Method of controlling the slipping of a wheel propeller of automobile and tractor
- Authors: Gazizullin R.L.1, Chzhen K.1, Kotiyev G.O.1, Kositsyn B.B.1
-
Affiliations:
- Bauman Moscow State Technical University
- Issue: Vol 88, No 6 (2021)
- Pages: 29-44
- Section: Theory, designing, testing
- Submitted: 31.12.2021
- Accepted: 31.12.2021
- Published: 15.12.2021
- URL: https://journals.eco-vector.com/0321-4443/article/view/95719
- DOI: https://doi.org/10.17816/0321-4443-2021-6-29-44
- ID: 95719
Cite item
Full Text
Abstract
An increase in the slipping of a wheel propeller leads both to the energy loss and, up to a certain limit, the traction force increase. In this regard, in order to reduce energy losses for the movement of the vehicle, it is necessary to limit wheel slip at a level sufficient to create the required traction. Most of the existing algorithms aimed at implementing this constraint require information about the vehicle's linear speed. However, measuring the latter with a given accuracy outside laboratory conditions is difficult, which in some cases leads to a malfunction of the control algorithm. Therefore, it is relevant to develop a control method for the traction control system; in particular, for the case of acceleration, which will make it possible to estimate and limit wheel slip within specified limits with unknown characteristics of the supporting surface and the vehicle speed.
The article is devoted to the development of a method for assessing and limiting slipping of a wheeled engine at a level sufficient to realize the required tractive forces without using data on the vehicle's linear speed and adhesion properties of the supporting surface.
The article describes the mathematical model of the dynamics of the rectilinear movement of the “quarter” of the vehicle on a solid flat horizontal support surface. Through virtual experiments simulating the acceleration of a “quarter” of the vehicle with low slip, there was established a relationship between the traction force on the wheel axle and the kinematic parameters of the rotational motion, which are measurable and can be controlled during the movement of the vehicle, for example, using dynamometric wheels. On the basis of the obtained criterion, a regulator was developed to limit wheel slip during vehicle acceleration. The effectiveness of the developed regulator is proved by mathematical modeling of the acceleration of a “quarter” of the vehicle with different intensities on two types of supporting surfaces. It is also substantiated analytically provided that the wheel slip is constant within the measurement interval.
The paper presents an approach to assessing and limiting the slip of the wheels of a vehicle during acceleration using a regulator based on fuzzy logic. A theoretical justification of the proposed method is given. It does not require information about the linear speed of the vehicle and the adhesion properties of a wheel with a supporting surface.
An algorithm for the operation of the traction control system was developed. It allows to limit wheel slip at a given level while maintaining a sufficient margin of traction, which leads to a decrease in tire wear, a decrease in the likelihood of loss of mobility and an increase in the energy efficiency of the vehicle.
Keywords
Full Text
Введение
На сегодняшний день практически любая деятельность человека связана с выбросом CO2 и других газов в атмосферу, что неминуемо ведет к парниковому эффекту и глобальному изменению климата на Земле. Совокупность всех выбросов, произведенных прямо или косвенно в результате деятельности кого-либо или чего-либо, принято называть углеродным следом [1].
Существенный вклад в углеродный след вносит использование колесных транспортных средств. Снижение этой составляющей углеродного следа достигается, в том числе, повышением энергоэффективности движения.
Для обеспечения снижения энергозатрат в настоящее время активно совершенствуются несущие системы с целью снижения массы, силовые установки с целью повышения топливной экономичности, трансмиссии и ходовые системы с целью повышения коэффициента полезного действия, а также законы управления подводимой мощностью к колесному движителю, направленные на снижение потерь при реализации потребной силы тяги.
В настоящее время известны внедренные и перспективные законы управления подводимой мощностью к движителям [2−6]. Однако, как правило, даже при сложных законах величина суммарной подводимой к колесам мощности определяется степенью и интенсивностью изменения нажатия педали газа водителем, что в ряде случаев приводит к излишнему буксованию колес на переходных режимах. Исключение этого достигается применением противобуксовочной системы.
Алгоритм управления, реализуемый в противобуксовочных системах, основан на данных о скольжении в пятне контакта колеса с опорной поверхностью (ОП). Однако, при качении колесного движителя вне лабораторных условий прямое измерение скольжения в пятне контакта с необходимой точностью практически невозможно. Это связано со сложностью определения скорости колесного транспортного средства с требуемой достоверностью. В этой связи оценка скольжения проводится по косвенным измерениям. Например, по разности угловых скоростей колес машины, находящихся в ведомом и ведущем режимах. Однако, на совокупности дорожных условий точность оценки скольжения неудовлетворительна, а в случае полноприводных конструкций транспортных средств описанный способ управления не работоспособен.
Помимо снижения энергоэффективности реализация избыточного буксования приводит к повышенному износу шин и, как следствие, к увеличению расходов на эксплуатацию, кроме того в некоторых случаях буксование может привести к потере подвижности вездеходных транспортных средств вследствие экскавации грунта из области контакта движителя с опорной поверхностью и, соответственно, увеличения глубины колеи и сопротивления движению.
Цель исследований
Разработка противобуксовочной системы (ПБС), ограничивающей буксование колес на заданном уровне, достаточном для реализации потребных тяговых сил без использования данных о линейной скорости транспортного средства и обеспечивающей достаточную точность оценки буксования в случае полноприводных машин.
Анализ состояния вопроса и постановка задачи исследования
Первые работы, посвященные установлению взаимосвязи между продольной силой в пятне контакта шины с опорной поверхностью и скольжением, были опубликованы профессором Н.Е. Жуковским в 1905 г. [7]. Известно множество работ в области теории качения автомобильного колеса, в частности исследовались потери энергии в зависимости от степени буксования и способы их снижения. Так, в работах Е.А. Чудакова получена зависимость влияния радиусов качения колес автомобиля на расход топлива [8], а в работах В.А. Петрушова [9, 10] – потери на сопротивление качению и буксование в зависимости от особенностей конструкции шин. В работах В.И. Кнороза [11, 12] изложены математические модели взаимодействия эластичного колеса с твердой опорной поверхностью и детально рассмотрено влияние шин на основные эксплуатационные качества автомобилей. В работах Ю.В. Пирковского и С.Б. Шухмана [13, 14] рассмотрены вопросы механики движения полноприводного автомобиля в системе «двигатель – трансмиссия-движитель», а также представлены математические модели, позволяющие оценить влияние конструктивных параметров автомобиля на его тягово-динамические качества, топливную экономичность и проходимость. В фундаментальной работе М.Г. Беккера [15] приведен анализ существующих теорий проходимости машин на слабых грунтах и представлены математические модели, базирующиеся на основных закономерностях взаимодействия движителя с грунтом и учитывающие влияние конструктивных факторов. В работе Дж. Вонг [16] рассмотрены вопросы тяговой и тормозной динамики наземных транспортных средств, а также уделено особое внимание взаимодействию их движителей с грунтом.
С ростом вычислительных мощностей исследования в области взаимодействия движителей с деформируемыми опорными поверхностями все чаще проводятся с применением метода дискретных элементов [17, 18], что позволяет реализовать переход от полуэмпирических зависимостей, описывающих деформацию грунта, к детальной математической модели среды.
На сегодняшний день обеспечение закона управления подводимой мощностью, при котором ограничивается заданный уровень буксования, если его величина известна, является тривиальной задачей. Например, в работе В.В. Ванцевича алгоритм повышения энергоэффективности роботизированного транспортного средства путем ограничения скольжения в пятне контакта движителя с опорной поверхностью основан на измерении скорости с помощью установленного в задней части через специализированный шарнир «пятого» колеса, катящегося в ведомом режиме [19].
Известны и другие алгоритмы управления подводимой мощностью с целью снижения потерь энергии на буксование, исключающие измерения линейной скорости транспортного средства. Например, в работах [20−23] в силу сложности измерения скольжения предлагается подводить вращающий момент к ведущим колесам пропорционально вертикальным реакциям опорного основания. Однако, в этом случае для ограничения скольжения на заданном уровне величину подводимого к колесу вращающего момента необходимо дополнительно корректировать в зависимости от свойств опорной поверхности.
Материалы и методы
Первым этапом разработки алгоритма работы ПБС, отвечающего представленным требованиям, является выбор параметра, по которому будет осуществляться ограничение подводимой мощности. С этой целью рассмотрим «обратную» задачу: исследуем разгон «четверти» автомобиля (рис. 1), оснащенного электроприводом колесного движителя, по ровному горизонтальному недеформируемому опорному основанию без учета воздушного сопротивления. Для управления подводимой к колесу мощности применим «нечеткий» регулятор, который на основании известного вычисляемого значения скольжения будет корректировать управление подводимой мощностью таким образом, чтобы скольжение не превышало заданного малого значения.
Рис. 1. Схема «четверти» автомобиля
Числовые значения параметров, описывающих математическую модель «четверти» автомобиля, представлены в табл. 1.
Таблица 1. Числовые значения параметров математической модели движения «четверти» автомобиля
Table 1. Numerical values of the parameters of the mathematical model of the movement of the “quarter” of the vehicle
№ | Параметр | Обозначение | Значение |
1 | Ускорение свободного падения, м/с2 | g | 9,81 |
2 | Масса «четверти» автомобиля без учета колеса, кг | m | 500 |
3 | Масса колеса, кг | mk | 50 |
4 | Радиус качения колеса в свободном режиме (без проскальзывания) [٩], м | r0 | 0,4 |
5 | Момент инерции мотор-колеса вокруг оси вращения в плоскости качения, кг·м2 | Jk | 4 |
6 | Максимальная мощность электродвигателя, кВт | Nmax | 20 |
7 | Максимальный вращающий момент электродвигателя, Нм | Mkmax | 1800 |
8 | Максимальная угловая скорость вала электродвигателя двигателя, рад/c | ωmax | 60 |
Расчетная схема математической модели движения «четверти» автомобиля при разгоне представлена на рис. 2. Здесь – линейная скорость центра колеса; – линейная скорость «четверти» автомобиля; – угловая скорость колеса; – управляющее воздействие, определяющее уровень использования мощности электродвигателя; – вращающий момент, приложенный к оси колеса; – продольная сила на оси колеса; – продольная реакция в пятне контакта колеса с опорной поверхностью; – нормальная сила на колесе; – нормальная реакция в пятне контакта колеса с ОП.
Рис. 2. Расчетная схема разгона «четверти» автомобиля по недеформируемой опорной поверхности при освобождении от связей и замене их силами
Вертикальным перемещением колеса и кузова пренебрежем. Тогда уравнения движения «четверти» автомобиля примут вид:
(1)
где – момент взаимодействия колеса с ОП [24].
Допустим, приложенный к оси колеса вращающий момент подводится напрямую от электродвигателя. В данной работе электродвигатель является источником вращающего момента, а процессы взаимодействия между ротором и статором не рассматриваются. В этой связи описание тягового электродвигателя реализовано посредством функциональной зависимости между частотой вращения вала ротора, параметром управления и вращающим моментом согласно механической характеристике [25]:
Параметр управления задает мощность электродвигателя, которая для угловой скорости колеса определяет величину подводимого момента (рис. 3).
Рис. 3. Механическая характеристика электродвигателя Mk(ω, h)
Для определения и примем допущение о том, что силовые факторы в неустановившихся режимах движения и при стационарном качении описываются одними и теми же зависимостями, полученными c применением стенда «Грунтовый канал».
Введем удельную величину – коэффициент продольной силы [26] (рис. 4), который изменяется в зависимости от коэффициента скольжения s и определяется, как:
. (2)
Рис. 4. Зависимость коэффициента продольной силы от коэффициента скольжения
С учетом изложенного в работе [26] выражение для определения примет вид [27, 28]:
, (3)
где – константа, определяющая форму кривой (рис. 4); – тангенс угла наклона касательной к кривой (2) в точке при ; – асимптота коэффициента продольной силы (рис. 4); – коэффициент скольжения колеса.
При стационарном режиме качения в условиях стенда подводимый к колесу момент уравновешивается моментом взаимодействия с ОП . В связи с этим для определения указанного момента взаимодействия при нестационарном режиме качения будем использовать аналогично полученную (для установившегося режима движения на стенде «Грунтовый канал») экспериментальную зависимость коэффициента продольной силы тяги от удельной окружной силы. Тогда для каждого значения коэффициента продольной силы , полученного в условиях стенда «Грунтовый канал» при стационарном режиме качения колеса, момент взаимодействия колеса с опорной поверхностью определяется следующим образом:
,
где – удельная окружная сила при стационарном качении колеса в условиях стенда «Грунтовый канал» для текущего значения .
Для проведения моделирования используется экспериментально полученная зависимость коэффициента продольной силы от удельной окружной силы (рис. 5) [24].
Рис. 5. Зависимость коэффициента продольной силы от удельной окружной силы
Экспериментально установлено, что зависимость (рис. 5) коэффициента продольной силы от удельной окружной силы может быть аппроксимирована линейной функцией. Примем допущение о том, что [26], где – коэффициент сопротивления качению колеса, – коэффициент сопротивления качению колеса в ведомом режиме, – коэффициент сопротивления качению колеса в свободном режиме.
Тогда с учетом принятых допущений выражение для определения момента взаимодействия колеса с опорной поверхностью примет вид:
. (4)
Различие и обусловлено деформациями в направляющем аппарате подвески, возникающими в процессе движения. В силу высокой жесткости направляющего аппарата подвески деформации являются малыми, что позволяет принять .
После подстановки (3) и (4) в (1) система уравнений движения «четверти» автомобиля окончательно примет вид:
(5)
Для определения силы, возникающей между осью колеса и кузовом, будем использовать выражение (рис. 2):
.
Определение параметра управления
В ходе исследования проводился виртуальный эксперимент, представляющий собой ряд имитационных разгонов «четверти» автомобиля из состояния с различной интенсивностью на двух опорных поверхностях. Для определения параметров, по которым целесообразно осуществлять оценку скольжения колеса, рассмотрим изменение величин, которые возможно фиксировать с достаточной точностью при движении транспортного средства, а именно: , , и . Причем в процессе движения можно определять, например, с помощью динамометрического колеса, являющегося в этом случае неотъемлемой частью конструкции транспортного средства.
Виртуальные эксперименты были проведены на большом количестве опорных поверхностей, отличающихся по своим свойствам [26, 29−33]. В качестве примера в статье будем рассматривать заезды-разгоны на двух ОП, свойства которых значительно отличаются. Параметры, описывающие взаимодействие колеса с выбранными в качестве примера ОП, представлены в табл. 2 и соответствуют асфальтобетону разного качества.
Таблица 2. Параметры, описывающие взаимодействие колеса с ОП
Table 2. The parameters describing the interaction of the wheel with the supporting surface
Опорная поверхность | f | ||
ОП 1 | 0,011 | 0,75 | 0,07 |
ОП 2 | 0,027 | 0,45 | 0,1 |
В процессе разгона при решении «обратной» задачи применим «нечеткий» регулятор по , который ограничивает подводимый вращающий момент при условии , где – ограничиваемое значение коэффициента скольжения.
При анализе зависимости удельной продольной силы от коэффициента скольжения можно заметить, что при (рис. 4) значение возрастает с меньшей интенсивностью. В этой связи из условий обеспечения малого скольжения и высоких тягово-сцепных свойств – допускаемое значение коэффициента скольжения целесообразно принять вблизи . Примем .
Из представленных в табл. 2 наименьшее соответствует асфальтобетонной ОП 1. В этой связи для предотвращения излишнего буксования на всех рассматриваемых ОП примем .
На «вход» «нечеткого» регулятора подается разность значений и (рис. 6). На «выходе» регулятор вычисляет сигнал корректировки управляющего воздействия , задаваемого водителем и определяющего интенсивность разгона. На двигатель поступает скорректированный сигнал управляющего воздействия, который равен произведению и hp.
Рис. 6. Схема корректировки управляющего воздействия, задаваемого водителем, «нечетким» регулятором по
Рассмотрим возможные соотношения и , возникающие при разгоне «четверти» автомобиля, и действия, которые необходимо предпринять в каждом случае для ограничения скольжения:
- скольжение меньше целевого, что соответствует , не вмешиваться в управление (1);
- скольжение вблизи целевого, что соответствует , уменьшать управляющее воздействие (–);
- скольжение больше целевого, что соответствует , уменьшать управляющее воздействие интенсивно (– –).
Представленный анализ позволяет сформулировать правила работы «нечеткого» регулятора по (табл. 3).
Таблица 3. Правила работы «нечеткого» регулятора по s
Table 3. The rules of operation of the fuzzy controller on s
№ | s | hp | Описание режима движения |
1 | s′ – s > 0 | 1 | Скольжение меньше либо равно целевому. Не вмешиваться в управление |
2 | s′ – s ≈ 0 | – | Скольжение вблизи целевого. Уменьшать управляющее воздействие |
3 | s′ – s < 0 | – – | Скольжение больше целевого. Уменьшать управляющее воздействие интенсивно |
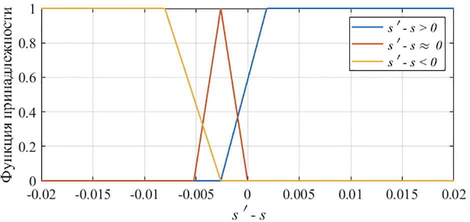
На рис. 7 и 8 представлены функции принадлежности входного и выходного сигналов регулятора по . Параметры указанных функций принадлежности выбирались итерационным путем с помощью математической модели разгона «четверти» автомобиля.
Рис. 7. Функции принадлежности входного сигнала s′ – s
Рис. 8. Функции принадлежности выходного сигнала hp
Импликация проводилась согласно правилу Мамдани, а дефазификация – методом «центра тяжести» [34].
Интенсивность разгона зададим параметром , который определяет время изменения управляющего параметра от 0 до 1 (рис. 9).
Рис. 9. Закон изменения параметра управления силовой установкой, определяемый t1 и задаваемый водителем
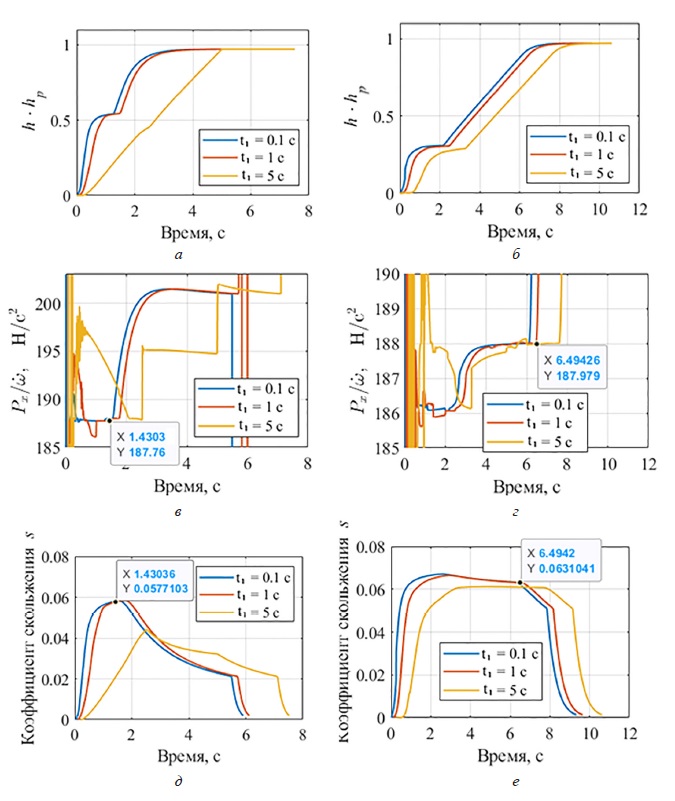
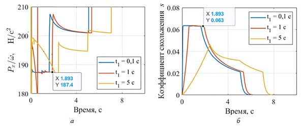
На рис. 10 представлены графики изменения s, и при разгонах с различной интенсивностью по ОП 1 и ОП 2, полученные в рамках виртуального эксперимента. Регулятор ограничивает скольжение на заданном уровне .
Рис. 10. Графики изменения различных параметров движения колеса при разгонах: а) продольной силы; в) углового ускорения; д) коэффициента скольжения на ОП 1 и б), г), е) на ОП 2
Целью данного виртуального эксперимента является определение параметра, по которому возможно осуществлять управление с заданными ограничениями.
Из анализа рис. 10 следует, что при разгонах с малым скольжением наблюдается взаимосвязь величин и , т.е. чем быстрее раскручивается колесо, тем большая продольная сила реализуется в пятне контакта, а следовательно, и . При разгонах с различной интенсивностью при ограничении величины и также ограничены.
На основании представленной закономерности возможно построить регулятор, который при превышении угловым ускорением колеса значения, соответствующего требуемому значению силы (при условии нахождения скольжения в допустимых пределах) корректировал бы управляющее воздействие и понижал бы величину подводимого момента. Однако для одного и того же предельного значения скольжения на различных опорных поверхностях наблюдаются различные значения силы и углового ускорения .
Предположим существование некоторого параметра, исходя из величины которого вне зависимости от свойств опорного основания можно было бы оценивать величину скольжения. Рассмотрим изменение величины совместно с изменением коэффициента скольжения при разгонах на различных опорных основаниях (рис. 11, 12).
Рис. 11. Графики изменения параметров движения от времени при разгонах с различной интенсивностью на ОП 1: а) и б)
Рис. 12. Графики изменения параметров движения от времени при разгонах с различной интенсивностью на ОП 2: а) и б)
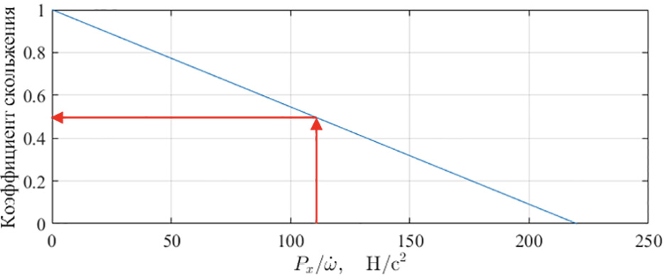
Из анализа графиков можно утверждать, что при принятых допущениях независимо от интенсивности разгона при заданном значении на установившемся участке наблюдается одно и то же значение , причем слабо отличающееся для различных типов опорных поверхностей, равное в данном случае 187,4 Н·с2 (рис. 11, а и 12, а).
Теоретическое обоснование выбора параметра управления
Рассмотрим теоретическое обоснование выявленной закономерности. Для ведущего режиме качения колеса справедливо:
. (6)
Приведем выражение (6) к виду:
. (7)
Продифференцируем полученную зависимость по времени (7):
Полагая, что в пределах интервала измерений, получим выражение:
. (8)
Представленное выражение (8) аналогично приведенному в работе [26]:
или ,
где – радиус качения колеса.
Полагая из (1):
(9)
После подстановки (9) в (8) получим выражение, связывающее и вне зависимости от свойств опорной поверхности при условии (рис. 13):
или . (10)
Рис. 13. График зависимости коэффициента скольжения от согласно выражению (10)
Из выражения (10) следует, что при каждому значению скольжения соответствует определенное значение величины независимо от типа опорной поверхности (рис. 13). И при постоянстве поддерживается постоянное определенное скольжение при разгоне.
Оценка работоспособности регулятора скольжения по
Для проверки работоспособности условия (10), решая «прямую» задачу, в качестве примера рассмотрим разгон «четверти» автомобиля с «нечетким» регулятором по на ОП 1 и ОП 2.
Разработанный регулятор обеспечивает ограничение величины при достижении значения , которое соответствует , например, для асфальтобетонного опорного основания:
«Нечеткий» регулятор по построен аналогично описанному ранее «нечеткому» регулятору по за исключением того, что на вход вместо разности () подается разность и . На «выходе» регулятор формирует сигнал корректировки управляющего воздействия . На двигатель поступает скорректированный сигнал управляющего воздействия, который равен произведению и .
Рассмотрим возможные соотношения и , возникающие при разгоне «четверти» автомобиля, и действия, которые необходимо предпринять в каждом случае для ограничения скольжения:
- скольжение меньше целевого, что соответствует . Не вмешиваться в управление (1);
- скольжение вблизи целевого, что соответствует . Уменьшать управляющее воздействие (–);
- скольжение больше целевого, что соответствует . Уменьшать управляющее воздействие интенсивно (– –).
Представленный анализ позволяет сформулировать правила работы «нечеткого» регулятора по (табл. 4). Функции принадлежности и представлены на рис. 14 и 15 соответственно.
Таблица 4. Правила работы «нечеткого» регулятора по
Table 4. The rules of operation of the fuzzy controller on
№ | hp | Описание режима движения | |
1 | 1 | Скольжение меньше целевого. Не вмешиваться в управление | |
2 | – | Скольжение вблизи целевого. Уменьшать управляющее воздействие | |
3 | – – | Скольжение больше целевого. Уменьшать управляющее воздействие интенсивно |
Рис. 14. Функции принадлежности входного сигнала
Рис. 15. Функции принадлежности выходного сигнала hp
Схема корректировки управляющего воздействия, задаваемого водителем, «нечетким» регулятором по представлена на рис. 16.
Рис. 16. Схема корректировки управляющего воздействия, задаваемого водителем, «нечетким» регулятором по
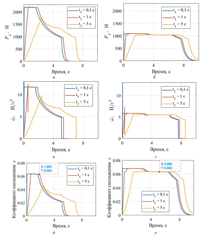
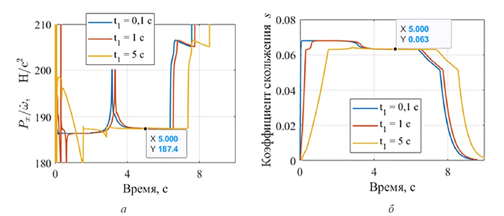
На рис. 17 представлены результаты моделирования ряда имитационных разгонов машины из состояния покоя с регулятором по , настроенным на ограничение скольжения на уровне . Из рис. 17, а и 17, б видно, что практически в каждом из заездов регулятор снижает уровень управляющего воздействия с целью ограничения излишнего буксования. Рассматривая в паре рис. 17, в и 17, д, а так же 17, г и 17, е можно заметить, что путем поддержания постоянным на заданному уровне обеспечивается ограничение коэффициента скольжения вблизи требуемого значения 0,063.
Рис. 17. Графики изменения параметров движения колеса при разгонах с различной интенсивностью с регулятором по от времени: а) cкорректированное управляющее воздействие; в) ; д) коэффициент скольжения для ОП 1 и б); г), е) – ОП 2 соответственно
Исходя из анализа графиков на рис. 17 можно сделать вывод о том, что полученное выражение (10) справедливо, а регулятор, построенный на основании измеряемого параметра , ограничивает скольжение вблизи заданного уровня без использования данных о линейной скорости транспортного средства и свойствах ОП. При этом на опорных поверхностях с неблагоприятными тягово-сцепными свойствами в начальной фазе ограничения скольжения при разгоне наблюдается незначительное перерегулирование (рис. 17, е), что объясняется наличием компонента .
Очевидно, что регулятор, корректирующий управляющее воздействие, задаваемое водителем, в зависимости от величины , теряет работоспособность при равномерном движении транспортного средства. Однако такой регулятор является пригодным для применения в противобуксовочной системе на переходных режимах, в частности при разгоне транспортного средства для предотвращения излишнего буксования и связанной с ним потере подвижности. Регулятор может быть автоматически выключен при достижении режима движения, близкого к стационарному, и снова включен в работу при увеличении степени нажатия педали газа водителем, т.е. позволяет ограничивать буксование в переходных режимах.
Результаты и выводы
В результате исследования установлено, что для реализации противобуксовочной системы, ограничивающей буксование колесного движителя в ведущем режиме при разгоне автомобиля и трактора по ровной твердой опорной поверхности на заданном уровне, возможно применять регулятор, ограничивающий подводимую к колесу мощность (параметр управления, задаваемый водителем) в зависимости от величины .
Приведено теоретическое обоснование выбранного параметра регулирования, согласно которому возможно оценить коэффициент скольжения рассматриваемого колеса при неизвестных свойствах опорной поверхности и скорости движения автомобиля и трактора на основании определяемого значения .
Работоспособность разработанного регулятора доказана при помощи математического моделирования.
Для внедрения разработанного метода требуется дополнительное введение в конструкцию автомобиля и трактора датчика продольной силы на колесе.
About the authors
Ruslan L. Gazizullin
Bauman Moscow State Technical University
Email: rlgazizullin@bmstu.ru
Russian Federation, Moscow
Kh. Chzhen
Bauman Moscow State Technical University
Email: zhypro@yandex.ru
Russian Federation, Moscow
George O. Kotiyev
Bauman Moscow State Technical University
Email: kotiev_go@bmstu.ru
DrSc in Engineering
Russian Federation, MoscowBoris B. Kositsyn
Bauman Moscow State Technical University
Author for correspondence.
Email: kositsyn_b@bmstu.ru
DrSc in Engineering
Russian Federation, MoscowReferences
- Global Greenhouse Gas Emissions Data: sayt. URL: https://www.epa.gov/ghgemissions/global-green- house-gas-emissions-data (data obrashcheniya 19.07.2021).
- Buzunov N.V., Pirozhkov R.D., Kartashov A.B., Dubinkin D.M., Efremenkov A.B. Simulation of operation of a sequential hybrid drive of a haul truck with a traction battery and a bilateral DC-to-DC converter // III International Scientific and Practical Conference on Innovations in Engineering and Technology-2020. Veliky Novgorod, 2020. P. 012−017. doi: 10.1088/1757-899X/939/1/012017
- Kartashov A.B., Skotnikov G.I. Simulation based feasibility confirmation of using hybrid powertrain system in unmanned dump trucks // International Automobile Scientific Forum (IASF-2019) “Technologies and Components of Land Intelligent Transport Systems” 16–18 October 2019 Moscow, Russian Federation. doi: 10.1088/1757-899X/819/1/012010
- Chudakov O.I, Gorelov V.A, Gartfelder V.A. and Sekletina L.S. Mathematical model of curvilinear motion of an active road train with electromechanical transmission // 2019 International Automobile Scientific Forum on Technologies and Components of Land Intelligent Transport Systems, IASF 2019. Moscow, 2019. doi: 10.1088/1757-899X/819/1/012001
- Gorelov V.A., Komissarov A.I., Sekletina L.S., Gartfelder V.A. A control algorithm for simulation of real-world operating conditions for the drivetrain of an all-wheel drive vehicle with individually driven wheels on a chassis dynamometer // Cogent Engineering – 2020. doi: 10.1080/23311916.2020.1737449
- Chudakov O., Gorelov V. and Padalkin B. Mathematical Modeling of a Linear Motion on a Deformable Bearing Surface of a Saddle-Type Road Train with Active Semi-Trailer Element // 2019 Conference on Design Technologies for Wheeled and Tracked Vehicles, MMBC. Moscow, 2019. doi: 10.1088/1757-899X/820/1/012009
- Zhukovsky N.E., 1937. Theory of a Device Designed by Dipl.-Eng. Romeiko-Gurko. Also published in Prof Zhu-kovsky’s Complete Works, Vol. 8, Moscow, Russia, 1905 (in Russian).
- Chudakov E.A., 1946. Rolling of Automobile Wheel. Mashgiz Publishing House, Moscow, Russia.
- Petrushov V.A., Moskovkin V.V., Yevgrafov A.N. Moshchnostnoy balans avtomobilya [Power balance of the vehicle]. Pod obshch. red. V.A. Petrushova. Moscow: Mashinostroyeniye Publ., 1984. 160 p.
- Petrushov V.A. Soprotivleniye kacheniyu avtomobiley i avtopoyezdov [Rolling resistance of vehicles and road trains]. Moscow, «MashinostroyeniYE» Publ., 1975. 225 p.
- Knoroz V.I., Klennikov Ye.V., Petrov I.P., Shelukhin A.S., Yur’yev Yu.M. Rabota avtomobil’noy shiny [Vehicle tire operation]. Pod. red. V.I. Knoroza. Moscow, «TransporT» Publ., 1976. 238 p.
- Knoroz V.I., Klennikov Ye.V. Shiny i kolesa [Tires and wheels]. Moscow, «MashinostroyeniYE» Publ., 1975 g. 184 p.
- Pirkovskiy Yu.V., Shukhman S.B. Teoriya dvizheniya polnoprivodnogo avtomobilya (prikladn·yye voprosy optimizatsii konstruktsii shassi) [All-wheel drive vehicle motion theory (applied questions of chassis design optimization)]. Moscow: YUPITI-DANA Publ., 2001; Elit-200, 2001. 230 p. ISBN 5-94126-666-1.
- Shukhman S.B., Solov’yev V.I., Prochko Ye.I. Teoriya silovogo privoda koles avtomobiley vysokoy prokhodimosti [The theory of the power drive of the wheels of cross-country vehicles]. Pod obshchey redaktsiyey d.t.n., prof. S.B. Shukhmana. Moscow: Agrobiznestsentr Publ., 2007. 336 p. ISBN 978-5-902792-15-4.
- Bekker M.G. Vvedeniye v teoriyu sistem mestnost’-mashina [An introduction to terrain-machine systems theory]. Moscow, «MashinostroyeniYE» Publ., 1973. 520 p.
- Wong J. Teoriya nazemnykh transportnykh sredstv [Theory of ground vehicles]: Per. s. angl. Moscow: Mashinostroyeniye Publ., 1982. 284 p.
- Hu C. Analytical modeling and DEM analysis of soil-wheel interaction under cornering and skidding conditions in off-road vehicles / Hu C., Gao J., Song X., Zhang M., Tan X. // AIP Advances. 2021. (in Russ.). doi: 10.1063/5.0057046
- Ravula P. Discrete element method-based studies on dynamic interactions of a lugged wheel with granular media / Ravula P., Acar G., Balachandar B. // Journal of Terramechanics. 2021. No 94. P. 49−62.
- Vantsevich V.V. UGV with a distributed electric driveline: Controlling for maximum slip energy efficiency on stochastic terrain / M.A. Salama, V.V. Vantsevich, T.R. Way, D.J. Gorsich // Journal of Terramechanics. 2018. No 79. P. 41−57.
- Gorelov V.A., Kotiyev G.O., Miroshnichenko A.V. Development of a control law for the individual drive of the propellers of a multi-axle wheeled vehicle. Izvestiya vuzov. Mashinostroyeniye. 2012. No 1, pp. 49–59 (in Russ.).
- Yamakawa J., Watanabe K., 2006. A method of optimal wheel torque determination for independent wheel drive vehicles. J. Terramech. 43, 269–285.
- Yamakawa J., Kojima A., Watanabe K., 2007. A method of torque control for independent wheel drive vehicles on rough terrain. J. Terramech. 44, 371–381.
- Yan C., Junmin W., 2011. An adaptive energy-efficient control allocation on planar motion control of electric ground vehicles. In: 50th IEEE Conference on Decision and Control and European Control Conference (CDC-ECC), pp. 8062–8067.
- Kositsyn B.B., Zheng H., Gazizullin R.L. Control and measuring modernization systems of the Soil Channel test bench and the development of a wheel motion mathematical model in stand conditions. Trudy NAMI. 2021. No 1(284), pp. 25–34 (in Russ.). doi: 10.51187/0135-3152-2021-1-25-34
- Kositsyn B.B. Metod opredeleniya energoeffektivnogo zakona dvizheniya elektrobusa po gorodskomu marshrutu: dissertatsiya ... kandidata tekhnicheskikh nauk [Method for determining the energy efficient law of movement of an electric bus along an urban route: Dissertation for Degree of PhD in Engineering]: 05.05.03; [Mesto zashchity: FGBOU VO «Moskovskiy gosudarstvennyy tekhnicheskiy universitet imeni N.E. Baumana (natsional’nyy issledovatel’skiy universitet)»]. Moscow, 2018. 166 p.
- Larin V.V. Teoriya dvizheniya polnoprivodnykh kolesnykh mashin [Theory of motion of four-wheel drive wheeled vehicles]: uchebnik. Moscow: Izd-vo MGTU im. N. E. Bau-mana Publ., 2010. 391 p.
- Janosi Z., Hanamoto B. The analytical determination of drawbar pull as a function of slip for tracked vehicles in deformable soil // Intern. Conf. on the mechanics of soil-vehicles. Tyrin. 1961. Report 44. P. 331–359.
- Rozhdestvenskiy Yu.L., Mashkov K.Yu. The formation of reactions when an elastic wheel rolls on a non-deformable base. Trudy MVTU. 1982. No 390, pp. 56–64 (in Russ.).
- Platonov V.F., Leiashvili G.R. Gusenichn·yye i kolesn·yye transportno-tyagov·yye mashiny [Tracked and wheeled transport and traction vehicles]. Moscow: Mashinostroyeniye Publ., 1986. 296 p.
- Platonov V.F. Polnoprivodn·yye avtomobili [4 wheel drive vehicles]. 2-e izd., pererab. i dop. Moscow: Mashinostroyeniye Publ., 1989. 312 p.
- Armaderov R.G., Bocharov N.F., Filyushkin A.V. Dvizhiteli transportnykh sredstv vysokoy prokhodimosti [Propellers of vehicles of high cross-country ability]: monografiya. Moscow: Transport Publ., 1972. 104 p.
- Bocharov N.F., Gusev V.I., Semenov V.M. [i dr.] Transportn·yye sredstva na vysokoelastichnykh dvizhitelyakh: monografiya [Highly elastic propulsion vehicles]. Moscow: Mashinostroyeniye Publ., 1974. 208 p.
- Smirnov G.A. Teoriya dvizheniya kolesnykh mashin [Theory of motion of wheeled vehicles]: Ucheb. dlya studentov mashinostroit. spets. vuzov. 2-e izd., dop. i pererab. Moscow: Mashinostroyeniye Publ., 1990. 352 p.
- Pegat A., Tyumentsev Yu.V., Podvesovskiy A.G. Nechetkoye modelirovaniye i upravleniye: monografiya [Fuzzy modeling and control: monograph]. Moscow: Binom. Laboratoriya znaniy Publ., 2023. 804 p.
Supplementary files




















