Effective chemical methods of fire control: new threats and new solutions
- Authors: Varfoloveev S.D.1, Lomakin S.M.2, Sakharov P.A.2, Khvatov A.V.2
-
Affiliations:
- Emanuel Institute of Biochemical Physics, Russian Academy of Sciences
- Institute of Biochemical Physics of the Russian Academy of Sciences
- Issue: Vol 89, No 5 (2019)
- Pages: 442-448
- Section: SCIENTIFIC SESSION OF THE GENERAL MEETING OF RAS MEMBERS
- URL: https://journals.eco-vector.com/0869-5873/article/view/12539
- DOI: https://doi.org/10.31857/S0869-5873895442-448
- ID: 12539
Cite item
Full Text
Abstract
This paper discusses the prospective flame retardant systems for polymeric materials, while considering the environmental issues they create. Polymer nanocomposites with carbon nano-additives and layered silicates are presented as a new type of flame retardant system which exhibits a synergistic effect flame retardancy for traditional polymer thermoplasts. Particular attention is paid to the novel intumescent flame retardants based on the oxidized renewable raw materials, which can be successfully used in the manufacture of multi-purpose timber construction and polymer materials.
Full Text
Исследования в области горения, взрывов, детонации и создание на этой основе эффективных методов управления процессами – крайне актуальная область современной науки и технологии. Несмотря на то, что эта сфера исследований и технических разработок имеет глубокие корни и значительные достижения, проблема управления процессами горения далека от полноразмерного решения. Использование высокогорючих полимерных материалов, представляющих собой химическую модификацию нефти и природного газа, непрерывно растёт во всех странах мира, и, с одной стороны, повсеместно увеличивается число неконтролируемых возгораний, взрывов, пожаров, нередко переходящих в технические и бытовые катастрофы с гигантскими материальными потерями и человеческими жертвами, с другой стороны, пропорционально росту народонаселения планеты возрастают объёмы органических отходов, причём этот рост имеет гиперэкспоненциальный характер. Основная масса отходов относится к твердофазной модификации углеводородов и в силу своей химической природы не может быть утилизирована биогенно и требует высокотермической переработки.
Научную базу управления горением, взрывом и детонацией составляет теория разветвлённых цепных реакций, созданная нобелевским лауреатом академиком Н. Н. Семёновым [1]. Большую роль в развитии этой теории сыграл наш современник член-корреспондент РАН В. В. Азатян [2, 3].
Теоретические основы управления горением, взрывом и детонацией достаточно просты. Для увеличения скорости процесса необходимо увеличивать концентрацию высокореакционноспособных радикалов, особенно тех, которые участвуют в стадии разветвления (стадия генерации двух реакционных частиц из одной). Для уменьшения скорости реакции необходимо изыскать химические или физические возможности трансформации высокореакционноспособных радикалов в частицы с пониженной реакционной способностью или вообще в стабильные молекулы.
С практической точки зрения, задача создания средств борьбы с горением, воспламенением и распространением пламени сводится к поиску химических агентов (антипиренов), трансформирующих активные частицы в малоактивные, химически "поглощающие" свободные радикалы. Другой механизм, открытый академиком Н. Н. Семёновым в ходе создания теории разветвлённых цепных реакций, – механизм "гибели на стенке", определяемый взаимодействием радикалов с массивной твёрдой фазой реактора.
Значительные успехи в поиске антипиренов привели к тому, что в настоящее время создано и исследовано большое количество веществ, обладающих в той или иной степени характеристиками антипиренов [4 – 8]. В качестве антипиренов используют вещества различной химической природы: неорганические компоненты (окись алюминия, гидроокись магния), соли (фосфаты аммония), органические компоненты с активированными связями (ароматические галоид-производные) [4–6]. Критерием отбора является эффективность перехвата высокореакционноспособного радикала при минимальных концентрациях антипирена. Роль критических параметров играют также экологическая безопасность применения и стоимость реагента [4].
Нанокомпозитные материалы. В Институте биохимической физики им. Н. М. Эмануэля (ИБХФ) РАН в течение многих лет ведутся исследования по стабилизации полимеров и, в частности, по созданию термостойких полимерных композиционных материалов, устойчивых к воспламенению, горению, распространению пламени [9–15].
Исследования в области термических свойств и горючести полимерных нанокомпозиционных материалов показали возможность их практического применения в качестве экологически безопасных материалов пониженной горючести. Создание полимерных мультифункциональных нанокомпозитов – одно из самых перспективных направлений в науке о композиционных материалах последних лет. Мультифункциональные нанокомпозиты – материалы, в которых хотя бы один из размеров частиц дисперсной фазы (длина, ширина или высота) составляет менее 100 нм. Наночастицы могут иметь изодиаметрическую (порошки металлов, окислы, соли), волокнистую (нанотрубки) и пластинчатую (слоистые силикаты) форму.
За последние 20 лет научные достижения в области нанохимии и технологии полимерных нанокомпозитов привели к возникновению целого класса новых полимерных материалов с нанодисперсным распределением наполнителей, таких как слоистые алюмосиликаты, слоистые двойные гидроксиды, нанодисперсные окислы и соли металлов, наноструктурные формы углерода (углеродные нанотрубки, фуллерены, слоистый нанографит) [16, 17]. В зависимости от природы и структурных характеристик нанонаполнителей их введение в полимерную матрицу приводит к снижению горючести, приданию свойств тепло- и электропроводности, снижению газопроницаемости и улучшению барьерных характеристик, устойчивости к воздействию УФ-излучения, приобретению магнитных и антикоррозийных свойств, повышению теплостойкости, жёсткости и прочности материалов [18–21].
Уникальное свойство нанонаполнителей влиять на процесс горения полимерных материалов, по всеобщему признанию, обусловлено их способностью формировать на горящей поверхности полимерной матрицы защитный карбонизованный слой, затрудняющий процесс массопереноса в условиях горения. В настоящее время предлагаются два механизма понижения горючести полимерных нанокомпозитов с учётом влияния слоистых силикатов и углеродных нанотруб. Один из них акцентируется на физическом аспекте формирования карбонизованного слоя на поверхности горящего полимера, влияющего на массо- и теплоперенос между зоной горения и полимерным материалом. Другой вариант учитывает каталитическую активность нанонаполнителей в процессе термической деструкции полимеров, вызывающую низкотемпературную карбонизацию полимерной матрицы. Очевидно, что, несмотря на общий характер коксообразования полимерных нанокомпозитов, механизм этого процесса в присутствии нанодисперсных слоистых систем и углеродных нанонаполнителей различен.
В 2017 г. было исследовано влияние наноуглеродных наполнителей, в частности нанопластин графита/многослойного графена (НПГ), на горючесть полиолефинов (ПЭ и ПП). По результатам пиролитической хромато-масс-cпектрометрии продуктов деструкции нанокомпозитов установлено воздействие НПГ на механизм пиролиза нанокомпозитов ПЭ и ПП за счёт снижения скорости реакции внутримолекулярной передачи цепи [14]. Причиной этого служит снижение сегментальной подвижности первичных полимерных макрорадикалов в присутствии нанопластин графита (физическая адсорбция на поверхности НПГ по данным дифференциальной сканирующей калориметрии). Установлено, что введение незначительных добавок НПГ (3–5 %) в полиолефины позволяет существенно понижать максимальное значение скорости тепловыделения при горении полимерных нанокомпозитов как посредством твердофазных процессов в полимерной матрице (традиционный механизм образования защитного слоя), так и благодаря снижению скорости диффузии тяжёлых углеводородных продуктов пиролиза в газовой фазе [14].
Наряду с основной причиной, влияющей на понижение горючести нанокомпозитов за счёт твердофазных реакций коксообразования и формирования эффективного защитного слоя (shielding effect) на поверхности горящего полимерного материала, коллективом ИБХФ РАН был предложен альтернативный механизм, учитывающий изменение состава газообразных продуктов пиролиза в условиях пиролиза полимеров за счёт снижения скорости диффузии тяжёлых углеводородных продуктов пиролиза в газовой фазе.
Рис. 1. Зависимость скорости тепловыделения от времени для образцов ПП (1), ПП/Mg(OH)2 – 30% масс. (2), ПП-ММТ – 7% масс. (3), ПП-ММТ – 7% масс. / Mg(OH)2 – 30% масс. (4) и ПП/Mg(OH)2 – 60% масс. (5) в режиме испытаний на кон-калориметре при внешнем тепловом потоке 35 кВт/м2
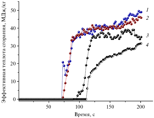
Рис. 2. Зависимость эффективной теплоты сгорания от времени для образцов ПП (1), ПП/Mg(OH)2 – 30% масс. (2), ПП-ММТ – 7% масс. (3), ПП-мПП-ММТ – 7% масс. / Mg(OH)2 – 30% масс. (4) и ПП/Mg(OH)2 – 60% масс. (5) в режиме испытаний на кон-калориметре при внешнем тепловом потоке 35 кВт/м2
Исторически наибольшее распространение среди нанонаполнителей, придающих полимерам трудногорючие свойства, получили слоистые силикаты [8]. Полимерные нанокомпозиты на основе слоистых силикатов представляют собой гибрид органической фазы (полимер) и неорганической фазы (силикат). Нанодисперсность нанокомпозита зависит от типа используемого силиката. Применяемые для этого силикаты принадлежат к семейству слоистых алюмосиликатов, также известных как филосиликаты (слюда, тальк, монтмориллонит, вермикулит, гекторит, сапонит и т. д.) [8]. Однако наибольший практический интерес вызывают комплексные смеси антипиренов, содержащих слоистые силикаты и традиционные антипирены, такие как гидроксиды алюминия и магния, которые благодаря эффекту синергизма, проявляемого в условиях горения, существенно снижают горючесть полимеров [22]. В качестве примера можно привести неаддитивное влияние нанодисперсного слоистого силиката/монтморрилонита (ММТ) и гидроксида магния на горючесть композиций полипропилена, полученных расплавным методом.
На рисунках 1 и 2 представлены графики зависимости основных характеристик горючести: скорости тепловыделения (СТВ) и эффективной теплоты сгорания от времени для исходного ПП, а также композиций ПП/Mg(OH)2 и ПП-ММТ/Mg(OH)2. Из рисунка 1 видно, что максимальное значение скорости тепловыделения ПП равно 2060 кВт/м2. Аналогичный показатель максимальной СТВ для нанокомпозита ПП-мПП-Cloisite 20A (7 % масс.) составляет 936 кВт/м2, что свидетельствует о снижении значения максимальной СТВ более чем в 2 раза (на 55 %) по сравнению с исходным ПП. Введение 30 % масс. гидроокиси магния в полипропилен приводит к небольшому понижению значения максимальной СТВ на 32 % (1390 кВт/м2) относительно исходного ПП, тогда как введение 60 % Mg(OH)2 понижает максимальную СТВ в 6,5 раз до 317 кВт/м2 (на 84 %). Из полученных данных становится очевидным, что для эффективного снижения горючести композиций ПП, содержащих гидроокись магния, необходимо существенное введение неорганического антипирена, превышающего по массе саму полимерную матрицу. Анализ горючести нанокомпозита ПП-ММТ – 7 % масс., содержащего 30 % масс. Mg(OH)2, выявил синергетический характер снижения параметра максимальной СТВ: максимальное значение СТВ для композиции ПП-ММТ –7 % масс./Mg(OH)2 (30 % масс.) уменьшилось в 5 раз (на 81 %) по сравнению с исходным ПП и составило 398 кВт/м2 (см. рис. 2). Данный эффект синергизма снижения горючести возникает, очевидно, при совместном влиянии ММТ и Mg(OH)2 на твердофазные и газофазные процессы, протекающие при горении композиции ПП. Наночастицы ММТ участвуют в образовании карбонизованного углерод/керамического защитного слоя, влияющего на процессы массо- и теплопередачи на поверхности горящего полимера, а Mg(OH)2 оказывает воздействие на газофазные процессы в пламени за счёт разбавления продуктов пиролиза полимеров водой. Анализ экспериментальных данных, представленных на рисунке 2, показывает увеличение периода индукции воспламенения композиций ПП-ММТ – 7 % масс./Mg(OH)2 – 30 % масс., и ПП/Mg(OH)2 – 60 % масс., по сравнению с остальными испытанными образцами. Значения периодов индукции воспламенения для ПП и композиций на его основе составляют: ПП – 73 с, ПП-ММТ (7 % масс.) – 72 с, ПП/Mg(OH)2 (30 % масс.) – 76 с, ПП-ММТ (7 % масс.)/Mg(OH)2 (30 % масс.) – 97 с, ПП/Mg(OH)2 (60 % масс.) – 103 с.
Рисунок 2 иллюстрирует зависимость эффективной теплоты сгорания от времени, которая практически идентична для ПП и ПП-ММТ. А значит, силиктная добавка не проявляет свойств антипирена, ингибирующего газофазные процессы в пламени, и не влияет на теплоту сгорания. Незначительное уменьшение эффективной теплоты сгорания образца ПП/Mg(OH)2– 30 % масс. свидетельствует о малой эффективности воздействия добавки Mg(OH)2 в количестве 30 % масс. на газофазные процессы в пламени. Однако при введении 60 % масс. Mg(OH)2 в композицию с ПП наблюдается практически двукратное снижение эффективной теплоты сгорания по сравнению с ПП. Заметное снижение эффективной теплоты сгорания для композиции ПП–ММТ (7 % масс.)/ Mg(OH)2 (30 % масс.) по сравнению с исходным ПП, нанокомпозитом ПП-ММТ и ПП/Mg(OH)2 (30 % масс.) указывает на синергизм снижения горючести композиции ПП при совместном введении добавок ММТ и Mg(OH)2.
Проведённые исследования горючести композиций ПП, содержащих Mg(OH)2 и нанонаполнитель ММТ, позволяют сделать вывод, что совместное введение традиционного антипирена Mg(OH)2 в относительно небольшой концентрации и слоистого нанонаполнителя ММТ обеспечивает получение трудногорючего материала на основе ПП. При этих условиях появляется возможность сохранить полезные физико-механические свойства исходного полимера.
Другой классический пример нанонаполнителя, снижающего горючесть полимерных материалов, – углеродные нанотрубы. Сравнительные испытания характеристик горючести нанокомпозитов ПП, содержащих 3 и 5 % масс. многостенных углеродных нанотруб (МУНТ), были проведены на кон-калориметре при воздействии внешнего теплового потока 35 кВт/м2 [12]. На рисунке 3 представлены графики зависимости основной характеристики горючести – скорости тепловыделения (СТВ) – для ПП и нанокомпозитов ПП, содержащих 3 и 5 % масс. МУНТ. Графики отражают резкое снижение значения максимальной скорости тепловыделения нанокомпозитов ПП/МУНТ по сравнению с исходным ПП. Так, для нанокомпозитов ПП с 3 и 5 % масс. МУНТ значения максимальной скорости тепловыделения составляют 552,8 кВт/м2 и 455,8 кВт/м2 соответственно, тогда как для исходного ПП эта величина равна 2037 кВт/м2. Расчётные значения эффективной теплоты сгорания ПП и нанокомпозитов ПП/МУНТ показали инвариантный характер изменения этого параметра для данных образцов. Поэтому наблюдаемый эффект замедления горючести связан исключительно с твердофазными реакциями, приводящими к образованию защитного коксового слоя на поверхности горения по аналогии со слоистыми силикатами [8–12].
Рис. 3. Зависимость скорости тепловыделения от времени для образцов ПП (1) и нанокомпозитов ПП, содержащего 3 (2) и 5% масс. (3) МУНТ, в режиме испытаний на кон-калориметре при внешнем тепловом потоке 35 кВт/м2
Интумесцентные экологически безопасные антипирены на основе возобновляемого сырья. Как показали исследования, окисленные производные природного возобновляемого сырья, представляющие собой целлюлозо- и крахмалосодержащие (полисахара) реагенты могут найти применение в качестве эффективных антипиренов для конструкционных изделий из древесины, при изготовлении различных композиционных полимерных материалов, а также при тушении пожаров [23, 24]. Полученные результаты оказались совершенно неожиданными, поскольку ранее никто не предполагал, что подобные реагенты могут обладать свойствами антипиренов. Благодаря этим результатам был установлен интумесцентный механизм огнезащитного действия антипиренов на основе окисленного возобновляемого сырья [23–26].
Синхронный ТГА-ИК-Фурье анализ интумесцентного антипирена показал, что процесс его терморазложения происходит в три стадии. На первой стадии термодеструкции (220–260°С) выделяются вода и углекислый газ за счёт реакций дегидратации и декарбоксилирования в ходе распада сложноэфирных связей, при этом происходит вспенивание образца. На второй стадии (270–450°С) наблюдается разложение углеродного скелета антипирена, сопровождающееся карбонизацией и образованием пенококса. На третьей стадии (догорание на воздухе, T > 450°С) происходит выгорание коксового остатка с выделением СО2. Очевидно, что декарбоксилирование, дегидратация и образование на поверхности горящего материала пенококса вносят определяющий вклад в снижение горючести древесных материалов и полимерных композитов.
На наш взгляд, ключевой фактор снижения горючести древесных конструкций и композиционных материалов, обработанных данными антипиренами, – интумесцентный характер поведения антипиренов, в соответствии с ним термический нагрев приводит к образованию пенококса, который в свою очередь препятствует процессу горения за счёт резкого снижения тепло- и массообмена между пламенем и поверхностью горящих материалов.
Одна из недавних разработок сотрудников ИБХФ РАН – уникальная технология производственного процесса получения антипиреновой добавки из возобновляемого растительного сырья. Антипирены применены для строительных материалов из древесины и композиционных полимерных материалов. Новый класс антипиренов создан с целью придания огнестойкости материалов и расширения области их применения в строительстве и производстве изделий общегражданского назначения. При этом показана возможность сохранения прочностных и антипиреновых характеристик на протяжении многолетней эксплуатации на открытом воздухе [25, 26]. Конструкционные изделия, обработанные синтезированным антипиреном, обладают 1-й группой огнезащитной эффективности, а также высокой огнестойкостью R > 60 (ГОСТ 30247.0) при расходе антипирена около 200–300 г/м2. Создана опытно-промышленная установка синтеза антипирена, что позволяет использовать отходы производства деревообрабатывающих предприятий и производить подобные антипирены непосредственно на территориях древесно-стружечных комбинатов.
Проблема уничтожения или полезного использования малогорючих органических отходов, к сожалению, пока не нашла эффективного социально приемлемого решения. Прямое сжигание сопряжено с недостаточно эффективной трансформацией экологически опасных соединений, с генерацией газообразующих экотоксикантов. Иной эффективный вариант утилизации предложен коллективом Института химической физики им. Н. Н. Семёнова РАН [27]. Используя технологию детонационного горения, сотрудники лаборатории С.М. Фролова провели процесс в температурном интервале 1800–2500°С с генерацией воды, высокая реакционная способность которой при указанных температурах позволяет трансформировать органические отходы в синтезгаз.
Таким образом, в настоящее время благодаря исследованиям, выполненным в ИБХФ РАН, разработаны экологически безопасные антипирены, получаемые из возобновляемых источников сырья. Производство этих антипиренов освоено компанией "Татнефть".
Кардинальное решение задачи предотвращения катастроф с возгоранием и распространением пламени заключается в широком использовании ингибиторов горения – антипиренов. Проблема из области научных исследований и технологических разработок переходит в область организационно-государственных решений. Для её преодоления необходим закон об обязательном использовании экологически безопасных антипиренов при производстве древесных и полимерных строительных материалов.
About the authors
S. D. Varfoloveev
Emanuel Institute of Biochemical Physics, Russian Academy of Sciences
Author for correspondence.
Email: sdvarf@sky.chph.ras.ru
Corresponding member of RAS, research director
Russian Federation, 4, Kosygina street, Moscow, 119991S. M. Lomakin
Institute of Biochemical Physics of the Russian Academy of Sciences
Email: sdvarf@sky.chph.ras.ru
Candidate of chemical sciences, head of the laboratory
Russian Federation, 4, Kosygina street, Moscow, 119991P. A. Sakharov
Institute of Biochemical Physics of the Russian Academy of Sciences
Email: sdvarf@sky.chph.ras.ru
science officer
Russian Federation, 4, Kosygina street, Moscow, 119991A. V. Khvatov
Institute of Biochemical Physics of the Russian Academy of Sciences
Email: hvatovanatoliy@gmail.com
Candidate of Chemical Sciences, science officer
Russian Federation, 4, Kosygina street, Moscow, 119991References
- Семёнов Н. Н. Самовоспламенение и цепные реакции // Успехи химии. 1967. Т. 36. № 1. С. 3 – 33.
- Азатян В. В., Мержанов А. Г. Разветвлённо-цепная природа горения водорода при атмосферном давлении // Химическая физика. 2008. Т. 27. № 10. С. 1.
- Азатян В. В. Цепные реакции в процессах горения, взрыва и детонации газов. Черноголовка: Редакционно-издательский отдел ИПХФ РАН, 2017.
- Lomakin S. M., Zaikov G. E. Modern Polymer Flame Retardancy // New Concepts in Polymer Science. Boston: VSP Int. Sci. Publ. Utrecht, 2003.
- Grand F., Wilkie C. A. Fire Retardancy of Polymeric Materials. N.Y. – Basel: Marcel Dekker Inc., 2000.
- Fire Retardant Materials / Ed. by A. R. Horrocks, D. Price. Cambridge: Woodhead Publishing Limited, 2000.
- Fire Retardancy of Polymers: New Applications of Mi¬neral Fillers / Ed. by M. Le Bras, A. W. Wilkie, S. Bourbigot. Cambridge: RSC Publishing, 2005.
- Ломакин С. М., Заиков Т. Е. Полимерные нанокомпозиты пониженной горючести на основе слоистых силикатов // Высокомолекулярные соединения. Серия Б. 2005. Т. 45. № 1. С. 104–120.
- Ломакин С.М., Дубникова И. Л., Березина С.М., Заиков Г. Е. Термическая деструкция и горение нанокомпозита полипропилена на основе органически модифицированного слоистого силиката // Высокомолекулярные соединения. Серия А. 2006. Т. 48. № 1. С. 90–105.
- Lomakin S. M., Novokshonova L. A., Brevnov P. N., Shchegolikhin A. N. Thermal properties of polyethylene/montmorillonite nanocomposites prepared by intercalative polymerization // Journal of Materials Science. 2008. V. 43. № 4. P. 1340–1353.
- Lomakin S. M., Dubnikova I. L., Shchegolikhin A. N. et al. Thermal Degradation and Combustion of the Polye¬thylene/clay Nanocomposite Prepared by Melt Intercalation // Journal of Thermal Analysis and Calorimetry. 2008. V. 94. № 3. 719–726.
- Rakhimkulov A. D., Lomakin S. M., Dubnikova I. L. et. al. The effect of multi-walled carbon nanotubes addition on the thermo-oxidative decomposition and flammability of PP/MWCNT nanocomposites // Journal of Materials Science. 2010. V. 45. № 3. P. 633–640.
- Zaikov, G.E., Rakhimkulov, A.D., Lomakin, S.M. et al. Thermal degradation and combustion behavior of polypropylene/MWCNT composites // Molecular Crystals and Liquid Crystals. 2010. V. 523. P. 106–119.
- Lomakin S., Brevnov P., Koverzanova E. et al. The effect of graphite nanoplates on the thermal degradation and combustion of polyethylene // Journal of Analytical and Applied Pyrolysis. 2017. V. 128. Р. 275–280.
- Flame Retardant Polymer Nanocomposites / Ed. by A. B. Morgan, C. A. Wilkie. New Jersey: John Wiley & Sons, 2007.
- Fire Retardancy of Polymers – New Strategies and Mechanisms / Ed. by T. R. Hull, B. K. Kandola. Cambridge: RSC Publishing, 2009.
- Zanetti M., Lomakin S., Camino G. Polymer layered silicate nanocomposites // Macromolecular Materials and Engineering. 2000. V. 279. № 1. P. 1–9.
- Polymer nanocomposites / Ed. by Y Mai, Yiu-Wing Mai, Y Mai Mai, Mai Mai, Zhong-Zhen Yu. Cambridge: CRC Press, 2006.
- Новокшонова Л. А., Бревнов П. Н., Гринёв В. Г. и др. Нанокомпозиционные материалы на основе полиэтилена и слоистых силикатов: синтез, структура, свойства // Российские нанотехнологии. 2008. Т. 3. № 5–6. С. 136–149.
- Dubnikova I., Kuvardina E., Krasheninnikov V. et al. The effect of multiwalled carbon nanotube dimensions on the morphology, mechanical, and electrical properties of melt mixed polypropylene-based composites // Journal of Applied Polymer Science. 2010. V. 117(1). P. 259–272.
- Kuvardina E. V., Novokshonova L. A., Lomakin S. M. et al. Effect of the Graphite Nanoplatelet Size on the Mechanical, Thermal, and Electrical Properties of Polypropylene/Exfoliated Graphite Nanocomposites // Journal of Applied Polymer Science. 2013. V. 3. P. 1412–1424.
- Ломакин С.М., Усачёв С.В., Бревнов П.Н. и др. Патент РФ "Полимерная композиция на основе олефинов, характеризующаяся пониженной горючестью", № 2013113667 от 20.11.2014 г.
- Sakharov A. M., Sakharov P. A., Lomakin S. M., Zai¬kov G. E. Novel Class of Eco-Flame Retardants (Chapter 7) // Polymer Green Flame Retardants / Ed. by C. D. Papaspyrides, P. Kiliaris. Amsterdam, Oxford: Elsevier, 2014. P. 255–266.
- Варфоломеев С.Д., Ломакин С.М., Сахаров А. М. и др. Патент РФ "Антипирен, способ его получения, способ огнезащитной обработки горючего субстрата и способ тушения очага горения", № 2425069 от 27.07.2011 г.
- Варфоломеев С.Д., Ломакин С.М., Сахаров П. А. и др. Патент РФ "Полиэфирное связующее пониженной горючести", № 2674210 от 10.01.2018 г.
- Сахаров П. А., Ломакин С.М., Хватов А. В. и др. Патент РФ "Антипирен, способ его получения и способ огнезащитной обработки древесины", № 2674208 от 22.01.2018 г.
- Фролов С.М. Наука о горении и проблемы современной энергетики // Российский химический журнал (Журнал Российского химического общества им. Д. И. Менделеева). 2008. Т. LII. № 6. С. 129–133.
Supplementary files
