A technique for calculating the enthalpy of silicate melt of arbitrary composition
- Authors: Bychkov D.A.1, Koptev-Dvornikov E.V.1
-
Affiliations:
- Moscow State University
- Issue: Vol 27, No 2 (2019)
- Pages: 123-137
- Section: Articles
- URL: https://journals.eco-vector.com/0869-5903/article/view/11582
- DOI: https://doi.org/10.31857/S0869-5903272123-137
- ID: 11582
Cite item
Full Text
Abstract
The Kirchhoff equation was used to develop a method for calculating the enthalpy of silicate melt of any arbitrarily chosen composition with regard for the latent heat of fusion. To do this, the following two problems were solved: (a) the coefficients of the heat capacity equation of a silicate melt were revised and (b) the partial molar enthalpies of formation of melt components from elements at standard state were determined. The uncertainty in calculating the heat capacity of silicate melt at 95% significance level is no greater than ± 0.7 J · mol–1 · K–1. A weak but statistically significant temperature dependence of the heat capacity was determined. The enthalpies of melts calculated using the method are comparable with the values obtained by other techniques. The calculation error at 95% significance level is ±2 relative %.
Full Text
ВВЕДЕНИЕ
Для корректного количественного анализа эволюции магматических систем в процессах плавления – кристаллизации необходимо оценивать изменения энтальпии гетерофазных (расплав + кристаллы) систем с учетом скрытой теплоты плавления минералов в широком диапазоне составов и температур. В термодинамических сводках и справочниках имеется достаточно информации о термохимических свойствах отдельных минеральных фаз – конечных членов твердых растворов (например, Наумов и др., 1971; Robie, Hemingway, 1995), но на данный момент не существует опубликованного уравнения зависимости энтальпии расплава от температуры и состава. Имеется только два программных средства: программы семейства MELTS и КОМАГМАТ, учитывающие скрытую теплоту плавления. Из них только MELTS выдает значения энтальпии всех фаз. В статье (Ghiorso, Sack, 1995), описывающей термодинамическую модель, принятую в MELTS, приводится обобщенное уравнение для расчета ΔG системы. Однако выражение для расчета энтальпии расплава в явном виде не приводится. Из контекста понятно, что для расчета энтальпии жидкой фазы используются данные об энтальпиях плавления компонентов расплава и учитывается энергия смешения компонентов расплава. В то же время авторы показывают, что недостаток экспериментальных данных о термодинамических свойствах «геологически значимых материалов заставляет нас принять ряд значений, которые представляют собой не что иное, как экспертные оценки, и могут привести к неопределенности порядка 20% от использованных величин». Несмотря на то, что с тех пор коэффициенты в уравнениях, описывающих термодинамическую модель MELTS, несколько раз перекалибровывались (Asimow, Ghiorso, 1998; Ghiorso et al., 2002; Ghiorso, Gualda, 2015; Gualda et al., 2012), сами эти уравнения остались прежними.
Программы семейства КОМАГМАТ-3.n (Френкель и др., 1988; Френкель, 1995; Арискин, Бармина, 2000) используются при расчетах данных об энтальпии плавления минералов, но не для расчета энтальпии расплава.
В нашей работе мы предлагаем способ расчета энтальпии системы с неявным учетом скрытой теплоты плавления фаз. Он основан на аппроксимации экспериментальных измерений энтальпии гетерофазных систем уравнением Кирхгофа. Однако экспериментальное определение энтальпии системы сопряжено с большим количеством трудностей (Navrotsky et al., 1989). В связи с этим в настоящее время доступны экспериментальные данные только для весьма ограниченного диапазона составов систем в узком интервале температур при атмосферном давлении, что делает невозможным определение коэффициентов уравнения Кирхгофа в его развернутой форме (3) для всего диапазона составов и температур природных расплавов. Вместе с тем большая часть коэффициентов уравнения (3) совпадает с коэффициентами уравнения Майера–Келли (2) (Maier, Kelley, 1932; Haas, Fisher, 1976) для теплоемкости системы. Это обстоятельство позволяет использовать для нахождения коэффициентов уравнения Кирхгофа многочисленные экспериментальные данные о теплоемкости силикатных расплавов, которые перекрывают весь диапазон составов и температур природных расплавов.
МЕТОД РАСЧЕТА ЭНТАЛЬПИИ ГЕТЕРОФАЗНОЙ СИСТЕМЫ
Энтальпия любой (гомогенной или гетерогенной) термодинамической системы описывается уравнением Кирхгофа:
, (1)
где – зависимость энтальпии системы заданного фазового состава от температуры; – энтальпия системы при стандартной температуре, имеющая смысл константы интегрирования; – изобарная теплоемкость системы. Все экстенсивные термодинамические параметры в уравнении (1) являются суммами соответствующих параметров для входящих в систему фаз. Абсолютное значение энтальпии рассчитать невозможно, поэтому рассчитываются приращения энтальпий относительно некоего нулевого уровня. За нулевой уровень при расчете энтальпии системы мы принимаем энтальпию составляющей ее смеси химических элементов в стандартном состоянии при температуре 298.15 К и давлении 1 бар (105 Па).
С учетом принятого нулевого уровня константу интегрирования можно представить в виде:
(1.1)
где – энтальпия образования гетерофазной системы из смеси элементов, которая является суммой энтальпий образования фаз из смеси элементов при стандартной температуре; – энтальпия механической смеси элементов при стандартной температуре. Параметр для твердых фаз табулирован в большом числе справочников (Наумов и др., 1971; Robie, Hemingway, 1995; Robie et al., 1984).
Приращение энтальпии системы над нулевым уровнем в свою очередь выразится как:
(1.2)
где – приращение энтальпии системы относительно смеси элементов при стандартной температуре. С учетом (1.1 и 1.2) из уравнения Кирхгофа следует:
(1.3)
Уравнение для учета зависимости Cp от температуры впервые было предложено в 1932 г. Майером и Келли (Maier, Kelley, 1932) и содержало три члена. Мы воспользовались расширенной версией этого уравнения, предложенной в 1976 г. Хаасом и Фишером (Haas, Fisher, 1976), в которую были добавлены два члена для адекватного описания высокоточных калориметрических данных. Это уравнение удобно тем, что его коэффициенты приводятся в справочной термодинамической литературе, например в известном справочнике Роби и Хэмингуэя (Robie, Hemingway, 1995):
(2)
где a, b, c, d и e – параметры уравнения, определяемые при обработке экспериментальных данных, а Т – температура в градусах Кельвина. После подстановки уравнения Майера–Келли (2) в уравнение (1.3) и интегрирования имеем:
Поскольку энтальпия является экстенсивным параметром термодинамической системы, ее можно рассчитывать как сумму энтальпий отдельных фаз в системе. Расчет энтальпии минералов не представляет проблемы, так как все необходимые для расчета коэффициенты и константы хорошо известны для большинства породообразующих минералов (см. вышеупомянутые справочники). Проблема возникает при расчете энтальпии расплава. Дело в том, что необходимая для расчета константа интегрирования (энтальпия образования расплава из элементов при стандартной температуре ) не может быть определена экспериментально, но может быть рассчитана, о чем и пойдет речь ниже.
Для определения необходимо достоверно определить коэффициенты в уравнениях (2) и (3). В литературе существуют три версии набора таких коэффициентов (Lange, Navrotsky, 1992; Richet, Bottinga, 1985; Stebbins et al., 1984) для расплава. Обращает внимание то, что последняя из этих версий была опубликована в 1992 г. С тех пор было получено значительное количество оценок теплоемкости для широкого спектра составов расплавов. Это дает нам возможность провести ревизию соответствующих коэффициентов на более широком экспериментальном материале.
Таким образом, для достижения главной цели необходимо последовательно решить две задачи: 1) предложить новую версию набора коэффициентов для уравнений (2) и (3), 2) предложить способ расчета константы интегрирования для расплавов произвольного состава.
В дальнейших расчетах приняты следующие допущения:
- Состав расплава описывается в виде однокатионных оксидов (SiO2, TiO2, AlO1.5, FeO1.5, FeO, MnO, MgO, CaO, NaO0.5, KO0.5).
- Теплоемкость расплава является аддитивной функцией его состава.
- Энтальпия расплава (в том числе константа интегрирования) есть аддитивная функция парциальных энтальпий компонентов расплава.
- В качестве стандартного состояния для расчета теплоемкости и энтальпии нами принято состояние фазы при температуре 298.15 К и давлении 1 бар (105 Па).
- За нулевой уровень при расчете энтальпии системы принята энтальпия составляющей ее смеси химических элементов в стандартном состоянии при температуре 298.15 К и давлении 1 бар (105 Па).
Эти постулаты приняты нами без обсуждения в качестве начального приближения. Их справедливость будет оценена по результатам исследования.
РЕВИЗИЯ УРАВНЕНИЯ ТЕПЛОЕМКОСТИ РАСПЛАВА
Нами было обнаружено 18 работ, из которых можно извлечь значения теплоемкости расплавов. На материале этих работ составлена выборка для разработки уравнения зависимости теплоемкости расплава () от его состава и температуры.
Существуют три типа источников сведений о величинах теплоемкости расплава, они указаны в правой колонке табл. 1. Первый – прямое экспериментальное измерение методом дифференциальной сканирующей калориметрии (в выборку вошло 196 таких измерений). В работах публикуются конкретные значения теплоемкостей для конкретных экспериментальных составов и температур.
Таблица 1. Характеристика источников сведений о теплоемкости силикатных расплавов
Литературный источник | Число точек | Число составов | Температура (К) | Тип источника |
(Bouhifd et al., 1998) | 13 | 2 | 1049.8–1766.8 | 3 |
(Bouhifd et al., 2006) | 14 | 3 | 938.4–1062.5 | 1 |
(Bouhifd et al., 2007) | 8 | 1 | 962.7–1700.3 | 3 |
(Bouhifd et al., 2013) | 11 | 2 | 938.4–1063 | 1 |
(Courtial, Richet, 1993) | 41 | 5 | 1089.3–1847 | 3 |
(Di Genova et al., 2014) | 4 | 4 | 906–1002 | 1 |
(Lange et al., 1991) | 11 | 1 | 1610–1762 | 1 |
(Lange, Navrotsky, 1992) | 49 | 12 | 1140–1674 | 1 |
(Lange, Navrotsky, 1993) | 22 | 4 | 1268.5–1761.2 | 1 |
(Lange et al., 1994) | 18 | 2 | 1264–1422 | 1 |
(Richet, Bottinga, 1984) | 45 | 6 | 1018.8–1867.9 | 3 |
(Richet, Bottinga, 1985) | 34 | 5 | 1030.2–1815.3 | 3 |
(Richet, Neuville, 1992) | 11 | 2 | 1173.7–1820.1 | 3 |
(Robert et al., 2014) | 62 | 4 | 965.2–1201 | 1 |
(Roskosz et al., 2004) | 24 | 8 | 862–1090 | 2 |
(Stebbins et al., 1984) | 102 | 12 | 1452–1879 | 3 |
(Tangeman, Lange, 1998) | 87 | 29 | 738–998 | 2 |
(Webb, 2011) | 5 | 5 | 1204.95–1234.85 | 1 |
Итого | 561 | 107 | 738–1879 |
Второй источник – работы, в которых приведены не результаты экспериментальных измерений, а представлены уравнения зависимости CLp от температуры для экспериментальных составов в диапазоне температур. В этом случае в выборку включались три значения теплоемкости, рассчитанные для нижней, верхней границ температурного диапазона и для его середины (в выборку вошло 111 таких значений).
Третий источник – работы, в которых приведены серии измерений энтальпий расплавов известного состава для различных температур. Следует заметить, что упомянутые энтальпии измерены относительно стеклообразного состояния и, следовательно, не характеризуют энтальпию расплава относительно стандартного состояния с учетом скрытой теплоты плавления. Обработка этих серий методом наименьших квадратов с использованием уравнения (3) позволяет определить значения коэффициентов для уравнения (2) и рассчитать величины теплоемкости для экспериментальных температур (в выборку вошло 254 таких значений).
Всего выборка I содержит 561 значение теплоемкостей расплава, отвечающих определенным составам и температурам. Многогранник экспериментальных составов в координатах концентраций оксидов для выборки I, характеризуется следующими величинами (в мас.%): SiO2 от 28.2 до 77.7, TiO2 от 0 до 39.9, Al2O3 от 0 до 36.0, Fe2O3 от 0 до 37.7, FeO от 0 до 6.23, MgO от 0 до 29.0, CaO от 0 до 48.6, Na2O от 0 до 52.8, K2O от 0 до 54.3. Интервал теплоемкостей в нашей выборке составляет от 62 до 97 Дж · моль–1 · К–1 в пересчете на моль расплава, состав которого представлен в виде мольных долей однокатионных оксидов. Диапазон составов выборки I существенно шире диапазона составов природных расплавов. Мы приводим здесь табл. 1 как справочную для тех исследователей, чьи интересы не ограничиваются природными расплавами.
Для нашей цели мы решили удалить из выборки составы, радикально отличающиеся от природных. Опираясь на справочник по составам магматических горных пород (Богатиков и др., 1987), мы ограничили выборку составами природных лав (табл. 2).
Таблица 2. Характеристика выборки II экспериментов, вовлеченных в процедуру расчета зависимости CLp от состава и температуры
Литературный источник | Число точек | Число составов | Температура (К) | Тип источника |
(Bouhifd et al., 1998) | 5 | 1 | 1147.1–1766.8 | 3 |
(Bouhifd et al., 2006) | 14 | 3 | 938.4–1062.5 | 1 |
(Bouhifd et al., 2007) | 8 | 1 | 962.7–1700.3 | 3 |
(Bouhifd et al., 2013) | 5 | 1 | 963.2–1063 | 1 |
(Courtial, Richet, 1993) | 34 | 4 | 1089.3–1847 | 3 |
(Di Genova et al., 2014) | 4 | 4 | 906–1002 | 1 |
(Lange, Navrotsky, 1992) | 16 | 4 | 1437–1674 | 1 |
(Lange et al., 1994) | 18 | 2 | 1264–1422 | 1 |
(Richet, Bottinga, 1984) | 6 | 1 | 1083.3–1862.8 | 3 |
(Richet, Neuville, 1992) | 11 | 2 | 1173.7–1820.1 | 3 |
(Robert et al., 2014) | 62 | 4 | 965.2–1201 | 1 |
(Stebbins et al., 1984) | 45 | 5 | 1502–1864 | 3 |
(Webb, 2011) | 2 | 2 | 1204.95–1226.55 | 1 |
Итого | 230 | 34 | 906–1864 |
Всего выборка II содержит 230 значений теплоемкости расплава, отвечающих определенным составам и температурам. Многогранник экспериментальных составов в координатах концентраций оксидов для выборки II характеризуется следующими величинами (в мас.%): SiO2 от 41.2 до 73.6, TiO2 от 0 до 4.95, Al2O3 от 8.43 до 25.6, Fe2O3 от 0 до 10.6, FeO от 0 до 5.02, MgO от 0 до 29.0, CaO от 0 до 14.88, Na2O от 0 до 9.31, K2O от 0 до 7.80. Обращает внимание отсутствие среди оксидов MnO (по сравнению со стандартным набором) и сопоставимые диапазоны содержаний FeO и Fe2O3 по сравнению с содержаниями этих оксидов в природных магмах, где концентрация FeO обычно заметно больше концентрации Fe2O3. Интервал теплоемкостей в нашей выборке составляет от 71.3 до 92.9 Дж · моль–1 · К–1 в пересчете на моль расплава, состав которого представлен в виде мольных долей однокатионных оксидов.
Распространено мнение, что теплоемкость силикатных расплавов не зависит от температуры (Lange, Navrotsky, 1992; Lange, Navrotsky, 1993; Stebbins et al., 1984 и др.). Из трех ранее упомянутых уравнений для расчета CLp только одно (Richet, Bottinga, 1985) учитывает зависимость CLp от температуры. Стеббинсом с соавторами (Stebbins et al., 1984) было предложено уравнение вида:
, (4)
где Xi – мольная доля i-го компонента в расплаве, ai – парциальная мольная теплоемкость, не зависящая от температуры.
При рассмотрении полученных методом наименьших квадратов коэффициентов видна почти шестнадцатикратная разница коэффициентов для оксидов двух- и трехвалентного железа (9.98 ± 3.3 и 160.6 ± 2.3 соответственно), что сопровождается и относительно высокой погрешностью коэффициента при FeO. Такое различие вызывает сомнение, поскольку теплофизические характеристики этих оксидов в твердом состоянии различаются весьма умеренно. Кроме того, как отмечено выше, в отличие от природных магм в железосодержащих расплавах выборки содержание Fe(III) существенно превышает концентрацию Fe(II). Учитывая эти обстоятельства, было принято решение ввести дополнительный постулат – провести обработку нашей выборки, объединив в химических составах мольные доли FeO1.5 и FeO. Методом наименьших квадратов получены коэффициенты ai и рассчитаны значения для составов из выборки II. Результаты сопоставления экспериментальных и расчетных значений показаны на рис. 1.
Рис. 1. Результаты аппроксимации экспериментальных CLp согласно уравнению (4).
Прямая – линия регрессии; штриховая – линия равных значений, кривые линии – границы доверительного интервала на 95% уровне значимости.
Гистограмма на врезке демонстрирует распределение разностей между расчетными и экспериментальными значениями (по оси абсцисс, Дж · моль–1 · К–1) (кривая на гистограмме – аппроксимация данных нормальным распределением).
Нулевое значение свободного члена в уравнении регрессии и близость линейного члена к единице свидетельствуют о том, что отсутствует существенная систематическая ошибка. Это подтверждается и близостью гистограммы к нормальному распределению. Величина случайной ошибки не является столь малой (R2 = 0.700). Несмотря на неплохие характеристики линейной регрессии, обращает внимание широкий разброс значений для политермических серий экспериментов (один состав при различных температурах). Чтобы не перегружать публикацию, мы не приводим найденные значения ai, поскольку учет температурной зависимости теплоемкости компонентов расплава позволил нам получить лучшее согласие экспериментальных и расчетных данных.
С учетом принятых постулатов, уравнение (2) для зависимости от состава и температуры принимает следующий вид:
, (5)
где Xi – мольная доля i-го компонента в расплаве, ai, bi, ci, di и ei – парциальные мольные коэффициенты уравнения Майера–Келли (2).
Поскольку (X, T) в уравнении (5) линейно зависит от искомых коэффициентов мы использовали метод наименьших квадратов в варианте для многомерной линейной регрессии. Результаты обработки представлены в табл. 3 и на рис. 2.
Таблица 3. Коэффициенты для расчета теплоемкости (уравнение (2)) и энтальпии (уравнение (9)) силикатного расплава произвольного состава
Компоненты | ai · 104, Дж · моль–1 · К–1 | bi Дж · моль–1 · К–2 | ci · 109, Дж · моль–1 · К | di · 106, Дж · моль–1 · К–0,5 | ei · 10-3, Дж · моль-1 · К–3 | DfHi0L · 103, Дж · моль–1 |
SiO2 | 1.97 ± 0.19** | –6.63 ± 0.62 | 1.77 ± 0.18 | –0.502 ± 0.049 | 1.11 ± 0.10 | –1804.5 ± 0.98 |
TiO2 | 78.7 ± 14.3 | –337 ± 49 | 33.5 ± 13 | –17.5 ± 3.6 | 68.8± 8.5 | 965.9 ± 1.7 |
AlO1.5 | –5.53 ± 0.54 | 17.8 ± 1.8 | –5.56 ± 0.53 | 1.46 ± 0.14 | –2.83 ± 0.29 | 2225.1 ± 0.79 |
FeO1.5 | –18.4 ± 2.1 | 73.0 ± 7.6 | –11.8 ± 1.8 | 4.33 ± 0.53 | –14.3 ± 1.4 | 3535.7 ± 1.1 |
FeO | –18.4 ± 2.1 | 73.0 ± 7.6 | –11.8 ± 1.8 | 4.33 ± 0.53 | –14.3 ± 1.4 | 3566.7 ± 1.0 |
MnO* | –18.4 ± 2.1 | 73.0 ± 7.6 | –11.8 ± 1.8 | 4.33 ± 0.53 | –14.3 ± 1.4 | 3434.6 ± 1.7 |
MgO | 3.38 ± 0.40 | –9.4 ± 1.3 | 4.29 ± 0.41 | –0.943 ± 0.10 | 1.28 ± 0.20 | –3428.8 ± 1.2 |
CaO | –6.13 ± 0.87 | 22.2 ± 2.8 | –4.48 ± 0.87 | 1.51 ± 0.23 | –3.93 ± 0.45 | 766.9 ± 1.3 |
NaO0.5 | 5.75 ± 0.77 | –17.8 ± 2.4 | 6.29 ± 0.81 | –1.54 ± 0.21 | 2.75 ± 0.39 | –4060.1 ± 1.7 |
KO0.5 | –28.8 ± 4.2 | 102 ± 15 | –23.8 ± 3.7 | 7.18 ± 1.1 | –18.1 ± 2.5 | 10533.9 ± 4.8 |
*Принимая во внимание близость теплофизических характеристик твердых FeO и MnO, коэффициенты уравнения теплоемкости для MnO приравнены к коэффициентам для FeO. **В качестве меры погрешности приведены величины доверительного интервала на 95% уровне надежности.
Рис. 2. Результаты аппроксимации экспериментальных CLp согласно уравнению (5) с использованием коэффициентов из табл. 3.
Из табл. 3 следует, что все парциальные мольные коэффициенты уравнения (5), найденные на материале нашей большой выборки с широким диапазоном температуры, значимо отличаются от нуля.
Гистограмма на рис. 2 отчетливо демонстрирует, что разности межу расчетными и экспериментальными значениями теплоемкостей распределены по нормальному закону, что подтверждается критерием согласия. Анализ параметров использованной нами выборки показал, что ни одна из переменных (ни температуры, ни концентрации компонентов) в уравнении (5) не распределена по нормальному или близкому к нему закону и ни с одной из переменных по отдельности разности между экспериментальными и расчетными значениями не коррелируют. Следовательно, различия между экспериментальными и расчетными величинами можно рассматривать как случайные отклонения, вызванные аналитическими погрешностями, погрешностями измерения экспериментальных параметров и т.п. Это дает нам право применять аппарат математической статистики для анализа и оценки достоверности полученного решения.
Одним из статистически обоснованных критериев качества использованного уравнения является размер доверительного интервала линейной регрессии на заданном уровне значимости между экспериментальными и расчетными величинами. Преимуществом доверительных интервалов для оценки качества уравнения, по сравнению, например, со стандартными отклонениями, является их наглядность и то обстоятельство, что с ростом размера выборки доверительный интервал сужается.
На рис. 2 показано соотношение между рассчитанными и экспериментальными значениями теплоемкостей. Очевидно, что облако точек вытянуто вдоль линии равных значений и регрессионная прямая совпадает с линией равных значений. Вместе с тем облако точек имеет сравнительно рыхлую структуру, однако, благодаря большому объему выборки, погрешности (величины доверительных интервалов на 95% уровне надежности) нашего уравнения составляют менее ± 0.7 Дж · моль–1 · К–1, что существенно ниже погрешностей экспериментальных измерений. Это означает, что предсказанное нашим уравнением значение теплоемкости для того или иного состава и температуры с вероятностью 95% отличается от неизвестного истинного значения теплоемкости на величину не более 0.7 Дж · моль–1 · К–1. Среднее значение разностей между экспериментальными и расчетными значениями теплоемкостей неотличимо от 0 вплоть до 10 знака после запятой, что свидетельствует о несмещенности полученных оценок теплоемкостей. В 77% случаев разности рассчитанных и экспериментальных значений теплоемкостей лежат в пределах ±3 Дж · моль–1 · К–1.
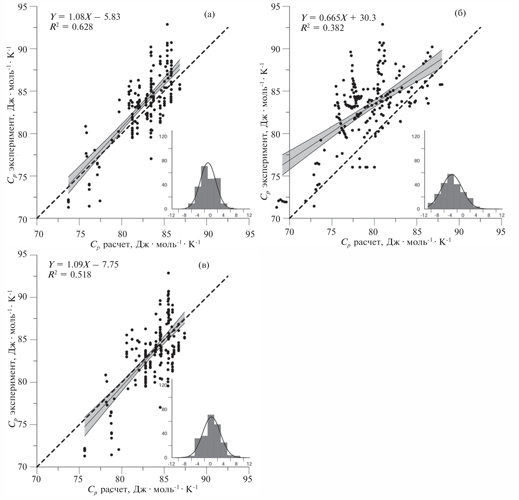
Для сравнения наших расчетов с результатами предыдущих исследований мы рассчитали значения теплоемкостей для экспериментальных составов и температур из нашей выборки, используя коэффициенты, полученные нашими предшественниками (Lange, Navrotsky, 1992; Richet, Bottinga, 1985; Stebbins et al., 1984). Результаты представлены на рис. 3.
Рис. 3. Результаты аппроксимации экспериментальных CLp согласно уравнениям, предложенным в работах: (а) – Стеббинса с соавторами (Stebbins et al., 1984); (б) – Рише и Боттинга (Richet, Bottinga, 1985); (в) – Ланге и Навротской (Lange, Navrotsky, 1992). Условные обозначения см. рис. 1.
Обращает внимание, что на двух из трех графиков линии равных значений находятся вне доверительных интервалов уравнений регрессии, гистограммы распределения погрешностей носят ассиметричный характер. Лучший результат демонстрирует уравнение Ланге и Навротски, однако и для него качество уравнения регрессии и гистограммы разностей заметно хуже, чем на рис. 2. Отличие свободного члена в уравнении регрессии от нуля и отклонение линейного члена от единицы свидетельствуют о том, что присутствует существенная систематическая ошибка. Попадание линии равных значений в коридор доверительного интервала определяется тем, что случайная ошибка (разброс значений) велика (R2 = 0.518), что приводит к существенному расширению доверительного интервала.
Таким образом, сравнение этих графиков с результатами, приведенными на рис. 2, демонстрирует преимущество нашего подхода.
РАСЧЕТ ЭНТАЛЬПИИ РАСПЛАВОВ В СТАНДАРТНОМ СОСТОЯНИИ (298.15 K, 1 бар)
может быть найдена путем обратной экстраполяции по уравнению (3), если для данного состава расплава измерена энтальпия хотя бы в одной точке (точка D на рис. 4). Если бы такие измерения были выполнены в достаточном количестве точек, позволяющих охарактеризовать весь диапазон составов природных магм, то, полагая, что является аддитивной функцией состава, можно было бы рассчитывать эту величину для всех промежуточных составов. Нам удалось обнаружить только три работы с прямым калориметрическим измерением энтальпии расплавов в системе альбит-анортит-диопсид-форстерит-волластонит (Kojitani, Akaogi, 1995; Navrotsky et al., 1989; Tarina et al., 1994). Заметим, что эти данные не могли быть использованы для расчета теплоемкостей расплавов, поскольку получены при постоянной температуре 1773 K. Этих экспериментальных данных недостаточно для того, чтобы охарактеризовать весь диапазон составов природных магм. Прежде всего, бросается в глаза отсутствие в этой системе таких важных компонентов, как FeO, Fe2O3, TiO2 и K2O.
Рис. 4. График иллюстрирует изменение энтальпии системы, представленной фазой постоянного состава, плавящейся конгруэнтно.
Траектория AB – нагрев твердой фазы; BC – плавление; CD – нагрев жидкой фазы; Tпл. – температура плавления; – энтальпия образования твердой фазы из простых веществ при стандартных условиях; – энтальпия образования расплава из простых веществ при стандартных условиях (константа интегрирования уравнения (3) для расплава).
Эту ограниченность экспериментальных данных можно преодолеть, если выборку дополнить данными об энтальпиях расплавов, отвечающих минералам постоянного состава. Для этого необходимо иметь сведения о , теплоемкости и теплоте плавления соответствующих твердых фаз. Исходя из уравнения (3), рассчитывается энтальпия минерала при температуре плавления (изменение энтальпии происходит по траектории АB на рис. 4). Затем к ней прибавляется скрытая теплота плавления. Таким образом, мы получаем множество значений энтальпии расплава () минералов стехиометрического состава с учетом скрытой теплоты плавления при температуре плавления фазы (точка C на рис. 4). Расчет энтальпии расплава в этом случае осуществляется простым добавлением к уравнению (3) для твердой фазы скрытой теплоты плавления:
(6)
где – энтальпия расплава, как функция состава и температуры; – энтальпия плавления минерала.
Необходимые для расчетов дополнительные сведения мы извлекли из следующих источников (База данных http://geopig.asu.edu/sites/default/files/slop07.dat, Наумов и др., 1971; Bouhifd et al., 2007; Leth-Miller et al., 2003; Richet, Bottinga, 1984; Robie, Hemingway, 1995; Robie et al., 1984; Sugawara, Akaogi, 2003; Sugawara, Akaogi, 2004).
Итоговая выборка III состояла из 101 набора вышеперечисленных данных, полученных в «сухих» условиях, для 67 составов расплавов (для ряда расплавов измерения выполнены при нескольких температурах, и для многих минералов разными авторами приведены несколько различающиеся данные). Следует заметить, что, в отличие от третьего типа сведений для выборки I, энтальпии получены относительно не стеклообразного, а стандартного состояния. Многогранник экспериментальных составов для выборки III, вовлеченных в процедуру расчета DfH0L, характеризуется следующими величинами (в мас.%): SiO2 от 0 до 69, TiO2 от 0 до 59, Al2O3 от 0 до 100, Fe2O3 от 0 до 100, FeO от 0 до 100, MnO от 0 до 70, MgO от 0 до 100, CaO от 0 до 48, Na2O от 0 до 51, K2O от 0 до 22. Поскольку большинство минералов состоит из нескольких оксидов, и, кроме того, в выборке присутствуют результаты плавления полиминеральных смесей, значительная часть экспериментальных составов лежит внутри этого многогранника. Все железосодержащие составы в нашей выборке представлены стехиометрическими минералами, в которых однозначно определены валентные формы железа и присутствует силикат марганца, мы сочли возможным провести статистическую обработку, принимая FeO1.5, FeO и MnO в качестве независимых компонентов расплава.
Энтальпия образования расплава из элементов может быть рассчитана двумя независимыми способами:
- Из уравнения (1.2) для расплава следует:
(7)
где – рассчитывается по уравнению (5). В результате мы получаем дискретные значения величины для 101 конкретного эксперимента.
- С учетом принятых постулатов, является аддитивной функцией состава расплава: , (8)
где – парциальная мольная энтальпия образования i-го компонента расплава из элементов при стандартных условиях. В этом случае зависимость от состава становится непрерывной функцией, определенной для всех точек внутри многогранника составов для выборки III для расчетов ; таким образом, по уравнению (8) можно рассчитывать для любого произвольного состава расплава, лежащего внутри многогранника составов для выборки III.
Для всех точек выборки III были получены по уравнению (7) значения . Для верификации предлагаемого аддитивного подхода мы разбили получившийся массив данных на две части. В меньшую (контрольную) часть, состоящую из 23 точек, вошли данные Тарина с соавторами (Tarina et al., 1994) и данные для пяти железосодержащих соединений (эгирина, ильменита, магнетита, фаялита и Ca2Fe2O5) из справочника (Robie et al., 1984), а в большую вошли все остальные данные. Большую выборку из 78 значений мы использовали для нахождения методом наименьших квадратов парциальных мольных энтальпий образования компонентов расплава из элементов при стандартных условиях (DfHi0L из уравнения (8)). Полученные значения были использованы для независимых расчетов по уравнению (8) для расплавов из контрольной выборки, содержащей 23 значения той же величины, рассчитанных по уравнению (7). Сопоставление полученных двумя независимыми методами результатов приведено на рис. 5.
Рис. 5. Сопоставление значений , рассчитанных по уравнениям (8) и (7) для контрольной выборки из 23 точек.
Условные обозначения см. рис. 1.
Великолепное согласие между величинами, полученными двумя независимыми методами, демонстрируют применимость аддитивного подхода, реализованного в уравнении (8).
Для того чтобы получить более статистически обоснованные значения выборки были объединены и методом наименьших квадратов найдены (из уравнения (8)) для каждого из компонентов. Результаты обработки приведены в итоговой табл. 3. Сопоставление двух наборов величин , полученных разными методами (по уравнениям (7) и (8)) приведено на рис. 6
Рис. 6. Сопоставление значений , рассчитанных по уравнениям (8) и (7) для общей выборки из 101 точки.
Условные обозначения см. рис. 1.
Проведенный статистический анализ параметров распределения разностей между рассчитанными по уравнениям (7) и (8) значениями доказал, что они подчиняются нормальному закону, что убедительно демонстрирует приведенная на рис. 6 гистограмма. Это позволяет применять аппарат математической статистики для анализа и оценки достоверности полученного решения.
В качестве меры погрешности уравнения мы использовали величину доверительного интервала на 95% уровне надежности. Этот интервал для нашей выборки составляет от ±1.4 до ±4.0 кДж · моль–1, а для составов, представляющих петрологический интерес, не превышает ±1.8 кДж · моль–1.
Практически идеальная линейная взаимосвязь между полученными по независимым уравнениям (7) и (8) значениями DfH0L (рис. 6) для экспериментальных расплавов означает, что можно корректно рассчитывать константы интегрирования в уравнениях вида (3) для расчета энтальпий расплавов произвольного состава, находящихся в пределах многогранника составов для выборки III. Очевидно, поскольку составы всех природных магм не выходят за его пределы (см. выше), для них могут быть рассчитаны соответствующие константы интегрирования.
РАСЧЕТ ЭНТАЛЬПИИ СИЛИКАТНОГО РАСПЛАВА ПРОИЗВОЛЬНОГО СОСТАВА
Найденные парциальные мольные коэффициенты, приведенные в табл. 3, позволяют рассчитывать энтальпии произвольных расплавов с учетом скрытой теплоты плавления. С учетом уравнений (5) и (8) уравнение Кирхгофа (1) для жидкой фазы преобразуется к виду:
. (9)
Для составов, входящих в выборку III, мы сопоставили результаты расчетов по уравнению (9) с результатами прямых экспериментальных измерений (Kojitani, Akaogi, 1995; Navrotsky et al., 1989; Tarina et al., 1994) с дополненными значениями , рассчитанными по уравнению (6) (траектория АВС на рис. 4). Результаты сопоставления показаны на рис. 7.
Рис. 7. Сопоставление результатов независимых оценок HL(X, T), полученных двумя методами.
Условные обозначения см. рис. 1.
Применение критерия согласия и вид гистограммы для разностей между оценками , полученными двумя независимыми методами, свидетельствует об их нормальном распределении. Это позволяет использовать в качестве меры погрешности аппроксимации величину доверительного интервала.
Величина доверительного интервала линейной регрессии на 95% уровне надежности составляет от ±5 до ±26 кДж · моль–1. Максимальная ширина доверительного интервала достигается при максимальных значениях энтальпии и не превышает ±2 отн.%. Практически во всем диапазоне энтальпий линия равных значений не выходит за пределы доверительного интервала. Среднее значение разностей между экспериментальными и расчетными значениями 0.35 кДж · моль–1.
ЗАКЛЮЧЕНИЕ
Полученные результаты показывают, что принятые нами постулаты и допущения оправданны, не нуждаются в дальнейшем уточнении и дают возможность рассчитать энтальпию силикатного расплава произвольного состава с точностью, сопоставимой с экспериментальной. Среди всех принятых нами допущений наиболее дискуссионным является то, что энтальпия расплава есть аддитивная функция парциальных энтальпий компонентов расплава. Не стоит считать, что мы игнорируем многочисленные работы, посвященные определению энтальпии смешения компонентов в силикатном расплаве. Дело в том, что коэффициенты в уравнении (9) получены путем статистической обработки результатов прямых измерений теплоемкости и энтальпии реальных расплавов. В этих измерениях с неизбежностью учтена неидеальность силикатных расплавов. Согласие между прямыми экспериментальными определениями и результатами нашего расчета (рис. 7) говорит о том, что энтальпия смешения компонентов расплава в неявном виде учтена в полученных парциальных мольных коэффициентах. То есть аналогичные коэффициенты, рассчитанные из экспериментальных данных для чистых оксидов, будут отличаться от полученных нами. Следовательно, параметры из табл. 3 применимы только в пределах использованного многогранника составов, отвечающего составам природных лав. За его пределами ошибка расчета будет неизбежно возрастать. Предложенный подход позволяет выполнять корректное моделирование тепломассопереноса в магматических процессах с учетом эффектов плавления – кристаллизации при давлении 1 бар. Однако приложение этого подхода к системам при повышенных давлениях требует дальнейших исследований.
Благодарности. Авторы благодарны В.Б. Полякову (ИЭМ РАН), Е.Г. Осадчему (ИЭМ РАН), А.А. Арискину (МГУ) и В.О. Осадчему (МГУ) за полезные советы и замечания, способствовавшие улучшению статьи.
About the authors
D. A. Bychkov
Moscow State University
Author for correspondence.
Email: dmibychkov@gmail.com
Geological Faculty
Russian Federation, 1, Leninskie gory, Moscow, 119991E. V. Koptev-Dvornikov
Moscow State University
Email: ekoptev@geol.msu.ru
Geological Faculty
Russian Federation, 1, Leninskie gory, Moscow, 119991References
- Арискин А.А., Бармина Г.С. Моделирование фазовых равновесий при кристаллизации базальтовых магм. М.: МАИК «Наука/Интерпериодика», 2000. 363 с.
- Богатиков О.А., Косарева Л.В., Шарков Е.В. Средние химические составы магматических горных пород: Справочник. М.: Недра, 1987. 152 с.
- Наумов Г.Б., Рыженко Б.Н., Ходаковский И.Л. Справочник термодинамических величин (для геологов). М.: Атомиздат, 1971. 240 с.
- Френкель М.Я. Тепловая и химическая динамика дифференциации базитовых магм. М.: Наука, 1995. 239 с.
- Френкель М.Я., Ярошевский А.А., Арискин А.А., и др. Динамика внутрикамерной дифференциации базитовых магм. М.: Наука, 1988. 216 с.
- Asimow P.D., Ghiorso M.S. Algorithmic modifications extending MELTS to calculate subsolidus phase relations // Amer. Mineral. 1998. V. 83. № 9–10. P. 1127–1132.
- Bouhifd M.A., Courtial P., Richet P. Configurational heat capacities: alkali vs. alkaline-earth aluminosilicate liquids // Journal of Non-Crystalline Solids. 1998. V. 231. № 1–2. P. 169–177.
- Bouhifd M.A., Whittington A.G., Roux J., Richet P. Effect of water on the heat capacity of polymerized aluminosilicate glasses and melts // Geochim. Cosmochim. Acta. 2006. V. 70. P. 711–722.
- Bouhifd M.A., Besson P., Courtial P., et al. Thermochemistry and melting properties of basalt // Contrib. Mineral. Petrol. 2007. V. 153. P. 689–698.
- Bouhifd M.A., Whittington A.G., Withers A.C., Richet P. Heat capacities of hydrous silicate glasses and liquids // Chemical Geology. 2013. V. 346. P. 125–134.
- Courtial P., Richet P. Heat capacity of magnesium aluminosilicate melts // Geochim. Cosmochim. Acta. 1993. V. 57. P. 1267–1275.
- Di Genova D., Romano C., Giordano D., Alletti M. Heat capacity, configurational heat capacity and fragility of hydrous magmas // Geochim. Cosmochim. Acta. 2014. V. 142. P. 314–333.
- Ghiorso M.S., Sack R.O. Chemical mass transfer in magmatic processes IV. A revised and internally consistent thermodynamic model for the interpolation and extrapolation of liquid-solid equilibria in magmatic systems at elevated temperatures and pressures // Contrib. Mineral. Petrol. 1995. V. 119. № 2–3. P. 197–212.
- Ghiorso M.S., Hirschmann M.M., Reiners P.W., Kress V.C. The pMELTS: A revision of MELTS for improved calculation of phase relations and major element partitioning related to partial melting of the mantle to 3 GPa //Geochemistry, Geophysics, Geosystems. 2002. V. 3. № 5. P. 1–35.
- Ghiorso M.S., Gualda G.A.R. An H2O-CO2 mixed fluid saturation model compatible with рhyolite-MELTS // Contrib. Mineral. Petrol. 2015. V. 169. № 6. P. 1–30.
- Gualda G.A.R., Ghiorso M.S., Lemons R.V., Carley T.L. Рhyolite-MELTS: a modified calibration of MELTS optimized for silica-rich, fluid-bearing magmatic systems // J. Petrol. 2012. V. 53. № 5. P. 875–890.
- Haas Jr J.L., Fisher J.R. Simultaneous evaluation and correlation of thermodynamic data //Amer. J. Sci. (United States). 1976. V. 276. № 4. P. 525–545.
- Kojitani H., Akaogi M. Measurement of heat of fusion of model basalt in the system Diopside-forsterite-anorthite // Geoph. Res. Lett. 1995. V. 22. № 17. P. 2329–2332.
- Lange R.A., Navrotsky A. Heat capacities of Fe2O3-bearing silicate liquids // Contrib. Mineral. Petrol. 1992. V. 110. P. 311–320.
- Lange R.A., Navrotsky A. Heat capacities of TiO2-bearing silicate liquids: Evidence for anomalous changes in configurational entropy with temperature // Geochim. Cosmochim. Acta. 1993. V. 57. P. 3001–3011.
- Lange R.A., De Yoreo J.J., Navrotsky A. Scanning calorimetric measurement of heat capacity during incongruent melting of diopside // Amer. Mineral. 1991. V. 76. P. 904–912.
- Lange R.A., Cashman K.V., Navrotsky A. Direct measurements of latent heat during crystallization and melting of a ugandite and an olivine basalt // Contrib. Mineral. Petrol. 1994. V. 118. № 2. P. 169–181.
- Leth-Miller R., Jensen A.D., Glarborg P., et al. Experimental investigation and modelling of heat capacity, heat of fusion and melting interval of rocks // Thermochimica Acta. 2003. V. 406. № 1–2. P. 129–142.
- Maier C.G., Kelley K.K. An equation for the representation of high-temperature heat content data // J. Amer. Chem. Soc. 1932. V. 54. № 8. P. 3243–3246.
- Navrotsky A., Ziegler D., Oestrike R., Maniar P. Calorimetry of silicate melts at 1773 K: measurement of enthalpies of fusion and of mixing in the systems diopside-anorthite-albite and anorthite-forsterite // Contrib. Mineral. Petrol. 1989. V. 101. P. 122–130.
- Richet P., Bottinga Y. Anorthite, andesine, wollastonite, diopside, cordierite and pyrope: thermodynamics of melting, glass transitions, and properties of the amorphous phases // Earth Planet. Sci. Lett. 1984. V. 67. P. 415–432.
- Richet P., Bottinga Y. Heat capacity of aluminum-free liquid silicates // Geochim. Cosmochim. Acta. 1985. V. 49. P. 471–486.
- Richet P., Neuville D.R. Thermodynamics of silicate melts: Configurational properties // Thermodynamic Data: Systematics and Estimation Advances in Physical Geochemistry. Springer-Verlag, 1992. P. 132–161.
- Robert G., Whittington A.G., Stechern A., Behrens H. Heat capacity of hydrous basaltic glasses and liquids // Journal of Non-Crystalline Solids. 2014. V. 390. P. 19–30.
- Robie R.A., Hemingway B.S. Thermodynamic properties of minerals and related substances at 298.15 K and 1 bar (105 pascals) pressure and at higher temperatures // US Geol. Sur. Bull. 2131. 1995. 461 p.
- Robie R.A., Hemingway B.S., Fisher J.H. Thermodynamic Properties of Minerals and Related Substances at 298.15 K and 1 Bar (105 Pascals) Pressure and at Higher Temperatures // US Geol. Sur. Bull. 1452. 1984. 456 p.
- Roskosz M., Toplis M., Richet P. The structural role of Ti in aluminosilicate liquids in the glass transition range: insights from heat capacity and shear viscosity measurements // Geochim. Cosmochim. Acta. 2004. V. 68. № 3. P. 591–606.
- Stebbins J.F., Carmichael I.S.E., Moret L.K. Heat capacities and entropies of silicate liquids and glasses // Contrib. Mineral. Petrol. 1984. V. 86. P. 131–148.
- Sugawara T., Akaogi M. Heats of mixing of silicate liquid in the systems diopside-anorthite-akermanite, diopside-anorthite-forsterite, and diopside-silica // Amer. Mineral. 2003. V. 88. № 7. P. 1020–1024.
- Sugawara T., Akaogi M. Calorimetry of liquids in the system Na2O-Fe2O3-SiO2 // Amer. Mineral. 2004. V. 89. № 11–12. P. 1586–1596.
- Tangeman J.A., Lange R.A. The effect of Al3+, Fe3+, and Ti4+ on the configurational heat capacities of sodium silicate liquids // Physics and Chemistry of Minerals. 1998. V. 26. № 2. P. 83–99.
- Tarina I., Navrotsky A., Gan H. Direct calorimetric measurement of enthalpies in diopside-anorthite-wollastonite melts at 1773 K // Geochim. Cosmochim. Acta. 1994. V. 58. P. 3665–3673.
- Webb S.L. Configurational heat capacity and viscosity of (Mg, Ca, Sr, Ba)O-Al2O3-SiO2 melts // European Journal of Mineralogy. 2011. V. 23. № 4. P. 487–497.
Supplementary files
