Comparative studies on the maneuverability of track trains for transportation of containers
- 作者: Yevseyev K.B.1
-
隶属关系:
- Bauman Moscow State Technical University
- 期: 卷 88, 编号 6 (2021)
- 页面: 54-67
- 栏目: Theory, designing, testing
- ##submission.dateSubmitted##: 29.12.2021
- ##submission.dateAccepted##: 29.12.2021
- ##submission.datePublished##: 15.12.2021
- URL: https://journals.eco-vector.com/0321-4443/article/view/95563
- DOI: https://doi.org/10.17816/0321-4443-2021-6-54-67
- ID: 95563
如何引用文章
全文:
详细
To increase the cross-country ability of ground trackless vehicles for off-road container transportation by land, it is advisable to use track trains. When moving track trains, it is necessary to ensure high profile cross-country ability when overcoming obstacles in the vertical and horizontal planes. The property of maneuverability determines the ability of track trains to maintain mobility when maneuvering in the plan and depends on the adopted design and layout solutions and static agility. The article examines the maneuverability of track trains for two variants of design and layout solutions: a track single-articulated semi-trailer train and a double-articulated track train. The movement of each of the track trains is compared according to the criterion of energy efficiency, taking into account two methods of turning: kinematic and power turning methods.
A variant of the design and layout of a track train was determined. It has better static agility and a smaller overall turning radius.
To assess energy efficiency, the method of simulation mathematical modeling is used, taking into account the peculiarities of the interaction of the driving machine with the support base. The article provides a description of the regulators that are used in the mathematical model and provide the turn of caterpillar trains with a minimum radius. To compare the energy efficiency of performing maneuvers, several design schemes are considered: with one active link or with two active links.
A turning method was determined. It is advisable to use it to ensure high turnability of track trains. The effect of the length of the bearing surfaces of caterpillars active links on energy efficiency is determined as well. In addition, the results of a comparison of track trains according to the criterion of energy efficiency are given.
全文:
Введение
Для наземной транспортировки грузовых контейнеров или крупных неделимых грузов вне дорог применение многозвенных или многоосных колесных машин может быть ограничено, т.к. их использование предполагает наличие подготовленного опорного основания. На рис. 1 приведены границы применения наземных безрельсовых транспортных средств разных типов с учетом их полной массы ММ и несущей способности грунта ре [1].
Рис. 1. Границы применения различных транспортных средств
В этой связи для внедорожных контейнерных перевозок наземным способом (при полной массе более 100 т), исключая транспортные средства на воздушной подушке, целесообразно использовать гусеничные поезда (ГП), обеспечивающие среднее давление на грунт не более 0,6...0,75 кг/см2.
Для внедорожных транспортных средств проходимость является одним из наиболее значимых свойств, которая определяется [2, 3]: опорной проходимостью, профильной проходимостью и бродоходимостью. Если же вопрос повышения опорной проходимости в большей степени зависит от среднего давления движителя на грунт, то профильная проходимость при преодолении препятствий в вертикальной и горизонтальной плоскостях зависит от принятых конструктивно-компоновочных решений и статической поворотливости.
При использовании беспилотных ГП для внедорожных контейнерных перевозок необходимо обеспечить следование заданной траектории, определяемой машиной-лидером, движущейся перед беспилотным ГП или водителем-оператором, управляющим ГП дистанционно. Свойство маневренности накладывает ограничения на предельную кривизну заданной траектории и допустимую ширину коридора движения, поэтому уменьшение радиуса поворота и габаритного коридора движения позволяет повысить профильную проходимость ГП, что особенно актуально при маневрировании в зонах погрузки и разгрузки транспортных контейнеров.
В результате анализа иерархии эксплуатационных свойств ГП из существующих вариантов конструктивно-компоновочных испол- нений были выделены следующие варианты исполнений ГП: по одношарнирной седельной полуприцепной схеме и по седельной двухшарнирной схеме [2]. В этих исполнениях могут использоваться разные способы поворота (силовой или кинематический) ГП. В этой связи при выборе конструктивно-компоновочного исполнения ГП и способа поворота, помимо статической поворотливости, целесообразно оценивать затраты энергии на выполнение маневра.
Цель исследований
Сравнение по показателям маневренности и критерию энергоэффективности ГП разного конструктивно-компоновочного исполнения с использованием силового и кинематического способов поворота.
Материалы и методы
Рассмотрим конструктивно-компоновочные схемы гусеничного одношарнирного седельного полуприцепного ГП (рис. 2, а) и двухшарнирного ГП (рис. 2, б). Рассматриваемые ГП имеют одинаковую полную массу 106 т и равномерное распределение нормальных реакций по опорным каткам.
Рис. 2. Конструктивно-компоновочные схемы ГП: а – одношарнирный седельный полуприцепной поезд; б – двухшарнирный ГП
Для достижения высоких эксплуатационных показателей на разрабатываемых ГП следует применять трансмиссии (в первую очередь электромеханические), обеспечивающие частичную или полную автоматизацию движения, т.к. управление ГП является достаточной сложной задачей и требует высокого уровня квалификации водителя-оператора.
Как отмечалось, для поворота ГП могут быть использованы различные способы: управлением приводом складывания звеньев в узле сочленения (кинематический способ поворота) и управлением частот вращения ведущих колес гусеничных модулей (силовой способ поворота).
Для оценки энергозатрат при повороте с минимальным радиусом с использованием различных способов поворота целесообразно применять метод имитационного математического моделирования, учитывающий особенности взаимодействия движителя с опорным основанием [4]. Движение звеньев ГП рассматривается как система твердых тел, связанных между собой силовыми и кинематическими связями и движущихся под действием внешних силовых факторов. Взаимодействие движителя с опорным основанием осуществляется с использованием модели взаимодействия «эллипс трения» [5–7].
При проведении вычислительных экспериментов по определению энергоэффективности выполнения маневров ГП разработанная модель [4] дополнена блоками подсистем, обеспечивающих управление движением, и систем контроля необходимых параметров: угол складывания гусеничного поезда, скорости перемотки гусениц и силовых факторов в узле сочленения.
В качестве критерия энергоэффективности ГП при повороте с заданным фактическим радиусом был выбран коэффициент мощности сопротивлений, который будем определять следующим образом [8, 9]:
,
где – суммарная мощность, подведенная к ведущим колесам тягача и полуприцепа седельного одношарнирного гусеничного поезда или к ведущим колесам тележек двухшарнирного гусеничного поезда; – суммарная нормальная нагрузка звеньев гусеничного поезда; – абсолютная скорость тягача гусеничного поезда или первого звена двухшарнирного гусеничного поезда.
Результаты и обсуждение
Маневренность полуприцепного гусеничного поезда
Минимальный радиус поворота ГП, выполненного по седельной одношарнирной полуприцепной схеме, обеспечивается в том случае, когда центр поворота тягача и полуприцепа расположены в геометрическом центре гусеничного движителя полуприцепного звена. Здесь полуприцеп фактически поворачивает вокруг точки, расположенной внутри прямоугольника, ограниченного опорными поверхностями гусениц полуприцепного звена, а радиус поворота тягача будет определять минимальный радиус разворота ГП, который зависит от принятых конструктивно компоновочных решений и определяется геометрически.
Рассмотрим поворот с минимальным радиусом ГП полной массой 106 т [2]. На рис. 3 представлена расчетная схема разворота полуприцепного ГП. Наименьший габаритный радиус поворота для рассматриваемого конструктивно-компоновочного исполнения ГП обеспечивается при угле между секциями из-за расположения седельного устройства; в таком случае минимальный теоретический радиус поворота , а габаритный радиус поворота . Приведенные значения получены из геометрических соотношений и определяют теоретическую статическую поворотливость полуприцепного гусеничного поезда.
Рис. 3. Расчетная схема для определения показателей маневренности полуприцепного ГП
Маневренность двухшарнирного гусеничного поезда
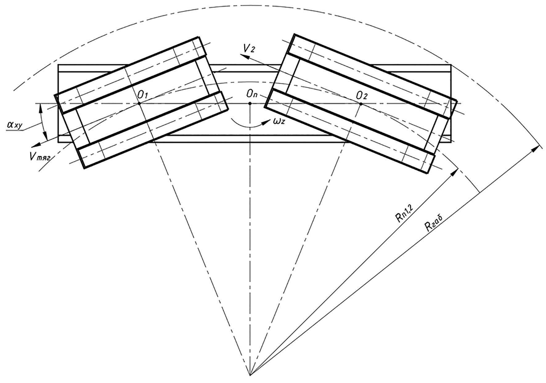
Минимальный радиус разворота двухшарнирного ГП полной массой 106 т также зависит от принятых конструктивно-компоновочных решений, а именно от возможности поворота гусеничных модулей в противоположные стороны на максимальный угол поворота гусеничных тележек. В предельном случае, когда конструктивно может быть обеспечен угол поворота обеих гусеничных тележек 90°, то гусеничный двухшарнирный поезд будет поворачивать на месте с центром поворота, расположенным на продольной оси ГП посередине между двумя шарнирами передней и задней секции.
На рис. 4 представлена расчетная схема разворота двухшарнирного ГП на месте; в этом случае, исходя из тех же геометрических соотношений, для конструктивно-компоновочного исполнения, представленного на рис. 2, б, обеспечиваются минимальные теоретические радиусы поворота тележек и габаритный радиус поворота .
Рис. 4. Расчетная схема для определения показателей маневренности двухшарнирного ГП
Другой расчетный случай разворота двухшарнирного ГП представлен на рис. 5. Здесь, исходя из геометрических соотношений теоретический радиус поворота и габаритный радиус поворота будут меньше, чем у полуприцепного ГП.
Рис. 5. Расчетная схема поворота двухшарнирного ГП с Rп = 12,5 м
Для корректного сравнения ГП (для исключения влияния радиуса поворота на значение коэффициента мощности сопротивлений) рассмотрим движение двухшарнирного ГП с радиусом поворота, равным минимальному радиусу поворота полуприцепного ГП. На рис. 6 представлена расчетная схема разворота двухшарнирного ГП. Здесь теоретический радиус поворота , а габаритный радиус поворота , а угол складывания гусеничных тележек будет равен .
Рис. 6. Расчетная схема поворота двухшарнирного ГП с одним активным звеном
Таким образом, наименьший теоретический радиус поворота будет у двухшарнирного ГП (), соответственно статическая поворотливость его будет выше по сравнению с полуприцепным ГП, для которого Rп = 12,5 м, однако для корректного сравнения ГП необходимо оценить энергоэффективность выполнения указанных маневров при установившемся движении.
Управление поворотом гусеничных поездов
Для сравнения энергоэффективности выполнения маневров рассматриваемых исполнений ГП рассмотрим расчетные схемы, которые представлены на рис. 3–6.
Для проведения сравнительных виртуальных экспериментов рассмотрим следующие варианты ГП и способов поворота:
- силовой способ поворота с подведением мощности к ведущим колесам тягача и с активным полуприцепом (Rп = 12,5 м);
- силовой способ поворота с подведением мощности к ведущим колесам тягача и с пассивным полуприцепом (Rп = 12,5 м);
- кинематический способ поворота с подведением мощности к ведущим колесам тягача и с пассивным полуприцепом (Rп = 12,5 м);
- кинематический способ поворота с подведением мощности к ведущим колесам звеньев двухшарнирного ГП (Rп = 4,75 м);
- кинематический способ поворота с подведением мощности к ведущим колесам двух звеньев двухшарнирного ГП (Rп = 4,75 м);
- силовой способ поворота с подведением мощности к ведущим колесам звеньев двухшарнирного ГП (Rп = 12,5 м);
- кинематический способ поворота подведением мощности к ведущим колесам двух звеньев двухшарнирного ГП (Rп = 12,5 м);
- кинематический способ поворота с подведением мощности к переднему звену двухшарнирного ГП (Rп = 9,5 м).
При моделировании разворота полуприцепного ГП с использованием силового способа поворота будем рассматривать случай, при котором тягач и полуприцеп поворачивают фактически независимо друг от друга, т.е. узел сочленения практически разгружен от действия продольных и поперечных сил, что достигается за счет использования регулятора для согласования угловых скоростей тягача и полуприцепа. Здесь полуприцеп поворачивает на месте относительно теоретического центра поворота Оп, а тягач поворачивает с минимальным радиусом поворота вокруг того же центра, при этом тягачом обеспечивается поддержание не только заданной скорости, но и заданного угла складывания. Разработан регулятор, обеспечивающий разворот полуприцепного ГП для каждого из звеньев гусеничного поезда с учетом представленного в работе [10] решения.
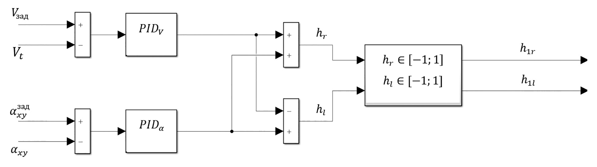
На рис. 7 приведена структурная схема регулятора, обеспечивающего поворот тягача при развороте полуприцепного ГП. В данном регуляторе вычисление управляющих воздействий осуществляется в результате работы двух ПИД регуляторов: регулятора , обеспечивающего поддержание заданной теоретической скорости движения , исходя из ошибки регулирования с учетом теоретической скорости , и регулятора , обеспечивающего поддержание заданного угла складывания .
Рис. 7. Структурная схема регулятора, обеспечивающего поворот тягача при развороте полуприцепного гусеничного поезда
Для полуприцепного звена ГП используется регулятор, который обеспечивает его разворот вокруг центра гусеничной тележки с угловой скоростью, соответствующей теоретической угловой скорости тягача. Регулятор имеет один ПИД-регулятор, формирующий параметры управления тягой гусениц бортов полуприцепа, и построен по принципам, описанным в работе [10].
При моделировании разворота двухшарнирного ГП с силовым способом поворота используются два отдельных регулятора, аналогичных представленному на рис. 7, для каждого из звеньев ГП. Вычисление управляющих воздействий осуществляется отдельно для каждого звена в результате работы двух ПИД-регуляторов: регулятора , обеспечивающего поддержание заданной скорости движения исходя из ошибки регулирования с учетом теоретической скорости , и регулятора , обеспечивающего поддержание заданного угла складывания .
При использовании кинематического способа поворот ГП обеспечивается исключительно за счет создания поворачивающего момента в узле сочленения, поэтому для обеспечения складывания ГП необходимо использовать дифференциальную схему трансмиссии [11]. Математическая модель дифференциальной схемы трансмиссии рассмотрена в работе [4]. При таком способе поворота будем считать, что в начальный момент времени полуприцепной ГП сложен под углом (рис. 3), а звенья двухшарнирного ГП сложены под углом (рис. 4). Звенья удерживаются в этом положении с помощью механизма привода узла сочленения, что может быть осуществлено, например, с использованием силовых гидроцилиндров. Для обеспечения указанного разворота полуприцеп должен двигаться в ведомом режиме, при этом направления вращений ведущих колес правого и левого бортов будут противоположными, в таком случае возможно обеспечить неизменное положение центра поворота в центре опорного прямоугольника гусениц полуприцепа. В системе управления поворотом с использованием кинематического способа поворота используется ПИД-регулятор, обеспечивающий поддержание заданной скорости движения.
Сравнительные исследования маневренности гусеничных поездов
В качестве дорожно-грунтовых условий при моделировании задавались характеристики взаимодействия с опорной поверхностью типа «сухой дернистый грунт» [12], для которого коэффициент сопротивления прямолинейному движению равен 0,06, а максимальный коэффициент взаимодействия движителя с опорной поверхностью равен 0,8 при скольжении активных участков гусениц в любом направлении.
Полуприцепной гусеничный поезд. Кинематический способ поворота
Рассмотрим разворот гусеничного полуприцепного поезда с кинематическим способом поворота в соответствии со схемой, представленной на рис. 3. Движение полуприцепного ГП моделировалось с минимальной заданной скорости 0,01 м/с, затем скорость плавно нарастала за период 4 с до достижения установившейся скорости движения тягача на уровне 1,5 м/с. На рис. 8 представлен график изменения заданной и фактической скорости движения тягача от времени. Коэффициент мощности сопротивлений при выполнении маневра в установившемся режиме равен 0,115.
Рис. 8. Заданная и фактическая скорость движения тягача
На рис. 9 представлены графики суммарных мощностей, подводимых к ведущим колесам тягача, и суммарная мощность, затрачиваемая на выполнение маневра при кинематическом способе поворота.
Рис. 9. Суммарные мощности, подводимые к ведущим колесам тягача при использовании кинематического способа поворота
Графики изменения моментов и угловых скоростей ведущих колес тягача при кинематическом способе поворота приведены на рис. 10. Моменты на левом и правом ведущем колесе одинаковые, что подтверждает адекватность разработанной математической модели с дифференциальным приводом ведущих колес, который используется при этом способе поворота.
Рис. 10. Моменты и угловые скорости ведущих колес тягача
На рис. 11 представлены графики изменения силовых факторов в узле сочленения гусеничного поезда, действующих на полуприцепное звено, в системе координат, связанной с тягачом. Из представленного графика видно, что со стороны полуприцепа на седельно-сцепное устройство тягача действует вертикальная нагрузка 5,2 кН, продольная составляющая, равная 9,85 кН, поперечная составляющая усилия в узле сочленения практически отсутствует.
Рис. 11. Силовые факторы в узле сочленения при кинематическом способе поворота
Полуприцепной гусеничный поезд. Силовой способ поворота
Рассмотрим разворот гусеничного полуприцепного поезда с силовым способом поворота в соответствии со схемой, представленной на рис. 3. Движение полуприцепного ГП с силовым способом поворота моделировалось также с минимальной заданной скорости 0,01 м/с, затем скорость плавно нарастала за период 4 с до достижения установившейся скорости движения тягача на уровне 1,5 м/с (рис. 8).
Графики суммарных мощностей, подводимых к ведущим колесам тягача и полуприцепа, суммарной мощности, подводимой к тягачу и прицепу, и суммарной мощности, затрачиваемой на выполнение маневра гусеничным поездом, полученные в результате моделирования для силового способа поворота, представлены на рис. 12.
Рис. 12. Суммарные мощности, подводимые к ведущим колесам тягача и полуприцепа при использовании силового способа поворота
На рис. 13 представлены изменения моментов и угловых скоростей ведущих колес тягача и полуприцепа при силовом способе поворота.
Рис. 13. Моменты и угловые скорости ведущих колес тягача и полуприцепа
При выполнении рассматриваемого маневра с использованием силового способа поворота коэффициент мощности сопротивлений в установившемся режиме равен 0,182.
Графики изменения силовых факторов в узле сочленения ГП, действующих на полуприцепное звено, в системе координат, связанной с тягачом, приведены на рис. 14. Из представленного графика видно, что со стороны полуприцепа на седельно-сцепное устройство тягача действует вертикальная нагрузка , остальные силовые факторы в плоскости, параллельной опорной поверхности, практически отсутствуют.
Рис. 14. Силовые факторы в узле сочленения при силовом способе поворота
По мере уменьшения параметра управления тягой на ведущих колесах полуприцепа в узле сочленения увеличивается продольная составляющая усилия в сцепном устройстве . В предельном случае разворот будет осуществляться только за счет тягача ГП (пассивный полуприцеп). Здесь коэффициент мощности сопротивлений существенно снижается и становится равным 0,128 в установившемся режиме.
Анализируя представленные результаты, можно заключить, что коэффициент мощности сопротивлений при использовании силового способа поворота с активным полуприцепным звеном при развороте с теоретическим радиусом будет максимальным из рассмотренных вариантов, что на 77 % больше, чем при использовании кинематического способа поворота и на 59 % больше, чем при использовании силового способа поворота с пассивным полуприцепным звеном. Мощность, подведенная к полуприцепу при таком способе поворота (рис. 12), более чем в 4 раза превышает мощность, подведенную к тягачу, что можно объяснить большим значением отношения базы к колее полуприцепного звена, которое составляет 2,4, а следовательно, большим моментом сопротивления повороту [13].
Таким образом, при выполнении разворота полуприцепного ГП с теоретическим радиусом использование активного полуприцепного звена нецелесообразно с точки зрения энергоэффективности. Применение активного полуприцепного звена при движении рассматриваемого ГП может быть обосновано не только при прямолинейном движении или при движении с большими радиусами поворота для преодоления подъемов и различных единичных препятствий, но и при выполнении указанного маневра при использовании комбинированного способа поворота, что позволит снизить требования к усилиям, развиваемым в поворотно-сцепном устройстве и упростить его конструкцию.
При сравнении разворота ГП с пассивным полуприцепом с использованием кинематического и силового способов поворота можно сделать вывод, что коэффициент мощности сопротивлений при использовании силового способа поворота при развороте с минимальным возможным теоретическим радиусом будет на 11 % больше, чем при использовании кинематического способа поворота; таким образом, энергоэффективнее использовать кинематический способ поворота с пассивным полуприцепным звеном при развороте гусеничного поезда на месте на плотном грунтовом основании.
Двухшарнирный гусеничный поезд. Кинематический способ поворота
Рассмотрим разворот двухшарнирного ГП с кинематическим способом поворота с теоретическим радиусом вокруг точки Оп в соответствии со схемой, представленной на рис. 4. Требуемую скорость движения первого звена в установившемся режиме поворота необходимо задать такой, чтобы угловая скорость разворота двухшарнирного ГП вокруг точки Оп равнялась угловой скорости разворота () полуприцепного ГП с теоретическим радиусом при выполнении ранее рассмотренных маневров. В таком случае можно будет сравнить энергоэффективность выполнения маневров рассматриваемых объектов исследования. Коэффициент мощности сопротивлений при использовании двухшарнирного ГП с кинематическим способом поворота и выполнении разворота с теоретическим радиусом в установившемся режиме равен 0,286.
Таким образом, поворотливость двухшарнирного ГП с кинематическим способом поворота выше, чем у полуприцепного ГП. Однако, в связи с движением двухшарнирнорго ГП по меньшему радиусу, он будет значительно уступать полуприцепному ГП по энергоэффективности. Коэффициент мощности сопротивлений двухшарнирного ГП при таком способе поворота будет в 2,5 раза больше, чем при кинематическом способе поворота полуприцепного гусеничного поезда.
Для корректного сравнения ГП рассмотрим поворот двухшарнирного ГП с кинематическим способом поворота с теоретическим радиусом в соответствии со схемой, представленной на рис. 6. Требуемая скорость движения первого звена должна быть равна скорости движения тягача при развороте ГП (рис. 8). В таком случае оба ГП будут двигаться с одинаковой угловой скоростью. При выполнении указанного маневра коэффициент мощности сопротивлений для двухшарнирного ГП с кинематическим способом поворота равен 0,139.
Таким образом, при одинаковом радиусе поворота двухшарнирного ГП и полуприцепного ГП коэффициент мощности сопротивлений у двухшарнирного ГП будет на 20 % больше.
Рассмотрим разворот двухшарнирного ГП с кинематическим способом поворота вокруг заднего пассивного звена в соответствии с расчетной схемой, представленной на рис. 5. Двухшарнирный ГП разворачивается с теоретическим радиусом вокруг точки Оп с той же угловой скоростью, что и в предыдущих рассмотренных случаях, тогда коэффициент мощности сопротивлений в установившемся режиме равен 0,137, что на 19 % больше, чем у полуприцепного ГП с пассивным полуприцепным звеном.
Двухшарнирный гусеничный поезд. Силовой способ поворота
При развороте двухшарнирного ГП с силовым способом поворота в соответствии с расчетной схемой, представленной на рис. 4, коэффициент мощности сопротивлений равен 0,445 и будет максимальным из всех рассмотренных вариантов, что более чем в 2 раза больше, чем для кинематического способа поворота.
Рассмотрим поворот двухшарнирного ГП с силовым способом поворота с теоретическим радиусом в соответствии со схемой, представленной на рис. 6. Требуемая скорость движения первого звена должна быть равна скорости движения тягача при развороте полуприцепного ГП (рис. 8). При выполнении указанного маневра коэффициент мощности сопротивлений равен 0,203. Таким образом, у двухшарнирного ГП и у полуприцепного ГП с использованием силового способа поворота с одинаковыми радиусом поворота, угловой скоростью и полной массой коэффициенты мощности сопротивлений будут одинаковыми, что можно объяснить одинаковой суммарной длиной опорных поверхностей гусениц звеньев двухшарнирного ГП и полуприцепного ГП. Однако в таком случае габаритный радиус поворота двухшарнирного ГП будет больше.
Окончательно полученные результаты определения показателей маневренности и соответствующие значения коэффициентов мощности сопротивлений для объектов исследования с учетом различных способов поворота приведены в таблице.
Таблица. Сравнение маневренности и энергоэффективности гусеничных поездов
Table. Comparison of maneuverability and energy efficiency of track trains
Объект исследования | Rп, м | Rтаб, м | fNf | Способ поворота | |
теор. | факт. | ||||
Полуприцепной ГП с активным прицепом | 12,5 | 11,9 | 14,4 | 0,203 | силовой |
Полуприцепной ГП с пассивным прицепом | 12,5 | 12,1 | 14,6 | 0,128 | силовой |
Полуприцепной ГП с пассивным прицепом | 12,5 | 12,1 | 14,6 | 0,115 | кинематический |
Двухшарнирный ГП с двумя активными звеньями | 4,75 | 4,8 | 8,7 | 0,445 | силовой |
Двухшарнирный ГП с двумя активными звеньями | 4,75 | 4,72 | 8,7 | 0,286 | кинематический |
Двухшарнирный ГП с двумя активными звеньями | 12,5 | 11,9 | 15,75 | 0,203 | силовой |
Двухшарнирный ГП с двумя активными звеньями | 12,5 | 12,1 | 15,75 | 0,139 | кинематический |
Двухшарнирный ГП с одним активным звеном | 9,5 | 9,5 | 13 | 0,137 | кинематический |
Анализируя результаты, приведенные в таблице, можно установить, что кинематический способ поворота с дифференциальной схемой трансмиссий звеньев ГП энергоэффективнее по сравнению с силовым способом поворота, однако использование силовых устройств привода узла сочленения, например гидравлических цилиндров, накладывает ограничения на кинематику звеньев ГП, т.е. допустимые углы складывания звеньев ГП ограничены конструкцией привода узла сочленения, что ухудшает поворотливость ГП. Использование в конструкции узла сочленения технически сложных опорно-поворотных устройств приводит к существенному усложнению конструкции узла сочленения, поэтому целесообразно для обеспечения высокой поворотливости ГП использовать силовой способ поворота.
Полуприцепной ГП (табл.) уступает по поворотливости двухшарнирному ГП, однако при рассмотрении свойства профильной проходимости следует учитывать не только маневренность ГП при объезде препятствий, но и способность их преодоления; в этом случае при преодолении пороговых препятствий полуприцепной ГП потенциально превосходит двухшарнирный ГП из-за возможности обеспечения больших углов складывания в вертикальной продольной плоскости.
Заключение
Проведенное исследование методами математического моделирования позволило оценить энергоэффективность выполнения маневров для двух вариантов конструктивно-компоновочных решений гусеничных поездов и с использованием двух способов поворота: силового и кинематического.
Кинематический способ поворота с дифференциальной схемой трансмиссий звеньев ГП энергоэффективнее по сравнению с силовым способом поворота, однако допустимые углы складывания звеньев ГП ограничены конструкцией привода узла сочленения, что ухудшает поворотливость ГП, поэтому целесообразно для обеспечения высокой поворотливости ГП использовать силовой способ поворота.
Установлено, что для предложенных конструктивно-компоновочных исполнений ГП поворотливость двухшарнирного ГП будет выше, чем у полуприцепного ГП. Минимальный возможный теоретический радиус поворота для двухшарнирного ГП равен 4,75 м, что в 2,6 раза меньше, чем у полуприцепного ГП. При этом габаритный радиус поворота для двухшарнирного ГП равен 8,7 м, что почти в 1,7 раза меньше, чем у полуприцепного ГП; однако при рассмотрении профильной проходимости необходимо учитывать способность преодоления препятствий, которая у полуприцепного ГП потенциально выше.
Установлено, что разница в длине опорных поверхностей гусениц активных звеньев существенно влияет на энергоэффективность. Так, у полуприцепного ГП с пассивным полуприцепом суммарная длина опорной поверхности гусеницы тягача минимальная из всех рассмотренных вариантов, поэтому коэффициент мощности сопротивлений при его развороте с теоретическим радиусом минимальный. Так, при равенстве суммарных длин опорных поверхностей гусениц активных звеньев, радиусов поворота и угловых скоростей коэффициент мощности сопротивлений будет одинаковым. Для полуприцепного ГП с активным полуприцепом и двухшарнирного ГП с двумя активными звеньями суммарная опорная длина поверхностей гусениц активных звеньев будет одинаковой, и при развороте ГП с использованием силового способа поворота с радиусом коэффициент мощности сопротивлений равен 0,203.
作者简介
Kirill Yevseyev
Bauman Moscow State Technical University
编辑信件的主要联系方式.
Email: kb_evseev@bmstu.ru
PhD in Engineering
俄罗斯联邦, Moscow参考
- Aksenov P.V. Mnogoosn·yye avtomobili [Multi-axle vehicles]. 2 izd. Moscow: Mashinostroyeniye Publ., 1989. 280 p.
- Yevseyev K.B. Technical appearance of land vehicles intended for off-road container transportation. Gruzovik. 2021. No 7, pp. 3–8 (in Russ.).
- Yevseyev K.B. Hierarchy of operational properties of vehicles for the transportation of heavy indivisible goods in the Far North. Trudy NGTU im. R.E. Alekseyeva. 2021. No 2 (133), pp. 74–84 (in Russ.).
- Yevseyev K.B. Mathematical model of track train movement for off-road container transportation. Traktory i sel’khozmashiny. 2001. No 5. (in Russ.).
- Stadukhin A.A. Nauchn·yye metody opredeleniya ratsional’nykh parametrov elektromekhanicheskikh transmissiy vysokopodvizhnykh gusenichnykh mashin. Dissertatsiya … doktora tekhnicheskikh nauk [Scientific methods for determining the rational parameters of electromechanical transmissions of highly mobile tracked vehicles: Dissertation for Degree of DrSc in Engineering]: 05.05.03. Moscow, 2021. 317 p.
- Gorelov V.A., Kositsyn B.B., Miroshnichenko A.V. [i dr.] Method for determining the characteristics of an individual traction electric drive of a two-link tracked vehicle at the design stage. Trudy NGTU im. R.E. Alekseyeva. 2019. No 3 (126), pp. 120–134 (in Russ.).
- Kotiyev G.O., Padalkin B.V., Miroshnichenko A.V. [i dr.] Theoretical studies of the mobility of high-speed tracked vehicles with electric transmissions. Materialy mezhdunarodnoy nauchno-prakticheskoy konferentsii. Pod redaktsiyey I.A. Kalyayeva, F.L. Chernous’ko, V.M. Prikhod’ko. 2018, pp. 27–36 (in Russ.).
- Larin V.V. Teoriya dvizheniya polnoprivodnykh kolesnykh mashin [Theory of motion of all-wheel drive vehicles]: uchebnik. Moscow: Izd-vo MGTU im. N.E. Baumana Publ., 2010. 391 p.
- Smirnov G.A. Teoriya dvizheniya kolesnykh mashin [Theory of the movement of wheeled vehicles]. Uchebnik dlya mashinostroitel’nykh spets. vuzov. 2 izd. Moscow: Mashinostroyeniye Publ., 1990. 352 p.
- Gorelov V.A., Kositsyn B.B., Miroshnichenko A.V. [i dr.] Controller of the steering control system of a high-speed tracked vehicle with an individual drive of the driving wheels. Izvestiya MGTU «MAMI». 2019. No 4 (42), pp. 21–28 (in Russ.).
- Farobin Ya.E. Teoriya povorota transportnykh mashin [Theory of rotation of transport vehicles]. Moscow: Mashinostroyeniye Publ., 1970. 176 p.
- Isakov P.P. Teoriya i konstruktsiya tanka. Transmissii voyennykh gusenichnykh mashin [Theory and design of the tank. Military tracked vehicle transmissions]. T. 5. Moscow: Mashinostroyeniye Publ., 1985. 367 p.
- Nikitin A.O. Teoriya tanka [Tank theory]. Moscow: Voyennaya ordena Lenina akademiya bronetankovykh voysk Publ., 1962. 590 p.
补充文件

















