на среднетоннажных автомобилях, городских и пригородных автобусах среднего класса, широком спектре дорожно-строительной, сельскохозяйственной и специализированной техники, дизель-генераторных установках до 100 кВт. ЯМЗ-53415-тракторная модификация дизельного двигателя для К-708.4. Двигатель имеет газотурбинный наддув и промежуточное охлаждение наддувочного воздуха в теплообменнике типа «воздух-воздух». Топливная система аккумуляторного типа Common rail. В табл. 1 представлены параметры двигателя.
Таблица 1. Параметры двигателя ЯМЗ-53415
Table 1. Parameters of the YaMZ-53415 engine
Показатель | Значение |
Диаметр и ход поршня, мм | 105 х 128 |
Рабочий объём двигателя, л | 4.43 |
Степень сжатия | 17,5 |
Номинальная мощность, кВт | 140 |
Номинальная частота вращения, мин-1 | 2300 |
Максимальный крутящий момент, Н·м | 710 |
Частота вращения при максимальном крутящем моменте, мин-1 | 1300–1600 |
Минимальный удельный расход топлива, г/(кВт·ч) | 193 |
Удельный расход топлива при номинальной мощности, г/(кВт·ч) | 239 |
Экологические требования | Правила ООН № 96-02 |
Для трёхмерного моделирования рабочего процесса газодизельного двигателя, работающего на аммиаке с добавкой водорода, использовалось ПО Ansys Forte. Программный комплекс использует современные теоретические представления о физике трёхмерных потоков газа и жидкости, динамике распыления топлива и процессах сгорания.
Ansys Forte использует модель турбулентного реагирующего потока, в котором основная газодинамика определяется уравнениями Навье-Стокса. При выводе основных уравнений используются термодинамическое уравнение состояния газовой среды, закон Фика для массовой диффузии, предположение о ньютоновской жидкости, а также использование закона Фурье для определения теплового состояния.
Ansys Forte позволяет моделировать впрыск топлива через форсунку. Смоделированные подпроцессы включают в себя: подачу топлива через форсунку, распыление, дробление капель, столкновение и слияние капель, испарение и столкновение капель со стенкой. Распыление струи и разбиение капель моделируется гибридной моделью распада Кельвина-Гельмгольца/Рэлея-Тейлора. Для моделирования испарения капель топлива используется дискретная многокомпонентная модель (DMC).
Химические реакции, происходящие при моделировании горения, описываются кинетическими механизмами, которые определяют пути реакций и скорости их протекания, приводящие к изменению концентраций молекул топлива и окислителя. При разработке вычислительной модели был использован кинетический механизм n-гептан/аммиак [188], описывающий с приемлемой точностью протекание во времени химических реакций окисления дизельного топлива и аммиака, а также реакций образования оксидов азота.
В случае двухтопливного дизельного двигателя, впрыск и самовоспламенение запальной дозы жидкого топлива служит инициированием распространения пламени. Для расчёта самовоспламенения используется высокоточная модель для прогнозирования воспламенения в условиях критических температуры и давления. Для отслеживания распространения фронта пламени в полностью или частично подготовленной топливовоздушной смеси используется G-equation модель. При этом рассчитывается локальная турбулентная скорость пламени для конкретного топлива с использованием принятой кинетической модели.
Моделирование производилось для временного отрезка, начиная с момента закрытия впускного клапана до момента открытия выпускного клапана. Для экономии вычислительной мощности компьютера используется условие симметрии цилиндра и сопловых отверстий форсунки, поэтому расчет производится для сектора цилиндра в 45° (рис. 1). Для повышения точности расчёта базовые сетки разбиты на более мелкие с учетом локальных градиентов скорости и температуры. Для решения уравнений используется метод конечных объёмов.
Рис. 1. Разбивка расчётной области на элементы.
Fig 1. The calculation area meshing.
Подача аммиака и водорода осуществляется во впускной канал, в соответствии с этим задаётся состав топливовоздушной смеси на момент закрытия впускного клапана. Для воспламенения аммиачно-воздушной смеси непосредственно в цилиндр при помощи конусной форсунки впрыскивается запальная доза дизельного топлива. Для этого задаются следующие параметры:
- диаметр соплового отверстия форсунки: 0,03 мм2;
- угол распыления: 15°;
- угол начала подачи топлива: -9°;
- продолжительность впрыска: 2°–5°;
- давление смеси на впуске в цилиндр: 2,5 бар.
Расчёты проводились на номинальном режиме работы двигателя. При этом теплота, вводимая в рабочий цикл при изменении состава топлива, оставалась неизменной и равной теплоте выделяемой массой дизельного топлива при работе двигателя в дизельном режиме на номинальной мощности:
,
где — масса дизельного топлива в двухтопливном режиме, масса дизельного топлива в дизельном режиме на номинальной мощности, масса водорода и масса аммиака; — низшая теплота сгорания дизельного топлива, водорода и аммиака.
Расчёты в исследовании разделены на две части, первая из которых посвящена исследованию влияния различных соотношений аммиака и дизельного топлива на параметры двигателя и вредные выбросы, а вторая — исследованию изменений параметров двигателя и вредных выбросов после добавления водорода в аммиачно-воздушную смесь на впуске в двигатель.
В табл. 2 представлены основные характеристики топлив, рассматриваемых в данном исследовании.
Таблица 2. Характеристики топлив
Table 2. Fuel characteristics
Параметры | ДТ | Аммиак | Водород |
Низшая теплотворная способность, мДж/кг | 42.5 | 18.8 | 119.6 |
Скорость ламинарного пламени, см/с | 33 | 20 | 291 |
Температура самовоспламенения, ºС | 300 | 650 | 530 |
Стехиометрическое соотношение, кг/кг | 14.5 | 6.14 | 34.2 |
РЕЗУЛЬТАТЫ
Расчёт рабочего процесса газодизеля, работающего на аммиаке с различной запальной дозой дизельного топлива
Как видно из рис. 2, максимальное давление в цилиндре снижается с уменьшением запальной дозы дизельного топлива или увеличением степени замещения дизельного топлива аммиаком.
Рис. 2. Зависимость давления и скорости тепловыделения в цилиндре газодизеля ЯМЗ-53415, работающего на аммиаке, при различных запальных дозах дизельного топлива: .
Fig 2. Dependence of pressure and heat release rate in the cylinder of the YaMZ-53415 gas-diesel engine running on ammonia, at different ignition doses of diesel fuel: .
При уменьшении дозы дизельного топлива со 100% до 5% максимальное давление снижается на 26% с 217 бар до 161 бар. При этом также значительно снижается скорость тепловыделения и увеличивается задержка воспламенения на 5 град п.к.в. Величина запальной дозы определяется отношением массы дизельного топлива в двухтопливном режиме, к массе дизельного топлива в дизельном режиме на номинальной мощности .
При работе двигателя в дизельном режиме уровень выбросов CO2 намного выше, чем в двухтопливном на аммиаке (рис. 3). С увеличением степени замещения дизельного топлива аммиаком выбросы CO2 значительно уменьшаются, однако выбросы NOx резко возрастают и более чем в два раза превышают показатели двигателя в дизельном режиме. Это связано с тем, что в реакциях образования NOx участвует не только азот воздуха, но и азот аммиака.
Рис. 3. Зависимость концентраций NOx и СО2 в отработавших газах газодизеля ЯМЗ-53415, работающего на аммиаке, от запальной дозы дизельного топлива.
Fig 3. Dependence of NOx and CO2 content in the exhaust gases of a YaMZ-53415 gas-diesel engine running on ammonia on the ignition dose of diesel fuel.
Как видно из рис. 4, при переходе с дизельного режима на двухтопливный с различными запальными дозами дизельного топлива изменение индикаторной мощности и индикаторного кпд незначительное, находится в пределах от 160 кВт до 162 кВт для индикаторной мощности и от 47,5% до 48% для индикаторного кпд. При этом наилучшие показатели достигнуты при запальной дозе 7,5%.
Рис. 4. Зависимость индикаторной мощности и индикаторного кпд газодизеля ЯМЗ-53415, работающего на аммиаке, от запальной дозы дизельного топлива.
Fig. 4. Dependence of the indicated power and indicated efficiency of the YaMZ-53415 gas diesel engine running on ammonia on the ignition dose of diesel fuel.
На рис. 5 показана зависимость массовой доли остаточного аммиака в цилиндре газодизеля в процессе сгорания от запальной дозы дизельного топлива.
Рис. 5. Зависимость массовой доли остаточного аммиака в цилиндре газодизеля ЯМЗ-53415 в процессе сгорания от запальной дозы дизельного топлива: .
Fig. 5. Dependence of the mass fraction of residual ammonia in the cylinder of the YaMZ-53415 gas diesel engine during combustion on the ignition dose of diesel fuel: .
Видно, что массовая доля аммиака, оставшегося в цилиндре при открытии выпускного клапана после сгорания топлива в цилиндре двигателя, изменяется по мере увеличения запальной дозы дизельного топлива, и при наименьшей запальной дозе 5% масса остаточного аммиака наибольшая. При увеличении запальной дозы дизельного топлива остаточное количество аммиака уменьшается, но всё равно значительно превышает предельно допустимые концентрации. Необходимо улучшить процесс сгорания, чтобы аммиак полностью сжигался в цилиндре. Одним из возможных способов решения этой задачи является добавление в аммиачно-воздушную смесь газодизельного двигателя водорода, небольшое количество которого значительно ускоряет процесс сгорания аммиака.
Расчёт рабочего процесса газодизеля, работающего на аммиаке с добавкой водорода
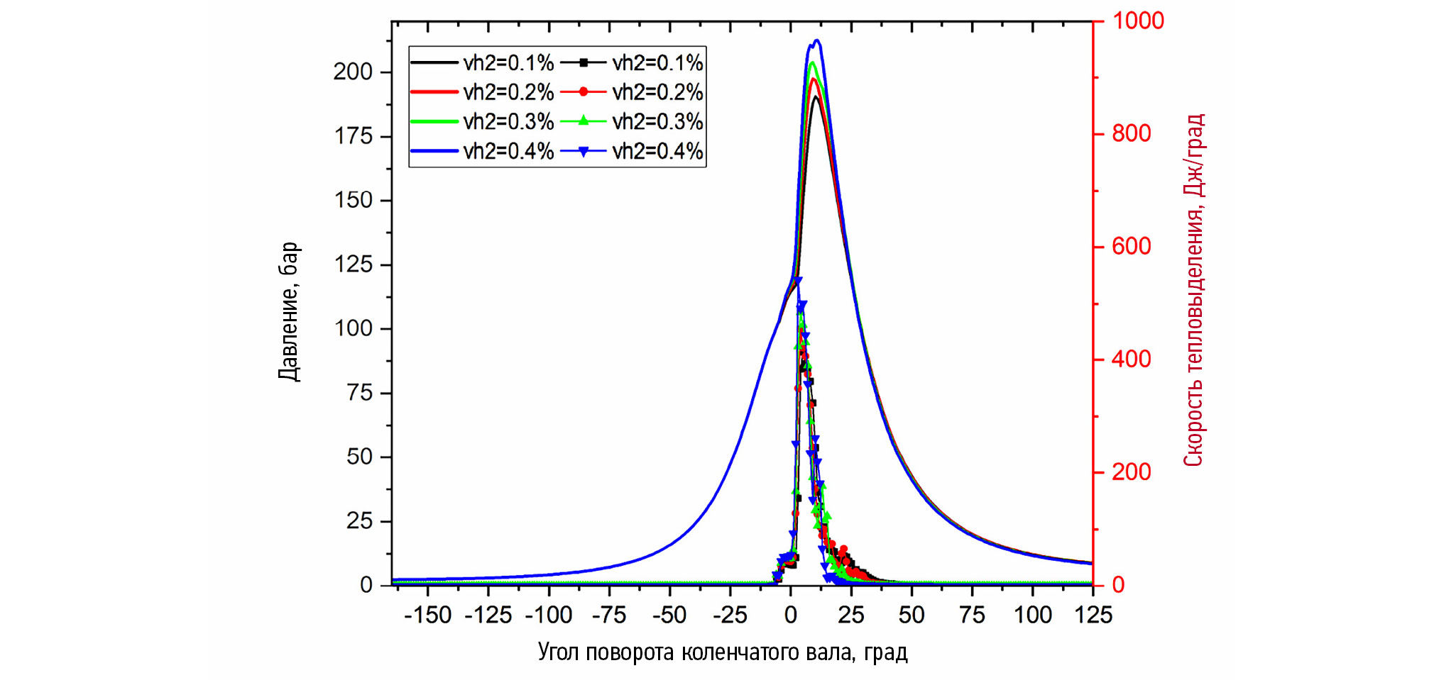
Водород добавляется в аммиачно-воздушную смесь в количестве 0,1–0,4% от массы аммиака при работе газодизельного двигателя с запальной дозой дизельного топлива — 10%.
С увеличением добавки водорода от 0,1% до 0,4% давление в цилиндре возрастает с 191 бар до 213 бар, также увеличивается скорость тепловыделения и уменьшается задержка воспламенения (рис. 6). Это показывает положительное влияние водорода в качестве вспомогательного компонента для увеличения скорости сгорания топлива в цилиндре, что подтверждается также полями температуры в цилиндре по углу поворота коленчатого вала (рис. 7). Максимальная температура в цилиндре с увеличением добавки водорода возрастает с 2163 К до 2382 К.
Рис. 6. Зависимость давления и скорости тепловыделения в цилиндре газодизеля ЯМЗ-53415, работающего на аммиаке с запальной дозой дизельного топлива и различными добавками водорода.
Fig. 6. Dependence of pressure and rate of heat release rate in the cylinder of the YaMZ-53415 gas diesel running on ammonia with an ignition dose of diesel fuel and various hydrogen additives.
Рис. 7. Распределение температуры в цилиндре газодизеля ЯМЗ-53415, работающего на аммиаке с запальной дозой дизельного топлива 10% и различными добавками водорода: .
Fig. 7. Temperature distribution in the cylinder of the YaMZ-53415 gas diesel engine running on ammonia with an ignition dose of diesel fuel 10% and various hydrogen additives: .
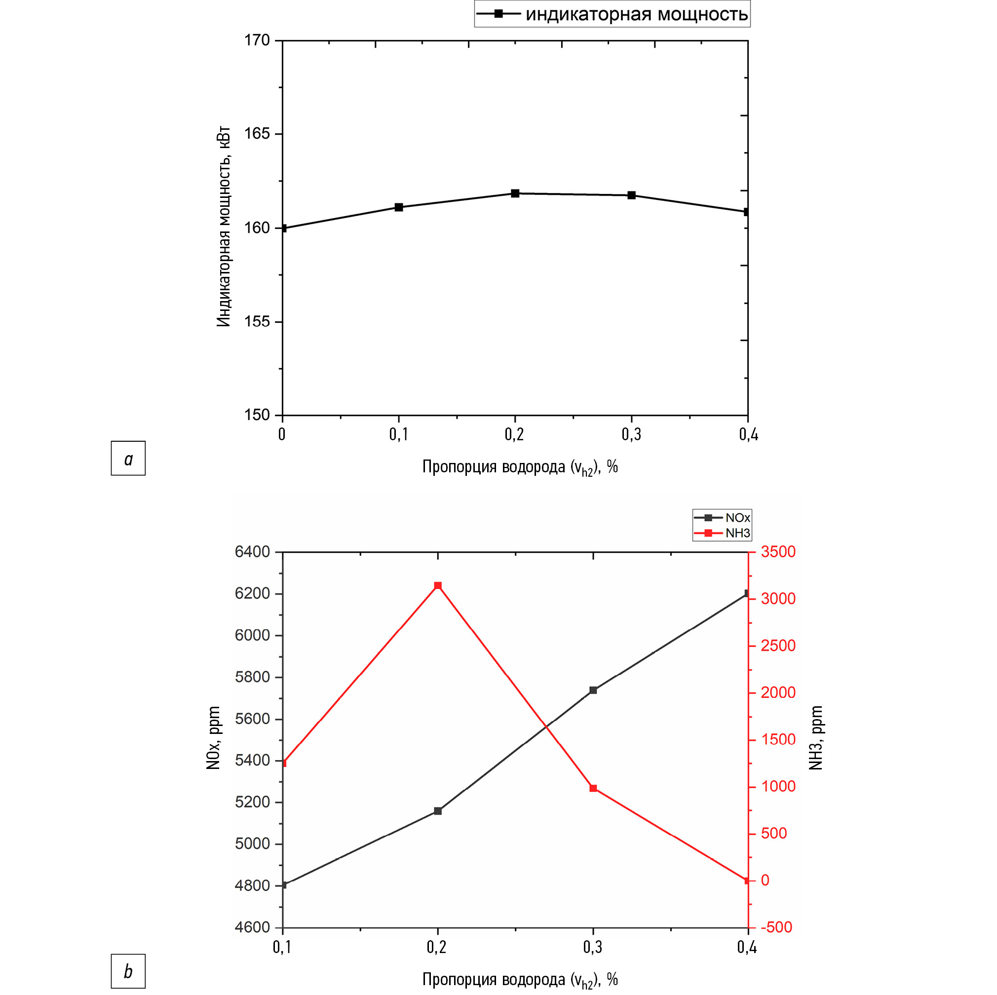
На рис. 8 показана зависимость индикаторного кпд и концентраций NOx и СО2 в отработавших газах газодизеля с увеличением добавки водорода. Индикаторная мощность двигателя изменяется в небольшом диапазоне и незначительно повышается по сравнению с вариантом без подачи водорода.
Рис. 8. Зависимость индикаторного кпд (a) и концентраций NOx и NH3 (b) в отработавших газах газодизеля ЯМЗ-53415, работающего на аммиаке с запальной дозой дизельного топлива 10%, от добавки водорода.
Fig. 8. Dependence of the indicator efficiency (a) and the NOx and NH3 content (b) in the exhaust gases of the YaMZ-53415 gas-diesel engine running on ammonia with a pilot dose of diesel fuel of 10%, on the addition of hydrogen.
Подача водорода в количестве 0,4% обеспечивает полное сгорание топлива и концентрация аммиака в отработавших газах снижается до 0,0145 млн-1, что значительно ниже предельно допустимых концентраций (рис. 8 и 9). Однако концентрация NOx увеличивается до 6202 млн-1, это связано с повышением максимальной температуры в цилиндре при увеличении добавки водорода.
Рис. 9. Зависимость массовой доли остаточного аммиака в цилиндре газодизеля ЯМЗ-53415, работающего на аммиаке с запальной дозой дизельного топлива 10%, от добавки водорода:
Fig. 9. Dependence of the mass fraction of residual ammonia in the cylinder of the YaMZ-53415 gas diesel engine, running on ammonia with a 10% diesel fuel ignition dose, on the addition of hydrogen:
Рекомендованные параметры подачи топлива для газодизеля ЯМЗ-53415, работающего на аммиаке с добавкой водорода, на номинальном режиме, представлены в табл. 3.
Таблица 3. Рекомендованные параметры подачи топлива двигателя ЯМЗ-53415 на номинальном режиме работы
Table 3. Recommended fuel supply parameters for the YaMZ-53415 engine at nominal operating mode
Параметры | Значение |
Масса дизельного топлива за цикл, мг | 9,8 |
Масса аммиака за цикл, мг | 205,3 |
Масса водорода за цикл, мг | 0,82 |
Начальный угол опережения впрыска запальной дозы дизельного топлива, град п.к.в. | -9 |
Продолжительность угла впрыска запальной дозы дизельного топлива, град п.к.в. | 2 |
ЗАКЛЮЧЕНИЕ
В данной работе с помощью современного программного комплекса Ansys Forte проведено расчётное исследование рабочего процесса газодизельного автотракторного двигателя, работающего на аммиаке с добавкой водорода.
Результаты исследования показали, что работа газодизеля на аммиаке приводит к значительному снижению выбросов углекислого газа, более чем на порядок, т. е. аммиак может стать альтернативой углеводородному топливу для достижения углеродной нейтральности.
Индикаторная мощность и индикаторный кпд дизеля при замещении дизельного топлива аммиаком изменяются незначительно. Выбросы NOx при переходе на аммиак увеличиваются более чем в два раза, а при добавке водорода 0,4% увеличиваются ещё на 30%, что связано с участием в реакциях образования NOx азота аммиака дополнительно к азоту воздуха, а также повышением максимальной температуры рабочего цикла. Необходимо для снижения выбросов NOx использовать известные способы — рециркуляцию отработавших газов, SCR-нейтрализатор.
Существенной проблемой является наличие несгоревшего аммиака в отработавших газах, который является опасным даже в очень малых концентрациях. Применение небольшой добавки водорода — 0,4% позволяет значительно увеличить скорость сгорания аммиачно-воздушной смеси и обеспечивает практически полное сгорание аммиака. В связи с небольшим расходом водорода возможно не хранить запас водорода на борту транспортного средства, а использовать, например, бортовой электролизёр.
По результатам расчетов на основе анализа показателей мощности, экономичности и вредных выбросов газодизельного двигателя ЯМЗ-53415, работающего на аммиаке с добавкой водорода, предложен рациональный вариант параметров цикловой подачи дизельного топлива, аммиака и водорода на номинальном режиме работы.
ДОПОЛНИТЕЛЬНАЯ ИНФОРМАЦИЯ
Вклад авторов. Ю.В. Галышев — научное руководство, формулирование идеи, планирование исследовательской деятельности, проведение критического анализа материалов, расчётов и выводов; С. Ло — обзор литературы в области исследования, построение 3D расчётной модели, проведение расчётов; О.В. Абызов — формулирование исследовательских целей и задач, написание текста; А.Б. Зайцев — анализ полученных данных и подготовка первоначальных выводов. Авторы подтверждают соответствие своего авторства международным критериям ICMJE (все авторы внесли существенный вклад в разработку концепции, проведение исследования и подготовку статьи, прочли и одобрили финальную версию перед публикацией).
Конфликт интересов. Авторы декларируют отсутствие явных и потенциальных конфликтов интересов, связанных с проведенным исследованием и публикацией настоящей статьи.
Источник финансирования. Авторы заявляют об отсутствии внешнего финансирования.
ADDITIONAL INFORMATION
Authors’ contributions. Yu.V. Galyshev — scientific supervision, formulation of the idea, planning of research activities, conducting a critical analysis of materials, calculations and conclusions; X. Luo — literature review in the field of research, building of a 3D calculation model, conducting calculations; O.V. Abyzov — formulation of research goals and objectives, writing the text; A.B. Zaitsev — analysis of the obtained data and preparation of initial conclusions. The authors confirm that their authorship meets the international ICMJE criteria (all authors made significant contributions to the development of the concept, conduct of the research and preparation of the article, read and approved the final version before publication).
Competing interests. The authors declare that they have no competing interests.
Funding source. This study was not supported by any external sources of funding.
About the authors
Yuriy V. Galyshev
Peter the Great St. Petersburg Polytechnic University
Author for correspondence.
Email: galyshev57@yandex.ru
ORCID iD: 0000-0001-7915-0623
SPIN-code: 8258-1827
Dr. Sci. (Engineering), Professor of the Higher School of Power Engineering, Institute of Energy
Russian Federation, Saint PetersburgLuo Xinyao
Peter the Great St. Petersburg Polytechnic University
Email: losinyao181031@gmail.com
ORCID iD: 0009-0005-2815-7231
Postgraduate of the Higher School of Power Engineering, Institute of Energy
Russian Federation, Saint PetersburgOleg V. Abyzov
Peter the Great St. Petersburg Polytechnic University
Email: oleg.abyzov@yandex.ru
ORCID iD: 0000-0001-9898-4279
SPIN-code: 3068-4970
Cand. Sci. (Engineering), Associate Professor of the Higher School of Power Engineering, Institute of Energy
Russian Federation, Saint PetersburgAlexey B. Zaitsev
Peter the Great St. Petersburg Polytechnic University
Email: abzaytsev@mail.ru
ORCID iD: 0000-0002-7443-1909
SPIN-code: 8443-3030
Cand. Sci. (Engineering), Associate Professor of the Higher School of Power Engineering, Institute of Energy
Russian Federation, Saint PetersburgReferences
- Fadhil Y Al-Aboosi, Mahmoud M El-Halwagi, Margaux Moore, et al. Renewable ammonia as an alternative fuel for the shipping industry. Current Opinion in Chemical Engineering. 2021;31. doi: 10.1016/j.coche.2021.100670
- Nadimi E, Przybyła G, Lewandowski M T, et al. Effects of ammonia on combustion, emissions, and performance of the ammonia/diesel dual-fuel compression ignition engine. Journal of the Energy Institute. 2023;107. doi: 10.1016/j.joei.2022.101158
- Abyzov OV, Galyshev YV, Metelev AA, et al. Computational Study of Combustion and Emissions Characteristics in Ammonia-Powered Gas-Diesel Engine. In: Radionov AA, Gasiyarov VR. (eds) Proceedings of the 9th International Conference on Industrial Engineering. ICIE 2023. Lecture Notes in Mechanical Engineering. Cham: Springer; 2023. doi: 10.1007/978-3-031-38126-3_34
- Abyzov OV, Galyshev YuV, Ivanov AK, et al. Modeling of the Indicator Process of the Automobile Gas Engine during its Operation with Ammonia. Engines Construction. 2023;1(291):64–69. (In Russ.) doi: 10.18698/jec.20231.64-69
- Abyzov OV, Galyshev YuV, Metelev AA. Study of the working process of a gas-diesel engine using ammonia as a main fuel. Turbines and Diesels. 2023;4(109):58–64. (In Russ.)
- Kuleshov AS, Kuleshov AA, Markov VA, et al. Computational Studies of Parameters of Working Process of Diesel Engine with Ammonia Additives in the Intake System. Engines Construction. 2023;3(293):71–93. (In Russ.) doi: 10.18698/jec.2023.3.71-93
- Sa Bowen, Liu Ying, Markov VA, et al. Combustion Process Characteristics and Ecological Indicators of the Two-Fuel Diesel Engine Running on Ammonia. Engines Construction. 2023;4(294):73–87. (In Russ.) doi: 10.18698/jec.2023.4.73-87
- Solutions MAN Energy. MAN B&W two-stroke engine operating on ammonia. 2021. Accessed: 17.08.2024. Available from: www.man-es.com.
- Reiter AJ, Kong SC. Combustion and emissions characteristics of compression-ignition engine using dual ammonia-diesel fuel. Fuel. 2011;90(1):87–97. doi: 10.1016/j.fuel.2010.07.055
- Li J, Lai S, Chen D, et al. A review on combustion characteristics of ammonia as a carbon-free fuel. Frontiers in Energy Research. 2021;9. doi: 10.3389/fenrg.2021.760356
- Karagöz Y, Sandalcı T, Yüksek L, et al. Effect of hydrogen–diesel dual-fuel usage on performance, emissions and diesel combustion in diesel engines. Advances in Mechanical Engineering. 2016;8(8). doi: 10.1177/1687814016664458
- Nag S, Dhar A, Gupta A. Hydrogen-diesel co-combustion characteristics, vibro-acoustics and unregulated emissions in EGR assisted dual fuel engine. Fuel. 2022;307. doi: 10.1016/j.fuel.2021.121925
- Verhelst S, Wallner T. Hydrogen-fueled internal combustion engines. Progress in energy and combustion science. 2009;35(6):490–527. doi: 10.1016/j.pecs.2009.08.001
- Castro N, Toledo M, Amador G. An experimental investigation of the performance and emissions of a hydrogen-diesel dual fuel compression ignition internal combustion engine. Applied Thermal Engineering. 2019;156(6):660–667. doi: 10.1016/j.applthermaleng.2019.04.078
- Dimitriou P, Kumar M, Tsujimura T, et al. Combustion and emission characteristics of a hydrogen-diesel dual-fuel engine. International journal of hydrogen energy. 2018;43(29):13605–13617. doi: 10.1016/j.ijhydene.2018.05.062.
- Szwaja S, Grab-Rogalinski K. Hydrogen combustion in a compression ignition diesel engine. International journal of hydrogen energy. 2009;34(10):4413–4421. doi: 10.1016/j.ijhydene.2009.03.020
- Wang B, Yang C, Wang H, et al. Effect of Diesel-Ignited Ammonia/Hydrogen mixture fuel combustion on engine combustion and emission performance. Fuel. 2023;331. doi: 10.2139/ssrn.4179242
- Leilei X, Chang Y, Treacy M, et al. A Skeletal Chemical Kinetic Mechanism for Ammonia/N-Heptane Combustion. Fuel. 2022;331(4). doi: 10.1016/j.fuel.2022.125830
Supplementary files












