Equation of state of the fluid system H2O-CO2-CaCl2 and properties of fluid phases at P-T parameters of the middle and lower crust
- 作者: Ivanov M.V.1, Bushmin S.A.1
-
隶属关系:
- Institute of Precambrian Geology and Geochronology, Russian Academy of Sciences
- 期: 卷 27, 编号 4 (2019)
- 页面: 431-445
- 栏目: Articles
- URL: https://journals.eco-vector.com/0869-5903/article/view/15255
- DOI: https://doi.org/10.31857/S0869-5903274431-445
- ID: 15255
如何引用文章
全文:
详细
A numerical thermodynamic model is proposed for one of the most important geological fluid system – triple system H2O-CO2-CaCl2 at P-T conditions of the middle and lower crust, as well as for the crust-mantle boundary. The model is based on the equation for concentration dependence of the excess Gibbs free energy, proposed earlier, and for the first time obtained P-T dependencies of the coefficients of the equation of state (EOS) expressed via molar volumes of the components. The EOS allows predictions of the properties of the fluid, participating in the majority of the processes of depth petrogenesis: its phase state (homogeneous or multi-phase), densities of the fluid phases, concentrations of the components in the co-existing phases, and chemical activities of the components. The model precisely reproduces all available experimental data on the phase state of the ternary fluid system H2O-CO2-CaCl2 in the ranges of temperature 773.15–1073.15 K and pressures 0.1-0.9 GPa and allows, as well, correct application of the EOS beyond the experimentally studied domain of temperatures and pressures – namely up to P = 2 GPa and up to T = 1673.15 K. The possibility of the correct extrapolation of our EOS is ensured by using the parametrization of P-T dependencies via the molar volume of water. The latter remains in the experimental domain of values or very near to its boundaries, when increasing temperatures and pressures.
全文:
ВВЕДЕНИЕ
Глубинные флюиды играют важную роль в процессах петрогенеза в земной коре и в транспорте вещества в ее верхние слои. При подъеме к поверхности глубинные флюиды испытывают значительные изменения таких параметров, как температура (T) и давление (P). При этом происходит изменение важнейших физико-химических свойств флюидов: химических активностей компонентов флюидов, степени диссоциации растворенных электролитов, кислотности флюида. Состав флюида может меняться как в результате взаимодействия с породой, так и вследствие изменения фазового состояния флюида. Совокупность этих обстоятельств делает актуальным теоретическое исследование термодинамики природных флюидов. Достаточно типичен состав водного флюида, включающий хлориды щелочных и щелочноземельных металлов и неполярные газы, в частности CO2. Флюиды такого состава играют важную роль в формировании метаморфических минеральных ассоциаций (например, Trommsdorff et al., 1985; Markl, Bucher, 1998; Heinrich et al., 2004; Manning, Aranovich, 2014). Наряду с наиболее распространенной солью NaCl, CaCl2 является важным компонентом, присутствующим в природных водно-солевых флюидах. Флюиды, богатые CaCl2, в том числе содержащие углекислый газ, играют важную роль в глубинных процессах метаморфизма и метасоматоза, выноса глубинного рудного вещества в верхние слои земной коры (Bischoff et al., 1996; Аранович, 2017).
В последнее время большой интерес вызывают явления, связанные с возможной гетерогенизацией сложных флюидов при высоких Р и Т. В настоящее время для тройной системы H2O-CO2-NaCl имеются термодинамические модели, позволяющие описывать ее фазовое состояние и получать ряд важных термодинамических характеристик при высоких температуре и давлении. Для P-T режимов верхней части коры имеются современные модели (Sun, Dubessy, 2012; Dubacq et al., 2013). Для наиболее высоких P-T параметров такие модели разработаны в (Duan et al., 1995; Аранович и др., 2010). В то же время для другой важнейшей флюидной системы – тройной системы H2O-CO2-CaCl2 такие модели отсутствуют. Развитие термодинамической модели системы H2O-CO2-CaCl2, функционирующей при P-T параметрах, характерных для средней и нижней коры, является целью настоящей работы.
ТЕОРЕТИЧЕСКИЙ МЕТОД
Свободная энергия Гиббса
В настоящей работе мы представляем термодинамическую модель системы H2O-CO2-CaCl2 для высоких давлений и температур, развитую на основе уравнения для избыточной свободной энергии Гиббса. Форма зависимости свободной энергии смешения Гиббса Gmix (Дж/моль) от концентрации компонентов совпадает с предложенной для тройной системы H2O-CO2-NaCl в (Аранович и др., 2010). В этой же работе приводятся соответствующие формулы для вычисления активностей компонентов тройной системы. В нашем случае для температуры (T, K), давления P и мольных долей компонентов x1 = xH2O, x2 = xCO2, x3 = xCaCl2 (Σxi = 1) уравнение для свободной энергии Гиббса имеет вид:
Gmix = Gid + Ga + Gex, (1)
Gid = RT(x1 ln x1 + x2 ln x2 + x3 ln x3), (2)
Ga = –x1RT ln [1 + ax3/(x1 + x3)] + x3 {(1 + a)RT ln (1 + a) + aRT ln [ x3/(x1 + x3)]– (3) –(1 + a)RT ln [1 + ax3/(x1 + x3)]},
Gex = x1x2W1(P, T)r12(x1, x2) + x1x3W2(P, T) + x2x3[x2W3(P, T) + x3W4(P, T)]/(x2 + x3)+ (4) + x1x2x3W5(P, T)
Слагаемое Gid представляет собой вклад в свободную энергию идеальной энтропии смешения трех компонентов системы. Слагаемое Ga дает дополнительный энтропийный вклад в свободную энергию, возникающий вследствие диссоциации (Aranovich, Newton, 1996, 1997) молекул CaCl2. a – «эффективная» степень диссоциации (среднее дополнительное число частиц, появляющееся в результате диссоциации одной молекулы CaCl2). Полной диссоциации соответствует a = a0 = 2. В уравнении для избыточной свободной энергии Гиббса Gex слагаемое с коэффициентом W1 описывает взаимодействие молекул воды и CO2. Это слагаемое совпадает с таковым из (Аранович и др., 2010; Аранович, 2013).
W1 = 0.202046 м3/моль,
ρ12(x1, x2) = (x1 + x2)/(V1x1 + V2x2), (5)
где V1 = VH2O и V2 = VCO2 – мольные объемы чистой воды и углекислого газа при заданных температуре и давлении. Для этих двух величин имеются достаточно точные эмпирические формулы, описывающие весьма широкие диапазоны температур и давлений. Для воды это термодинамическая модель IAPWS-95 (Wagner, Pruß, 2002), с высокой точностью воспроизводящая весьма многочисленные экспериментальные результаты и применимая во всей области химической стабильности H2O. Для углекислого газа имеется сходная термодинамическая модель (Span, Wagner, 1996), полученная на основе высокоточных экспериментальных данных для давлений до 800 МПа и температур до 1100 К. Сравнение результатов, даваемых уравнениями (Span, Wagner, 1996) с экспериментальными данными для температур до 1600 К и давлений до 3600 МПа, проведенное в той же работе, показало очень хорошее согласование с экспериментом. Данное обстоятельство позволило сделать вывод о применимости термодинамического описания CO2 для всей области химической стабильности CO2 (Span, Wagner, 1996). Это же обстоятельство обусловило предпочтение в настоящей работе модели (Span, Wagner, 1996) по сравнению с моделью (Zhang, Duan, 2009). Таким образом, описание зависимости взаимодействия молекул воды и CO2 от P и T в нашей модели совпадает с моделью (Аранович и др., 2010). Аналогичные зависимости для величин a, W2, ..., W5 существенно отличаются от (Аранович и др., 2010) и будут рассмотрены ниже в их связи с экспериментальными данными.
Производные термодинамические величины
Как было отмечено, наша модель для свободной энергии Гиббса позволяет рассчитывать активности компонентов системы с использованием формул, приведенных в (Аранович и др., 2010). Для каждого компонента в системе из трех и более компонентов в качестве стандартного состояния выбирается состояние этого чистого компонента.
Другой важнейшей величиной, получаемой из нашей модели, является плотность трехкомпонентного флюида. Плотность флюида получается из его мольного объема, который дается соотношением:
где
.
Вычисление мольных объемов воды и углекислого газа при заданных температуре и давлении было описано выше. Мольный объем расплавленного CaCl2 при высоком давлении мы получили, используя уравнение для мольного объема расплавленной соли из (Driesner, 2007):
,
где M3 = 110.984 – молекулярный вес CaCl2, kT его изотермическая сжимаемость, r0,CaCl2 – плотность при атмосферном давлении. Согласно (Janz, 1988), плотность расплава CaCl2 при атмосферном давлении линейно зависит от температуры:
, г/см3.
В (Bockris et al., 1962) для адиабатической сжимаемости kS расплава CaCl2 экспериментально получена линейная зависимость от температуры. В этой же работе даны экспериментальные значения отношения изобарической Cp и изохорической CV теплоемкостей расплава CaCl2 g = Cp /CV для трех различных температур 800, 900 и 1000°C. Использование соотношения между величинами kS, kT и g, следующего из уравнений (1) и (5) работы (Bockris, Richards, 1957) позволяет вычислить значения kT в этих трех температурных точках. На основе этих величин нами получена линейная аппроксимация температурной зависимости kT, которая имеет вид:
kT = 1.6264 · 10–13T – 3.6753 · 10–11, Па–1.
Сочетание приведенных формул определяет зависимость V3 от температуры и давления.
Опорные экспериментальные данные
Основной массив экспериментальных данных, пригодных для калибровки уравнения состояния тройной системы H2O-CO2-CaCl2 выше критической точки воды, образуют результаты экспериментов по фазовому состоянию этой системы (Zhang, Frantz, 1989; Shmulovich, Graham, 2004). Эти эксперименты ограничены диапазоном температур от 773.15 K до 1073.15 K и давлений от 100 МПа до 900 МПа. Результаты этих экспериментов представлены на рис. 1. Численные значения параметров, определяющих зависимости от температуры и давления величин a и W2,..., W5, должны быть подобраны таким образом, чтобы вычисляемые из модели положения границы, разделяющей области гомогенного и двухфазного флюидов – сольвуса или бинодали (Diamond, 2003; Heinrich, 2007), соответствовали экспериментальным данным.
Аппроксимация P-T зависимостей и численный подбор параметров
Для любой отдельно взятой комбинации температуры и давления соответствующим подбором численных значений a и W2,..., W5, в формулах (1)–(4) возможно получение модельного сольвуса, полностью отвечающего экспериментальным данным (Zhang, Frantz, 1989; Shmulovich, Graham, 2004). Критически важным для построения термодинамической модели, пригодной как для определения фазового состояния флюида вне экспериментально изученных комбинаций P-T, так и для расчета более широкого круга термодинамических параметров, является нахождение таких форм зависимости параметров (a, W2,..., W5) от температуры и давления, которые при минимальном числе эмпирических коэффициентов воспроизводили бы экспериментальные данные в максимально широком диапазоне P и T.
Рис. 1. Экспериментальные и модельные данные по фазовому состоянию системы H2O-CO2-CaCl2. Незалитые кружки – двухфазный флюид, залитые кружки – гомогенный флюид, сплошные линии – граница гомогенной области (сольвус) по нашей модели. Экспериментальные данные: (а)–(е) – (Zhang, Frantz, 1989); (ж)–(з) – (Shmulovich, Graham, 2004).
Рассмотрение зависимости параметров модели от температуры и давления мы начнем с величины a. Степень диссоциации молекул CaCl2 во флюиде должна, вообще говоря, зависеть от всех определяющих систему параметров. Точный вид этой зависимости неизвестен и в рамках настоящей работы не может быть получен. Однако нашей целью является получение согласованного с экспериментом термодинамического описания системы H2O-CO2-CaCl2. Для достижения этой цели оказывается достаточным введение для величины a разумной аппроксимации, которая усредненным образом описывает зависимость a от температуры и давления.
Очевидно, что степень диссоциации молекул CaCl2 должна зависеть от плотности воды. С одной стороны, если температура не столь высока, чтобы вызвать диссоциацию в газовой фазе, то при стремлении плотности воды к нулю степень диссоциации также должна стремиться к нулю. С другой стороны, для сильного электролита CaCl2 при высокой плотности воды естественно ожидать, что степень диссоциации будет близка к максимальной a = a0 = 2. Данным качественным соображениям отвечает формула:
(6)
с параметрами a, V0 и q, обеспечивающая плавный переход от a(V1) ≈ a0 при V1 < V0 – q к a(V1) ≈ a0 / [1 + 2a2(V1 – V0)] при V1 > V0 + q с переходной областью шириной 2q в окрестности V1 = V0. Формула, аналогичная знаменателю в уравнении (6), была использована в (Ivanov, 2001) для обеспечения плавного перехода между вещественными и подвергнутыми комплексному вращению координатами в уравнении Шредингера. Поскольку точный вид зависимости степени диссоциации неизвестен, мы воспользовались формулой (6) с подбираемыми на основе эксперимента параметрами a, V0 и q. Такой подход оказался достаточным для описания имеющегося экспериментального материала.
Для нахождения отвечающей экспериментальным данным формы зависимости коэффициентов W2,..., W5 от температуры и давления мы провели численный подбор значений W2,..., W5 отдельно для каждой P-T комбинации, для которой имеются данные в работах (Zhang, Frantz, 1989; Shmulovich, Graham, 2004).
Также как при работе с полным набором экспериментальных данных (см. ниже) подбор численных значений параметров осуществлялся путем минимизации функции, зависящей от расстояния от линии фазовой границы (определяемой параметрами модели) до экспериментальных точек, попадающих при данных значениях параметров в «неправильные» области. Данная функция может являться как суммой квадратов этих расстояний, так и обеспечивающей большую робастность алгоритма минимизации суммой этих расстояний в степени меньше 2. В представленном расчете минимизация осуществлялась для суммы расстояний в степени 1.25, что обеспечивает меньшее влияние отскакивающих экспериментальных точек на результат. Подробности расчетной методики будут опубликованы отдельно.
Свободная энергия Гиббса рассчитанная с полученными для отдельных P-T комбинаций значениями W2,..., W5, определяет границу гомогенный флюид-двухфазный флюид (сольвус), не противоречащую экспериментальным данным. Поскольку экспериментальные точки достаточно удалены друг от друга и не образуют сплошных полей, такое определение величин W2,..., W5 не является однозначным и служит лишь инструментом для выявления их P-T зависимостей. Анализ полученных данных показал, что для описания имеющегося набора экспериментальных данных достаточно предположить линейную зависимость W2,..., W5 от мольного объема воды
Wi(P, T) = ui0 + ui1V1(P, T), i = 2,..., 5. (7)
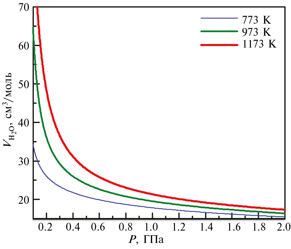
Анализ барической зависимости свойств глубинных водосодержащих флюидов (Manning, 2018) показывает, что в области высоких давлений, выше 0.5 ГПа, характерных для средней и нижней частей земной коры, изменение их физико-химических свойств с повышением давления происходит значительно более плавно, чем при относительно низких давлениях. Таким же образом ведет себя и мольный объем воды (рис. 2), что обуславливает и соответствующее поведение величин W2,..., W5. С физической точки зрения, также более естественным является описание взаимодействия молекул воды с молекулами растворенного в ней вещества через мольный объем воды, а не через величину давления. Давление является внешним фактором, определяющим мольный объем воды. Весьма сложная зависимость этой величины от давления (Wagner, Pruß, 2002) основывается на экспериментальном материале, на порядки превосходящем по числу измерений и их точности данные, относящиеся к взаимодействию воды с растворенными веществами. При этом физическое взаимодействие молекул воды и молекул растворенного вещества, описываемое величинами W2,..., W5, в первую очередь зависит от межмолекулярных расстояний, определяемых мольным объемом.
Рис. 2. Зависимость мольного объема воды от давления при нескольких значениях температуры.
Твердая и расплавленная фазы CaCl2
При некоторых количественных соотношениях компонентов в системе H2O-CO2-CaCl2 помимо флюидных фаз могут появляться также твердые либо расплавленные фазы CaCl2. В отличие от флюидных фаз, экспериментальные данные по термодинамике твердого CaCl2 при давлениях выше атмосферного, включая его температуру плавления, отсутствуют. В то же время существуют достаточно подробные экспериментальные данные по зависимости от давления температуры плавления галидов натрия (Pistorius, 1966). Для этих соединений экспериментальные зависимости температуры плавления от давления Tm(P) с высокой точностью аппроксимируются уравнением Саймона (Simon, Glatzel, 1929; Pistorius, 1966):
Tm(P) = T0[(P – P0)/A + 1]1/c,
где P0 может быть принято равным нулю, а T0 является температурой плавления при атмосферном давлении. Экспериментально установленные значения параметров A и c для NaCl равны 15 кбар и 2.969 соответственно. Величина Ac определяет начальный наклон кривой плавления:
В то же время значение величины Ac может быть определено из равенства:
(Pistorius, 1966), где ∆Vf это изменение мольного объема при плавлении, а ∆Sf – соответствующее изменение энтропии. Величины ∆Sf для NaCl и CaCl2 различаются не слишком сильно и составляют 26.223 и 27.314 Дж/K/моль соответственно (Chase, 1988). Однако величины ∆Vf для этих двух соединений различны и составляют 7.55 см3/моль для NaCl и 0.49 см3/моль для CaCl2 (Schinke, Sauerwald, 1952). Отсюда следует, что Tm для CaCl2 увеличивается с давлением значительно медленнее, чем в случае NaCl. Для полной кривой плавления мы приняли значение величины c = 2.969, что дает Tm = 1084 K при 2 ГПа против T0 = 1045 K, в то время как для NaCl T0 = 1074 K и Tm = 1357 K при 2 ГПа.
Выше температуры плавления для CaCl2, как и для других легко растворимых солей, предполагается смесимость с водой в любых пропорциях (Shmulovich, Graham, 2004; Sterner et al., 1992; Chou I-Ming, 1987). Ниже точки плавления наличие или отсутствие кристаллической фазы CaCl2 в равновесии с его водным раствором определяется изменением химического потенциала CaCl2 при переходе из твердой в жидкую фазу ∆μ(T). Для атмосферного давления эта величина как функция температуры может быть получена из термодинамических таблиц (Chase, 1988). Для более высоких давлений мы использовали эту же функцию с модифицированной температурой ∆μ(T – Tm + T0).
РЕЗУЛЬТАТЫ
Соответствие модельных результатов эксперименту
Соответствие термодинамической модели (1)–(7) экспериментальным результатам было подтверждено совместным уточнением параметров ui0, ui1, a, V0, q. Полученные численные значения параметров модели приведены в таблице, а расчитанные с их помощью сольвусы показаны в виде сплошных линий на рис. 1. Видно, что согласие между экспериментальными результатами и теоретическими предсказаниями нашей модели очень хорошее. Помимо работ (Zhang, Frantz, 1989; Shmulovich, Graham, 2004) экспериментальные данные по рассматриваемой нами системе были представлены Шмуловичем и Плясуновой (1993). Позднее эти данные были критически пересмотрены в (Shmulovich, Graham, 2004). Согласно объяснениям, приведенным в последней работе, результаты Шмуловича и Плясуновой (1993) содержат систематическую ошибку, уменьшающуюся с увеличением температуры. Таким образом, результаты этой работы для T = 773.15 K оказываются непригодными для использования. Однако, в связи с крайней ограниченностью доступного экспериментального материала для давлений выше 0.3 ГПа, помимо данных (Zhang, Frantz, 1989; Shmulovich, Graham, 2004), мы использовали при уточнении параметров модели результаты (Шмулович, Плясунова, 1993) для P = 0.5 ГПа и T = 973.15 K со значительно меньшим, чем для других экспериментальных данных, весом.
Численные параметры модели, согласно уравнениям (1)–(7)
a | 8.94694554E-01 | моль1/2/см3/2 |
V0 | 3.88162078E+01 | см3/моль |
q | 3.89103466E-00 | см3/моль |
u20 | 2.49162269E+03 | Дж/моль |
u21 | 3.33471967E+01 | Дж/см3 |
u30 | –1.86735799E+05 | Дж/моль |
u31 | 1.54381283E+04 | Дж/см3 |
u40 | –1.79267486E+05 | Дж/моль |
u41 | 1.54210444E+04 | Дж/см3 |
u50 | –8.92808790E+04 | Дж/моль |
u51 | 4.45755021E+02 | Дж/см3 |
Рис. 3. Общий вид фазовой диаграммы для системы H2O-CO2-CaCl2 при температурах ниже точки плавления CaCl2 (T = 773.15 K, P = 1.2 ГПа). Жирные линии – границы области сосуществования двух флюидных фаз. Тонкие линии – границы области существования твердой фазы CaCl2.
Рис. 4. Фазовая диаграмма для системы H2O-CO2-CaCl2 при T = 773.15 K и P = 0.2 ГПа.
Рис. 5. Фазовая диаграмма для системы H2O-CO2-CaCl2 при T = 973.15 K и P = 0.5 ГПа.
Рис. 6. Фазовая диаграмма для системы H2O-CO2-CaCl2 при температуре выше точки плавления CaCl2 (T = 1123.15 K и P = 0.5 ГПа).
Рис. 7. Фазовая диаграмма для системы H2O-CO2-CaCl2 при T = 1123.15 K и P = 0.9 ГПа.
Рис. 8. Фазовая диаграмма для системы H2O-CO2-CaCl2 при T = 1073.15 K и P = 0.5 ГПа.
Рис. 9. Активности воды и CaCl2 вдоль сольвуса при Т = 1123.15 К и Р = 0.9 ГПа.
Фазовые соотношения при различных температурах и давлениях
Примеры фазовых диаграмм для системы H2O-CO2-CaCl2 при различных значениях T и P как ниже, так и выше точки плавления CaCl2 приведены на рис. 3–8. На рис. 3 представлен общий вид фазовой диаграммы системы H2O-CO2-CaCl2 при T < Tm. Диаграмма состоит из пяти полей, различающихся числом флюидных фаз и наличием или отсутствием твердого CaCl2. При относительно низких концентрациях CO2 и CaCl2 фазовым состоянием системы является однородный флюид. Увеличение концентрации этих компонентов при не слишком малой доле CO2 ведет к разделению флюида на две фазы – одну с преимущественным содержанием CO2 и малой концентрацией CaCl2 и, вторую, со значительным содержанием CaCl2и малым содержанием CO2. Увеличение концентрации CaCl2 как в однородном, так и в двухфазном флюиде приводит к появлению сосуществующего с флюидом твердого CaCl2. При очень большой доле CO2 система состоит из твердого CaCl2, сосуществующего с флюидом, состоящим из CO2 с некоторым количеством воды и пренебрежимо малой долей CaCl2.
Фазовая диаграмма на рис. 3 построена для T = 773.15 K и P = 1.2 ГПа. При этих параметрах хорошо видны все области возможных фазовых состояний системы. Мольный объем воды V1 = 17.2 см3/моль при этих параметрах меньше, чем его минимальные значения в экспериментальной области (V1 = 23.3 см3/моль при T = 773.15 K, P = 0.3 ГПа; V1 = 21.1 см3/моль при T = 1073.15 K, P = 0.9 ГПа). Аналогичные фазовые диаграммы для области экспериментальных значений параметров приведены на рис. 4 и 5. Для этих параметров область сосуществования насыщенного рассола с кристаллическим хлоридом кальция оказывается весьма близкой к оси H2O-CaCl2, что означает практически нулевую растворимость углекислого газа в насыщенном растворе CaCl2.
Фазовые диаграммы системы при T > Tm представлены на рис. 6–8. Их вид проще, чем для T < Tm. Помимо областей гомогенного флюида и двух сосуществующих флюидных фаз эти диаграммы могут содержать область сосуществования расплавленного CaCl2 и преимущественно углекислотного флюида с некоторым количеством воды и пренебрежимо малым содержанием CaCl2. С ростом давления эта область становится уже и, в конечном счете, исчезает (рис. 6 и 7). Увеличение температуры ведет к некоторому расширению этой области (рис. 8 и 6).
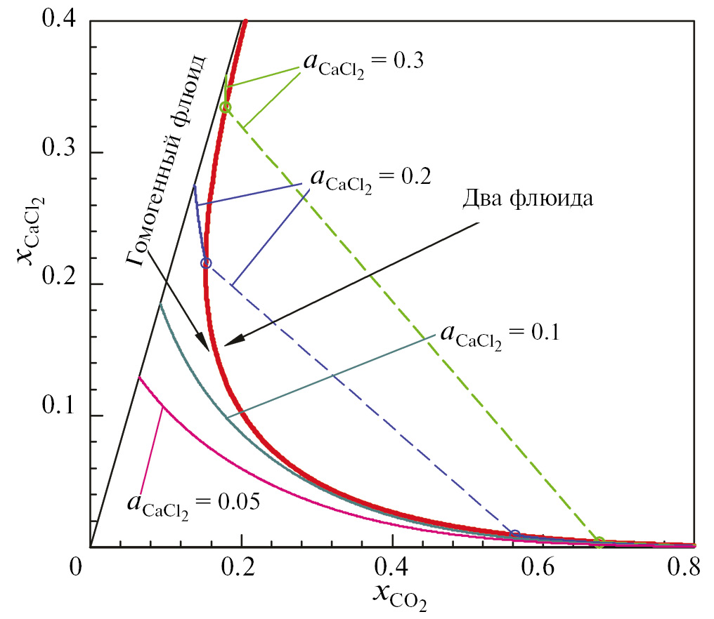
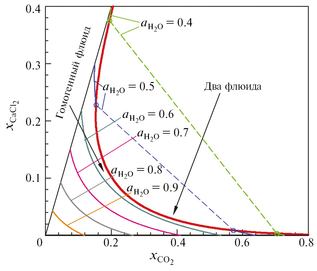
Активности компонентов
Наша термодинамическая модель включает в себя полное описание свободной энергии Гиббса, что делает возможным вычисление активностей компонентов системы. В частности, можно рассчитать значения активности воды на сольвусе (границе раздела областей гомогенного и двухфазного флюида), что, в свою очередь, позволяет определить составы сосуществующих флюидных фаз в двухфазной области.
Рис. 10. Активность воды в зависимости от состава гомогенного флюида H2O-CO2-CaCl2 при Т = 1123 К и Р = 0.9 ГПа. Жирная сплошная линия – (сольвус), разделяет области гомогенного и двухфазного флюида, пунктир – конноды сосуществующих флюидных фаз, тонкие сплошные – изолинии aH2O – химической активности воды.
Рис. 11. Активность CaCl2 в зависимости от состава го мо генного флюида H2O-CO2-CaCl2 при Т = 1123 К и Р = 0.9 ГПа. Жирная сплошная линия – (сольвус), разде ляет области гомогенного и двухфазного флюида, пунктир – конноды сосуществующих флюидных фаз, тонкие сплош ные – изолинии aCaCl2 – химической активности CaCl2.
Кривые активности воды и CaCl2 вдоль сольвуса представлены на рис. 9. В крайней левой и правой точках рисунка активность воды принимает равные значения 0.4. Эти точки соответствуют двум сосуществующим флюидным фазам, составы которых отвечают концам конноды на рис. 10. Верхняя горизонтальная линия на рис. 9 отвечает активности воды 0.5. Ей соответствует более короткая коннода на рис. 10. На этом же рисунке показаны линии равных активностей воды в области гомогенного флюида. Максимальное значение активности воды на рис. 9 отвечает критической точке при заданных P-T параметрах. В противоположность этому, активность CaCl2 минимальна в критической точке и возрастает при удалении от нее. Изолинии активностей CaCl2 и конноды, соединяющие точки, отвечающие составам сосуществующих фаз, представлены на рис. 11. Совершенно очевидным является увеличение активности CaCl2 с возрастанием его мольной доли. Однако для сосуществующих флюидных фаз равными являются активности всех трех компонентов. Составы сосуществующих фаз, отвечающие коннодам с активностью CaCl2 0.2 или 0.3, весьма различаются. Верхним концам этих коннод соответствуют концентрированные водно-солевые растворы с чрезвычайно малым содержанием CO2. Напротив, нижним концам коннод соответствуют водно-углекислотные флюиды с малым количеством соли. Тем не менее активность CaCl2 в этих флюидах столь же высока, как и в концентрированных водно-солевых растворах.
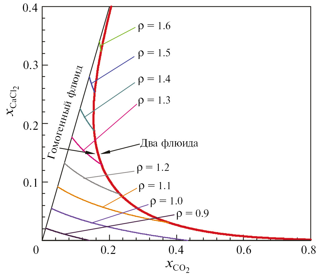
Плотность флюида
Важнейшей характеристикой флюида, определяющей его транспортные и физико-химические свойства, является его плотность (Driesner, 2007; Mao et al., 2015; Manning, 2018). На рис. 12 представлен пример расчета плотности трехкомпонентного флюида по нашей модели. При T = 1123 K и P = 900 МПа плотности чистых фаз составляют 0.835, 1.132 и 2.239 г/см3 для H2O, CO2 и CaCl2 соответственно. Представленный набор изолиний плотности r позволяет проследить ее увеличение по мере замены наименее плотного компонента H2O на более плотные CO2 и CaCl2. На рис. 13 представлена плотность флюида на сольвусе в зависимости от активности воды. Каждая кривая на этом рисунке состоит из двух ветвей, сходящихся при активности воды, соответствующей критической точке. Верхняя ветвь кривой дает плотность флюидной фазы с более высоким содержанием CaCl2, нижняя ветвь отвечает флюидной фазе преимущественно водно-углекислотного состава с малым содержанием CaCl2. Любая мысленно проведенная вертикальная линия на этом рисунке, пересекающая в двух точках кривую r(aH2O), соответствует конноде, а точки пересечения определяют плотности сосуществующих флюидных фаз. Для двух показанных на рисунке зависимостей r(aH2O) (соответствующих двум комбинациям P и T) плотности фаз с высоким содержанием CaCl2 сравнительно близки. В противоположность этому, плотность водно-углекислотного флюида достаточно сильно зависит от давления и уменьшается при его снижении. В конечном счете, при достаточно низких давлениях это приводит к разделению флюида на условно газовую фазу, состоящую из воды и углекислого газа, и много более плотный рассол, практически не содержащий CO2.
Рис. 12. Плотность r (г/см3) гомогенного флюида H2O-CO2-CaCl2 в зависимости от концентрации его компонентов при Т = 1123 К и Р = 0.9 ГПа.
Рис. 13. Плотность флюида на сольвусе в зависимости от активности воды. Точки на верхней и нижней ветвях кривых, отвечающие одной и той же активности воды, соответствуют плотностям сосуществующих флюидных фаз. Верхняя ветвь каждой кривой – плотность флюида с высоким содержанием CaCl2, нижняя ветвь – преимущественно водно-углекислотный флюид с малым содержанием CaCl2.
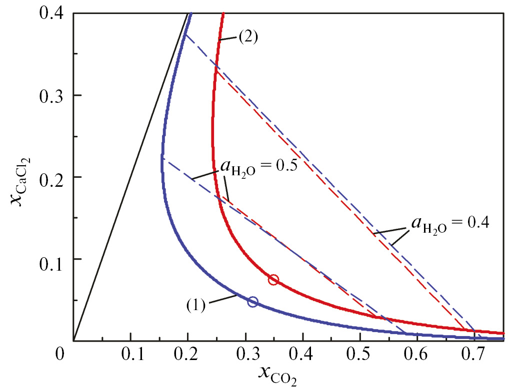
Сравнение с системой H2O-CO2-NaCl
Достаточно интересным является вопрос сходства и различия в поведении водных флюидов с углекислым газом и различными солями. На рис. 14 мы приводим сравнение линий сольвуса и коннод, отвечающих определенным значениям активности воды для систем H2O-CO2-NaCl и H2O-CO2-CaCl2. Данные для H2O-CO2-CaCl2 получены по нашей модели, данные для H2O-CO2-NaCl – по модели (Аранович и др., 2010). Растворимость CO2 в H2O-CaCl2 существенно ниже, чем в H2O-NaCl, поэтому область двухфазного флюида на фазовой диаграмме для H2O-CO2-CaCl2 шире, чем на фазовой диаграмме для H2O-CO2-NaCl. Конноды, отвечающие активности воды 0.4, весьма близки для обеих систем как по расположению, так и по наклону. Для большей активности воды 0.5 взаимное расположение коннод остается достаточно близким, однако угол наклона конноды для H2O-CO2-CaCl2 относительно горизонтальной оси меньше. С дальнейшим увеличением активности воды конноды приближаются к критическим точкам. При этом различие в углах наклона коннод для H2O-CO2-NaCl и H2O-CO2-CaCl2 увеличивается. Максимально возможные значения активности воды в области сосуществующих флюидных фаз существенно различаются для H2O-CO2-CaCl2 и H2O-CO2-NaCl. В приведенном на рис. 14 примере с T = 1073.15 K и P = 0.9 ГПа эти величины составляют 0.572 для H2O-CO2-CaCl2 и 0.547 для H2O-CO2-NaCl.
Рис. 14. Сольвусы и конноды сосуществующих флю идных фаз для H2O-CO2-CaCl2 (1, настоящая работа) и для H2O-CO2-NaCl (2, Аранович и др., 2010) при T = 1073.15 K и P = 0.9 ГПа. Незалитыми кружками обозначены критические точки.
Возможности экстраполяции в область более высоких P-T параметров
Термодинамическая модель (1)–(7) с приведенными в таблице параметрами воспроизводит имеющиеся экспериментальные данные в диапазоне температур 773.15–1073.15 K и давлений 0.1–0.9 ГПа. Наша параметризация P-T зависимостей коэффициентов свободной энергии Гиббса через естественные и хорошо известные величины мольного объема воды и CO2 делает возможным применение нашей модели за пределами экспериментального диапазона P-T параметров. Возможности такой экстраполяции способствует то обстоятельство, что как плотность воды, так и плотность CO2, вместе с соответствующими мольными объемами, слабо изменяются вблизи верхней границы экспериментального диапазона P-Tпараметров. В первую очередь это относится к наиболее интересной с практической точки зрения возможности использования модели при высоких и очень высоких давлениях (см. рис. 2). Диапазон экспериментальных значений давления, использованных при построении нашей модели, от 0.1 до 0.9 ГПа. Мольный объем воды, который полностью определяет поведение нашей модели, в этом интервале давлений изменяется приблизительно в 3 раза. В то же время увеличение давления от 0.9 ГПа до 2 ГПа приводит к снижению этой величины всего на 20%, что позволяет предположить возможность даже более серьезной экстраполяции, чем в приведенном ниже примере. При этом увеличение температуры выше 1173.15 K может повышать мольный объем воды для давлений 0.9–2 ГПа до его значений в экспериментальной области.
Рис. 15. Фазовые диаграммы для серии различных величин давления при температуре 1173.15 K. Жирные линии – сольвусы, разделяющие область гомогенного флюида (левее и ниже линии) и область двух сосуществующих флюидных фаз (правее и выше). Незалитыми кружками обозначены критические точки, в которых химическая активность воды достигает максимального значения для данного сольвуса и для соответствующей области двухфазного флюида. Для P = 0.4 ГПа фазовая диаграмма содержит область сосуществования расплавленного CaCl2 и флюида, богатого CO2 (правее тонкой линии). Для более высоких давлений фазовые диаграммы содержат только области флюидных фаз.
Рис. 16. Максимальные активности воды в двухфазной области для флюида H2O-CO2-CaCl2.
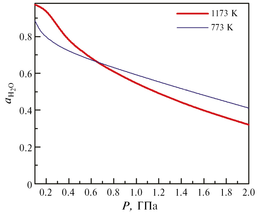
Проверка нашей модели при температурах и давлениях, выходящих за пределы экспериментально исследованной области, показала отсутствие проблем в ее использовании по меньшей мере до давлений 2 ГПа и температур до 1673.15 K. Пример использования нашего уравнения состояния для высоких P-T параметров приведен на рис. 15, где для T = 1173.15 K представлены сольвусы для диапазона от 0.4 ГПа до 2 ГПа. С увеличением давления возрастает растворимость CO2 в рассоле H2O-CaCl2 и, соответственно, сокращается многофазная область, в которой возможно сосуществование двух флюидных фаз.
Важной петрологической характеристикой является достигаемая в критических точках максимальная активность воды, возможная в области сосуществования двух флюидных фаз. На рис. 15 критические точки обозначены кружками. Величины активности воды в критических точках в зависимости от давления представлены на рис. 16 для двух значений температуры. При возрастании давления от 0.1 ГПа до 2 ГПа эти величины убывают более чем в два раза. Интересно также отметить, что рост давления вызывает значительное повышение концентрации CO2 в критических точках, сопровождающееся достаточно малым изменением концентрации CaCl2.
Флюид в реальной геологической системе
Отмеченное выше различие в физико-химических свойствах, например, в предельных величинах активности воды для двухфазных несмесимых флюидов в системах H2O-CO2-NaCl и H2O-CO2-CaCl2 имеет значение для интерпретации и анализа данных по флюидным системам реальных геологических процессов. В качестве примера рассмотрим результаты исследования флюидной фазы НР гранулитов и сингранулитовых НР метасоматитов в Лапландском гранулитовом поясе Фенноскандинавского щита (Бушмин и др., 2017, 2018, 2019) с особым вниманием к величинам активности Н2О. Значения активности воды около aH2O = 0.51, рассчитанные по минеральным равновесиям при 10–11 кбар и 900°С, лежали в поле гомогенного H2O-CO2-NaCl флюида. Эти же значения активности воды лежали в диапазоне, допускающем сосуществование двух несмесимых фаз в системе H2O-CO2-CaCl2. Исследование флюидных включений в минералах тех же образцов показало, что во флюидной фазе, наряду с растворенной солью NaCl, в преобладающем количестве присутствует соль CaCl2. Это, наряду с другими результатами, позволило сделать вывод о том, что в диапазоне P-T параметров исследованных НР гранулитов (10–11 кбар и 900°С) существует обширная область составов Н2О-флюидов с разным содержанием СО2 и хлоридов Na и Са, в которой гомогенный флюид расслаивается на контрастные по химическому составу и свойствам флюидные фазы рассола и Н2О-СО2 флюида, и эта область значительно расширяется в присутствии CaCl2.
ЗАКЛЮЧЕНИЕ
Полученное нами уравнение состояния (1)–(7) для трехкомпонентного флюида H2O-CO2-CaCl2 с параметрами, приведенными в таблице, воспроизводит все имеющиеся на сегодняшний день экспериментальные данные по фазовому состоянию (гомогенному или двухфазному) тройной флюидной системы H2O-CO2-CaCl2 (Zhang, Frantz, 1989; Shmulovich, Graham, 2004). Экспериментальные данные охватывают диапазон температур 773.15–1073.15 K и диапазон давлений 0.1–0.9 ГПа. Используемая нами параметризация P-T зависимостей коэффициентов свободной энергии Гиббса через естественную и хорошо известную величину мольного объема воды делает возможным применение нашей модели за пределами экспериментального диапазона P-T параметров. Приведены примеры применения модели в диапазоне давлений 0.1–2 ГПа. Таким образом, в настоящем исследовании на примере важнейшей геохимической флюидной системы с CaCl2 мы показали, что существование несмесимых флюидов с контрастными физико-химическими свойствами – рассолов и СО2-богатых флюидов, возможно в широком диапазоне составов не только при P-T условиях верхней и средней коры, но и при давлениях и температурах нижней коры–верхней мантии. Предложенная нами модель позволяет получать количественные характеристики этих сосуществующих флюидных фаз, важнейшими из которых являются их составы, плотности, активности Н2О и растворенных солей и неполярных газов. Именно эти характеристики определяют, в первую очередь, растворимость породообразующих минералов и транспорт наверх растворенного глубинного вещества (например, Newton, Manning, 2010; Manning, 2018).
Возможное дальнейшее развитие и уточнение предложенного термодинамического описания трехкомпонентной системы H2O-CO2-CaCl2, прежде всего, связано с необходимостью получения дополнительных экспериментальных данных как по собственно тройной системе, так и по ее бинарным подсистемам. Наличие таких экспериментальных данных позволило бы, в частности, применить в области высоких температур и давлений более продвинутую и точную, но содержащую большее число параметров, термодинамическую модель системы H2O-CaCl2 (Иванов и др., 2018a, 2018б).
Благодарности. Авторы выражают благодарность Л.Я. Арановичу (ИГЕМ РАН) за ценные и продуктивные замечания и предложения.
Источники финансирования. Работа выполнена в рамках исследовательской темы ИГГД РАН 0153-2019-0004.
作者简介
M. Ivanov
Institute of Precambrian Geology and Geochronology, Russian Academy of Sciences
编辑信件的主要联系方式.
Email: m.v.ivanov@ipgg.ru
俄罗斯联邦, St. Peterburg
S. Bushmin
Institute of Precambrian Geology and Geochronology, Russian Academy of Sciences
Email: m.v.ivanov@ipgg.ru
俄罗斯联邦, St. Peterburg
参考
- Аранович Л.Я. Флюидно-минеральные равновесия и термодинамические свойства смешения флюидных систем // Петрология. 2013. Т. 21. № 6. С. 588-599.
- Аранович Л.Я. Роль рассолов в высокотемпературном метаморфизме и гранитизации // Петрология. 2017. Т. 25. № 5. С. 491-503.
- Аранович Л.Я., Закиров И.В., Сретенская Н.Г., Геря Е.В. Тройная система H2O-CO2-NaCl при высоких Р-Т параметрах: Эмпирическая модель смешения // Геохимия. 2010. № 5. С. 1-10.
- Бушмин С.А., Вапник Е.А., Иванов М.В., и др. Флюиды гранулитов высоких давлений: Лапландский гранулитовый пояс (Фенноскандинавский щит) // Геодинамические обстановки и термодинамические условия регионального метаморфизма в докембрии и фанерозое. СПб.: ИГГД РАН, 2017. С. 40-43.
- Бушмин С.А., Иванов М.В., Вапник Е.А. Флюиды HP-гранулитов: фазовое состояние и геохимические следствия // Современные проблемы магматизма, метаморфизма и геодинамики (Конференция, посвященная 85-летию со дня рождения Л.Л. Перчука 23-24 ноября 2018 г.). М.: ИЭМ РАН, 2018. С. 24-25.
- Бушмин С.А., Вапник Е.А., Иванов М.В., и др. Флюиды гранулитов высоких давлений // Петрология. 2019. В печати.
- Иванов М.В., Бушмин С.А., Аранович Л.Я. Эмпирическая модель свободной энергии Гиббса для растворов NaCl и CaCl2 произвольной концентрации при температурах 423.15 K-623.15 K и давлении насыщенного пара // Докл. АН. 2018a. Т. 479. № 5. С. 556-560.
- Иванов М.В., Бушмин С.А., Аранович Л.Я. Уравнения состояния для растворов NaCl и CaCl2 произвольной концентрации при температурах 423.15 K-623.15 K и давлении до 5 кбар // Докл. АН. 2018б. Т. 481. № 6. С. 74-78.
- Шмулович К.И., Плясунова Н.В. Фазовые равновесия в тройных системах H2O-CO2-соль (CaCl2, NaCl) при высоких температурах и давлениях // Геохимия. 1993. № 5. С. 666-684.
- Aranovich L.Y., Newton R.C. H2O activity in concentrated NaCl solutions at high pressures and temperatures measured by the brucite - periclase equilibrium // Contrib. Mineral. Petrol. 1996. V. 125. P. 200-212.
- Aranovich L.Y., Newton R.C. H2O activity in concentrated KCl and KCl-NaCl solutions at high temperatures and pressures measured by the brucite-periclase equilibrium // Contrib. Mineral. Petrol. 1997. V. 127. P. 261-271.
- Bischoff J.L., Rosenbauer R.J., Fournier R.O. The generation of HCl in the system CaCl2-H2O: Vapor-liquid relations from 380-500°C // Geochim. Cosmochim. Acta 1996. V. 60. P. 7-16.
- Bockris J. O’M., Richards N.E. The compressibilities, free volumes and equation of state for molten electrolites: Some alkali halides and nitrates // Proc. R. Soc. Lond. A. 1957. V. 241. P. 44-66.
- Bockris J.O’M, Pilla A., Barton J.L. The compressibilities of certain molten alkaline earth halides and the volume change upon fusion of the corresponding solids // Rev. Chim. Acad. Rep. Populaire Roumaine. 1962. V. 7. № 1. P. 59-77.
- Chase M.W. Jr. NIST-JANAF thermochemical tables // J. Phys. Chem. Ref. Data. Monograph № 9. 1988. P. 1-1951.
- Chou I-Ming. Phase relations in the system NaCl-KCl-H2O: III. Solubilities of halite in vapor-saturated liquids above 445°C and redetermination of phase equilibrium properties in the system NaCl-H2O to 1000°C and 1500 bars // Geochim. Cosmochim. Acta. 1987. V. 51. P. 1965-1975.
- Driesner T. The system H2O-NaCl. Part II: Correlations for molar volume, enthalpy, and isobaric heat capacity from 0 to 1000°C, 1 to 5000 bar, and 0 to 1 XNaCl // Geochim. Cosmochim. Acta. 2007. V. 71. P. 4902-4919.
- Diamond L.W. Introduction to gas-bearing, aqueous fluid inclusions // Fluid inclusions: Analysis and interpretation. Eds. Samson I., Anderson A., Marshall D. Mineralogical Association of Canad. Short Course Series. 2003. V. 32. P. 101-158.
- Duan Z., Møller N., Weare J. H. Equation of state for the NaCl-H2O-CO2 system: prediction of phase equilibria and volumetric properties // Geochim. Cosmochim. Acta. 1995. V. 59. P. 2869-2882.
- Dubacq B., Bickle M.J., Evans K.A. An activity model for phase equilibria in the H2O-CO2-NaCl system // Geochim. Cosmochim. Acta. 2013. V. 110. P. 229-252.
- Heinrich W. Fluid immiscibility in metamorphic rocks // Rev. Mineral. Geochem. 2007. V. 65. P. 389-430.
- Heinrich W., Churakov S.S., Gottschalk M. Mineral-fluid equilibria in the system CaO-MgO-SiO2-H2O-CO2-NaCl and the record of reactive fluid flow in contact metamorphic aureoles // Contrib. Mineral. Petrol. 2004. V. 148. P. 131-149.
- Ivanov M.V. Complex rotation in two-dimensional mesh calculations for quantum systems in uniform electric fields // J. Phys. B: At. Mol. Opt. Phys. 2001. V. 34. P. 2447-2473.
- Janz G.J. Thermodynamic and transport properties for molten salts: Correlation equations for critically evaluated density, surface tension, electrical conductance, and viscosity data // J. Phys. Chem. Ref. Data. 1988. V. 17. Suppl. 2. P. 1-309.
- Manning C.E. Fluids of the lower crust: Deep is different // Annu. Rev. Earth Planet. Sci. 2018. V. 46. P. 67-97.
- Manning C.E., Aranovich L.Y. Brines at high pressure and temperature: thermodynamic, petrologic and geochemical effects // Precambr. Res. 2014. V. 253. P. 6-16.
- Mao S., Hu J., Zhang Y., Lü M. A predictive model for the PVTx properties of CO2-H2O-NaCl fluid mixture up to high temperature and high pressure // Appl. Geochem. 2015. V. 54. P. 54-64.
- Markl G., Bucher K. Composition of fluids in the lower crust inferred from metamorphic salt in lower crustal rocks // Nature. 1998. V. 391. P. 781-783.
- Newton R.C., Manning C.E. Role of saline fluids in deep-crustal and upper-mantle metasomatism: insights from experimental studies // Geofluids. 2010. V. 10. Р. 58-72.
- Pistorius C.W.F.T. Effect of Pressure on the Melting Points of the Sodium Halides // J. Chem. Phys. 1966. V. 45. P. 3513-3519.
- Schinke H., Sauerwald F. Über die Volumenänderung beim Schmelzen und den Schmelzprozeß bei Salzen // Z. Anorg. Allgem. Chem. 1952. Bd. 287. S. 313-324.
- Simon F.E., Glatzel G. Bemerkungen zur Schmelz dru ckkurve // Z. Anorg. Allgem. Chem. 1929. Bd. 178. S. 309-316.
- Shmulovich K.I., Graham C.M. An experimental study of phase equilibria in the systems H2O-CO2-CaCl2 and H2O-O2-NaCl at high pressures and temperatures (500-800°C, 0.5-0.9 GPa): geological and geophysical applications // Contrib Mineral Petrol. 2004. V. 146. P. 450-462.
- Span R., Wagner W. A new equation of state for carbon dioxide covering the fluid region from the triple-point temperature to 1100 K at pressures up to 800 MPa // J. Phys. Chem. Ref. Data 1996. V. 25. P. 1509-1596.
- Sterner S.M., Chou I-Ming, Downs R.T., Pitzer K.S. Phase relations in the system NaCl-KCl-H2O: V. Thermodynamic-PTX analysis of solid-liquid equilibria at high temperatures and pressures // Geochim. Cosmochim. Acta. 1992. V. 56. P. 2295-2309.
- Sun R., Dubessy J. Prediction of vapor-liquid equilibrium and PVTx properties of geological fluid system with SAFT-LJ EOS including multi-polar contribution. Part II: Application to H2O-NaCl and CO2-H2O-NaCl system // Geochim. Cosmochim. Acta. 2012. V. 88. P. 130-145.
- Trommsdorff V., Skippen G., Ulmer P. Halite and sylvite as solid inclusions in high-grade metamorphic rocks // Contrib. Mineral. Petrol. 1985. V. 89. P. 24-29.
- Wagner W., Pruß A. The IAPWS formulation 1995 for the thermodynamic properties of ordinary water substance for general and scientific use // J. Phys. Chem. Ref. Data. 2002. V. 31. P. 387-535.
- Zhang C., Duan Z.H. A model for C-O-H fluid in the Earth mantle // Geochim. Cosmochim. Acta 2009. V. 73. P. 2089-2102.
- Zhang Y.-G., Frantz J.D. Experimental determination of the compositional limits of immiscibility in the system CaCl2-H2O-CO2 at high temperatures and pressures using synthetic fluid inclusions // chem. Geol. 1989. V. 74. P. 289-308.
补充文件
