Состав и условия образования примитивных магм Карымского вулканического центра (Камчатка) по данным изучения расплавных включений и микроэлементной термобарометрии
- Авторы: Тобелко Д.П.1, Портнягин М.В.1,2, Крашенинников С.П.1, Гриб Е.Н.3, Плечов П.Ю.1,4,5
-
Учреждения:
- Институт геохимии и аналитической химии им. В.И. Вернадского РАН
- Центр исследования океана им. Гельмгольца ГЕОМАР
- Институт вулканологии и сейсмологии ДВО РАН
- Московский государственный университет им. М.В. Ломоносова, Геологический факультет
- Минералогический музей им. А.Е. Ферсмана РАН
- Выпуск: Том 27, № 3 (2019)
- Страницы: 258-281
- Раздел: Статьи
- URL: https://journals.eco-vector.com/0869-5903/article/view/12708
- DOI: https://doi.org/10.31857/S0869-5903273258-281
- ID: 12708
Цитировать
Полный текст
Аннотация
Представлены результаты изучения природно- и экспериментально закаленных расплавных включений в магнезиальном оливине (Fo77-89) из образца базальта Карымского вулканического центра, расположенного в центральном сегменте Восточного вулканического фронта Камчатки. Условия образования родоначальных магм оценены с помощью современных методов микроэлементной термометрии. Используя данные прямого измерения Н2О во включениях и данные термометрии сосуществующих оливина и шпинели показано, что родоначальные расплавы содержали не менее 4.5 мас.% Н2О, кристаллизовались при 1114 ± 27°С, летучести кислорода ∆QFM = 1.5 ± 0.4. Полученные оценки содержания H2O и температур кристаллизации являются одними из первых и в настоящий момент самыми надежными данными для Восточного вулканического фронта Камчатки. Первичный расплав Карымского вулканического центра имеет перидотитовый источник и мог быть получен в результате ~ 12–17% плавления обогащенного источника MORB (E-DMM) при ~ 1230–1250°C, ~ 1.5 ГПа. Установленные нами оценки температур плавления мантии под Камчаткой несколько ниже, чем полученные ранее, и свидетельствуют о температурах плавления мантии под Камчаткой до 50°С ниже солидуса «сухого» перидотита под воздействием водосодержащего расплава из субдуцирующей плиты. Комплексный подход к оценке исходного содержания Н2О в расплавах, применяемый в настоящей работе, позволит получить более надежные результаты в будущих исследованиях и, возможно, понизить значения температур в мантийном клине над зонами субдукции.
Ключевые слова
Полный текст
ВВЕДЕНИЕ
Магматизм конвергентных окраин литосферных плит – совокупность процессов, связанных с субдукцией океанической литосферы, ее дегидратацией при высоких температурах и давлениях и взаимодействием водосодержащих флюидов и расплавов с мантийным клином, вызывающим его частичное плавление (Stolper et al., 1994; Schmidt et al., 1998; van Keken et al., 2002; Portnyagin et al., 2007; Kelley et al., 2010; Grove et al., 2012). Содержание воды в магмах также оказывает огромное влияние на кристаллизацию магм, их реологические свойства и характер вулканических извержений (Sisson, Grove, 1993; Lange et al., 1994; Sparks et al., 1994). Поэтому существующие модели островодужного магматизма принципиально зависят от точности оценок первичного содержания воды в магмах.
Камчатка является регионом активного вулканизма, связанного с субдукцией Тихоокеанской плиты под Евразийскую континентальную окраину (Gorbatov et al., 1997). Именно для Камчатки были получены одни из первых региональных данных по содержанию Н2О в примитивных магмах на основе изучения расплавных включений в магнезиальном оливине, которые оказали влияние на современные модели образования островодужных магм. В работе (Portnyagin et al., 2007) были сделаны оценки исходного содержания Н2О и состава субдукционного компонента для пяти вулканов Камчатки. Установленные содержания составили в среднем около 3 мас.%. Ключевым результатом этой работы было доказательство преимущественно индуцированного водосодержащим компонентом плавления мантии под Камчаткой при температурах вблизи «сухого» солидуса мантийного перидотита. Эти данные активно использовались в последующих исследованиях. Так, в работе (Plank et al., 2009) было показано, что температуры субдуцирующей плиты, оцененные с помощью геотермометра на основе Н2О/Ce отношения в магмах Камчатки, находятся в соответствии с термальной моделью Камчатской зоны субдукции (van Keken et al., 2002). Полученные оценки оказались также близки к средним значениям для примитивных островодужных магм (3.3 ± 1.2 мас.%, Ruscitto et al., 2012).
В последующие 10 лет после публикации работы (Portnyagin et al., 2007) происходило параллельное накопление новой информации по содержанию Н2О в примитивных островодужных магмах (см. обзорные работы Ruscitto et al., 2012; Plank et al., 2013) и более детальное изучение способности расплавных включений сохранять свой состав после захвата оливином, что принципиально важно для интерпретации природных данных. В результате этих исследований были получены многочисленные свидетельства того, что вследствие быстрой диффузии водорода через оливин вода может теряться из расплавных включений при декомпрессии магм и их медленном остывании после извержения (например, Portnyagin et al., 2008; Chen et al., 2011; Gaetani et al., 2012; Bucholz et al., 2013; Lloid et al., 2013). Авторы работы (Plank et al., 2013) обобщили доступные к тому времени сведения, оценили среднее содержание H2O как 3.9 ± 0.4 мас.% и пришли к выводу, что эти значения в примитивных расплавных включениях варьируют в меньшей степени, чем это можно было бы ожидать, исходя из большого разнообразия субдукционных зон. Результаты настоящей работы поставили вопрос, чем буферируется такое содержание Н2О: условиями мантийного плавления или условиями коровой дифференциации магм и частичной потерей Н2О из включений?
Результаты, полученные для вулканов Камчатки в последние годы, показывают, что оцененные ранее содержания Н2О в расплавах, вероятно, являются минимальными. Экспериментальная гомогенизация расплавных включений в высокомагнезиальном оливине из пород Ключевского вулкана при высоких давлениях (Mironov et al., 2015) показала, что эти включения имели исходные содержания Н2О не менее 4–5 мас.%. Каменецкий В.С. с соавторами (Kamenetsky et al., 2017) обнаружили, что исходные расплавы Толбачинского Дола также имели около 5 мас.% Н2О на основе анализа очень крупных (> 100 мкм) и, следовательно, менее подверженных потере водорода включений. В обоих примерах новые оценки исходных содержаний H2O в магмах на 1–2 мас.% выше, чем предполагалось ранее (Sobolev, Chaussidon, 1994; Хубуная, Соболев, 1998; Portnyagin et al., 2007).
Приведенные примеры показывают, что исходное содержание воды в островодужных магмах в целом, и магмах Камчатки в частности, должно быть пересмотрено на основе детальных исследований конкретных объектов и применения независимых методов оценки исходного содержания Н2О в островодужных магмах (Sobolev et al., 2016; Назарова и др., 2017). Для магм Восточного вулканического фронта Камчатки эта задача особенно актуальна, поскольку для этого региона данные прямого измерения содержаний H2O в примитивных расплавных включениях крайне малочисленны (Portnyagin et al., 2007). В настоящей работе мы приводим первые оценки исходного содержания Н2О, условий кристаллизации и образования примитивных расплавов Восточного вулканического фронта, полученные при исследовании составов минералов и расплавных включений в высокомагнезиальном оливине из пород Карымского вулканического центра.
Рис. 1. Cхема геологического строения Карымского вулканического центра. Звездочкой обозначено место отбора обр. K6-06. На врезке показано положение Карымского вулканического центра на Камчатке.
ХАРАКТЕРИСТИКА ОБЪЕКТА ИССЛЕДОВАНИЯ
Карымский вулканический центр расположен в центральном сегменте Восточного вулканического фронта Камчатки и представляет собой крупную вулкано-тектоническую структуру (рис. 1), которая состоит из множества вулканических построек дифференцированного состава плиоцен-четвертичного возраста (Иванов, 1970; Braitseva, Melekestsev, 1991). Вулкан Карымский приурочен к центру одноименной кальдеры, которая образовалась в результате катастрофического эксплозивного извержения ~ 7700 лет назад (Вулканический центр…, 1980; Braitseva et al., 1995) в результате серии извержений пемзовой пирокластики. После образования кальдеры обрушения деятельность вулканического центра приостановилась почти на 2000 лет. Новая вспышка активности связана с образованием молодого стратовулкана в кальдере (~ 5300 лет назад) и продолжалась ~ 3000 лет. Мощные выбросы андезито-базальтовой и андезитовой пирокластики чередовались с излияниями андезитовых лав. После некоторого перерыва (~ 500 лет назад) снова началась активизация вулкана, выражавшаяся в выбросах пирокластики и излияниях лав андезитового состава. Этот период активности продолжается до настоящего времени. Последнее извержение Карымского вулкана, началось утром 2 января 1996 г. Результаты изучения пород Карымского вулканического центра описаны в ряде петролого-геохимических работ (например, Гриб, Перепелов, 2008; Izbekov et al., 2004). Расплавные включения в минералах базальтов извержения 1996 г. и более дифференцированных разностях пород изучались в работах (Толстых и др., 2001; Наумов и др., 2008; Портнягин и др., 2011). Наиболее магнезиальный оливин в базальтах извержения 1996 г. имеет состав Fo82 (Izbekov et al., 2004; Портнягин и др., 2011), что отвечает значительной степени кристаллизации исходных мантийных расплавов.
В настоящей работе изучались голоценовые оливинсодержащие базальты, описанные в озерной террасе, эродированной цунами во время извержения 1996 г., на северо-восточном борту Карымского озера. Образцы отобраны из слоя бомбовых шлаков базальтов видимой мощностью до одного метра в основании террасы. Предполагаемый возраст извержения составляет 4800 лет назад (Гриб, Перепелов, 2008). В настоящее время этот слой шлаков практически замыт. Нами детально был изучен образец базальтового шлака (обр. K6-06 в табл. 1), соответствующий обр. 4800 в работах (Гриб, Перепелов, 2008; Гриб, 2007), в котором был описан высокомагнезиальный оливин состава Fo89. Порода состоит из вкрапленников оливина, клинопироксена и плагиоклаза и пористой стекловатой основной массы, содержащей также микролиты плагиоклаза, клинопироксена и титаномагнетита. Размеры вкрапленников составляют от 100 мкм до 1.5 мм, микролитов – от первых десятков до 70 мкм; количество вкрапленников около 20 об.%. Также нами изучались составы вкрапленников оливина, расплавных включений и включений хромистой шпинели в оливине.
Таблица 1. Состав породы (обр. K6-06) и измеренные на электронном микрозонде и пересчитанные на равновесие с минералом-хозяином составы расплавных включений в оливине из этой породы
Компоненты | Состав породы | Измеренный состав расплавных включений | ||||||
после эксперимента | природные | |||||||
K6-06 | 1е | 3е | 4е | 5bе | 6е | 2 | 3 | |
SiO2 | 51.34 | 46.22 | 46.43 | 45.18 | 47.43 | 46.25 | 49.34 | 48.17 |
TiO2 | 0.83 | 0.78 | 0.65 | 0.60 | 0.76 | 0.65 | 0.90 | 0.84 |
Al2O3 | 15.29 | 12.21 | 12.40 | 11.94 | 12.94 | 12.49 | 17.39 | 17.20 |
FeO | 9.86 | 15.53 | 9.92 | 13.82 | 12.75 | 10.22 | 5.14 | 6.19 |
MnO | 0.2 | 0.25 | 0.13 | 0.24 | 0.22 | 0.17 | 0.12 | 0.08 |
MgO | 6.9 | 12.34 | 13.75 | 13.20 | 10.77 | 12.87 | 3.09 | 3.47 |
CaO | 9.93 | 7.73 | 10.50 | 8.91 | 8.63 | 11.56 | 14.48 | 15.76 |
Na2O | 2.66 | 1.87 | 1.83 | 1.57 | 2.29 | 1.75 | 2.52 | 2.33 |
K2O | 0.69 | 0.28 | 0.34 | 0.35 | 0.48 | 0.33 | 0.43 | 0.49 |
P2O5 | 0.11 | 0.09 | 0.08 | 0.08 | 0.08 | 0.09 | 0.11 | 0.11 |
S | – | 0.14 | 0.17 | 0.09 | 0.17 | 0.18 | 0.23 | 0.28 |
F | – | 0.04 | 0.00 | 0.01 | 0.04 | 0.01 | 0.00 | 0.03 |
Cl | – | 0.05 | 0.06 | 0.07 | 0.07 | 0.05 | 0.09 | 0.06 |
Fo Ol-хозяина | 82.2* | 80.1 | 88.0 | 83.0 | 83.8 | 87.4 | 87.8 | 87.2 |
Сумма | 97.8 | 97.5 | 96.3 | 96.1 | 96.6 | 96.6 | 93.8 | 95.0 |
H2O, Raman | – | 3.17 | – | 3.28 | – | 2.70 | 4.39 | 3.18 |
H2O, SIMS | – | – | – | – | – | – | – | – |
D включения | – | 57.5 | 50.5 | 77 | – | 42 | 143 | 68.5 |
D пузыря | – | – | – | – | – | – | 29 | |
Составы в равновесии с оливином-хозяином | ||||||||
SiO2 |
| 51.42 | 49.30 | 50.19 | 51.40 | 48.84 | 49.47 | 48.49 |
TiO2 |
| 1.09 | 0.77 | 0.82 | 0.93 | 0.75 | 0.76 | 0.73 |
Al2O3 | 17.08 | 14.53 | 16.34 | 15.81 | 14.51 | 14.65 | 14.91 | |
FeO | 9.86 | 9.86 | 9.86 | 9.86 | 9.86 | 9.86 | 9.86 | |
MnO | 0.35 | 0.15 | 0.33 | 0.27 | 0.20 | 0.10 | 0.07 | |
MgO | 6.10 | 10.26 | 7.31 | 7.51 | 9.68 | 10.18 | 9.49 | |
CaO | 10.78 | 12.30 | 12.22 | 10.54 | 13.46 | 12.21 | 13.70 | |
Na2O | 2.62 | 2.14 | 2.16 | 2.81 | 2.03 | 2.12 | 2.02 | |
K2O | 0.39 | 0.40 | 0.48 | 0.59 | 0.38 | 0.37 | 0.42 | |
P2O5 | 0.13 | 0.09 | 0.12 | 0.09 | 0.11 | 0.09 | 0.10 | |
T «сухая», °C | 1138 | 1248 | 1164 | 1190 | 1228 | 1246 | 1223 | |
Компоненты | Измеренный состав расплавных включений | ||||||||
природные | |||||||||
5a | 5b | 25 | 143 | k2 | k3 | k4 | k6 | k7a | |
SiO2 | 48.39 | 48.79 | 48.22 | 47.88 | 50.96 | 48.92 | 49.27 | 48.92 | 52.29 |
TiO2 | 0.82 | 0.87 | 0.82 | 0.81 | 0.94 | 0.85 | 0.85 | 0.84 | 0.85 |
Al2O3 | 16.80 | 17.22 | 17.09 | 16.98 | 18.09 | 17.30 | 17.39 | 17.36 | 18.55 |
FeO | 6.19 | 6.47 | 6.13 | 6.28 | 5.48 | 5.92 | 5.15 | 6.17 | 5.20 |
MnO | 0.07 | 0.13 | 0.12 | 0.14 | 0.11 | 0.16 | 0.12 | 0.07 | 0.19 |
MgO | 3.58 | 3.37 | 3.47 | 3.67 | 3.30 | 3.64 | 3.16 | 3.75 | 3.34 |
CaO | 14.48 | 14.27 | 15.37 | 15.20 | 11.40 | 14.77 | 15.62 | 14.27 | 10.03 |
Na2O | 2.49 | 2.55 | 2.29 | 2.44 | 3.19 | 2.58 | 2.43 | 2.79 | 3.50 |
K2O | 0.48 | 0.48 | 0.49 | 0.50 | 0.68 | 0.51 | 0.57 | 0.56 | 0.83 |
P2O5 | 0.13 | 0.13 | 0.11 | 0.10 | 0.13 | 0.10 | 0.10 | 0.12 | 0.13 |
S | 0.22 | 0.24 | 0.28 | 0.25 | 0.21 | 0.22 | 0.29 | 0.25 | 0.21 |
F | 0.00 | 0.05 | 0.00 | 0.03 | 0.01 | 0.03 | 0.04 | 0.00 | 0.03 |
Cl | 0.08 | 0.07 | 0.07 | 0.08 | 0.10 | 0.08 | 0.09 | 0.10 | 0.08 |
Fo Ol-хозяина | 86.4 | 85.2 | 86.8 | 86.8 | 86.7 | 87.2 | 88.7 | 86.1 | 86.3 |
Сумма | 93.7 | 94.6 | 94.5 | 94.4 | 94.9 | 95.4 | 95.5 | 95.6 | 95.5 |
H2O, Raman | – | 3.18 | – | – | 6.41 | 3.00 | 5.23 | 3.51 | 5.14 |
H2O, SIMS | – | – | – | – | 4.65 | 3.97 | 3.89 | 3.64 | 4.79 |
D включения | 128.5 | 91 | – | – | 190 | 124 | 34.5 | 151.8 | 58 |
D пузыря | – | – | – | – | 34.8 | – | 17.2 | – | – |
Составы в равновесии с оливином-хозяином | |||||||||
SiO2 | 49.38 | 49.54 | 48.79 | 48.67 | 50.87 | 49.04 | 48.79 | 49.27 | 51.68 |
TiO2 | 0.73 | 0.78 | 0.72 | 0.72 | 0.81 | 0.74 | 0.70 | 0.75 | 0.73 |
Al2O3 | 15.01 | 15.50 | 15.00 | 15.09 | 15.59 | 14.95 | 14.22 | 15.41 | 15.89 |
FeO | 9.86 | 9.86 | 9.86 | 9.86 | 9.86 | 9.86 | 9.86 | 9.86 | 9.86 |
MnO | 0.06 | 0.12 | 0.11 | 0.13 | 0.10 | 0.14 | 0.10 | 0.06 | 0.16 |
MgO | 9.03 | 8.26 | 9.27 | 9.14 | 9.31 | 9.54 | 10.81 | 8.69 | 9.05 |
CaO | 12.95 | 12.89 | 13.51 | 13.49 | 9.82 | 12.77 | 12.77 | 12.67 | 8.59 |
Na2O | 2.22 | 2.30 | 2.01 | 2.17 | 2.75 | 2.23 | 1.99 | 2.48 | 3.00 |
K2O | 0.43 | 0.44 | 0.43 | 0.44 | 0.59 | 0.44 | 0.47 | 0.50 | 0.71 |
P2O5 | 0.11 | 0.11 | 0.10 | 0.09 | 0.11 | 0.09 | 0.08 | 0.11 | 0.11 |
T «сухая», °C | 1215 | 1193 | 1217 | 1216 | 1243 | 1229 | 1260 | 1210 | 1248 |
Компоненты | Измеренный состав расплавных включений | ||||||||
природные | |||||||||
k7b | k8 | k9 | k11 | k12 | k13 | k15 | k16a | k16c | |
SiO2 | 49.61 | 53.34 | 53.39 | 53.24 | 46.77 | 50.70 | 49.47 | 56.41 | 48.34 |
TiO2 | 0.83 | 1.00 | 1.01 | 1.02 | 0.79 | 0.86 | 0.84 | 1.00 | 0.75 |
Al2O3 | 17.32 | 17.73 | 17.37 | 17.50 | 16.15 | 17.92 | 16.97 | 17.64 | 15.73 |
FeO | 5.63 | 5.57 | 8.17 | 6.88 | 7.28 | 6.40 | 5.77 | 7.02 | 7.42 |
MnO | 0.18 | 0.10 | 0.16 | 0.13 | 0.16 | 0.17 | 0.15 | 0.26 | 0.18 |
MgO | 3.91 | 3.05 | 2.59 | 2.39 | 3.81 | 3.13 | 3.99 | 2.45 | 3.18 |
CaO | 14.90 | 10.08 | 9.38 | 9.76 | 13.80 | 12.74 | 14.70 | 9.33 | 13.97 |
Na2O | 2.51 | 3.56 | 3.42 | 3.38 | 2.54 | 2.84 | 2.50 | 3.84 | 2.31 |
K2O | 0.53 | 0.82 | 0.80 | 0.82 | 0.48 | 0.57 | 0.53 | 0.94 | 0.53 |
P2O5 | 0.10 | 0.14 | 0.16 | 0.17 | 0.12 | 0.14 | 0.10 | 0.15 | 0.11 |
S | 0.25 | 0.16 | 0.17 | 0.18 | 0.21 | 0.20 | 0.23 | 0.12 | 0.25 |
F | 0.05 | 0.08 | 0.10 | 0.03 | 0.08 | 0.02 | 0.03 | 0.04 | 0.05 |
Cl | 0.09 | 0.09 | 0.09 | 0.10 | 0.07 | 0.08 | 0.07 | 0.09 | 0.08 |
Fo Ol-хозяина | 87.2 | 85.9 | 76.8 | 79.4 | 83.5 | 83.3 | 87.2 | 80.3 | 83.4 |
Сумма | 96.3 | 96.0 | 97.0 | 95.8 | 92.6 | 96.1 | 95.7 | 99.5 | 93.3 |
H2O, Raman | 3.50 | 4.87 | 4.13 | 6.67 | – | – | 2.18 | 2.24 | – |
H2O, SIMS | 3.67 | 4.37 | 4.83 | 4.62 | – | – | 3.42 | 2.43 | – |
D включения | 56.2 | 60.7 | 46.4 | 36.55 | 39.9 | – | 26.8 | 119.6 | – |
D пузыря | – | – | – | – | 12 | – | – | – | – |
Составы в равновесии с оливином-хозяином | |||||||||
SiO2 | 49.22 | 52.44 | 53.94 | 53.61 | 49.46 | 50.81 | 49.40 | 54.47 | 50.52 |
TiO2 | 0.71 | 0.86 | 0.97 | 0.95 | 0.77 | 0.78 | 0.73 | 0.89 | 0.72 |
Al2O3 | 14.82 | 15.17 | 16.67 | 16.26 | 15.78 | 16.16 | 14.68 | 15.67 | 15.00 |
FeO | 9.86 | 9.86 | 9.86 | 9.86 | 9.86 | 9.86 | 9.86 | 9.86 | 9.86 |
MnO | 0.15 | 0.09 | 0.15 | 0.12 | 0.16 | 0.15 | 0.13 | 0.23 | 0.17 |
MgO | 9.59 | 8.85 | 4.95 | 5.80 | 7.22 | 7.35 | 9.57 | 5.98 | 7.39 |
CaO | 12.75 | 8.62 | 9.00 | 9.07 | 13.49 | 11.49 | 12.72 | 8.29 | 13.32 |
Na2O | 2.15 | 3.05 | 3.28 | 3.14 | 2.48 | 2.56 | 2.16 | 3.41 | 2.20 |
K2O | 0.45 | 0.70 | 0.77 | 0.76 | 0.47 | 0.51 | 0.46 | 0.84 | 0.51 |
P2O5 | 0.09 | 0.12 | 0.15 | 0.16 | 0.12 | 0.13 | 0.09 | 0.13 | 0.11 |
T «сухая», °C | 1230 | 1245 | 1127 | 1155 | 1162 | 1176 | 1230 | 1173 | 1165 |
Примечание. Содержания оксидов, S, Cl, F приведены в мас.%. Fo оливина-хозяина приведен в мол.%. Содержание H2O(мас.%) в расплавных включениях измерено методом вторично-ионной масс-спектрометрии (SIMS) и рамановской спектроскопии (SIMS). D – усредненный диаметр расплавного включения и пузыря во включении, в мкм. Прочерк – не определялось. *Fo породы рассчитан в программе Рetrolog 3.1.
МЕТОДЫ ИССЛЕДОВАНИЯ
Вся пробоподготовка для дальнейшей аналитической работы проводилась в ГЕОХИ РАН. Образец базальтовой шлаковой бомбы был вручную измельчен в стальной ступке до фракции 0.5–1 мм. Из этой фракции был отобран оливин для дальнейшего изучения расплавных включений. Отобранные кристаллы оливина монтировались в препараты из эпоксидной смолы, которые шлифовались и полировались на корундовых шкурках и алмазных пастах. Полированные препараты изучались под микроскопом. Расплавные включения в оливине из изученных пород представлены двумя типами: раскристаллизованными (преобладающий тип, с которыми перед исследованием проводился термометрический эксперимент) и природно-закаленными стекловатыми включениями. Стекловатые включения анализировались без предварительного экспериментального нагрева.
Экспериментальное исследование расплавных включений
С целью плавления дочерних фаз в частично-раскристаллизованных включениях с зернами оливина был проведен эксперимент при давлении 1 атм в вертикальной трубчатой печи Nabertherm RHTV 120-300/17 в ГЕОХИ РАН. Нагревание проводилось в смеси газов CO2 и H2 в пропорции, соответствующей буферу NNO. Отобранные под микроскопом зерна оливина были помещены в платиновую капсулу, нагревание в печи происходило при 1300°C в течение 5 мин. Закалка производилась в воду. Закаленные в эксперименте включения, так же как и природно-закаленные, состояли из стекла, газового пузырька и иногда кристаллика шпинели.
Микрозондовый анализ
Измерение содержания главных элементов, серы и хлора в стеклах и минералах (оливин, шпинель) проводилось на электронном микрозонде JEOL JXA 8200 (ГЕОМАР, г. Киль, Германия) по методике, описанной в работе (Mironov et al., 2015). В качестве внутренних эталонов использовались оливин «Сан-Карлос» NMNH 111312-44 из (Jarosewich et al., 1980; Sobolev et al., 2007) для оливина, природные стекла NMNH 113498-1 VGA99 и NMNH 111240-52 VG2 базальтового состава, NMNH 72854 VG-568 риолитового состава и скаполит NMNH R6600 для расплавных включений, хромит NMNH 117075 и ильменит NMNH 96189 для хромистой шпинели из (Jarosewich et al., 1980). Все анализы проводились при ускоряющем напряжении 15 кВ. Стекла расплавных включений анализировались дефокусированным пучком диаметром 6 мкм и токе зонда 6 нА. Оливин-хозяин расплавных включений анализировался фокусированным пучком при токе зонда 100 нА, оливин-хозяин включений хромистой шпинели – при 300 нА и увеличенном до 10 минут времени накопления сигнала для отдельных элементов, что обеспечивало высокую точность анализа содержания микроэлементов (прежде всего Al) в оливине для целей термометрии. Состав оливина определялся путем усреднения 2–4 анализов, состав шпинели – 2-х анализов, состав стекол – 2-х анализов. При анализе расплавных включений состав минерала-хозяина определялся на расстоянии, приблизительно соответствующем половине размера включения.
LA-ICP-MS
Определение содержаний микроэлементов в стеклах расплавных включений (табл. 2) и оливине (табл. 3) проводилось в лаборатории Университета Христиана Альбрехта (г. Киль, Германия) методом масс-спектрометрии индуктивно-связанной плазмы с лазерной абляцией (LA-ICP-MS) с использованием квадрупольного масс-спектрометра Agilent 7500s и системы лазерной абляции на эксимерном лазере GeoLas Pro (Coherent) длиной волны 193 нм. Размер области лазерной абляции составлял 24 мкм и 32 мкм для включений и оливина соответственно. Детали методики приведены в работе (Sobolev et al., 2016).
Вторично-ионная масс-спектрометрия (SIMS)
Метод вторично-ионной масс-спектрометрии использовался для определения содержания элементов-примесей (B, Be, Ti, Y, Zr, Nb, Ba, Ce), F и H2O в стеклах расплавных включений. Анализы были выполнены на ионном микроанализаторе Cameca-ims4f в Ярославском филиале физико-технологического института РАН (аналитики С.Г. Симакин и Е.В. Потапов). Методика детально описана в работах (Портнягин и др., 2002; Portnyagin et al., 2007). Точность определения содержаний микроэлементов и H2O этим методом оценивается в 10 отн. %.
Таблица 2. Измеренные содержания редких элементов в расплавных включениях в оливине из базальтовой бомбы Карымского вулканического центра (обр. K6-06)
Компоненты | После эксперимента | Природные | |||||||||
1e | 3e | 4e | 6e | 2 | 3 | 5a | 5b | k2 | k3 | ||
Li | 4.32 | 3.79 | 2.91 | 3.42 | 3.99 | 3.90 | 4.35 | 3.94 | 6.47 | 4.78 | |
B* | – | – | – | – | – | – | – | – | 7.13 | 6.60 | |
V | 255 | 257 | 247 | 298 | 369 | 432 | 354 | 378 | 381 | 445 | |
Sr | 337 | 351 | 301 | 355 | 465 | 518 | 449 | 499 | 434 | 445 | |
Y | 14.1 | 13.7 | 11.9 | 12.8 | 15.7 | 16.5 | 16.6 | 18.6 | 16.0 | 14.5 | |
Y* | – | – | – | – | – | – | – | – | 18.3 | 16.1 | |
Zr | 44.7 | 35.4 | 30.2 | 27.7 | 36.8 | 30.3 | 39.8 | 42.9 | 47.7 | 34.5 | |
Zr* | – | – | – | – | – | – | – | – | 41.5 | 33.6 | |
Nb | 1.06 | 0.81 | 0.80 | 0.77 | 1.00 | 0.64 | 1.07 | 1.14 | 2.01 | 1.02 | |
Nb* | – | – | – | – | – | – | – | – | 1.78 | 1.32 | |
Ba | 115 | 154 | 137 | 119 | 159 | 124 | 170 | 174 | 181 | 174 | |
Ba* | – | – | – | – | – | – | – | – | 228 | 189 | |
La | 4.00 | 3.84 | 3.30 | 3.31 | 3.96 | 3.64 | 4.36 | 4.44 | 4.99 | 4.53 | |
Ce | 9.4 | 8.9 | 7.9 | 7.6 | 9.7 | 9.2 | 10.0 | 10.6 | 12.1 | 10.3 | |
Ce* | – | – | – | – | – | – | – | – | 15.3 | 11.5 | |
Nd | 7.2 | 7.0 | 6.3 | 6.2 | 7.8 | 7.8 | 8.0 | 8.3 | 9.3 | 7.6 | |
Sm | 2.04 | 1.95 | 1.53 | 1.66 | 2.12 | 2.13 | 2.28 | 2.25 | 2.72 | 2.27 | |
Eu | 0.73 | 0.70 | 0.62 | 0.67 | 0.90 | 0.89 | 0.90 | 0.94 | 0.91 | 0.91 | |
Gd | 2.32 | 2.42 | 2.09 | 2.24 | 3.01 | 2.56 | 3.15 | 2.89 | 2.90 | 2.74 | |
Dy | 2.42 | 2.70 | 2.14 | 2.16 | 2.89 | 2.89 | 2.86 | 3.31 | 2.87 | 2.63 | |
Er | 1.51 | 1.42 | 1.35 | 1.34 | 1.76 | 1.83 | 2.11 | 2.11 | 1.69 | 1.79 | |
Yb | 1.67 | 1.43 | 1.39 | 1.37 | 1.58 | 1.73 | 1.68 | 1.74 | 1.71 | 1.62 | |
Hf | 1.34 | 1.02 | 0.88 | 0.81 | 1.13 | 1.03 | 1.28 | 1.12 | 1.32 | 1.20 | |
Pb | 1.73 | 2.98 | 2.85 | 3.06 | 4.16 | 3.47 | 3.88 | 3.88 | 6.44 | 3.83 | |
Th | 0.35 | 0.61 | 0.43 | 0.43 | 0.51 | 0.50 | 0.59 | 0.58 | 0.64 | 0.53 | |
U | 0.18 | 0.38 | 0.32 | 0.30 | 0.45 | 0.30 | 0.41 | 0.43 | 0.50 | 0.45 | |
Ti | 4556 | 4052 | 3686 | 3987 | 5267 | 5288 | 4998 | 5686 | 5860 | 5307 | |
Ti* | – | – | – | – | – | – | – | – | 5528 | 4946 | |
Компоненты | Природные | ||||||||||
k6 | k7a | k7b | k8 | k9 | k11 | k12 | k13 | k15 | k16a | k16c | |
Li | 4.45 | 5.88 | 4.44 | 5.78 | 7.51 | 5.95 | 3.89 | 5.49 | 3.73 | 9.58 | 4.68 |
B* | 6.87 | 6.84 | 6.19 | 7.98 | 8.40 | 7.77 | – | – | 5.55 | 9.58 | – |
V | 383 | 317 | 448 | 378 | 402 | 378 | 415 | 461 | 348 | 337 | 409 |
Sr | 436 | 476 | 459 | 452 | 420 | 479 | 475 | 285 | 445 | 449 | 467 |
Y | 14.7 | 16.2 | 13.9 | 17.7 | 17.6 | 19.7 | 14.4 | 13.3 | 17.1 | 19.8 | 13.9 |
Y* | 15.1 | 14.8 | 14.0 | 16.6 | 17.8 | 15.1 | – | – | 11.4 | 19.3 | – |
Zr | 37.5 | 47.8 | 32.1 | 63.7 | 63.9 | 71.2 | 31.2 | 36.1 | 39.4 | 74.0 | 33.1 |
Zr* | 37.0 | 42.8 | 29.4 | 55.6 | 61.4 | 53.2 | – | – | 25.2 | 71.9 | – |
Nb | 0.99 | 1.50 | 0.86 | 1.81 | 1.73 | 1.75 | 0.79 | 1.25 | 1.00 | 2.09 | 0.83 |
Nb* | 1.33 | 1.52 | 1.04 | 1.85 | 2.03 | 1.75 | – | – | 0.84 | 2.19 | – |
Ba | 187 | 229 | 158 | 242 | 236 | 224 | 130 | 131 | 151 | 242 | 158 |
Ba* | 222 | 225 | 152 | 238 | 256 | 208 | – | – | 126 | 274 | – |
La | 4.44 | 5.68 | 3.89 | 6.17 | 6.10 | 6.57 | 3.92 | 3.12 | 4.71 | 6.68 | 4.11 |
Ce | 10.7 | 13.2 | 9.9 | 15.0 | 14.5 | 15.4 | 9.2 | 6.6 | 9.7 | 16.1 | 8.7 |
Ce* | 11.8 | 13.1 | 10.1 | 14.9 | 16.2 | 14.3 | – | – | 8.4 | 17.7 | – |
Nd | 7.6 | 9.3 | 7.2 | 10.9 | 10.9 | 11.1 | 7.5 | 7.4 | 9.2 | 10.9 | 6.8 |
Sm | 2.19 | 2.44 | 2.44 | 2.74 | 2.84 | 2.76 | 1.96 | 2.57 | 2.28 | 3.04 | 1.87 |
Eu | 0.84 | 0.98 | 0.93 | 1.04 | 1.08 | 1.03 | 0.92 | 0.67 | 0.78 | 1.07 | 0.85 |
Gd | 2.71 | 2.90 | 2.53 | 3.12 | 3.14 | 3.19 | 2.67 | 0.81 | 2.66 | 3.45 | 2.43 |
Dy | 2.55 | 2.61 | 2.46 | 3.08 | 3.07 | 3.16 | 2.48 | 2.11 | 3.27 | 3.35 | 2.43 |
Er | 1.69 | 1.79 | 1.60 | 1.83 | 1.83 | 2.27 | 1.63 | 0.94 | 1.70 | 2.03 | 1.70 |
Yb | 1.58 | 1.67 | 1.56 | 1.79 | 1.93 | 1.88 | 1.55 | 1.09 | 1.72 | 2.19 | 1.64 |
Hf | 1.07 | 1.39 | 1.00 | 1.84 | 1.81 | 1.80 | 0.83 | 0.51 | 0.98 | 2.01 | 0.76 |
Pb | 3.65 | 4.32 | 3.49 | 4.43 | 4.33 | 4.90 | 3.24 | 1.17 | 4.66 | 4.60 | 4.94 |
Th | 0.59 | 0.69 | 0.47 | 0.86 | 0.87 | 0.83 | 0.51 | 0.47 | 0.53 | 0.86 | 0.69 |
U | 0.46 | 0.49 | 0.41 | 0.58 | 0.52 | 0.48 | 0.33 | 0.39 | 0.37 | 0.62 | 0.44 |
Ti | 5008 | 5177 | 6005 | 6093 | 5960 | 6235 | 4893 | 5926 | 4967 | 5201 | 4965 |
Ti* | 4967 | 4274 | 4732 | 5548 | 5889 | 5086 | – | – | 3784 | 6238 | – |
Примечание. Содержания элементов приведены в г/т. Прочерк – не определялось. Концентрации редких элементов измерены методом масс-спектрометрии индуктивно-связанной плазмы с лазерной абляцией (LA-ICP-MS). *Измерено методом вторично-ионной масс-спектрометрии (SIMS).
Рамановская спектроскопия
Метод рамановской спектроскопии комбинационного рассеивания использовался для определения содержания H2O в стеклах расплавных включений. Анализы проводились на Геологическом факультете МГУ им. Ломоносова с использованием конфокального рамановского микроскопа JY Horiba XPloRA Jobin на базе поляризационого микроскопа Olympus BX41 и оснащенного двумя лазерами (532 и 785 нм). Методика измерения описана в статье (Plechov et al., 2015). Обработка спектров проводилась в программе LabSpec Ver. 5.78.24. Для количественной оценки содержаний H2O производилась съемка спектров комбинационного рассеяния в спектральном диапазоне 100–4000 см–1 при несущей частоте лазера 532 нм, дифракционной решетке 1800 штр/мм, объективе ×100 и полностью открытой диафрагме. Использовалось отношение высокочастотного силикатного пика стекол базальтового состава (800–1200 см–1) и полосы колебаний O-H связей (3200–3700 см–1) – отношение Rw/Rs (Le Losq et al., 2012). В качестве стандартов использовались стекла с содержанием воды от 0 до 6.7 мас.%, синтезированные на основе шихты природного базальта при 1250°C и 50–500 МПа (Shishkina et al., 2010). Ошибка метода (2σ) составляет 20 отн.%.
Обработка данных
Полученные в ходе микрозондового анализа данные составов расплавных включений (табл. 1) были скорректированы до равновесия с оливином-хозяином (табл. 1) в программе Petrolog 3.1 (Danyushevsky, Plechov, 2011) с учетом потери железа. Общее исходное содержание FeО во включениях принималось равным 9.86 мас.%, что отвечает составу материнской породы (Гриб, 2007) (табл. 1). Неопределенность значений исходного содержания FeO ±1 мас.% вносит дополнительную погрешность в оценку ликвидусных температур ±20°С, что учитывалось при интерпретации результатов.
Составы вероятных первичных расплавов рассчитывались путем моделирования обратной кристаллизации оливина из состава примитивных расплавных включений в оливине Fo > 87 мол.% до достижения равновесия с оливином Fo90-92 (табл. 5). Для всех расчетов использовалась модель равновесия оливин–расплав (Ford et al., 1983). Содержания несовместимых с оливином микроэлементов были скорректированы с учетом количества оливина, добавленного к составу расплавных включений в результате расчетов в программе Petrolog 3.1.
РЕЗУЛЬТАТЫ ИССЛЕДОВАНИЙ
Состав оливина
Зерна оливина, в которых были проанализированы расплавные включения, имеют состав Fo77-89 (табл. 3, рис. 2). С понижением магнезиальности оливина содержания MnO, Al2O3, V, Sc, Y линейно увеличиваются, NiO и Cr2O3 убывают, концентрация Cu остается на постоянном уровне. Содержание CaO варьирует в диапазоне 0.16–0.25 мас.% при Fo > 85, а в более железистых оливинах плавно уменьшается до ~ 0.15 мас.%. Состав железистых оливинов (Fo < 82) из изученного образца близок к составу оливина из базальтов 1996 г. (Портнягин и др., 2011). Более магнезиальные оливины обнаруживают сходство с высокомагнезиальным оливином из пикробазальтов Авачинского вулкана – авачитов (Портнягин и др., 2005; неопубликованные данные авторов) и базальтов Ключевского вулкана (Портнягин и др., 2017). По содержанию большинства микроэлементов наибольшее сходство обнаруживается с оливином из авачитов. Содержание Cu в оливине изученного образца близко к таковому в оливине Ключевского вулкана.
Состав хромистой шпинели
Хромистая шпинель является акцессорным минералом базальтов Карымского вулканического центра (табл. 4, рис. 3). Включения хромистой шпинели были проанализированы во вкрапленниках оливина Fo86-89. Изученные включения имеют хромистость Cr/(Cr + Al) = 0.52–0.60 мол.%. Содержание TiO2 варьирует в пределах 0.40–0.67 мас.%. Отношение Fe2+/Fe3+ в шпинелях Карымского вулканического центра варьирует в диапазоне 1.4–2.0. По сравнению с хромистой шпинелью из пород Ключевского и Авачинского вулканов, хромистая шпинель изученного образца имеет несколько пониженную хромистость. Содержание Ti и Fe2+/Fe3+ отношение в шпинели из обр. К6-06 Карымского вулканического центра близки к таковым в шпинели Ключевского вулкана, а отношение
Fe3+/(Fe3+ + Al + Cr) является продолжением тренда состава хромистой шпинели из авачитов (рис. 3).
Таблица 3. Состав оливина-хозяина расплавных включений из базальтовой бомбы (обр. K6-06) Карымского вулканического центра
Компоненты | 1е | 3е | 4е | 5bе | 6е | 2 | 3 | 5a | 5b | 25 | 143 | k2 | k3 | k4 | k6 | k7a | k7b | k8 | k9 | k11 | k12 | k13 | k15 | k16a | k16c |
SiO2 | 38.73 | 39.59 | 38.51 | 38.85 | 39.82 | 39.63 | 39.71 | 39.17 | 39.14 | 40.17 | 39.95 | 40.19 | 40.20 | 40.51 | 39.97 | 40.20 | 40.41 | 40.04 | 38.48 | 39.18 | 37.86 | 39.73 | 38.17 | 38.02 | 36.96 |
Al2O3 | 0.02 | 0.02 | 0.02 | 0.02 | 0.02 | 0.01 | 0.01 | 0.02 | 0.02 | 0.02 | 0.01 | 0.02 | 0.01 | 0.02 | 0.02 | 0.02 | 0.02 | 0.01 | 0.02 | 0.02 | 0.02 | 0.02 | 0.02 | 0.02 | 0.02 |
FeO | 18.79 | 11.78 | 16.40 | 15.63 | 12.30 | 12.00 | 12.42 | 13.18 | 14.36 | 12.82 | 12.86 | 13.09 | 12.70 | 11.29 | 13.65 | 13.57 | 12.67 | 13.85 | 22.03 | 19.67 | 16.27 | 16.32 | 12.83 | 18.96 | 16.54 |
MnO | 0.30 | 0.18 | 0.26 | 0.26 | 0.22 | 0.21 | 0.22 | 0.21 | 0.24 | 0.23 | 0.22 | 0.22 | 0.20 | 0.18 | 0.23 | 0.22 | 0.22 | 0.23 | 0.36 | 0.32 | 0.27 | 0.26 | 0.23 | 0.31 | 0.25 |
MgO | 42.36 | 48.33 | 45.07 | 45.27 | 47.85 | 48.36 | 47.55 | 47.18 | 46.38 | 47.40 | 47.29 | 47.75 | 48.61 | 49.60 | 47.57 | 47.93 | 48.38 | 47.60 | 40.92 | 42.73 | 47.57 | 45.76 | 48.90 | 43.50 | 46.63 |
CaO | 0.16 | 0.16 | 0.17 | 0.17 | 0.22 | 0.20 | 0.22 | 0.21 | 0.20 | 0.24 | 0.25 | 0.18 | 0.18 | 0.19 | 0.19 | 0.15 | 0.19 | 0.16 | 0.15 | 0.15 | 0.18 | 0.17 | 0.20 | 0.15 | 0.16 |
NiO | 0.08 | 0.27 | 0.19 | 0.11 | 0.14 | 0.15 | 0.13 | 0.16 | 0.13 | 0.12 | 0.12 | 0.14 | 0.15 | 0.20 | 0.15 | 0.15 | 0.14 | 0.13 | 0.07 | 0.09 | 0.10 | 0.12 | 0.13 | 0.11 | 0.15 |
Cr2O3 | 0.01 | 0.02 | 0.01 | 0.02 | 0.02 | 0.02 | 0.02 | 0.02 | 0.02 | 0.02 | 0.02 | 0.02 | 0.02 | 0.03 | 0.01 | 0.02 | 0.03 | 0.02 | 0.00 | 0.01 | 0.01 | 0.02 | 0.02 | 0.02 | 0.02 |
Fo | 80.1 | 88.0 | 83.0 | 83.8 | 87.4 | 87.8 | 87.2 | 86.4 | 85.2 | 86.8 | 86.8 | 86.7 | 87.2 | 88.7 | 86.1 | 86.3 | 87.2 | 85.9 | 76.8 | 79.4 | 83.5 | 83.3 | 87.2 | 80.3 | 83.4 |
Сумма | 100.4 | 100.3 | 100.6 | 100.3 | 100.6 | 100.6 | 100.3 | 100.1 | 100.5 | 101.0 | 100.7 | 101.6 | 102.1 | 102.0 | 101.8 | 102.3 | 102.1 | 102.1 | 102.0 | 102.2 | 102.3 | 102.4 | 100.5 | 101.1 | 100.7 |
Sc | 8.39 | 4.55 | 5.32 | – | 5.55 | 5.53 | 5.44 | 4.90 | – | – | – | 5.90 | 5.37 | – | 5.07 | 5.33 | 5.06 | 4.76 | 6.51 | 5.73 | 6.33 | 5.12 | 5.51 | 5.50 | – |
V | 5.05 | 3.17 | 4.12 | – | 2.96 | 3.23 | 2.69 | 3.44 | – | – | – | 4.03 | 3.42 | – | 3.13 | 3.70 | 3.01 | 3.50 | 5.36 | 4.32 | 4.36 | 3.81 | 3.28 | 4.74 | – |
Co | 199 | 159 | 188 | – | 165 | 177 | 171 | 168 | – | – | – | 173 | 164 | – | 178 | 180 | 167 | 162 | 214 | 195 | 172 | 176 | 162 | 189 | – |
Cu | 3.90 | 3.89 | 4.14 | – | 3.82 | 4.20 | 4.59 | 4.14 | – | – | – | 3.92 | 3.92 | – | 4.12 | 4.12 | 4.00 | 3.92 | 4.25 | 4.22 | 3.57 | 3.59 | 3.64 | 3.93 | – |
Zn | 124 | 87 | 109 | – | 70 | 63 | 69 | 76 | – | – | – | 89 | 81 | – | 88 | 103 | 73 | 90 | 158 | 133 | 114 | 102 | 76 | 120 | – |
Y | 0.07 | 0.03 | 0.04 | – | 0.03 | 0.03 | 0.03 | 0.03 | – | – | – | 0.04 | 0.04 | – | 0.03 | 0.04 | 0.03 | 0.03 | 0.07 | 0.06 | 0.04 | 0.04 | 0.03 | 0.05 | – |
Примечание. Содержания главных элементов приведены в мас.%, содержания микроэлементов – в г/т. Прочерк – не определялось.
Таблица 4. Составы (в мас.%) сосуществующих оливина и шпинели из обр. K6-06 Карымского вулканического центра
Компоненты | Шпинель | |||||||||||||||
21 | 45 | 56 | 71 | 73 | 76 | 85 | 94 | 98 | 119 | 127 | 138 | 140 | 142 | 143 | 3n | |
SiO2 | 0.11 | 0.07 | 0.06 | 0.07 | 0.05 | 0.07 | 0.08 | 0.08 | 0.04 | 0.02 | 0.04 | 0.04 | 0.04 | 0.03 | 0.05 | 0.12 |
TiO2 | 0.62 | 0.42 | 0.62 | 0.40 | 0.61 | 0.43 | 0.65 | 0.66 | 0.47 | 0.66 | 0.67 | 0.60 | 0.67 | 0.67 | 0.63 | 0.45 |
Al2O3 | 17.31 | 14.62 | 15.37 | 15.25 | 15.18 | 14.73 | 14.97 | 15.67 | 14.97 | 13.90 | 14.36 | 13.80 | 13.41 | 14.41 | 13.84 | 14.37 |
Cr2O3 | 40.39 | 43.99 | 40.90 | 45.24 | 41.26 | 46.53 | 40.58 | 40.24 | 45.36 | 41.07 | 39.66 | 42.02 | 41.71 | 41.16 | 41.33 | 45.89 |
MnO | 0.22 | 0.23 | 0.23 | 0.21 | 0.22 | 0.20 | 0.23 | 0.22 | 0.20 | 0.22 | 0.24 | 0.22 | 0.24 | 0.21 | 0.24 | 0.21 |
MgO | 11.24 | 10.12 | 10.53 | 11.36 | 10.88 | 11.55 | 10.71 | 10.46 | 10.98 | 10.35 | 10.38 | 10.75 | 10.74 | 10.72 | 10.62 | 11.22 |
NiO | 0.09 | 0.08 | 0.06 | 0.08 | 0.06 | 0.10 | 0.05 | 0.08 | 0.08 | 0.07 | 0.06 | 0.06 | 0.06 | 0.08 | 0.06 | 0.08 |
FeO | 17.83 | 18.62 | 18.37 | 16.89 | 17.73 | 16.55 | 18.01 | 18.51 | 17.80 | 18.30 | 18.09 | 17.53 | 17.69 | 17.88 | 17.76 | 17.26 |
Fe2O3 | 12.20 | 10.95 | 13.33 | 9.71 | 13.31 | 9.16 | 13.94 | 13.31 | 10.44 | 14.60 | 14.92 | 13.82 | 14.82 | 14.16 | 14.31 | 10.26 |
Сумма | 100.0 | 99.1 | 99.5 | 99.2 | 99.3 | 99.3 | 99.2 | 99.2 | 100.3 | 99.2 | 98.4 | 98.8 | 99.4 | 99.3 | 98.9 | 99.8 |
Cr# | 0.61 | 0.67 | 0.64 | 0.67 | 0.65 | 0.68 | 0.65 | 0.63 | 0.67 | 0.66 | 0.65 | 0.67 | 0.68 | 0.66 | 0.67 | 0.68 |
Оливин | ||||||||||||||||
Fo | 87.23 | 85.75 | 86.38 | 88.11 | 87.37 | 88.71 | 86.95 | 86.07 | 87.37 | 86.56 | 86.46 | 87.19 | 87.03 | 87.00 | 87.07 | 87.85 |
SiO2 | 40.24 | 39.90 | 40.30 | 40.33 | 40.33 | 40.57 | 40.13 | 40.24 | 40.13 | 39.97 | 39.98 | 40.25 | 40.16 | 40.91 | 40.70 | 40.66 |
Al2O3 | 0.02 | 0.02 | 0.02 | 0.02 | 0.02 | 0.02 | 0.02 | 0.02 | 0.02 | 0.02 | 0.02 | 0.02 | 0.02 | 0.02 | 0.02 | 0.02 |
FeO | 12.48 | 14.15 | 13.28 | 11.69 | 12.36 | 11.06 | 12.77 | 13.61 | 12.33 | 13.11 | 13.26 | 12.53 | 12.69 | 12.72 | 12.63 | 11.98 |
MnO | 0.22 | 0.23 | 0.23 | 0.20 | 0.22 | 0.19 | 0.22 | 0.23 | 0.21 | 0.23 | 0.23 | 0.22 | 0.23 | 0.23 | 0.22 | 0.20 |
MgO | 47.83 | 46.80 | 47.25 | 48.61 | 47.98 | 48.78 | 47.74 | 47.18 | 47.86 | 47.37 | 47.51 | 47.86 | 47.77 | 47.77 | 47.71 | 48.58 |
CaO | 0.20 | 0.18 | 0.21 | 0.19 | 0.22 | 0.19 | 0.22 | 0.21 | 0.20 | 0.21 | 0.21 | 0.21 | 0.22 | 0.21 | 0.21 | 0.19 |
NiO | 0.15 | 0.17 | 0.12 | 0.17 | 0.13 | 0.18 | 0.12 | 0.12 | 0.15 | 0.12 | 0.12 | 0.13 | 0.11 | 0.12 | 0.12 | 0.17 |
Cr2O3 | 0.19 | 0.08 | 0.08 | 0.11 | 0.04 | 0.08 | 0.06 | 0.05 | 0.14 | 0.07 | 0.04 | 0.05 | 0.10 | 0.07 | 0.09 | 0.13 |
Сумма | 101.3 | 101.5 | 101.5 | 101.3 | 101.3 | 101.1 | 101.3 | 101.7 | 101.0 | 101.1 | 101.4 | 101.3 | 101.3 | 102.1 | 101.7 | 101.9 |
Т(Ol-Spl), °C | 1106 | 1126 | 1112 | 1123 | 1095 | 1123 | 1102 | 1098 | 1112 | 1115 | 1099 | 1113 | 1109 | 1105 | 1113 | 1129 |
2σ | 29.8 | 8.2 | 19.4 | 11.2 | 11.0 | 18.1 | 17.3 | 14.3 | 25.9 | 16.8 | 14.5 | 24.6 | 13.6 | 19.2 | 12.6 | 21.0 |
∆QFM, BBG | 1.66 | 1.29 | 1.71 | 1.35 | 1.83 | 1.33 | 1.86 | 1.68 | 1.35 | 1.89 | 1.93 | 1.86 | 1.95 | 1.88 | 1.91 | 1.40 |
∆QFM, Николаев | 1.45 | 1.03 | 1.45 | 1.26 | 1.67 | 1.30 | 1.65 | 1.43 | 1.23 | 1.63 | 1.69 | 1.66 | 1.74 | 1.68 | 1.70 | 1.28 |
Примечание. Содержания оксидов приведены в мас.%. Fo оливина – в мол.%. ∆QFM рассчитано по двум моделям: BBG (Ballhaus et al., 1991), Николаев (Николаев и др., 2016). Cr# = Cr/(Cr + Al).
Расплавные включения
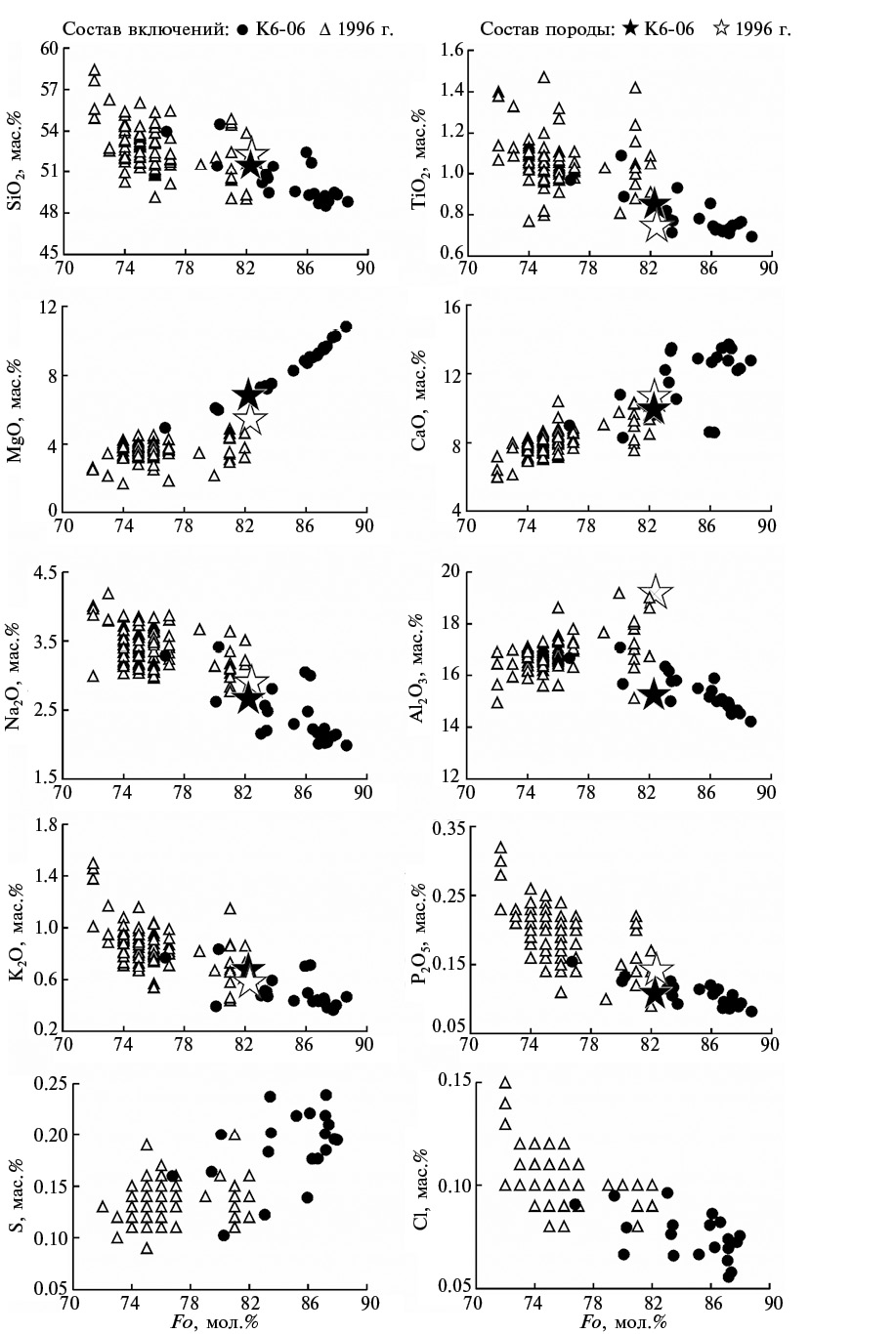
Содержания главных и летучих (S, Cl, H2O) компонентов в расплавных включениях во вкрапленниках оливина представлены в табл. 1 и на рис. 4. Составы включений хорошо коррелируют с составом минерала-хозяина. Содержание SiO2 изменяется от 48.5 до 54.5 мас.% и увеличивается с уменьшением магнезиальности оливина. С уменьшением магнезиальности оливина происходит также постепенное увеличение содержаний TiO2, Al2O3, Na2O, K2O, P2O5. Содержания MgO и CaO уменьшаются. В области состава оливина Fo77-82 изученные включения перекрываются с составами включений из базальтов извержения 1996 г. (Портнягин и др., 2011). Эти включения продолжают тренды изменения составов расплавов в более дифференцированную область, где содержание Al2O3 понижается, отражая появление плагиоклаза на ликвидусе (рис. 4).
Содержание S во включениях уменьшается при дифференциации от 0.24 мас.% в примитивных расплавах до 0.10 мас.% в дифференцированных расплавах и положительно коррелирует с Fo оливина. Содержание хлора в расплавных включениях составляет 0.06–0.1 мас.% и увеличивается с уменьшением Fo оливина (табл. 1, рис. 4).
Рис. 2. Вариации содержания микроэлементов в оливине из базальтов Карымского вулканического центра. Для сравнения показаны данные по составу оливина из базальтов извержения в Карымском озере 1996 г. из работы (Портнягин и др., 2011), из пикробазальтов вулканов Авачинский – авачитов (Портнягин и др., 2005; неопубликованные данные авторов) и Ключевской (Портнягин и др., 2017; Mironov et al., 2015).
Содержания элементов-примесей в расплавных включениях приведены в табл. 2. Нормализованные спектры содержаний элементов-примесей в расплавных включениях характеризуются типично островодужными чертами, а именно низким содержанием Nb и повышенными концентрациями крупно-ионных литофильных элементов (Ba, K, Sr) и B относительно MORB (рис. 5). Содержания Nb, Zr, Y и тяжелых РЗЭ в наиболее примитивных включениях несколько понижены относительно MORB, в то время как концентрации легких РЗЭ (La, Ce) в основном выше. В различной степени дифференцированные расплавы Карымского вулканического центра (настоящая работа и Портнягин и др., 2011) имеют очень похожие по форме спектры, что свидетельствует о близком составе родоначальных магм. Несколько пониженные отношения Sr/Nd и повышенные Zr/Nd в расплавных включениях из базальтов 1996 г. могут быть связаны с процессами фракционной кристаллизации плагиоклаза и высококальциевого пироксена.
Содержания H2O в природно-закаленных стекловатых расплавных включениях были проанализированы методом вторично-ионной масс-спектрометрии (SIMS), а в экспериментально закаленных включениях – методом рамановской спектроскопии. Содержания H2O, полученные с помощью SIMS, варьируют от 2.4 до 4.8 мас.%, в ходе рамановской спектроскопии – от 2.2 до 5.1 мас.% (табл. 1, рис. 6). Содержания H2O в одних и тех же включениях, полученные методом рамановской спектроскопии и методом вторично-ионной масс-спектрометрии, согласуются ~ 20%, что находится в пределах погрешности использованных методов. Максимальные измеренные содержания несколько превышают таковые во включениях из базальтов 1996 г., но в целом данные для большинства включений находятся в диапазоне 2–5 мас.% и не обнаруживают зависимости от состава оливина-хозяина (рис. 6).
Результаты термо- и оксибарометрии
Для оценки температур кристаллизации магм Карымского вулканического центра было использовано три независимых геотермометра: 1) оливин-шпинелевый Al геотермометр, 2) ликвидусный термометр оливин-расплав, 3) Sc/Y геотермометр оливин-расплав.
Оливин-шпинелевый Al геотермометр, основанный на распределении Al между оливином и Cr-шпинелью (Coogan et al., 2014), позволяет достигнуть точности определения температур ±25°C. Геотермометр откалиброван для «сухих» магм и предположительно не зависит от содержания H2O в расплаве. Средняя температура кристаллизации магм по результатам анализа 17 пар оливин–шпинель составила 1114 ± 27°С (2s) при составе оливина Fo86-89 (табл. 4, рис. 7).
Рис. 3. Состав хромистой шпинели в зависимисти от Fo оливина-хозяина. Для сравнения показаны поля составов хромистой шпинели из авачитов (Портнягин и др., 2005) и базальтов Ключевского вулкана (Mironov et al., 2015).
Рис. 4. Вариации содержаний главных и летучих элементов в расплавных включениях в зависимости от состава оливина. Составы включений пересчитаны на равновесие с оливином-хозяином с учетом потери железа. Составы включений из обр. K6-06 – по данным настоящей работы, из базальтов извержения 1996 г. – по данным из работы (Портнягин и др., 2011). Звездочками показаны составы пород; состав оливина в равновесии с ними рассчитан в программе Petrolog 3.1.
Рис. 5. Содержания несовместимых элементов-примесей в расплавных включениях в оливине из базальтов Карымского вулканического центра. Составы включений из обр. K6-06 – по данным настоящей работы, из базальтов извержения 1996 г. – по данным (Портнягин и др., 2011). Составы нормализованны к N-MORB (Sun, McDonough, 1989). Содержание бора N-MORB – из работы (Наумов и др., 2014).
Ликвидусные температуры (рис. 7) оливина в равновесии с расплавными включениями были определены с помощью моделей (Ford et al., 1983; Almeev et al., 2007) для расплавных включений, в которых была измерена H2O (табл. 1, рис. 7). «Cухие» температуры (табл. 1) определялись для состава скорректированных до равновесия с оливином-хозяином расплавных включений с помощью модели (Ford et al., 1983) в программе Petrolog 3.1. «Сухие» температуры (1127–1260°С для 25 включений в оливине Fo77-89) были скорректированы на содержание H2O c помощью модели (Almeev et al., 2007). Полученные оценки ликвидусных температур составили 1000–1170°С для обр. K6-06 и 970–1070°С для извержения 1996 г. (Портнягин и др., 2011) (рис. 7). Температуры, установленные для высокомагнезиального оливина, в среднем выше приблизительно на 30°C, чем оцененные по оливин-шпинелевому термометру, что близко к погрешности методов. Оценки температур, полученные для включений в более железистых оливинах (Fo < 82), хорошо совпадают для изученного образца и включений из базальтов 1996 г. и монотонно уменьшаются с уменьшением Fo оливина.
Рис. 6. Содержание H2O в расплавных включениях в оливине из базальтов Карымского вулканического центра в зависимости от Fo оливина. Составы включений из обр. K6-06 – по данным настоящей работы, из базальтов извержения 1996 г. – по данным (Портнягин и др., 2011). Показана область расчетного содержания H2O, полученного при сравнении псевдоликвидусных температур оливина и температур равновесия оливин–шпинель (Sobolev et al., 2016; Назарова и др., 2017).
Рис. 7. Температуры кристаллизации магм Карымского вулканического центра в зависимости от Fo оливина-хозяина. Температуры оценены с помощью оливин-шпинелевого геотермометра (Coogan et al., 2014), ликвидусного термометра оливин-расплав (Ford et al., 1983; -Almeev et al., 2007) и Sc/Y геотермометра оливин-расплав (Mallman, O’Neill, 2013). Для расчета температур кристаллизации оливина в базальтах извержения 1996 г. были использованы данные из (Портнягин и др., 2011). Для сравнения полями оконтурены температуры кристаллизации базальтов вулкана Горелый (Назарова и др., 2017) и Ключевской (Mironov et al., 2015). Температуры кристаллизации оливин-шпинелевого парагенезиса MORB по данным (Coogan et al., 2014).
Альтернативные оценки были также получены с помощью геотермометра, основанного на соотношении Sc/Y в оливине и расплаве (Mallmann, OʼNeill, 2013), и составляют 990–1100°С (рис. 7) с учетом эффекта влияния плавления/кристаллизации оливина на изменение содержания Sc и Y в расплаве. В области составов магнезиальных оливинов эти оценки систематически ниже по сравнению с полученными с помощью оливин-шпинелевого и ликвидусного оливинового термометра, в области железистых составов – совпадают с результатами, полученными с помощью других термометров.
Летучесть кислорода при кристаллизации магм Карымского вулканического центра, оцененная с помощью оливин-шпинелевого оксибарометра составляет ∆QFM = +1.7 (±0.5, 2s) по модели (Ballhaus et al., 1991), ∆QFM = +1.5 (±0.4, 2s) по модели (Николаев и др., 2016) (табл. 4). Оценки, полученные с помощью модели распределения ванадия между оливином и расплавными включениями (Shishkina et al., 2018), составили ∆QFM = +1.5 – +3.6, что в среднем на 1.5 лог. ед. fO2 выше по сравнению с данными оливин-шпинелевой оксибарометрии (рис. 8).
Рис. 8. Окислительно-восстановительные условия (ΔQFM) кристаллизации базальтов Карымского вулканического центра, оцененные с использованием различных оксибарометров. Использованные окибарометры основаны на равновесии шпинели и оливина (Ballhaus et al., 1991; Николаев и др., 2016) и распределении V между оливином и расплавными включениями (Shishkina et al., 2018).
Минимальное давление кристаллизации можно оценить около 2 кбар, исходя из рассчитанного содержания H2O (4.4 ± 1.2 мас.%) в расплавных включениях (Shishkina et al., 2010).
ОБСУЖДЕНИЕ РЕЗУЛЬТАТОВ
Температуры кристаллизации магм и исходное содержание Н2О
Корректная оценка температур кристаллизации и содержания H2O в расплавах являются взаимосвязанной проблемой для островодужных магм вследствие сильного влияния H2O на температуру фазовых равновесий (например, Sisson, Grove, 1993; Almeev et al., 2007). Приблизиться к решению этой проблемы позволяет использование данных по составу расплавных включений, которые в отличие от составов пород способны сохранять первичное содержание Н2О (например, Portnyagin et al., 2007). Однако, как было сказано ранее, содержания Н2О во многих включениях, вероятно, представляют их минимальные первичные концентрации вследствие быстрой диффузии водорода из включений при декомпрессии магм и извержении (например, Portnyagin et al., 2008; Lloid et al., 2013). Оцененные температуры равновесия для таких включений являются завышенными и могут отличаться от реальных на десятки градусов (Назарова и др., 2017). Критерием правильности оценок температур и первичного содержания H2O во включениях может быть совпадение температур кристаллизации, полученных с помощью термометров, которые в разной степени зависят от содержания H2O.
В настоящей работе, наряду с использованием традиционного ликвидусного термометра оливин–расплав с коррекцией на понижение ликвидусной температуры в присутствии Н2О (Ford et al., 1983; Almeev et al., 2007), для оценки температуры кристаллизации магм применялся геотермометр (Coogan et al., 2014), основанный на распределении Al между оливином и Cr-шпинелью, и термометр – на распределение Sc и Y между оливином и расплавом (Mallmann, O’Neill, 2013) (рис. 7). Последние два термометра не требуют поправки на известное содержание H2O в расплавах и поэтому могут использоваться для оценок реальных температур кристаллизации.
Температуры, полученные на основе Fe-Mg термометра, показывают прямую зависимость от Fo оливина и варьируют от 1170°С для Fo88 до 1000°С при Fo77. В области состава оливина Fo < 80 эти оценки близки к данным для включений в оливине извержения 1996 г. (Портнягин и др., 2011). В области магнезиальных составов оливина эти оценки хорошо совпадают с температурами кристаллизации магм Ключевского вулкана (Mironov et al., 2015), но несколько выше, чем оценки температур по оливин-шпинелевому термометру (1114 ± 27°С), которые оказались близки к температурам кристаллизации оливина в магнезиальных базальтах вулкана Горелый (Назарова и др., 2017). Температуры, оцененные с помощью Sc/Y термометра, хорошо совпадают с данными других термометров для железистой области составов оливина, но не коррелируют с составом оливина и отклоняются до 100°С в область более низких температур по сравнению с другими оценками для магнезиальной области составов. Возможно, это объясняется переуравновешиванием включений с оливином при низкой температуре (Sobolev et al., 2016), что затрудняет использование этого термометра в применении к составам примитивных включений и требует дальнейшего изучения. Вероятно, что с этой же причиной связано и отклонение оценок фугитивности кислорода, сделанной на основе распределения V между оливином и примитивными расплавными включениями.
Разница между температурами кристаллизации, оцененными разными методами, может свидетельствовать о потерях Н2О из включений при их остывании и позволяет сделать независимую оценку исходного содержания H2O в расплавах (Sobolev et al., 2016; Назарова и др., 2017). Этот метод основан на значительном влиянии присутствия Н2О в расплаве на температуру ликвидуса оливина и позволяет оценить ее исходное содержание путем сравнения независимо определенных «реальных» (Coogan et al., 2014) (табл. 4) и «сухих» (Ford et al., 1983) (псевдоликвидусных) (табл. 1) температур кристаллизации оливина. Содержание Н2О рассчитывается по уравнению из работы (Almeev et al., 2007).
Рассчитанное первичное содержание H2O в расплавных включениях по этому методу составляет 4.4 ± 1.2 (2σ) мас.%. Эта оценка хорошо согласуется с максимальным измеренным содержанием H2O во включениях в магнезиальном оливине (~ 4 мас.%) (рис. 6). Пониженные до 2.5 мас.% содержания H2O в других включениях, вероятно, связаны с потерей H2O после захвата в оливин. Максимальные измеренные содержания H2O во включениях из изученного образца и базальтов 1996 г. составляют 4–5 мас.% во всем интервале составов оливина Fo72-89. Вероятно, это свидетельствует об изобарических условиях кристаллизации магм вблизи их насыщения Н2О (например, Shishkina et al., 2014).
Полученные данные по содержанию H2O и температурам кристаллизации являются одними из первых и, вероятно, в настоящий момент самыми надежными данными для Восточного вулканического фронта Камчатки. В отличие от ранее опубликованных результатов для расплавных включений в оливине из ряда вулканов Камчатки (Portnyagin et al., 2007) и результатов термометрии для магм вулкана Горелый (Назарова и др., 2017), в настоящей работе впервые показано соответствие данных термометрии и прямого измерения содержания H2O во включениях. Полученные в настоящей работе оценки содержания воды 4.0–4.5 мас.% в родоначальных магмах Карымского вулканического центра близки к исходным содержаниям H2O в магмах конуса Булочка Ключевского вулкана (Mironov et al., 2015) и извержения 1941 г. в Толбачинском Долу (Kamenetsky et al., 2017), а также к средней оценке 3.9 ± 0.8 мас.%, полученной для семи зон субдукции в работе (Plank et al., 2013).
Таблица 5. Состав родоначального и первичного расплавов Карымского вулканического центра
Компоненты | 1 | 2 | 3 |
SiO2 | 48.9 | 49.1 | 48.4 |
TiO2 | 0.73 | 0.71 | 0.66 |
Al2O3 | 14.6 | 13.7 | 12.6 |
Fe2O3 | 2.01 | 2.25 | 2.47 |
FeO | 8.0 | 8.0 | 7.7 |
MnO | 0.13 | 0.13 | 0.12 |
MgO | 9.9 | 12.6 | 15.4 |
CaO | 12.8 | 10.4 | 9.6 |
Na2O | 2.10 | 2.21 | 2.04 |
K2O | 0.42 | 0.46 | 0.42 |
P2O5 | 0.09 | 0.10 | 0.09 |
S | 0.21 | 0.23 | 0.25 |
Cl | 0.06 | 0.09 | 0.09 |
F | 0.02 | 0.04 | 0.05 |
Сумма | 100 | 100 | 100 |
Примечание. 1 – состав родоначального расплава Карымского вулкана (усредненные значения для Fo87-89); 2 – состав первичного расплава Карымского вулкана, равновесный с Fo90; 3 – состав первичного расплава Карымского вулкана, равновесный с Fo92. Составы приведены к 100 мас.%. Содержания приведены в мас.%.
Условия образования исходных магм
Согласованность трендов кристаллизации родоначальных расплавов изученного образца и базальтов 1996 г. (рис. 4) указывает на то, что вся серия пород Карымского вулканического центра могла быть получена при коровой дифференциации единого родоначального расплава. Состав этого расплава по содержанию главных и микроэлементов может быть оценен на основе данных по составу расплавных включений в оливине, полученных в настоящей работе. В качестве родоначального расплава мы приняли расплав с наиболее примитивным составом оливина, наблюдаемом в породе, и оценили его усреднением составов расплавных включений в оливине Fo87-89. Состав первичного расплава, который мог находиться в равновесии с мантийным веществом, был смоделирован добавлением к нему оливинового компонента до достижения равновесия с оливином Fo90-92(табл. 5).
Для проверки возможного вклада пироксенитового источника в образование магм Карымского вулкана мы использовали критерий из работы (Sobolev et al., 2007), основанный на анализе содержания микроэлементов в высокомагнезиальном оливине в вулканических породах различных геодинамических обстановок. Как показано на рис. 9, магнезиальные оливины Карымского вулканического центра соответствуют типичным характеристикам магм из перидотитового источника. О перидотитовом источнике первичных магм также свидетельствуют данные по составу оливина из пород вулканов Авачинский, Жупановский, Ключевской и Толбачик (Портнягин и др., 2005, 2017; Плечова и др., 2011; Kamenetsky et al., 2017), что, вероятно, является типичным для большей части вулканического фронта Камчатки.
Давление равновесия оцененного первичного расплава Карымского вулканического центра было определено с использованием модели (Lee et al., 2009). Полученные оценки свидетельствуют о равновесии исходного расплава с перидотитом при P = 1.5 ГПа, что отвечает глубинам около 40–50 км под вулканом. Для оценки температуры плавления мантийного источника мы использовали метод геохимической термометрии (Portnyagin et al., 2007), основанный на температурной зависимости продуктивности плавления в системе перидотит–Н2О. Этот метод позволяет оценить отклонение температуры равновесия с перидотитом от «сухого» солидуса перидотита (∆TDPS) при известных содержаниях H2O в расплаве и степени плавления перидотита (F). Согласно проведенному моделированию, первичный расплав Карымского вулканического центра (Fo92) может быть получен в результате ~ 17 мас.% плавления обогащенного источника MORB (E-DMM). Используя эту оценку степени плавления (F) и скорректированное до равновесия с оливином Fo92 (~ 3.6 мас.%) содержание H2O0 в расплаве, можно предположить, что плавление мантии происходило при температуре ~ 20°C ниже солидуса «сухого» перидотита (рис. 10). Эта оценка соответствует ~ 1250°C при давлении ~1.5 ГПа. Содержание H2O в мантийном источнике оценивается как 0.7 мас.% (Kelley et al., 2006).
В работе (Portnyagin et al., 2007) были получены данные по температурам плавления мантии для пяти вулканов Камчатки. Составы расплавов были скорректированны до равновесия с оливином Fo90-91. Таким образом, если скорректировать исследуемый в настоящей работе состав расплава до Fo90 (рис. 10), получим, что первичный расплав Карымского вулканического центра (Fo90) может быть образован в результате ~12 мас.% плавления обогащенного источника MORB (E-DMM). В этом случае плавление мантии происходило при температуре ~40°C ниже солидуса «сухого» перидотита (рис. 10), что соответствует ~ 1230°C. Определенные нами оценки температур плавления мантии под Карымским вулканическим центром ниже, чем полученные ранее в работе (Portnyagin et al., 2007). Это является прямым следствием более высоких оценок содержания Н2О в исходной магме, установленных в нашей работе. Более низкие оценки температур также получаются и для других вулканов Камчатки, для которых есть новые более надежные данные по содержанию Н2О в исходных расплавах. Например, результаты из (Mironov et al., 2015; Kamenetsky et al., 2017) по содержанию H2O = 4–5 мас.% в первичных расплавах вулканов Ключевской и Толбачик понижают оценки температур их образования до 75°C ниже солидуса «сухого» перидотита.
Рис. 9. Состав вкрапленников оливина из обр. K6-06 Карымского вулканического центра. Полями показаны составы оливинов, кристаллизующихся из магм, имеющих перидотитовый и пирокcенитовый источники (Sobolev et al., 2007). Для сравнения показаны данные для вулканов Ключевской (Портнягин и др., 2017), Авачинский (Портнягин и др., 2005), Толбачик (Kamenetsky et al., 2017) и Жупановский (Плечова и др., 2011).
Рис. 10. Параметры мантийного плавления для первичных расплавов вулканов Камчатки. На графике показаны соотношения между степенью плавления перидотита и содержанием H2O в первичных магмах (H2O0) при различных температурах плавления по модели (Portnyagin et al., 2007). Пунктирные линии показывают отклонение температур плавления от температуры «сухого» солидуса мантийного перидотита при давлении 1.5 ГПа. Полями оконтурены области составов первичных магм MORB, базальтов задуговых бассейнов (Back-arcs), Центрально-Американского (CAVA), Мексиканского (MVB) вулканических поясов и Камчатки по данным (Portnyagin et al., 2007). Для сравнения приведены данные для вулканов Ключевской (Mironov et al., 2015), Толбачик (Kamenetsky et al., 2017), Горелый (Назарова и др., 2017) и Жупановский (Плечова и др., 2011).
Таким образом, данные нашей работы и других исследователей свидетельствуют о температурах плавления мантии под Камчаткой до 50–75°С ниже солидуса «сухого» перидотита (рис. 10) под влиянием водосодержащего флюида или расплава, поступающего из субдуцирующей плиты в мантийный источник (Portnyagin et al., 2007).
Расчетные содержания Н2О и измеренные содержания Се в расплавных включениях (~ 11 г/т) позволяют оценить исходные отношения H2O/Ce (2770–5200) в родоначальных магмах и позволяют рассчитать вероятную температуру образования водосодержащего компонента при дегидратации или частичном плавлении субдуцирующей плиты по формуле (Plank et al., 2009):
T = –91.743 × ln (H2O/Ce) + 1542,
где T – температура в градусах цельсия.
Согласно проведенным расчетам, температура равновесия субдукционного компонента с субдуцирующей плитой равна 780 ± 25°С и соответствует условиям частичного плавления материала субдуцирующей плиты в водонасыщенных условиях. Температуры образования водосодержащего компонента для магм Карымского вулканического центра близки к оценкам температур вулканов Ксудач и Жупановский (Плечова и др., 2011)
ВЫВОДЫ
На основе детального изучения минералогии и составов расплавных включений в оливине из базальтов Карымского вулканического центра получены следующие результаты, позволяющие расширить и уточнить существующие представления об условиях образования магм Камчатки.
- Изученный образец содержит кристаллы оливина состава Fo77-89, одни из самых магнезиальных среди известных в породах Восточного вулканического фронта Камчатки, что позволяет максимально приблизиться к прямой оценке состава и температур кристаллизации родоначальных магм.
- Условия кристаллизации сосуществующих оливина и шпинели в высокомагнезиальном оливине Карымского вулканического центра – 1114 ± 27°С и ∆QFM = 1.5 ± 0.4. Давление кристаллизации составляет не менее 2 кбар.
- Составы расплавных включений в оливине позволяют оценить состав родоначальных магм, в том числе для летучих компонентов. Максимальное измеренное содержание Н2О в расплавах составляет ~ 4 мас.%, что почти соответствует оценке, полученной при сравнении данных ликвидусной термометрии и оливин-шпинелевого термометра (4.4 ± 1.2 мас.%) (Назарова и др., 2017).
- Первичный расплав Карымского вулканического центра имеет перидотитовый источник и мог быть образован в результате ~12–17% плавления обогащенного источника MORB (E-DMM) при ~1230–1250°C, ~1.5 ГПа.
- Данные настоящей работы и других исследований последних лет (Mironov et al., 2015; Kamenetsky et al., 2017) позволяют предположить, что наиболее типичными для образования магм Камчатки были температуры до 50–75°С ниже солидуса «сухого» перидотита, что существенно ниже, чем предполагалось ранее для частично дегидратированных расплавных включений.
Благодарности. Авторы благодарны М. Тёнеру (GEOMAR) за помощь в проведении микрозондовых анализов, С.Г. Симакину и Е.В. Потапову (Ярославский филиал ФТИАН) за проведение анализов элементов-примесей методом SIMS. Авторы признательны М.С. Тихоновой (МГУ) за проведение части измерений методом рамановской спектроскопии, Т.А. Шишкиной (ГЕОХИ РАН) за помощь и консультации при изучении расплавных включений методом рамановской спектроскопии. Авторы благодарят Н.Л. Миронова за советы в процессе написания статьи и обсуждение полученных результатов и рецензента В.С. Каменецкого за ценные комментарии и предложения.
Об авторах
Д. П. Тобелко
Институт геохимии и аналитической химии им. В.И. Вернадского РАН
Автор, ответственный за переписку.
Email: nazarovadariap@gmail.com
Россия, ул. Косыгина, 19, Москва, 119991
М. В. Портнягин
Институт геохимии и аналитической химии им. В.И. Вернадского РАН; Центр исследования океана им. Гельмгольца ГЕОМАР
Email: mportnyagin@geokhi.ru
Россия, ул. Косыгина, 19, Москва; Киль
С. П. Крашенинников
Институт геохимии и аналитической химии им. В.И. Вернадского РАН
Email: nazarovadariap@gmail.com
Россия, ул. Косыгина, 19, Москва, 119991
Е. Н. Гриб
Институт вулканологии и сейсмологии ДВО РАН
Email: nazarovadariap@gmail.com
Россия, Бульвар Пийпа, 9, Петропавловск-Камчатский, 683006
П. Ю. Плечов
Институт геохимии и аналитической химии им. В.И. Вернадского РАН; Московский государственный университет им. М.В. Ломоносова, Геологический факультет; Минералогический музей им. А.Е. Ферсмана РАН
Email: nazarovadariap@gmail.com
Россия, ул. Косыгина, 19, Москва; Воробьевы Горы, Москва; Ленинский просп., 18, корп. 2, Москва
Список литературы
- Вулканический центр: строение, динамика, вещество (Карымская структура) // Под ред. Ю.П. Масуренкова. М.: Наука, 1980. 299 с.
- Гриб Е.Н. Минералогические особенности оливинсодержащих базальтов Карымского вулканического центра // Вест. Краунц. Серия Науки о Земле. 2007. Т. 2. № 10. С. 17–32.
- Гриб Е.Н., Перепелов А.Б. Оливинсодержащие базальты Карымского вулканического центра: минералогия, петрогенезис и источники магм // Вулканология и сейсмология. 2008. № 4. С. 14–36.
- Иванов Б.В. Извержение Карымского вулкана в 1962–1965 гг. и вулканы Карымской группы. М.: Наука, 1970. 135 с.
- Назарова Д.П., Портнягин М.В., Крашенинников С.П., и др. Исходное содержание H2O и условия образования родоначальных магм вулкана Горелый (Южная Камчатка) по данным микроэлементной термобарометрии // Докл. АН. 2017. Т. 472. № 3. С. 311–314.
- Наумов В.Б., Толстых М.Л., Гриб Е.Н., и др. Химический состав, летучие компоненты и элементы-примеси расплавов Карымского вулканического центра (Камчатка) и вулкана Головнина (о. Кунашир) по данным изучения включений в минералах // Петрология. 2008. Т. 16. № 1. С. 3–20.
- Наумов В.Б., Дорофеева В.А., Гирнис А.В., Ярмолюк В.В. Сравнение содержаний петрогенных, летучих и редких элементов в расплавах океанических хребтов по данным изучения включений в минералах и закалочных стеклах пород // Геохимия. 2014. № 5. С. 387–405.
- Николаев Г.С., Арискин А.А., Бармина Г.С., и др. Тестирование Ol-Spl-Opx оксибарометра Балльхауса-Берри-Грина и калибровка нового уравнения для оценки окислительного состояния расплавов, насыщенных оливином и шпинелидом // Геохимия. 2016. № 4. С. 323–343.
- Плечова А.А., Портнягин М.В. Базанова Л.И. Происхождение и эволюция исходных магм фронтальных вулканов Камчатки по данным изучения магматических включений в оливине вулкана Жупановский // Геохимия. 2011. № 8. С. 787–812.
- Портнягин М.В., Симакин С.Г., Соболев А.В. Фтор в примитивных магмах офиолитового комплекса Троодос (о. Кипр): методика определения и основные результаты // Геохимия. 2002. № 7. С. 691–699.
- Портнягин М.В., Миронов Н.Л., Матвеев С.В., Плечов П.Ю. Петрология «авачитов»– высокомагнезиальных базальтов Авачинского вулкана, Камчатка: II. Расплавные включения в оливине // Петрология. 2005. Т. 13. № 4. С. 358–388.
- Портнягин М.В., Наумов В.Б., Миронов Н.Л., и др. Состав и эволюция расплавов извержения 1996 года в Карымском озере (Восточная Камчатка) по данным изучения включений в минералах // Геохимия. 2011. № 11. С. 1153–1178.
- Портнягин М.В., Миронов Н.Л., Назарова Д.П. Распределение меди между оливином и расплавными включениями и ее содержание в примитивных островодужных магмах Камчатки // Петрология. 2017. Т. 25. № 4. С. 419–432.
- Толстых М.Л., Наумов В.Б., Озеров А.Ю., Кононкова Н.Н. Состав магм извержения 1996 г. Карымского вулканического центра (Камчатка) по данным изучения расплавных включении // Геохимия. 2001. № 5. С. 498–509.
- Хубуная С.А., Соболев А.В. Первичные расплавы известково-щелочных магнезиальных базальтов Ключевского вулкана (Камчатка) // Докл. АН. 1998. Т. 360. № 1. С. 100–102.
- Almeev R.R., Holtz F., Koepke J., et al. The effect of H2O on olivine crystallization in MORB: Experimental calibration at 200 MPa // American Mineralogist. 2007. V. 92. P. 670–674.
- Ballhaus C., Berry R.F., Green D.H. High pressure experimental calibration of the olivine-orthopyroxene-spinel oxygen geobarometer: implications for the oxidation state of the upper mantle // Contribution to Mineralogy and Petrology. 1991. V. 107. P. 27–40.
- Braitseva O.A., Melekestsev I.V. Eruptive history of Karymsky volcano, Kamchatka, USSR, based on tephra stratigraphy and 14°C dating // Bulletin of Volcanology. 1991. V. 53. № 3. P. 195–206.
- Braitseva O.A., Melekestsev I.V., Ponomareva V.V., Sulerzhitsky L.D. The ages of calderas, large explosive craters and active volcanoes in the Kuril-Kamchatka region // Bulletin of Volcanology. 1995. V. 57. № 6. P. 383–402.
- Bucholz C.E., Gaetani G.A., Behn M.D., Shimizu N. Postentrapment modification of volatiles and oxygen fugacity in olivine-hosted melt inclusions // Earth and Planetary Science Letter. 2013. V. 374. P. 145–155.
- Chen Y., Provost A., Schiano P., Cluzel N. The rate of water loss from olivine-hosted melt inclusions // Contribution to Mineralogy and Petrology. 2011. V. 162. P. 625–636.
- Coogan L.A., Saunders A.D., Wilson R.N. Aluminum-in-olivine thermometry of primitive basalts: Evidence of an anomalously hot mantle source for large igneous provinces // Chemical Geology. 2014. V. 368. P. 1–10.
- Danyushevsky L.V., Plechov P. Petrolog3: Integrated software for modeling crystallization processes // Geochemistry. Geophysics. Geosystems. 2011. V. 12. № 7. doi: 10.1029/2011GC003516
- Ford C.E., Russel D.G., Graven J.A., Fisk M.R. Olivine liquid equilibria: temperature, pressure and composition dependence of the crystal/liquid cation partition coefficients for Mg, Fe2+, Ca and Mn // Journal of Petrology. 1983. V. 24. P. 256–265.
- Gaetani G.A., O’Leary J.A., Shimizu N., et al. Rapid reequilibration of H2O and oxygen fugacity in olivine-hosted melt inclusions // Geology. 2012. V. 40. P. 915–918.
- Gorbatov A., Kostoglodov V., Suarez G., Gordeev E. Seismicity and structure of the Kamchatka subduction zone // Journal of Geophysical Research. 1997. V. 102. P. 17883–17898.
- Grove T.L., Till C.B., Krawczynski M.J. The Role of H2O in subduction zone magmatism // Annual
- Review of Earth and Planetary Sciences. 2012. V. 40. № 1. P. 413–439.
- Jarosewich E.J., Nelen J.A., Norberg J.A. Reference samples for electron microprobe analysis // Geostandards Newsletter. 1980. V. 4. P. 43–47.
- Izbekov P.E., Eichelberger J.C., Ivanov B.V. The 1996 eruption of Karymsky volcano, Kamchatka: Historical record of basaltic replenishment of an andesite reservoir // Journal of Petrology. 2004. V. 45. P. 2325–2345.
- Kamenetsky V.S., Zelensky M., Gurenko A., et al. Silicate-sulfide liquid immiscibility in modern arc basalt (Tolbachik volcano, Kamchatka): Part II. Composition, liquidus assemblage and fractionation of the silicate melt // Chemical Geology. 2017. V. 471. P. 92–110.
- Kelley K.A., Plank T., Grove T.L., et al. Mantle melting as a function of water content beneath back-arc basins // Journal of Geophysical Research. 2006. V. 111. B09208.
- Kelley K.A., Plank T., Newman S., et al. Mantle melting as a function of water content beneath the Mariana Arc et al. // Journal of Petrology. 2010. V. 51. P. 1711–1738.
- Lange R.A. The effect of H2O, CO2 and F on the density and viscisity of silicate melts // Eds. M.R. Carrol and J.R. Holloway. Volatiles in Magmas. Reviews in Mineralogy. Mineralogical Society of America, Washington D.C. 1994. V. 30. P. 331–369.
- Le Losq C., Neuville D.R., Moretti R., Roux J. Determination of water content in silicate glasses using Raman spectrometry: Implications for the study of explosive volcanism // American Mineralogist. 2012. V. 97. № 5–6. P. 779–790.
- Lee C.-T.A., Luffi P., Plank T., et al. Constraints on the depths and temperatures of basaltic magma generation on Earth and other terrestrial planets using new thermobarometers for mafic magmas // Earth and Planetary Science Letter. 2009. V. 279. № 1. P. 20–33.
- Lloid A.S., Plank T., Ruprecht P., et al. Volatile loss from melt inclusions in pyroclasts of differing sizes // Contributions to Mineralogy and Petrology. 2013. V. 165. P. 129–153.
- Mallmann G., O’Neill H.S. Calibration of an empirical thermometer and oxybarometer based on the partitioning of Sc, Y and V between olivine and silicate melt // Journal of Petrology. 2013. V. 54. № 5. P. 933–949.
- Mironov N., Portnyagin M., Botcharnicov R., et al. Quantification of the CO2 budget and H2O–CO2 systematics in subduction-zone magmas through the experimental hydration of melt inclusions in olivine at high H2O pressure // Earth and Planetary Science Letter. 2015. V. 415. P. 1–11.
- Plank T., Cooper L., Manning C.E. Emerging geothermometers for estimating slab surface temperatures // Nature Geoscience. 2009. V. 2. P. 611–615.
- Plank T., Kelley K., Zimmer M.M., et al. Why do mafic arc magmas contain ~ 4 wt % water on average? // Earth and Planetary Science Letter. 2013. V. 364. P. 168–179.
- Plechov P., Blundy J., Nekrylov N., et al. Petrology and volatile content of magmas erupted from Tolbachik Volcano, Kamchatka, 2012–2013 // Journal of Volcanology and Geothermal Research. 2015. V. 307. P. 182–199.
- Portnyagin M.V., Hoernle K., Plechov P.Y., et al. Constraints on mantle melting and composition and nature of slab components in volcanic arcs from volatiles (H2O, S, Cl, F) and trace elements in melt inclusions from the Kamchatka Arc // Earth and Planetary Science Letter. 2007. V. 255. № 1–2. P. 53–69.
- Portnyagin M., Almeev R., Matveev S., Holtz F. Experimental evidence for rapid water exchange between melt inclusions in olivine and host magma // Earth and Planetary Science Letter. 2008. V. 272. P. 541–552.
- Ruscitto D., Wallace P.J., Cooper L., Plank T. Global Variations in H2O/Ce: II. Relationships to arc magma geochemistry and volatile fluxes // Geochemistry. Geophysics. Geosystems. 2012. V. 13. Q03025.
- Schmidt M.W., Poli S. Experimentally based water budgets for dehydrating slabs and consequences for arc magma generation // Earth and Planetary Science Letter. 1998. V. 163. P. 361- 379.
- Sisson T.W., Grove T.L. Temperatures and H2O contents of low MgO high alumina basalts // Contributions to Mineralogy and Petrology. 1993. V. 113. P. 167–184.
- Shishkina T.A., Botcharnikov R.E., Holtz F., et al. Solubility of H2O- and CO2-bearing fluids in tholeiitic basalts at pressures up to 500 MPa // Chemical Geology. 2010. V. 277. P. 115–125.
- Shishkina T., Botcharnikov R.E., Holtz F., et al. Compositional and pressure effects on the solubility of H2O and CO2 in mafic melts // Chemical Geology. 2014. V. 388. P. 112–129.
- Shishkina T.A., Portnyagin M.V., Botcharnikov R.E., et al. Experimental calibration and implications of olivine-melt vanadium oxybarometry for hydrous basaltic arc magmas // American Mineralogist. 2018. V. 103. № 3. P. 369–383.
- Sobolev A.V., Chaussidon M. H2O concentrations in primary melts from island arcs and mid ocean ridges: Implications for H2O storage and recycling in the mantle // Earth and Planetary Science Letter. 1996. V. 137. P. 45–55.
- Sobolev A.V. , Asafov E.V., Gurenko A.A., et al. Komatiites reveal an Archean hydrous deep-mantle reservoir // Nature. 2016. V. 531(7596). P. 628–632.
- Sobolev A.V., Hofmann A.W., Kuzmin D.V., et al. The amount of recycled crust in sources of Mantle Derived Melts // Science. 2007. V. 316. P. 412–417.
- Sparks R.A.J., Barclay J., Jaupart C., et al. Physical aspects of magmatic degassing I. Experimental and theoretical constraints on visiculation // Eds. Carrol M.R. and J.R. Holloway. Volatiles in Мagmas. Reviews in Мineralogy. Mineralogical Society of America. Washington D.C. 1994. V. 30. P. 413–445.
- Stolper E., Newman S. The role of water in the petrogenesis of Mariana trough magmas // Earth and Planetary Science Letter. 1994. V. 121. P. 293–325.
- Sun S.-s., McDonough W.F. Chemical and isotopic systematics of oceanic basalts^ implications for mantle composition and processes // Eds. A.D. Saunders, M.J. Norry. Magmatism in the Ocean Basins, Geological Society Special Publication, London. 1989. V. 42. P. 313–345.
- van Keken P.E., Kiefer B., Peacock S.M. High-resolution models of subduction zones: Implications for mineral dehydration reactions and the transport of water into the deep mantle // Geochemistry. Geophysics. Geosystems. 2002
Дополнительные файлы












