Migration of radiogenic helium in the crystal structure of sulfides and prospects of their isotopic dating
- Authors: Yakubovich O.V.1,2, Gedz A.M.1,2, Vikentyev I.V.3, Kotov A.V.1, Gorokhovskii B.M.1
-
Affiliations:
- Institute of Precambrian Geology and Geochronology of the Russian Academy of Sciences
- Saint-Petersburg State University
- Institute of Geology of Ore Deposits, Petrography, Mineralogy and Geochemistry of the Russian Academy of Sciences
- Issue: Vol 27, No 1 (2019)
- Pages: 65-86
- Section: Articles
- URL: https://journals.eco-vector.com/0869-5903/article/view/11351
- DOI: https://doi.org/10.31857/S0869-590327165-86
- ID: 11351
Cite item
Full Text
Abstract
The migration of helium from the crystal lattices of sulfides (pyrite, pyrrhotite, chalcopyrite, bornite, and sphalerite) and sulfosalts (tennantite and tetrahedrite) was studied. It was shown that helium occurs in submicrometer inclusions of uranium- and thorium-bearing minerals. The curves of helium thermal desorption from the sulfide and sulfosalts were obtained by the step-heating method and analyzed on the basis of the single-jump migration model. The interpretation of these data led to the conclusion on the possibility of the U-Th-He dating of pyrite. It was shown that the migration parameters of helium in the other sulfides and sulfosalts are not suitable for their potential use as U-Th-He mineral geochronometer. Based on a comparison of data on helium migration in various minerals, it was suggested that high helium retentivity in some sulfides and arsenides (pyrite and sperrylite) is related to the type of their crystal lattice, packing density, and specific electric resistivity.
Keywords
Full Text
ВВЕДЕНИЕ
Сульфиды – класс минералов, объединяющий сернистые соединения металлов и некоторых неметаллов. Сульфиды и их аналоги (в которых анионы представлены As, Sb, Se, Te, Bi или их комбинацией с серой) широко распространены в природе. Они встречаются почти во всех известных типах эндогенных месторождений и являются главным источником многих полезных компонентов, таких как Cu, Ni, Co, Zn, Pb, Ag, Mo, Bi, Sb, Hg, Re, Cd, In, Tl, Ge, Ga, Se, Te и др. Переработка сульфидных концентратов обеспечивает более половины производства золота и платиноидов. В природе известно нескольких сот сульфидных минералов, однако лишь пять из них можно назвать главными: пирит, пирротин, халькопирит, сфалерит и галенит (Минералы …, 1960; Bowels et al., 2011).
В настоящее время возраст сульфидов определяется в основном Re-Os методом (ID TIMS) (Stein et al., 1998; Marques, 2013 и др.). Наиболее успешно этот метод применяется для определения возраста молибденита (Hirt et al., 1963; Markey et al., 1998), реже пирита, халькопирита, арсенопирита, борнита (Selby et al., 2009; Morelli et al., 2007 и др.). Основным ограничением использования этого метода являются низкие концентрации рения (или низкие Re/Os отношения) и методические сложности, связанные с измерением изотопных отношений Os на твердофазных масс-спектрометрах (Marques, 2013). Кроме «классического» Re-Os датирования иногда возраст сульфидов определяют на основе модельных значений такового, рассчитываемых по изотопным отношениям Os (LA-ICP-MS). Такой подход является методически более простым, но также имеет свои ограничения (Zhu et al., 2016). В некоторых случаях возможно определение возраста сульфидной минерализации с использованием Rb-Sr, Sm-Nd и Ar-Ar изотопных систем (Christensen et al., 1995; Petke, Diamond, 1996; Smith et al., 2001; Li et al., 2008; Серов, Екимова, 2009; Ivanov et al., 2015 и др.). Однако применение этих методов ограничено рядом изотопно-геохимических причин, связанных в первую очередь с низкими концентрациями материнских изотопов, а также сложной эволюцией этих систем, отражающей полистадийность гидротермальных, магматических и метаморфических событий, а также то, что в подавляющем большинстве случаев изохронный возраст определяется не для самих сульфидов и самородных золота и платиноидов, а для ассоциирующих с ними кислородсодержащих минералов, парагенность которых не всегда доказана.
Таким образом, существует необходимость разработки новых подходов к определению возраста сульфидной минерализации. Вовлечение еще одной изотопной системы позволит получить дополнительную информацию о температурно-временной истории исследуемых пород и руд. В этом ключе особый интерес представляет U-Th-He изотопная система, так как содержание урана в сульфидах из срединно-океанических хребтов может достигать 2–11 мкг/г (Butler, Nesbitt, 1999; Melekestseva et al., 2014 и др.), что в ряде случаев сопоставимо с содержанием урана в апатите (10–100 мкг/г) (Altschuler et al., 1957), который широко используется для датирования U-Th-He методом (Farley et al., 2002; Shuster et al., 2006 и др.). Все это указывает на принципиальную возможность датирования сульфидов этим методом.
До недавнего времени изотопные системы, в которых радиогенный гелий выступает в качестве дочернего компонента, считались неприменимыми для датирования в силу его практически моментальной миграции за пределы кристаллических структур большинства минералов даже в результате незначительного нагрева (Герлинг, 1939, 1961; Hurley, 1954 и др.). Поэтому область применения U-Th-He метода в основном была ограничена решением задач по геотермохронологии (Farley, 2002; Reiners, Brandon, 2006 и др.) или, как было показано в работе Шмидта с коллегами (Schmitt et al., 2011), метод может быть использован для датирования молодых изверженных пород. Однако недавние исследования обнаружили аномально высокую сохранность радиогенного гелия в самородных металлах (Шуколюков и др., 2012а). Это послужило основой для создания 190Pt-4He метода изотопной геохронологии (Шуколюков и др., 2012б).
Дальнейшие исследования показали, что в ряде случаев 190Pt-4He метод может быть применен и для датирования сперрилита, являющегося арсенидом платины (Якубович и др., 2015). Высокая сохранность радиогенного гелия в сперрилите позволяет предположить, что аналогичные свойства относительно способности удерживать гелий могут быть и у схожего по структуре пирита и, возможно, у других сульфидов и сульфосолей.
В настоящей статье представлены результаты исследований, направленных на изучение возможности использования U-Th-He метода для изотопного датирования сульфидов и сульфосолей. Цель работы – исследование кинетики миграции гелия из этих минералов для лучшего понимания механизма потерь радиогенного гелия в природных условиях. Задачи представленной работы состояли в том, чтобы: 1) экспериментально определить миграционные параметры гелия в различных сульфидах и сульфосолях; 2) изучить механизмы миграции гелия в них; 3) оценить концентрации урана и тория и определить форму нахождения этих элементов в сульфидах и сульфосолях; 4) оценить устойчивость U-Th-He изотопной системы в пирите, пирротине, халькопирите, сфалерите, теннантите, борните и тетраэдрите.
ОБЪЕКТЫ ИССЛЕДОВАНИЯ
В качестве объектов исследования были выбраны сульфиды и сульфосоли из различных типов гидротермальных месторождений России (табл. 1). Безусловно, кинетика выделения гелия из конкретного минерала не должна быть сильно связана с типом месторождения. Однако, чтобы ответить на вопрос о возможности применения U-Th-He метода для датирования сульфидной минерализации, необходимо знать диапазон концентраций гелия в сульфидах из разных типов месторождений. Кроме того, следует отметить, что уран и торий не являются типичными элементами-примесями в сульфидах (Barnes, Ripley, 2016). Концентрации этих радиоактивных элементов в сульфидах из различных типов руд могут сильно варьировать, а значит существенно может отличаться и доза их авторадиации. А как известно на примере циркона и апатита, она может влиять на миграцию гелия из минерала (Shuster et al., 2006; Якубович и др., 2010; Guenthner et al., 2013).
Таблица 1. Объекты исследований
Район | Тип | Месторождение | Минералы | Коллекция | |
Урал | Колчеданный | Zn>>Cu | Узельга1 | Py, Po, Ccp, Tnt | Викентьев И.В., ИГЕМ РАН |
Молодежное1,2 | Bn | ||||
Cu>>Zn | Гай2,3 | Ccp | |||
Медно-порфировый | Михеевское4,5 | Py | Азовскова О.Б., ИГГ УрО РАН | ||
Гумешевское4,5 | Py | ||||
Восточный Саян | Коневинское6,7 | Py | Дамдинов Б.Б., ГИН СО РАН | ||
Зун-Оспинское6,7 | Py, Ccp | ||||
Золото-кварц-сульфидный | Зун-Холбинское6,7 | Py, Ccp | |||
Барун-Холбинское6,7 | Py | ||||
Пионерское6,7 | Py | ||||
Жильный золото-теллуридный | Сагангольское8 | Py | |||
Горный Алтай | Жильный полиметаллический | Кызыл-Чин9 | Sp | Якубович О.В., ИГГД РАН | |
Урал | Золото-мышьяково-ртутный (карлинский) | Воронцовское10,11 | Py | Азовскова О.Б., ИГГ УрО РАН | |
Восточный Саян | Водораздельное12 | Py | Дамдинов Б.Б., ГИН СО РАН | ||
Южное12 | Ttr | ||||
Примечание. Месторождения описаны в: 1Викентьев, 2004; 2Серавкин, 2013; 3Vikentyev et al., 2017; 4Грабежев, 2004; 5Грабежев и др., 2012; 6Миронов и др., 2001; 7Миронов, Жмодик, 1999; 8Гармаев, 2011; 9Mikheev, 2016; 10Сазонов, 1999; 11Murzin et al., 2017; 12Айриянц, 2006.
В первую очередь была изучена кинетика выделения гелия из сульфидов и сульфосолей из вулканогенных колчеданных месторождений Южного Урала (Узельга, Гай, Молодежное), которые рассматриваются как близкие аналоги рудопроявлений, связанных с «черными курильщиками» (Викентьев, 2004). Степень метаморфических преобразований руд этих колчеданных месторождений Урала варьирует от пренит-пумпелитовой (150–300оС, месторождение Молодежное) до зеленосланцевой фации (250–450оС, месторождение Гай) (Vikentyev et al., 2017). Особое внимание именно к этому типу месторождений связано с тем, что существует большое количество данных о концентрациях захваченного гелия в сульфидах современных «черных курильщиков» (Stuart et al., 1994; Jean-Baptiste, Fouquet, 1996; Luders, Niedermann, 2010 и др.). Важным является то, что геологический возраст колчеданных месторождений Южного Урала известен (Chernyshev et al., 2008; Vikentyev et al., 2017).
Предыдущие исследователи обнаружили радиоактивные дворики в сульфидах колчеданных месторождений Урала (Ярош, 1973; Буслаев и др., 1988), которые обусловлены воздействием альфа-частиц, образующихся при распаде изотопов, присутствующих в субмикронных включениях минералов U и Th. Радиоактивные дворики, чаще всего, отмечались в минералах борнитовых и некоторых других колчеданных руд с повышенным содержанием Au – месторождения Гай, Карабаш, Сан-Донато (Ярош, 1973), а также испытавших контактовый метаморфизм в ореолах гранитоидных плутонов (Буслаев и др., 1988; Молошаг, 2015).
В основном минералы U и Th в колчеданных рудах представлены уранинитом (UO2) (Мурзин и др., 2011; Garuti, Zaccarini, 2005), реже – браннеритом (UTi2O6), недавно обнаруженном на месторождении Тарньер (Молошаг, 2015). Последнее метаморфизовано в амфиболитовой фации (Vikentyev et al., 2017) в условиях, отвечающих пирротиновой фации метаморфического преобразования сульфидных руд (Молошаг и др., 2004). При этом повышенные концентрации иттрия (1.8–3.3 мас.% Y2O3) и тория (1.3–18.3 мас.% ThO2) в браннерите отвечают его высокотемпературной разновидности (Мигута, 1997).
Кроме того, кинетика выделения радиогенного гелия была изучена в пирите из меднопорфировых месторождений Урала (Михеевское, Гумешевское (Грабежев, 2004; Грабежев и др., 2012; Plotinskaya et al., 2016)) и Восточного Саяна (Коневинское (Миронов и др., 2001; Миронов, Жмодик, 1999)), сульфидах и сульфосолях из золотых и полиметаллических месторождений жильного типа в Восточном Саяне (Сагангольское, Зун-Холбинское, Барун-Холбинское, Пионерское (Гармаев, 2011)), а также в сульфидах и сульфосолях из стратиформных золоторудных месторождений Урала (Воронцовское (Сазонов, 1999; Murzin et al., 2017)) и Восточного Саяна (Водораздельное, Южное (Айриянц, 2006)), которые близки к месторождениям карлинского типа.
АНАЛИТИЧЕСКИЕ МЕТОДИКИ
Методика определения миграционных параметров. Кинетика выделения гелия из сульфидов была изучена методом ступенчатого отжига на масс-спектрометрическом комплексе МСУ-Г-01 (ИГГД РАН) по методике (Якубович и др., 2010) из навесок около 1 мг. Часть образцов предварительно промывали в слабых кислотах (1N HCl, 2N H2SO4) для удаления поверхностных загрязнений. Нагрев образца проводился в экстракторе, нагреватель которого представляет собой тонкостенный цилиндр из рения, пережатый в средней части и обеспечивающий нагрев до 1400оС. Градуировка нагревателя осуществлялась с помощью оптического пирометра ПРОМИНЬ-М. Образец помещали в камеру масс-спектрометра, где его нагревали до определенной температуры и далее измеряли количество выделившегося при этой температуре 4Не. При этом газ не скачивался, и осуществлялось дальнейшее повышение температуры. Время отжига на каждой ступени оставалось постоянным в ходе одного эксперимента и составляло 210 с.
Измерение ионных токов проводили в режиме счета ионов. Реальный минимальный ионный ток («фон») изотопа 4Не в камере анализатора при квазистатическом вакуумном режиме – менее 1 импульса при скорости счета в 100 имп/мс. Это соответствует чувствительности 4Не в ≈ 5 × × 10–13 см3 (нормальные условия)/импульс. Устой- чивый рабочий вакуум в ходе экспериментов оставался на уровне (3–7) × 10–8 торр.
Обработка экспериментальных результатов проводилась исходя из представлений об односкачковой модели миграции (Шуколюков и др., 2009). В основе этой модели лежит идея о том, что кристаллическая структура природных минералов (реальных кристаллов) в области образования атома радиогенного изотопа столь дефектна, что мигрирующему атому достаточно совершить один скачок для перехода в подвижное состояние, и поэтому поведение мигрирующего радиогенного атома формально аналогично поведению атомов в простых химических взаимодействиях (Герлинг, 1961). Согласно этой модели скорость миграции гелия может быть представлена так:
(1) = —kHe,
(2) k = k0e ,
где k0 – частотный фактор, E – энергия активации миграции, R – газовая постоянная, Т – абсолютная температура, He – количество атомов гелия в системе, t – время.
Уравнения 1 и 2 можно представить в форме (Шуколюков и др., 2009):
(3) ln ln = ln k0 + ln t –
где Не0 – суммарное количество атомов гелия, находящегося в одном энергетическом положении, Неt – количество оставшегося к этому моменту времени атомов гелия в данном энергетическом положении, t – время отжига на каждой ступени. Это решение верно при следующих начальных условиях: t = 0, He = = Het. Уравнение (3) отвечает прямой линии в системе координат lnln(He0/Het) и 1/Т. По тангенсу угла наклона этой линии и величине отсекаемой ей на оси ординат можно определить значения Е и k0.
Альтернативным подходом к определению миграционных параметров является диффузионная модель (Fechtig, Kalbitzer, 1966). Принципиальная разница состоит в том, что при описании миграции гелия из зерна по диффузионному механизму учитываются форма и размер зерна. Рассчитанные по обеим этим моделям значения энергии активации миграции (E) дают близкие результаты (Якубович и др., 2010).
Микрозондовые исследования сульфидов и сульфосолей выполнены в ресурсном центре «Геомодель» Санкт-Петербургского Государственного Университета (СПбГУ) на сканирующем электронном микроскопе Hitachi S-3400N с приставкой для рентгеноспектрального микроанализа AzTec Energy 350. Эти исследования были направлены на выявление формы нахождения в них урана и тория.
Методика определения содержаний урана и тория в сульфидах. Определение содержания урана и тория в сульфидах проводилось методом изотопного разбавления с помощью смешанного изотопного индикатора 235U-230Th на ICP масс-спектрометре ELEMENT XR (ИГГД РАН). Разложение сульфидов осуществлялось в концентрированной HNO3 в течение 24 ч при температуре 130оС. Изотопный индикатор добавлялся перед разложением. Выделение урана и тория проводилось по методике Т. Кроу (Krogh, 1973).
Порошковая рентгено-дифракционная съемка. В некоторых случаях для интерпретации полученных кривых кинетики выделения гелия были использованы данные порошковой рентгеновской дифракционной съемки, проведенной на дифрактометре Bruker D2 PHASER в РЦ РДМИ СПбГУ. Обработка полученных данных проведена в программе TOPAS по методу Ритвельда.
РЕЗУЛЬТАТЫ И ИХ ОБСУЖДЕНИЕ
В общей сложности изучена кинетика выделения радиогенного гелия и рассчитаны миграционные параметры для 39 образцов сульфидов и сульфосолей из 15 месторождений (табл. 2). Экспериментальные данные ступенчатого отжига сульфидов и сульфосолей приведены в приложении (www.ipgg.ru).
Таблица 2. Концентрации 4Не в изученных образцах сульфидов
№ п/п | Номер образца | Минерал | Навеска, мг | 4He, см3/г | Месторождение | |
1 | 482-БХ-2 | Пирит (FeS2) | 0. | 5 | 5.04×10–6 | Барун-Холбинское |
2 | 475-БХ-5 | 1. | 8 | 7.27×10–6 | ||
3 | 445-Вор-2 | 1. | 2 | 4.34×10–6 | Воронцовское | |
4 | 483-Вр-23 | 0. | 6 | 1.24×10–6 | ||
5 | 470-Вр-48 | 1. | 7 | 1.03×10–6 | ||
6 | 484-Вр-53 | 0. | 7 | 9.36×10–7 | ||
7 | 446-Гум-4307 | 1. | 5 | 1.64×10–6 | Гумешевское | |
8 | 480-Дж-24 | 0. | 3 | 3.66×10–7 | Ni рудопроявление | |
9 | 478-ЗО-209 | 0. | 74 | 1.21×10–6 | Зун-Оспинское | |
10 | 476-ЗХс-1 | 0. | 7 | 3.37×10–5 | Зун-Холбинское | |
11 | 479-К-4238 | 0. | 4 | 6.47×10–7 | Сагангольское | |
12 | 481- Ко-42 | 0. | 7 | 1.35×10–5 | Коневинское | |
13 | 473-Мих-15-1 | 1 | 3.52×10–5 | Михеевское | ||
14 | 474-Мих-20-5 | 0. | 6 | 4.58×10–5 | ||
15 | 439-Мих-7-1 | 0. | 5 | 8.33×10–6 | ||
16 | 443-Мих-Т-3 | 0. | 9 | 1.63×10–4 | ||
17 | 472-НД-3 | 1. | 5 | 2.00×10–6 | Пионерское | |
18 | 370-Уз-190-5 | 0. | 52 | 1.22×10–4 | Узельга | |
19 | 450-Уз-190-5 | 1. | 3 | 1.21×10–4 | ||
20 | 382-Уз-190-5 | 0. | 69 | 5.92×10–7 | ||
21 | 394-Уз-190-5* | 1. | 1 | 4.48×10–5 | ||
22 | 378-Г-20 | Халькопирит (CuFeS2) | 0. | 98 | 2.85×10–5 | Гай |
23 | 374-Г-20 | 0. | 35 | 1.66×10–5 | ||
24 | 448-Г-20 | 0. | 36 | 1.48×10–5 | ||
25 | 477-ЗО-35 | 0. | 84 | 2.32×10–7 | Зун-Оспинское | |
26 | 471-ЗХ-8 | 1. | 3 | 5.55×10–5 | Зун-Холбинское | |
27 | 395-Уз-190-5* | 0. | 8 | 1.46×10–5 | Узельга | |
28 | 367-Уз-190-5 | 0. | 81 | 3.65×10–5 | ||
29 | 449-Уз-190-5 | 0. | 9 | 4.15×10–5 | ||
30 | 398-Уз-190-5* | Пирротин (Fe1-xS) | 0. | 3 | 1.58×10–4 | |
31 | 365-Уз-190-5 | 0. | 71 | 1.11×10–4 | ||
32 | 371-Уз-190-5 | 1. | 1 | 7.51×10–5 | ||
33 | 383-Уз-190-5 | 1. | 17 | 2.93×10–4 | ||
34 | 368-М-15а | Борнит Cu5FeS4 | 0. | 8 | 2.58×10–6 | Молодежное |
35 | 387-М-15а | 0. | 7 | 2.17×10–5 | ||
36 | 365-Уз-183-6 | Теннантит Cu12As4S13 | 0. | 6 | 3.28×10–6 | Узельга |
37 | 388-Уз-183-6 | 1. | 1 | 5.62×10–6 | ||
38 | 465-ОЯ-17-1 | Сфалерит ZnS | ~1 | 2.13×10–6 | Кызыл-Чин | |
39 | 468-ОК-254 | Тетраэдрит (Cu,Fe)12Sb4S13 | ~1 | 4.68×10–6 | Южное | |
Примечание. Концентрация 4He приведена с поправкой на фон нагретого прибора – 3×10–9 см3 4He. *Образцы предварительно обрабатывались слабыми кислотами.
Содержания гелия, урана и тория в сульфидах и сульфосолях. Концентрация гелия в изученных образцах варьирует от 2×10–7 – 1×10–4 см3/г (рис. 1). Обычно гидротермальные сульфиды содержат порядка 10–8–10–10 см3/г захваченного 4He (Zeng et al., 2015; Stuart et al., 1994; Jean-Baptiste, Fouquet, 1996; Luders, Niedermann, 2010 и др.). В редких случаях концентрация гелия, выделяющаяся при дроблении сульфидов, может достигать относительно высоких значений, порядка 10–6 см3/г, как в случае арсенопирита из месторождения Панаскуера (Burnard et al., 2004). Однако эта величина, как оценка концентрации захваченного гелия, скорее всего, преувеличена. Известно, что при истирании образца в ступе могут происходить существенные потери аргона (Герлинг, 1961). Аналогично можно ожидать и частичные потери радиогенного гелия при дроблении сульфидов при вскрытии газово-жидких включений для анализа содержания захваченных газов (Burnard et al., 2004). Поэтому, вероятно, что диапазон концентраций захваченного гелия, измеренный именно в сульфидах из современных «черных курильщиков» (10–8–10–10 см3/г), отражает среднюю концентрацию захваченного гелия в сульфидах из гидротермальных месторождений. Таким образом, измеренные концентрации 4Не в изученных в настоящей работе сульфидах (2×10–7 – 1×10–4 см3/г; рис. 1) на несколько порядков превышают значения, типичные для гелия, связанного с газово-жидкими включениями. Это говорит о том, что подавляющая часть гелия в изученных сульфидах является радиогенной. Косвенно это подтверждается отсутствием повышения содержания водорода и других соединений, составляющих фон масс-спектрометра, в момент экстракции гелия, что указывало бы на декрипитацию включений, содержащих, помимо гелия, более распространенные газы и флюиды (CO2, H2O и др.).
Рис. 1. Гистограмма концентраций гелия в исследованных образцах сульфидов и сульфосолей.
Концентрация гелия в сульфидах, выделенных из одной пробы, сильно неоднородна и меняется на несколько порядков. Так, например, концентрация гелия в пирите из обр. Уз-190-5 в пяти независимых измерениях меняется от 5.9×10–7 до 1.2×10–4 см3/г (табл. 2, №№ 18–21).
Концентрации урана в пирите, халькопирите и пирротине из месторождений Гай и Узельга находятся в интервале 0.1–25 мкг/г (табл. 3, рис. 2), а Th/U отношение – в диапазоне 0–25. В целом для образцов характерно пониженное значение Th/U отношения (< 1) (табл. 3). Уран и торий в сульфидах распределены очень неоднородно. В пирите, выделенном из одной пробы (табл. 3, Уз-190-5), концентрация урана от зерна к зерну меняется на несколько порядков. Это хорошо согласуется с тем, что концентрация гелия в сульфидах из одного месторождения изменяется от образца к образцу, а также из одной пробы (табл. 2, Уз-190-5) меняются на несколько порядков.
Таблица 3. Результаты измерения U и Th в сульфидах
Номер образца | Минерал | Месторождение | Навеска, мг | U, нг | Th, нг | Th/U | U, мкг/г | |||||
362-Уз-190-5 | Пирит | Узельга | 0. | 72 | 1. | 37 | 0. | 87 | 0. | 6 | 1. | 90 |
405-Уз-190-5 | 0. | 90 | 22. | 00 | 0. | 12 | 0. | 0 | 24. | 44 | ||
433-Уз-190-5 | ~1. | 00 | 3. | 45 | 0. | 05 | 0. | 0 | ~3. | 45 | ||
435-Уз-190-5 | ~1. | 00 | 0. | 10 | 0. | 04 | 0. | 4 | ~0. | 10 | ||
437-Уз-190-5 | 0. | 60 | 0. | 07 | 0. | 02 | 0. | 3 | 0. | 12 | ||
383-Уз-190-5 | Пирротин | ~1. | 00 | 13. | 90 | 19. | 33 | 1. | 3 | ~13. | 90 | |
396-Уз-190-5 | ~1. | 00 | 0. | 62 | 0. | 26 | 0. | 4 | ~0. | 62 | ||
406-Уз-190-5 | 0. | 70 | 3. | 66 | 13. | 60 | 3. | 7 | 5. | 23 | ||
380-Г-20 | Халькопирит | Гай | ~1. | 00 | 2. | 13 | 0. | 47 | 0. | 2 | ~2. | 13 |
384-Г-20 | ~1. | 00 | 0. | 14 | 0. | 21 | 1. | 5 | ~0. | 14 | ||
436-Г-20 | ~1. | 00 | 0. | 11 | 3. | 61 | 24. | 9 | ~0. | 11 | ||
Холостой опыт | - | - | - | 0. | 03 | 0. | 01 | 0. | 3 | - | ||
Примечание. Содержания U и Th приведены с учетом поправки на холостой опыт.
Рис. 2. Гистограмма концентраций урана в исследованных образцах сульфидов.
Форма нахождения урана и тория в сульфидах. Проведенные микрозондовые исследования показали, что в пирите месторождения Узельга иногда присутствуют субмикронные включения уранинита, а также, предположительно, циркона и неустановленного минерала церия (рис. 3а). В некоторых зернах пирита из месторождения Михеевское обнаружены микровключения монацита и циркона (рис. 3б). В халькопирите из месторождения Гай в редких случаях наблюдаются субмикронные включения минерала, содержащего титан и уран, скорее всего, браннерита (U,Ca,Ce)(Ti,Fe)2O6. Определение точного химического состава таких включений затруднено из-за малого размера зерен. В сульфидах из других месторождений включения минералов, содержащих уран и торий, не обнаружены.
Рис. 3. Включения урансодержащих минералов в пирите: (а) – месторождение Узельга; (б) – месторождение Михеевское. Alt – алтаит, Au – самородное золото, Сcp – халькопирит, Gn – галенит, Mnz – монацит, Ру – пирит, Sp – сфалерит, Urn – уранинит. Изображения получены на сканирующем электронном микроскопе Hitachi S-3400N с приставкой для рентгеноспектрального микроанализа AzTec Energy 350.
Размеры включений урансодержащих минералов не превышают первых микрон, в то время как средняя длина пробега альфа-частицы при распаде атома урана составляет порядка ~ 11–34 мкм (Ziegler, 1977). Это означает, что весь радиогенный гелий из таких включений естественным образом имплантирован в кристаллическую решетку сульфидов и сульфосолей, а значит, в ходе ступенчатого отжига мы исследуем особенности выделения гелия именно из кристаллической решетки сульфидов, а не из урансодержащих включений.
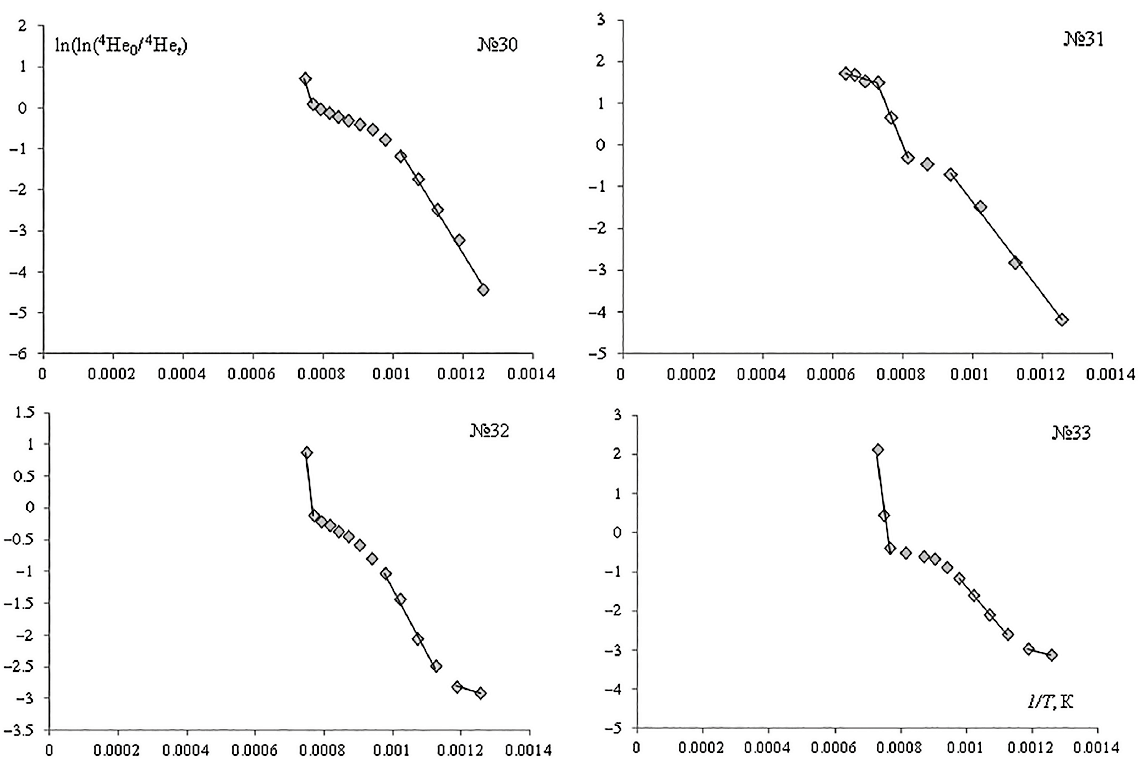
Кинетика выделения радиогенного гелия из пирита. Гелий из пирита выделяется, как правило, резко (взрывообразно) при температуре около 600оС (рис. 4). В редких случаях на кривой термодесорбции появляется второй маленький пик в диапазоне температур 1000–1200оС (рис. 4).
Рис. 4. Спектры кинетики выделения 4He из пирита из месторождений Коневинское (№ 12), Михеевское (№ 13), Узельга (№18, 21). *Образец предварительно обработан в слабой соляной кислоте.
На рис. 5 представлены результаты математической обработки спектров кинетики выделения 4He из пирита. Для всех изученных зерен наблюдается отсутствие прямолинейной зависимости в системе координат lnln(He0/Het) от 1/Т. В низкотемпературной области энергия активации гелия в пирите находится в диапазоне значений от 38 до 134 ккал/моль, преобладая в интервале 80–100 ккал/моль (табл. 4). В высокотемпературном диапазоне (выше 700оС) характер миграции гелия меняется и характеризуется пониженными значениями энергии активации ~ 5–7 ккал/моль. Похожий эффект уменьшения величин миграционных параметров в высокотемпературном диапазоне был получен при исследовании миграции гелия из решетки апатита (Shuster et al., 2006, 2009), а также описан для миграции аргона из биотита (Dickin, 2005). Иногда низкие значения энергии активации фиксируются и в низкотемпературном диапазоне (табл. 4, №№ 10, 16, 19). Предварительная обработка зерен сульфидов 1N HCl на кинетику выделения гелия не влияет.
Таблица 4. Миграционные параметры гелия в пирите
№ п/п | Основное энергетическое положение | Второе энергетическое положение | Третье энергетическое положение* | |||
Ea, ккал/моль | k0, c‒1 | Ea, ккал/моль | k0, c‒1 | Ea, ккал/моль | k0, c‒1 | |
1 | 134 | 5.4×1027 | - | - | 7.8×100 | 7.8×100 |
2 | 36 | 1.9×106 | - | - | - | - |
3 | 72 | 6.7×1014 | - | - | - | - |
4 | 111 | 9.9×1021 | - | - | 2.6×10‒1 | 2.6×10‒1 |
5 | 101 | 6.7×1019 | - | - | - | - |
6 | 66 | 7.6×1012 | - | - | - | - |
7 | 54 | 5.6×108 | - | - | - | - |
8 | - | - | - | - | - | - |
9 | 98 | 9.0×1018 | - | - | - | - |
10 | 82 | 1.0×1015 | 18 | 5.2×100 | - | - |
11 | - | - | - | - | - | - |
12 | 125 | 1.0×1026 | - | - | 2.2×100 | 2.2×100 |
13 | 84 | 3.0×1015 | - | - | 1.3×10‒1 | 1.3×10‒1 |
14 | - | - | - | - | - | - |
15 | - | - | - | - | - | - |
16 | 102 | 1.8×1021 | 7 | 4.0×10-4 | - | - |
17 | 82 | 1.1×1015 | - | - | - | - |
18 | 119 | 1.7×1024 | 7 | 2.6×10‒1 | - | - |
19 | 94 | 1.4×1016 | - | - | 2.4×10‒4 | 2.4×10‒4 |
20 | 38 | 2.8×106 | - | - | 1.3×10‒1 | 1.3×10‒1 |
21 | 95 | 3.3×1018 | - | - | 3.2×10‒1 | 3.2×10‒1 |
Примечание. № п/п соответствует номерам образцов из табл. 2. Основное энергетическое положение – энергетическое положение, в котором находилось наибольшее количество атомов 4He. *Миграционные параметры определены при температурах выше температуры «превращения» пирита в пирротин.
Рис. 5. Результаты математической обработки спектров кинетики выделения гелия из пирита в соответствии с представлениями односкачковой модели миграции. Тангенс угла наклона прямых линий в системе координат lnln(He0/Het)–1/T пропорционален значению величины энергии активации Ea, величина, отсекаемая на оси ординат, – частотному фактору k0. Соответствие № 12, 13, 18, 21* см. на рис. 4.
Для ряда образцов пирита на кривой термодесорбции выделяются два пика, что затрудняет определение миграционных характеристик. Однако, как было показано в результате математического моделирования (Якубович и др., 2010), в случае, если имеется два значения энергии активации, то в системе координат lnln(He0/Het) и 1/Т в соответствии с односкачковой моделью появляется точка перегиба и миграционные параметры могут быть определены по углу наклона соответствующих асимптот.
Между параметрами миграции гелия Еа и k0 наблюдается эмпирическая зависимость (рис. 6), справедливая в первом приближении для гелия в основном (первом) энергетическом состоянии:
k0 = 8 × 10-54e36,58 ln Ea,
Эта зависимость очень похожа на аналогичную, полученную для миграционных характеристик гелия и ксенона в цирконе (Якубович и др., 2010; Шуколюков и др., 2009):
k0He = 8 × 10-54e24,44 ln Ea,
k0Xe = 2 × 10-18e13,70 ln Ea,
Для второго энергетического положения гелия в пирите эта зависимость не проявлена.
Рис. 6. Эмпирическая зависимость между величиной частотного фактора k0 и энергией активации миграции гелия Ea из основного энергетического положения.
Наличие зависимости между миграционными характеристиками основного энергетического положения для гелия может быть объяснено с позиции кинетической (односкачковой) модели миграции гелия. Эта модель предполагает зависимость k0 и Ea от геометрии центра накопления гелия и изменения энтропии кристалла при отрыве атома гелия от центра накопления (Светухин и др., 2005).
Значения предэкспоненциального частотного множителя k0 при миграции гелия из основного энергетического положения в пирите превосходят теоретическое, максимально возможное значение для колебания одиночных атомов ≈ 1013 с–1 (Шуколюков и др., 2012а). При миграции 4Не в пирите величина предэкспоненциального частотного множителя k0 достигает значений 5.4 × 1027 с–1. Несомненно, что это указывает на какой-то особый механизм миграции атомов гелия, отличный от «скачков отдельных атомов». Похожие величины частотного фактора наблюдались при изучении миграции гелия из самородных металлов при температурах, близких к температуре их плавления (до 5 × 1027 с–1; Шуколюков и др., 2012а).
Резкое взрывообразное выделение гелия из пирита в температурном промежутке ~ 500–600оС связано, по-видимому, с изменениями в его кристаллической структуре. В инертной атмосфере в этом интервале температур пирит «превращается» в пирротин (рис. 7; Bhargava, 2009). При этом переход пирит–пирротин сопровождается практически полной потерей гелия. Последнее интересно в случае, если изменение кристаллической решетки изоферроплатины с примитивной кубической на гранецентрированную не приводит к каким-либо потерям радиогенного гелия (Мочалов и др., 2018). Появление маленького пика в области температур 1000–1200оС, скорее всего, связано с миграцией остаточного гелия из кристаллической решетки новообразованного пирротина. Как будет показано ниже, для кинетики выделения гелия из пирротина характерно появление пика в этом интервале температур.
Рис. 7. График изменения кристаллической решетки пирита с появлением пирротина в зависимости от температуры по результатам высокотемпературной рентгенодифракционной съемки в инертной атмосфере аргона (Bhargava et al., 2009). По оси ординат отложена нормированная величина интенсивностей пирита относительно пирротина.
Для определения «истинной» энергии активации гелия в пирите нами был проведен дополнительный эксперимент в низкотемпературном диапазоне. Образец пирита (обр. 481-Ко-42) из месторождения Коневинское был предварительно отмыт от возможных поверхностных загрязнений в 1N HCl. Время отжига каждой ступени в низкотемпературном диапазоне составляло 8 мин. Температура экстрактора в низкотемпературном диапазоне определялась методом экстраполяции из более высокотемпературного диапазона. В ходе эксперимента сколько-нибудь существенного количества гелия, выделяющегося из пирита в диапазоне температур 200–400оС, не зафиксировано (табл. 5, рис. 8). Выделение гелия начинается при температурах более 400оС, когда начинаются изменения его кристаллической решетки (рис. 7). Возможно, что энергия активации гелия в пирите выше или сопоставима со значениями, представленными в табл. 4.
Таблица 5. Результаты ступенчатого отжига зерна пирита, обр. 481-Ко-42, из месторождения Коневинское в диапазоне температур 200–700оС
Номер ступени | Навеска, г | T,оС | Время отжига, мин | 4He × 10-12 см3 | ||
1 | 0.7 | 220 | 8 | - | ||
2 | 275 | 16 | - | |||
3 | 325 | 24 | - | |||
4 | 375 | 32 | 39 | |||
5 | 425 | 40 | - | |||
6 | 475 | 48 | 87 | |||
7 | 525 | 56 | 5230 | |||
8 | 575 | 64 | 195 | |||
9 | 625 | 72 | - | |||
10 | 700 | 80 | - | |||
Всего | 5551 | |||||
Примечание. Зерно пирита предварительно отмывалось от поверхностных загрязнений в 1N HCl в течение 150 часов при комнатой температуре. Прочерк — количество выделившегося гелия сопоставимо с уровнем фона прибора при данной температуре.
Рис. 8. График зависимости скорости выделения гелия из пирита при разных температурах от времени. Пирит из месторождения Коневинское, предварительно обработанный в 1N HCl.
Часть значений энергии активации обладает ограниченной воспроизводимостью (табл. 4). Для ряда образцов, например для обр. 7 из Гумешевского месторождения, энергия активации миграции гелия составляет 54 ккал/моль. В то время как энергия активации миграции гелия из пирита месторождения Узельга (№№ 18, 19, 21) – 95–120 ккал/моль. Для того чтобы определить, чем отличаются эти образцы пирита, были проведены исследования степени их кристалличности. Результаты порошковой рентгеновской дифрактометрической съемки показали, что образцы пирита с высокой энергией активации гелия обладают наивысшим размером кристаллитов и концентрируют в себе больше микронапряжений и дефектов. В то время как для образцов, сохраняющих гелий хуже, характерен меньший размер кристаллитов. Возможно, вариация энергии активации связана с тем, что часть гелия находится в межзерновом пространстве, энергия активации миграции из которого может быть существенно ниже. Также нельзя исключать влияние радиационных нарушений кристаллической решетки пирита на изменение энергии активации. Как было показано ранее, уран в сульфидах распределен крайне неравномерно. Это означает, что в зависимости от содержания урана во включениях радиоактивных минералов и возраста образца величина авторадиации решетки пирита вокруг таких включений может сильно различаться. Следовательно, могут различаться и значения энергии активации миграции гелия.
На основании всего вышеизложенного можно предположить следующий механизм миграции радиогенного гелия из решетки пирита. Радиогенный гелий удерживается в кристаллической решетке пирита до температуры ~ 450оС, когда начинается его «превращение» в пирротин. Возникающие при этой перестройке механические напряжения и деформация кристаллической решетки пирита вызывают миграцию гелия. На то, что выделение гелия из пирита связано с изменениями в его кристаллической решетке, указывают аномально высокие значения частотного фактора. Это же свидетельствует о том, что происходит миграция не одиночных атомов, а сразу группы атомов. Возможно, по аналогии с металлами, гелий мигрирует кластерами (Шуколюков и др., 2012а). Безусловно, концентрации гелия в пирите не так велики, чтобы гелий образовывал кластеры. Однако, если учесть, что весь гелий сосредоточен в области порядка 20–30 мкм вокруг урансодержащих включений (Ziegler, 1977), то локальное обогащение кристаллов пирита гелием может быть существенно выше и составлять доли см3 на грамм вещества. В таком диапазоне концентраций ~ 10–3 см3/г (Trocellier et al., 2014) для металлов описано образование гелиевых кластеров. Часть гелия, которая в ходе превращения пирита в пирротин не успела покинуть минерал, при повышенных температурах мигрирует с относительно низкими значениями миграционных параметров из новообразованного пирротина. По аналогии с миграцией гелия в цирконе можно предположить, что из решетки уже пирротина происходит миграция одиночных атомов по диффузионному механизму (Якубович и др., 2010). Это предположение основывается на том, что по результатам компьютерного моделирования диффузии гелия из решетки циркона как на основе ньютоновской динамики, так и с учетом квантовых взаимодействий, было показано, что диффузия гелия из циркона должна характеризоваться очень низкими значениями энергии активации миграции – от 3.2 ккал/моль (Reich et al., 2007; Saadoune et al., 2009). Реальная энергия активации диффузии из пирита, пирротина может быть близка к этим расчетным значениям. Изредка наблюдаемые в низкотемпературном диапазоне относительно невысокие значения энергии активации миграции гелия могут быть обусловлены его миграцией из минеральных включений или наличием одиночных атомов гелия, мигрирующих по диффузионному механизму. Большой разброс значений энергий активации миграции гелия из пирита от 36 до 134 ккал/моль может быть связан с разной степенью кристалличности пирита.
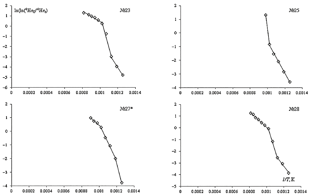
Кинетика выделения радиогенного гелия из халькопирита. Кинетика выделения гелия из халькопирита носит более сложный характер, чем из пирита. Гелий выделяется в диапазоне температур ~ 500–700оС. При этом на кривой термодесорбции наблюдается несколько локальных максимумов (рис. 9).
Рис. 9. Спектры кинетики выделения 4He из халькопирита из месторождений Гай (№ 23), Зун-Оспинское (№ 25), Узельга (№ 27, 28). *Образец предварительно обработан в слабой соляной кислоте.
При обработке спектров термодесорбции гелия из халькопирита выявлены три различных энергетических составляющих (рис. 10, табл. 6). В низкотемпературном диапазоне (< 500оC) энергия миграции гелия из халькопирита ~ 20 ккал/моль. В диапазоне температур 500–600оС энергия активации миграции увеличивается до ~ 50 ккал/моль. В этом же диапазоне температур происходит разложение халькопирита на пирит (пирротин) и промежуточный твердый раствор (ISS) с выделением летучих компонентов (Cabri, 1973). В более высокотемпературном диапазоне энергия активации миграции гелия составляет ~ 10 ккал/моль. Предварительная обработка зерен халькопирита 1N HCl на кинетику выделения гелия не влияет.
Таблица 6. Миграционные параметры гелия в халькопирите
№ п/п | Первое энергетическое положение | Второе энергетическое положение | Третье энергетическое положение | |||
Ea, ккал/моль | k0, c‒1 | Ea, ккал/моль | k0, c‒1 | Ea, ккал/моль | k0, c‒1 | |
22 | - | - | 50 | 1.1×109 | 6 | 9.6×10‒2 |
23 | 26 | 7.8×102 | 63 | 6.9×1011 | 11 | 1.2×100 |
24 | - | - | - | - | - | - |
25 | - | - | - | - | - | - |
26 | 16 | 1.4×101 | 42 | 6.3×106 | 10 | 1.2×100 |
27 | 27 | 5.7×103 | 50 | 5.1×109 | 11 | 1.7×100 |
28 | 20 | 2.1×101 | 48 | 2.0×108 | 13 | 3.6×100 |
29 | - | - | - | - | - | - |
Примечание. № п/п соответствует номерам образов из табл. 2. Миграция из первого энергетического положения проявлена в наиболее низкотемпературном интервале, из третьего – в наиболее высокотемпературном.
Рис. 10. Результаты математической обработки спектров кинетики выделения гелия из халькопирита в соответствии с представлениями односкачковой модели миграции. Тангенс угла наклона прямых линий в системе координат lnln(He0/Het)–1/T пропорционален значению величины энергии активации Ea, величина, отсекаемая на оси ординат, – частотному фактору k0. Соответствие № 23, 25, 27*, 28 см. на рис. 9.
Можно предположить следующий механизм миграции радиогенного гелия из кристаллической решетки халькопирита. Энергия активации миграции радиогенного гелия в кристаллической решетке халькопирита составляет ~ 20 ккал/моль. При приближении к температуре 500оC, при которой начинается разложение халькопирита, характер миграции меняется. Повышенные значения энергии активации ~ 50 ккал/моль отражают особенности миграции из новообразованных фаз. По мере увеличения температуры энергия активации миграции снова уменьшается до величины ~ 10 ккал/моль и по аналогии с пиритом может быть связана с диффузией одиночных атомов из термически устойчивых фаз. Установленные значения энергии активации миграции гелия в халькопирите невысоки и сопоставимы с энергией активации миграции гелия в апатите (Farley et al., 2002). Таким образом, маловероятно, что халькопирит может быть использован как U-Th-He геохронометр.
Кинетика выделения радиогенного гелия из пирротина. На кривых термодесорбции гелия из пирротина всегда наблюдается два четких пика (рис. 11). Первый пик относительно широкий и проявлен в диапазоне температур 500–700оС. Второй пик больший по амплитуде и значительно более узкий в интервале температур 1100–1200оС. Подобная картина устойчиво повторяется от эксперимента к эксперименту и не зависит от количества примесей в пирротине.
Рис. 11. Спектры кинетики выделения 4He пирротина из месторождения Узельга (№№ 30–33). *Образец предварительно обработан в слабой серной кислоте.
Энергия активации миграции гелия в низкотемпературном диапазоне хорошо воспроизводится и составляет ~ 22 ккал/моль (рис. 12, табл. 7). Энергия активации миграции гелия в высокотемпературном диапазоне лежит в широком диапазоне значений от 42 до 124 ккал/моль. Значения частотного фактора сильно возрастают. В инертной атмосфере пирротин устойчив до температур порядка 1000оС (Bhargava et al., 2009). Это означает, что появление низкотемпературного пика связано с миграцией гелия непосредственно из кристаллической решетки пирротина. Наличие же двух пиков на кривой термодесорбции означает, что гелий в пирротине находится как минимум в двух разных энергетических положениях. Причем, во втором, более высокотемпературном, положении сохранность гелия высокая, а в другом низкая. Само по себе наличие разных энергетических положений в пирротине подтверждает правомерность использования формализма мономолекулярной химической реакции первого порядка для описания миграции гелия из минерала. С точки зрения диффузионной модели, наличие двух пиков на кривой термодесорбции с разными значениями энергии активации трудно поддается описанию.
Таблица 7. Миграционные параметры гелия в пирротине
№ п/п | Первое энергетическое положение | Второе энергетическое положение | Третье энергетическое положение | |||
Ea, ккал/моль | k0, c‒1 | Ea, ккал/моль | k0, c‒1 | Ea, ккал/моль | k0, c‒1 | |
30 | 27 | 1.7×103 | 59 | 3.4×107 | - | - |
31 | 22 | 8.3×101 | 42 | 7.7×104 | - | - |
32 | 21 | 3.6×101 | 94 | 2.1×1013 | 3 | 1.9×10‒3 |
33 | 20 | 2.3×101 | 124 | 1.6×1018 | 5 | 5.3×0‒3 |
Примечание. № п/п соответствует номерам образов из табл. 2. Миграция из первого энергетического положения проявлена в наиболее низкотемпературном интервале, из третьего – в наиболее высокотемпературном.
Рис. 12. Результаты математической обработки спектров кинетики выделения гелия из пирротина в соответствии с представлениями односкачковой модели миграции. Тангенс угла наклона прямых линий в системе координат lnln(He0/Het)–1/T пропорционален значению величины энергии активации Ea, величина, отсекаемая на оси ординат, – частотному фактору k0. Соответствие № 30*, 31, 32, 33 см. на рис. 11.
Природа двух очень контрастных энергетических положений гелия в пирротине может быть связана с особенностями его кристаллической решетки. Как видно на рис. 13, решетка пирротина имеет элементы слоистого строения и ритмично чередующиеся вакансии. Возможно, что низкие энергии активации миграции гелия отвечают его миграции вдоль подобных слоев. Явление более легкой миграции атомов, находящихся между пакетами в слоистых силикатах, известно уже давно (Герлинг, 1961 и др.).
Рис. 13. Кристаллическая решетка пирротина. Показаны только атомы железа, незалитые квадраты – вакансии (Vaughan, Corkhill, 2017).
При этом важно отметить, что величины энергии активации миграции гелия в высокотемпературном диапазоне из пирротина и из пирротина, образовавшегося в ходе превращения пирита, отличаются. По-видимому, это связано с различным положением атомов гелия в кристаллической решетке пирротина (различные типы дефектов).
Полученные данные позволяют предложить следующий механизм миграции радиогенного гелия из решетки пирротина. В пирротине радиогенный гелий находится, как минимум, в двух энергетических положениях. Энергия активации миграции радиогенного гелия из первого положения, которое может быть связано с особенностями строения пирротина (слоистоподобная структура), составляет ~ 20 ккал/моль. Гелий во втором энергетическом положении удерживается очень прочно, вплоть до температур разрушения пирротина ~ 1100–1200оC. При этом выделение гелия происходит резко (взрывообразно), а величины частотного фактора превышают значения, типичные для колебаний единичных атомов, что свидетельствует об одновременной миграции множества атомов гелия. При температуре выше 1200оC энергия активации миграции уменьшается до величины ~ 5 ккал/моль и по аналогии с пиритом и халькопиритом может быть связана с диффузией одиночных атомов из термически устойчивых фаз.
Кинетика выделения радиогенного гелия из борнита, сфалерита и сульфосолей. Радиогенный гелий из борнита и сфалерита выделяется в диапазоне температур ~ 600–800оC (рис. 14). При этом отношение ширины пика выделения гелия к его амплитуде для сфалерита существенно больше, чем для борнита. Энергия активации миграции гелия из сфалерита характеризуется относительно низкими значениями ~ 21 ккал/моль (рис. 15, табл. 8).Энергия активации гелия из борнита в низкотемпературном диапазоне для изученных образцов тоже низка и составляет ~ 11–21 ккал/моль. В более высокотемпературной области кинетика выделения гелия из борнита похожа на кинетику выделения гелия из пирита – наблюдается взрывообразное выделение с высокими значениями частотного фактора. Последнее также может быть связано с тем, что гелий, на самом деле, выделяется из включений пирита в борните, которые были обнаружены в ходе микрозондового исследования.
Таблица 8. Миграционные параметры гелия в борните, сфалерите и сульфосолях
№ п/п | Минерал | Энергетические положения |
| |||||
Ea, ккал/моль | k0, c‒1 |
| ||||||
34 | Борнит | 21 | 1.1×10‒2 |
| ||||
I | II | III | I | II | III | |||
35 | ||||||||
11 | 55 | 6 | 2.6×10‒1 | 1.87×1010 | 2.6×10‒1 |
| ||
36 | Теннантит | 26 | 2.2×103 |
| ||||
37 | 27 | 5.7×103 |
| |||||
38 | Сфалерит | 21 | 3.4×101 |
| ||||
39 | Тетраэдрит | 14 | 6.1×101 |
| ||||
Примечание. № п/п соответствует номерам образов из табл. 2. Миграция из I энергетического положения проявлена в наиболее низкотемпературном интервале, из III – в наиболее высокотемпературном.
Рис. 14. Спектры кинетики выделения 4He из борнита (№ 34, месторождение Молодежное) и из сфалерита (№ 38, месторождение Кызыл-Чин) и результаты их математической обработки в соответствии с представлениями односкачковой модели миграции.
Рис. 15. Спектры кинетики выделения 4He из теннантита (№ 37, месторождение Узельга) и из тетраэдрита (№ 39, месторождение Южное) и результаты их математической обработки в соответствии с представлениями односкачковой модели миграции.
Кинетика выделения радиогенного гелия из сульфосолей: теннантита и тетраэдрита, несмотря на искаженные внешне формы пиков (рис. 15), при математической обработке оказывается «очень простой» (рис. 16). В системе координат lnlnHe0/Het и 1/T экспериментальные точки ложатся на одну прямую. Энергия активации миграции из теннантита для изученных образцов составляет ~ 26–27 ккал/моль (табл. 8). Энергия активации гелия из тетраэдрита – 14 ккал/моль. Значения частотных факторов находятся в пределах значений для колебаний одиночных атомов.
Рис. 16. Зависимость концентрации радиогенного гелия от времени в минералах с разным содержанием урана. Двойной линией показан верхний диапазон типичной концентрации захваченного гелия для гидротермальных сульфидов.
Причины высокой сохранности гелия в кристаллической решетке пирита. Прямая связь сохранности радиогенного гелия и плотности минерала, точнее плотности упаковки атомов в нем, установлена Э.К. Герлингом (Герлинг, 1939: «… чем меньше в кристаллической структуре «свободного пространства», не занятого образующими эту структуру атомами, тем скорость миграции гелия в ней меньше, и его сохранность в минерале соответственно «лучше» …»). В табл. 9 приведены данные об особенностях кристаллической решетки некоторых сульфидов. Видно, что среди изученных сульфидов наибольшей плотностью упаковки обладает сфалерит. Поэтому, если предположить, что именно плотность упаковки атомов определяет высокую сохранность гелия в минерале, лидером по сохранности гелия должен был бы быть именно этот минерал. Однако энергия активации миграции гелия из сфалерита существенно ниже, чем из других сульфидов. Вероятно, плотность упаковки атомов не является достаточным условием для высокой сохранности гелия.
Таблица 9. Свойства рассмотренных в статье сульфидов и сульфосолей
Минерал | Формула | Плотность, г/см3 | Сингония, тип решетки | Плотность упаковки кристаллической решетки | Удельное электрическое сопротивление, Ом×м |
Пирит | FeS2 | 4.90 | Кубическая | 0.0189 | 2.9×10‒5 – 1.5 |
Халькопирит | CuFeS2 | 4.20 | Тетрагональная | 0.0172 | 1.2×10‒5 – 0.3 |
Пирротин | Fe7S8 | 4.62 | Моноклинная | 0.0258 | 6.5×10‒6 – 0.05 |
Теннантит | Cu12As4S13 | 4.62 | Кубическая | 0.0028 | - |
Тетраэдрит | Cu12Sb4S13 | 4.97 | Кубическая | 0.0031 | - |
Борнит | Cu5FeS4 | 5.08 | Ромбическая | 0.0102 | 2.5×10‒5 – 0.5 |
Сфалерит | ZnS | 4.00 | Кубическая | 0.0403 | 1.5 – 107 |
Примечание. Формулы, плотность, твердость и сингония – по данным сайта www.mindat.org (Online mineral and locality database, 2018). Плотность упаковки атомов рассчитана по формуле η = Vат ∙ n / Vяч, где Vат – занимаемый атомом объем, n – число атомов в элементарной ячейке минерала, Vяч – объем элементарной ячейки (Гуртов, Осауленко, 2012). Данные об электрическом сопротивлении – из источника (Telford et al., 1990).
Еще одним свойством минералов, которое может определять скорость миграции гелия, является их способность к электрической проводимости. Как было показано выше, в металлах, в том числе в самородных, миграция гелия существенно затруднена из-за наличия облака свободных электронов, которое препятствует перемещению сложно ионизируемых атомов гелия в кристаллической решетке (Шуколюков и др., 2012а; Evans, 1977; Trocellier et al., 2014 и др.). Сульфиды, однако, отличаются от металлов по типу химической связи. Как правило, для них характерна ионно-ковалентная связь, и лишь изредка у сульфидов d- и f-элементов можно наблюдать металлический тип связи (Кнунянц, Зефиров, 1995). Тем не менее взаимодействие электронной оболочки мигрирующего атома гелия с электронами проводимости также может теоретически затруднять миграцию гелия.
Ранее при исследовании особенностей миграции гелия из циркона было показано, что нарушения кристаллической решетки, связанные с радиационными повреждениями, также могут существенно влиять на скорость миграции гелия в минерале (Guenther et al., 2013). В работе Флейшера (Fleisher et al., 1975) показано, что при величинах удельного сопротивления менее 2000 Ом на сантиметр в минерале не образуются треки от радиоактивного распада. Причем, они не образуются не только в металлах, но и в соединениях типа TiSe2, NbSe2, NbTe2 и др., которые относятся к полупроводникам (Morgan, Chadderton, 1968). Время рекомбинации таких радиационных дефектов составляет порядка 10–12 с (показано на примере металлов) (Комаров, 2003). Другими словами, чем ниже величина удельного сопротивления в минерале, тем меньше в нем радиационных дефектов, и тем сложнее атомам покинуть кристаллическую решетку минерала.
Среди изученных минералов группы сульфидов пирит и пирротин обладают самой высокой величиной удельной проводимости (табл. 9). Сфалерит же обладает очень высоким удельным сопротивлением. Последнее, по-видимому, препятствует, несмотря на высокую плотность упаковки атомов, сохранению радиогенного гелия в его структуре. Таким образом, на основании имеющихся данных можно выделить следующие основные причины, определяющие высокую сохранность гелия в пирите: 1) кубическая решетка, 2) высокая плотность упаковки атомов, 3) низкое удельное сопротивление.
Устойчивость U-Th-He изотопной системы в сульфидах. Устойчивость U-Th-He изотопной системы в сульфидах определяется двумя факторами: термической сохранностью гелия и устойчивостью изредка присутствующих в них включений уран- и торийсодержащих минералов.
Эксперименты по ступенчатому отжигу пирита, халькопирита и пирротина позволяют прогнозировать высокую сохранность радиогенного гелия в крупнокристаллическом пирите (энергия активации > 80 ккал/моль) и низкую сохранность гелия в пирротине и халькопирите (~ 20 ккал/моль). Таким образом, сохранность гелия в пирите сопоставима с сохранностью аргона в слюдах и амфиболах (температура закрытия ~ 300–400оС (McDougall, Harrison 1999)), а сохранность гелия в пирротине и халькопирите сопоставима с сохранностью гелия в кварце и апатите (температура закрытия ~ 50–100оС (Farley et al., 2002; Shuster, Farley, 2005)).
Так как источником радиогенного гелия в сульфидах, по-видимому, являются субмикронные включения урансодержащих минералов (циркон, браннерит, монацит, уранинит и др.), то дополнительно необходимо оценить их устойчивость к наложенным процессам. Температуры закрытия U-Pb изотопных систем в цирконе, уранините, монаците и браннерите достаточно высоки. Именно поэтому эти минералы хорошо зарекомендовали себя как U-Pb геохронометры (Dickin, 2005). Поэтому, если допустить, что весь уран и торий в сульфидах сосредоточены во включениях указанных минералов, потери урана при умеренных температурных воздействиях маловероятны.
Перспективы U-Th-He датирования сульфидов. На основании исследования особенностей миграции гелия из различных сульфидов и сульфосолей представляется, что наиболее перспективным минералом для U-Th-He датирования является крупнокристаллический пирит, поскольку:
- Он обладает достаточно высокой энергией активации миграции (более 80 ккал/моль), которая сопоставима с энергией активации миграции аргона в амфиболах (Harrison, 1982).
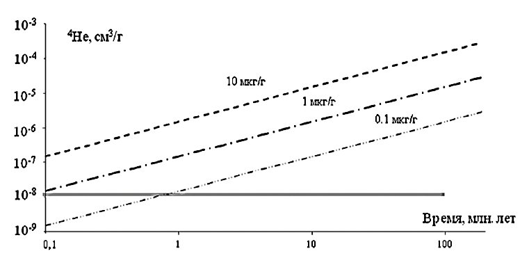
- Концентрации урана и тория в пирите, по крайней мере в пирите из колчеданных месторождений, составляют в среднем порядка 1 мкг/г. При таком содержании урана в пирите из месторождений с возрастом более 10 млн лет вклад захваченного гелия становится незначительным (рис. 16). Если содержание урана в пирите будет на порядок меньше – 0.1 мкг/г, то в этом случае вкладом захваченной компоненты можно будет пренебречь при возрасте более 50 млн лет. Для более молодых объектов существует теоретическая возможность вводить поправку на захваченную компоненту по 3He, по аналогии с тем, как это делается при космогенном 3He датировании (Dunai, 2010).
- Сам по себе пирит является относительно устойчивым минералом, что подтверждается полученными Re-Os методом архейскими оценками возраста пирита из докембрийских пород (Stein et al., 1998 и др.).
- В рамках U-Th-He изотопной системы определяемое значение возраста соответствует длительности имплантации 4He в кристаллическую решетку пирита, которое совпадает с возрастом его образования.
Перспективность U-Th-He датирования пирита также косвенно подтверждается результатами 190Pt-4He датирования сперрилита (PtAs2), являющегося его кристаллографическим аналогом (Якубович и др., 2015).
ВЫВОДЫ
- Концентрации гелия в сульфидах и сульфосолях из гидротермальных месторождений, как правило, на несколько порядков превышают концентрации, типичные для захваченного гелия. Следовательно, преобладающая часть гелия является радиогенной. Эксперименты по ступенчатому отжигу пирита, халькопирита и пирротина позволяют прогнозировать высокую сохранность радиогенного гелия в крупнокристаллическом пирите (энергия активации > 80 ккал/моль) и низкую сохранность гелия в пир- ротине и халькопирите (~ 20 ккал/моль).
- Концентрации урана, тория и гелия в сульфидах и сульфосолях достаточны для их успешного U-Th-He датирования. При этом уран и торий в сульфидах распределены неравномерно. Наиболее вероятной формой их нахождения являются субмикронные включения уран- и торийсодержащих минералов (уранинит, браннерит, циркон, монацит и др.).
- Наиболее перспективным минералом для U-Th-He датирования является пирит.
Источники финансирования. Исследования выполнены при финансовой поддержке РФФИ (проект № 16-05-01010) и Госзадания ИГГД РАН (тема НИР № 0153-2015-0015).
About the authors
O. V. Yakubovich
Institute of Precambrian Geology and Geochronology of the Russian Academy of Sciences; Saint-Petersburg State University
Author for correspondence.
Email: olya.v.yakubovich@gmail.com
Russian Federation, 2, Makarova embankment, St.Petersburg, 199034; 7/9, Universitetskaya embankment, Saint-Petersburg, 199034
A. M. Gedz
Institute of Precambrian Geology and Geochronology of the Russian Academy of Sciences; Saint-Petersburg State University
Email: olya.v.yakubovich@gmail.com
Russian Federation, 2, Makarova embankment, St.Petersburg, 199034; 7/9, Universitetskaya embankment, Saint-Petersburg, 199034
I. V. Vikentyev
Institute of Geology of Ore Deposits, Petrography, Mineralogy and Geochemistry of the Russian Academy of Sciences
Email: olya.v.yakubovich@gmail.com
Russian Federation, 35, Staromonetny, Moscow, 119017
A. V. Kotov
Institute of Precambrian Geology and Geochronology of the Russian Academy of Sciences
Email: olya.v.yakubovich@gmail.com
Russian Federation, 2, Makarova embankment, St.Petersburg, 199034
B. M. Gorokhovskii
Institute of Precambrian Geology and Geochronology of the Russian Academy of Sciences
Email: olya.v.yakubovich@gmail.com
Russian Federation, 2, Makarova embankment, St.Petersburg, 199034
References
- Айриянц Е.В. Золотое оруденение в карбонатных отложениях юго-восточной части Восточного Саяна: Автореф. дис. … канд. геол.-мин. наук. Новосибирск: ОИГГМ СО РАН, 2006.
- Буслаев Ф.П., Ярош П.Я., Ершова В.Г., Семенова Н.Н. Тарньерское месторождение // Медноколчеданные месторождения Урала: Геологическое строение. Свердловск: УрО АН СССР, 1988. С. 171–182.
- Викентьев И.В. Условия формирования и метаморфизм колчеданных руд. М.: Научный мир, 2004. 344 с.
- Гармаев Б.Л. Золото-теллуридный и золото-висмутовый минеральные типы оруденения западного фланга Боксон-Гарганской металлогенической зоны (Восточный Саян): Автореф. дис. … канд. геол.-мин. наук. Улан-Удэ: ГИН СО РАН, 2011.
- Герлинг Э.К. Теплота диффузии гелия как критерий применимости минерала для определения возраста по гелиевому методу // Докл. АН СССР. 1939. Т. 24. № 6. С. 570–573.
- Герлинг Э.К. Современное состояние аргонового метода определения абсолютного возраста и его применение в геологии. М.-Л.: Изд-во АН СССР, 1961. 130 с.
- Грабежев А.И. Скарны Гумешевского скарново-медно-порфирового месторождения (Средний Урал) // Петрология. 2004. № 2. С. 176–190.
- Грабежев А.И. Рениеносные медно-порфировые системы Урала: геологическое положение, изотопно-петрогеохимическая и возрастная латеральная зональность // Литосфера. 2012. № 4. С. 190–207.
- Гуртов В.А., Осауленко Р.Н. Физика твердого тела для инженеров: Учебное пособие. М.: Техносфера, 2012. 561 c.
- Кнунянц И.Л., Зефиров Н.С. Химическая энциклопедия. Т. 4. М.: Советская энциклопедия, 1995. 639 с.
- Комаров Ф.Ф. Дефектообразование и трекообразование в твердых телах при облучении ионами сверхвысоких энергий // Успехи физич. наук. 2003. Т. 173. № 12. С. 1287–1318.
- Мигута А.К. Состав и парагенетические минеральные ассоциации урановых руд Эльконского района (Алданский щит, Россия) // Геология рудн. месторождений. 1997. Т. 38. № 4. С. 323–343.
- Минералы. Справочник. Том 1. Самородные элементы. Интерметаллические соединения. Карбиды, нитриды, фосфиды. Арсениды, антимониды, висмутиды. Сульфиды. Селениды / Ред. Бонштедт-Куплетская Э.М., Чухров Ф.В. М.: Изд-во АН СССР, 1960. 617 с.
- Миронов А.Г., Жмодик С.М. Золоторудные месторождения Урик-Китойской металлогенической зоны (Восточный Саян, Россия) // Геология рудн. месторождений. 1999. Т. 41. № 1. С. 54–69.
- Миронов А.Г., Жмодик С.М., Очиров Ю.Ч. и др. Таинское золоторудное месторождение (Восточный Саян, Россия) – редкий тип золото-порфировой формации // Геология рудн. месторождений. 2001. Т. 43. № 5. С. 395–413.
- Молошаг В.П. Радиоактивная минерализация гипогенных руд колчеданных месторождений Урала (на примере Тарньерского месторождения) // Ежегодник-2014. Тр. ИГГ УрО РАН. 2015. Вып. 162. С. 169–171.
- Молошаг В.П., Грабежев А.И., Викентьев И.В., Гуляева Т.Я. Фации рудообразования сульфидных руд колчеданных месторождений и медно-золото-порфировых месторождений Урала // Литосфера. 2004. № 2. С. 30–51.
- Мочалов А.Г., Якубович О.В., Золотарев А.А. Структурные видоизменения и сохранность радиогенного 4Не минералов платины в процессах деформации // Докл. АН. 2018. T. 480. № 1. С. 1–5.
- Мурзин В.В., Варламов Д.А., Викентьев И.В. Медно-кобальтовое оруденение Пышминско-Ключевского месторождения на Среднем Урале: минеральный состав руд и метасоматитов, стадийность и P-T условия образования // Литосфера. 2011. № 6. С. 103–122.
- Сазонов В.Н., Огородников В.Н., Коротеев В.А., Поленов Ю.А. Месторождения золота Урала. Екатеринбург: ИГГГА, 1999. 570 с.
- Светухин В.В., Суслов Д.Н., Рисованый В.Д. Модель десорбции инертных газов из облученных реакторных материалов. 2005. http: // www.niir.ru
- Серавкин И.Б. Корреляция состава руд и рудовмещающих пород в вулканогенных колчеданных месторождениях (на примере Южного Урала) // Геология рудн. месторождений. 2013. Т. 55. № 3. С. 238–258.
- Серов П.А., Екимова Н.А. Возможности Sm-Nd датирования рудных процессов с использованием сульфидов // //Вест. МГТУ. 2009. Т. 12. № 3. С. 456–460.
- Шуколюков Ю.А., Фугзан М.М., Падерин И.П. и др. Геотермохронология по благородным газам: исследование устойчивости уран-ксеноновой изотопной системы в неметамиктных цирконах // Петрология. 2009. Т. 17. № 1. С. 3–27.
- Шуколюков Ю.А., Якубович О.В., Мочалов А.Г. и др. Новый изотопный геохронометр для прямого датирования самородных минералов платины (190Pt-4He метод) // Петрология. 2012а. Т. 20. № 6. С. 545–559.
- Шуколюков Ю.А., Якубович О.В., Яковлева С.З. и др. Геотермохронология по благородным газам: III. Миграция радиогенного гелия в кристаллической структуре самородных металлов и возможности их изотопного датирования // Петрология. 2012б. Т. 20. № 1. С. 1-21.
- Якубович О.В., Шуколюков Ю.А., Котов А.Б. и др. Геотермохронология по благородным газам: II. Исследование устойчивости уран-торий-гелиевой изотопной системы в цирконах // Петрология. 2010. Т. 18. № 6. С. 3–18.
- Якубович О.В., Мочалов А.Г., Служеникин С.Ф. Сперрилит (PtAs2) как 190Pt-4He-геохронометр // Докл. АН. 2015. T. 462. № 1. С. 1–4.
- Ярош П.Я. Диагенез и метаморфизм колчеданных руд на Урале. М.: Наука, 1973. 237 с.
- Altschuler Z.S., Clarke R.S., Young E.J. The Geochemistry of Uranium in Apatite and Phosphorite // US Department of the Interior. Geol. Sur. 1957. V. 314. 131 p.
- Barnes S.J., Ripley E.M. Highly siderophile and strongly chalcophile elements in magmatic ore deposits // Reviews in Mine- ralogy and Geochemistry. 2016. V. 81. № 1. P. 725–774.
- Bhargava S.K., Garg A., Subasinghe N.D. In situ high-temperature phase transformation studies on pyrite // Fuel. 2009. V. 88. № 6. P. 988–993.
- Bowles J.F.W., Howie R.A., Vaughan D.J., Zussman J. Non- silicates: Oxides, hydroxides and sulphides. Rock-forming minerals // Geol. Soc. London. 2011. V. 5A. 920 p.
- Burnard P.G., Polya D.A. Importance of mantle derived fluids during granite associated hydrothermal circulation: He and Ar isotopes of ore minerals from Panasqueira // Geochimica et Cosmochimica Acta. 2004. V. 68. № 7. P. 1607–1615.
- Butler I.B., Nesbitt R.W. Trace element distributions in the chalcopyrite wall of a black smoker chimney: insights from laser ablation inductively coupled plasma mass spectrometry (LA-ICP-MS) // // Earth and Planetary Science Letters. 1999. V. 167. № 3. P. 335–345.
- Cabri L.J. New data on phase relations in the Cu-Fe-S system // // Economic Geology. 1973. V. 68. № 4. P. 443–454.
- Chernyshev I.V., Vikent’ev I.V., Chugaev A.V. et al. Sources of material for massive sulfide deposits in the Urals: Evidence from the high-precision MC-ICP-MS isotope analysis of Pb in galena // Dokl. Earth Sci. 2008. V. 418. № 1. P. 178–183.
- Christensen J.N., Halliday A.N., Leigh K.E. et al. Direct dating of sulfides by Rb-Sr: A critical test using the Polaris Mississippi Valley-type Zn-Pb deposit // Geochimica et Cosmochimica Acta. 1995. V. 59. № 24. P. 5191-5197.
- Dickin A. Radiogenic Isotope Geology. Cambridge University Press, 2005. 472 p.
- Dunai T. J. Cosmogenic nuclides: principles, concepts and applications in the earth surface sciences. Cambridge University Press, 2010. 187 p.
- Evans J.H. An inter bubble fracture mechanism of blister formation on helium-irradiated metals // Journal of Nuclear Materials. 1977. V. 68. P. 129–140.
- Farley K.A., Stockli D.F. (U-Th)/He dating of phosphates: apatite, monazite, and xenotime // Reviews in Mineralogy and Geochemistry. 2002. P. 559–577.
- Fechtig H., Kalbitzer S. The diffusion of argon in potassium-bearing solids. Potassium-Argon Dating. Berlin: Springer-Verlag, 1966. P. 68–106.
- Fleischer R.L., Price P.B., Walker R.M. Nuclear Tracks in Solids: Principles and Applications. University of California Press, 1975. 597 p.
- Garuti G., Zaccarini F. Minerrals of Au, Ag and U in volcanic-rock-associated massive sulfide deposits of the Northern Apennine ophiolite, Italy // Canadian Mineralogist. 2005. V. 43. P. 935–950.
- Guenthner W.R., Reiners P.W., Ketcham R.A. et al. Helium diffusion in natural zircon: Radiation damage, anisotropy, and the interpretation of zircon (U-Th)/He thermochronology // // American Journal of Science. 2013. V. 313. № 3. P. 145–198.
- Harrison T.M. Diffusion of 40Ar in hornblende // Contributions to Mineralogy and Petrology. 1982. V. 78. № 3. P. 324–331.
- Hirt W., Herr W., Hoffmeister W. Age determinations by rhenium-osmium method. Radiometric dating and methods of low level counting // International Atomic, Energy Agency. 1963. P. 35–43.
- Hurley P.M. The helium age method and the distribution and migration of helium in rocks. Nuclear Geology. NY: Wiley, 1954. P. 301–329.
- Ivanov A.V., Vanin V.A., Demonterova E.I. et al. Application of the ‘no fool’s clock’ to dating the Mukodek gold field, Siberia, Russia // Ore Geology Reviews. 2015. V. 69. P. 352–359.
- Jean-Baptiste P., Fouquet Y. Abundance and isotopic composition of helium in hydrothermal sulfides from the East Pacific Rise at 13оN // Geochimica et Cosmochimica Acta. 1996. V. 60. № 1. P. 87–93.
- Krogh T.E. A low-contamination method for hydrothermal decomposition of zircon and extraction of U and Pb for isotopic age determinations // Geochimica et Cosmochimica Acta. 1973. V. 37. № 3. P. 485–494.
- Li Q.L., Chen F., Yang J.H. et al. Single grain pyrite Rb-Sr dating of the Linglong gold deposit, eastern China // Ore Geology Reviews. 2008. V. 34. № 3. P. 263–270.
- Luders V., Niedermann S. Helium isotope composition of fluid inclusions hosted in massive sulfides from modern submarine hydrothermal systems // Economic Geology. 2010. V. 105. P. 443–449.
- Markey R., Stein H., Morgan J. Highly precise Re-Os dating for molybdenite using alkaline fusion and NTIMS // Talanta. 1998. V. 45. № 5. P. 935–946.
- Marques J.C. Overview on the Re-Os isotopic method and its application on ore deposits and organic-rich rocks // Geochimica Brasiliensis. 2013. V. 26. № 1. 49 p.
- McDougall I., Harrison T.M. Geochronology and Thermochronolo- gy by the 40Ar/39Ar Method. Oxford University Press, 1999. 288 p.
- Melekestseva I.Y., Tret’yakov G.A., Nimis P. et al. Barite-rich massive sulfides from the Semenov-1 hydrothermal field (Mid-Atlantic Ridge, 13о30.87′ N): evidence for phase separation and magmatic input // Marine Geology. 2014. V. 349. P. 37–54.
- Mikheev E.I., Kotler P.D., Kulikova A.V. et al. Geology, magmatism and metallogeny of the Gorny Altai // Field trip guidebook. The 8th International Siberian Early Career Geoscientist Conference. Novosibirsk, 2016. 50 p.
- Morelli R.M., Creaser R.A., Seltmann R. et al. Age and source constraints for the giant Muruntau gold deposit, Uzbekistan, from coupled Re-Os-He isotopes in arsenopyrite // Geology. 2007. V. 35. P. 795–798.
- Morgan D.V., Chadderton L.T. Fission fragment tracks in semiconducting layer structures // Philosophical Magazine. 1968. V.17. P. 1135–1142.
- Murzin V.V., Naumov E.A., Azovskova O.B. et al. The Vorontsovskoe Au-Hg-As ore deposit (Northern Urals, Russia): Geological setting, ore mineralogy, geochemistry, geochronolo- gy and genetic model // Ore Geology Reviews. 2017. V. 85. P. 271–298.
- Petke T., Diamond L.W. Rb-Sr dating of sphalerite based on fluid inclusion-host mineral isochrons: a clarification of why it works // Economic Geology. 1996. V. 91. P. 951–956.
- Plotinskaya O.Y., Grabezhev A.I., Tessalina S. et al. Porphyry deposits of the Urals: geological framework and metallogeny // // Ore Geology Reviews. 2016. V. 85. P. 153–173.
- Reich M., Ewing R., Ehlers T. et al. Low-temperature anisotropic diffusion of helium in zircon: Implications for zircon (U–Th)/He thermochronometry // Geochimica et Cosmochimica Acta. 2007. V. 71. P. 3119–3130.
- Reiners P.W., Brandon M.T. Using thermochronology to understand orogenic erosion // Annual Review of Earth and Planetary Sciences. 2006. V. 34. P. 419–466.
- Saadoune I., Purton J., Leeuw N. He incorporation and diffusion pathways in pure and defective zircon ZrSiO4: A density functional theory study // Chemical Geology. 2009. V. 258. P. 182–196.
- Schmitt A.K., Danišík M., Evans N.J. et al. Acigöl rhyolite field, Central Anatolia (part 1): high-resolution dating of eruption episodes and zircon growth rates // Contributions to Mineralogy and Petrology. 2011. V. 162. № 6. P. 1215–1231.
- Selby D., Kelley K. D., Hitzman M.W. et al. Re-Os sulfide (bornite, chalcopyrite, and pyrite) systematics of the carbonate-hosted copper deposits at Ruby Creek, southern Brooks Range, Alaska // Economic Geology. 2009. V. 104. № 3. P. 437–444.
- Shuster D., Flowers R., Farley K. The influence of natural radiation damage on helium diffusion kinetics in apatite // Earth and Planetary Science Letters. 2006. V. 249. P. 148–161.
- Shuster D.L., Farley K.A. Diffusion kinetics of proton-induced 21Ne, 3He, and 4He in quartz // Geochimica et Cosmochimica Acta. 2005. V. 69. № 9. P. 2349–2359.
- Shuster D.L., Farley K.А. The influence of artificial radiation damage and thermal annealing on helium diffusion kinetics in apatite // Geochimica et Cosmochimica Acta. 2009. V. 73. P. 183–196.
- Smith P.E., Evensen N.M., York D. et al. Single-crystal 40Ar-39Ar dating of pyrite: No fool’s clock // Geology. 2001. V. 29. № 5. P. 403–406.
- Stein H. J., Sundblad K., Markey R. J. et al. G. Re-Os ages for Archean molybdenite and pyrite, Kuittila-Kivisuo, Finland and Proterozoic molybdenite, Kabeliai, Lithuania: testing the chronometer in a metamorphic and metasomatic setting // Mineralum Deposita. 1998. V. 33. № 4. P. 329–345.
- Stuart F.M., Turner G., Duckworth R.C. et al. Helium isotopes as tracers of trapped hydrothermal fluids in ocean-floor sulfides // // Geology. 1994. V. 22. № 9. P. 823–826.
- Telford W.M., Geldart L.P., Sheriff R.E. Electrical Properties of Rocks and Minerals. Applied Geophysics: Chapter 5. Cambridge University Press, 1990. Р. 283–292.
- Trocellier P., Agarwal S., Miro S. A review on helium mobility in inorganic materials // Journal of Nuclear Materials. 2014. V. 445. P. 128–142.
- Vaughan D. J., Corkhill C. L. Mineralogy of Sulfides // Elements. 2017. V. 13. № 2. P. 81–87.
- Vikentyev I.V., Belogub E.V., Novoselov K.A. et al. Metamorphism of volcanogenic massive sulphide deposits in the Urals // // Ore Geology Reviews. 2017. V. 85. P. 30–63.
- Zeng Z., Niedermann S., Chen S. et al. Noble gases in sulfide deposits of modern deep-sea hydrothermal systems: Implications for heat fluxes and hydrothermal fluid processes // Chemical Geology. 2015. V. 409. P. 1–11.
- Zhu L., Liu Y., Ma T. et al. In situ measurement of Os isotopic ratios in sulfides calibrated against ultra-fine particle standards using LA-MC-ICP-MS // Journal of Analytical Atomic Spectrometry. 2016. V. 31. № 7. P. 1414–1422.
- Ziegler J. F. Helium: Stopping powers and ranges in all elemental matter // Pergamon. 1977. V. 4. 436 p.
Supplementary files


















