Geodynamic nature of magmatic sources of North-West Pacific: an interpretation data on isotope composition of Sr and Nd in rocks dredged at Stalemate ridge, Ingenstrem depression, and Shirshov Rise
- Authors: Silantyev S.A.1, Kostitsyn Y.A.1, Shabykova V.V.1, Krasnova E.A.1,2, Ermakov Y.Y.2, Dogadkin D.N.1, Zhilkina A.V.1
-
Affiliations:
- Vernadsky Institute of Geochemistry and Analytical Chemistry, Russian Academy of Sciences
- Moscow State University
- Issue: Vol 27, No 6 (2019)
- Pages: 715-736
- Section: Articles
- URL: https://journals.eco-vector.com/0869-5903/article/view/18713
- DOI: https://doi.org/10.31857/S0869-5903276715-736
- ID: 18713
Cite item
Full Text
Abstract
First data on isotope composition of Sr and Nd in rocks dredged at different area’s belong to lithosphere of the NW Pacific are present. All samples examined were obtained from NW termination of Stalemate Ridge (NW Pacific) and Central part of Shirshov Rise (Western Bering Sea). Results of conducted study allow sure enough to judge on geodynamic affinity of the central segment of Shirshov Rise. Mafic-ultramafic rocks dredged here originated due evolution of magmatic melt formed by partial melting of source parental for MORB belongs to mantle wedge perhaps. Thus, this interpretation means that Shirshov Rise is remnant Back-Arc Spreading Center. Data on petrology and isotope chemistry of rocks from Stalemate magmatic assemblage demonstrate geochemical heterogeneity of their possible magmatic sources. The presented data allow to assume participation in magmatism of this region of NW Pacific source that responsible for formation of most older volcanic seamounts from NW Termination of Hawaiian-Emperor volcanic chain. There is petrographic similarity between rock assemblage recovered at NW Stalemate and plutonic rocks composed of xenoliths from volcanic effusions of Aleutian Island Arc exists. Considering the scarcity of existing information about the structure of the lithosphere in the NW Pacific it is possible to assume with caution the participation in the construction of the oceanic slope of the Aleutian Trench and the adjacent segment of the Stelmate Ridge fragments of Aleutian Arc basement.
Full Text
ВВЕДЕНИЕ
Примечательной особенностью литосферы северо-западной акватории Тихого океана является ее геодинамическая гетерогенность, обусловленная участием в ее строении фрагментов корового субстрата, характерных для океанических центров спрединга и зон трансформных разломов (хр. Стелмейт), зон субдукции (океанический склон Алеутского глубоководного желоба и Алеутская вулканическая дуга) и проявлений магматизма, связанных с деятельностью океанических «горячих точек» (Гавайско-Императорская вулканическая цепь) (Clague, Dalrymple, 1987; Lonsdale, 1988; Churikova et al., 2001; Yogodzinski et al., 2015).
Сведения о строении океанического фундамента в акватории Тихого океана, в пределах которой расположен поперечный хр. Стелмейт и вмещающая его одноименная разломная зона, крайне скудны и содержатся лишь в нескольких работах, посвященных мантийным перидотитам и плутоническим породам, драгированным в северо-западном секторе рассматриваемого региона (Силантьев и др., 2014, 2018; Краснова и др., 2013). В этих работах было показано, что среди плутонических пород, слагающих мел-палеогеновый фундамент северо-западной акватории Тихого океана, участвуют габброиды, происхождение которых связано с магматизмом в древнем центре спрединга и отражает эволюцию магматических расплавов, родительских для N-MORB. Данные, приведенные в (Краснова и др., 2013), позволили прийти к заключению, что малоглубинная мантия под древней океанической корой рассматриваемого региона сложена деплетированными шпинелевыми лерцолитами и гарцбургитами, а также дунитами. Вдоль всего простирания разломной зоны Стелмейт широко проявлены процессы деформации океанического фундамента, в результате которых слагающие его породы испытывали брекчирование и крупноамплитудные вертикальные движения внутри океанической литосферы (Силантьев и др., 2014).
Котловина Ингенстрем представляет собой хорошо выраженную в подводном рельефе депрессию, расположенную между островами Булдир (самый западный вулкан Алеутской островной дуги) и Атту, на простирании Западно-Алеутской дуги в районе 175° в.д. Батиметрические данные (Werner et al., 2009) показали наличие многочисленных вулканических построек внутри и вокруг депрессии, имеющих возраст от 17 до 521 тыс. лет (Yogodzinski et al., 2015). Диаметр самой крупной вулканической постройки 4 км и при высоте 600 м.
Существующие сведения о строении и составе литосферы Берингова моря, геодинамическая эволюция которого неразрывно связана с тектонической историей северо-западной Пацифики и геодинамической эволюцией Алеутской островной дуги, также весьма малочисленны. Согласно данным, приведенным в (Силантьев и др., 1985, 2018), в строении хр. Ширшова принимает участие офиолитовая ассоциация магматических и метаморфических пород, магматический протолит которой был сформирован, возможно, в задуговом центре спрединга. В работе (Сухов и др., 2011) приводится возраст циркона, выделенного из амфиболитов хр. Ширшова, который составил 73 ± 1.4 млн лет, однако в отдельных редких зернах были определены возрасты 88 ± 3.4 и 126.5 ± 4.5 млн лет.
В одной из наиболее цитируемых работ, посвященных рассматриваемому региону (Lonsdale, 1988), принято, что литосфера этой акватории имеет меловой возраст и в районе разломной зоны Стелмейт является реликтом древней зоны трансформного разлома Кула-Пацифик. Расположенный внутри этой разломной зоны одноименный поперечный хребет, согласно (Lonsdale, 1988), был образован при тектоническом взбросе блока океанической литосферы мелового возраста вдоль трансформного разлома. Однако представленные в (Силантьев и др., 2018) петролого-геохимические данные позволяют рассматривать драгированные значительно позже в этом районе породы в качестве членов мафит-ультрамафитовой ассоциации, характерной для кумулятивных разрезов офиолитовых комплексов и задуговых центров спрединга. В котловине Ингенстрем, расположенной в западном сегменте вулканического фронта Алеутской островной дуги, широко распространены молодые проявления субдукционного вулканизма, изотопно-геохимические метки которого, согласно (Yogodzinsky et al., 2017), указывают на возможное участие в генерации их родительских расплавов вещества тихооокеанских MORB, метаморфизованных в условиях эклогитовой фации.
Проведенное исследование было посвящено оценке методами изотопной геохимии возможной геохимической и геодинамической природы источников магматизма в рассматриваемом районе северо-западной Пацифики и западного сектора Берингова моря. Авторы настоящей работы, располагая коллекцией образцов, отобранных в трех важнейших в геодинамическом отношении сегментах конвергентной границы литосферных плит, расположенных вкрест простирания современной зоны субдукции, имеют возможность реконструировать геохимическую природу источников магматизма, вовлеченных в формирование литосферы активной островной дуги и связанного с ней задугового бассейна. Одной из целей настоящей работы являлось установление возможных генетических связей, существующих между плутоническими и вулканическими породами, относящимися к ультрамафит-мафитовой ассоциации хребтов Стелмейт и Ширшова. Объектом изучения служили породы, драгированные в 201-ом и 249-ом рейсах немецкого НИС “Зонне”, проходивших под эгидой российско-германских проектов KALMAR и BERING в 2009 и 2016 гг. соответственно.
МАТЕРИАЛ И МЕТОДЫ ИССЛЕДОВАНИЯ
Материал исследования был представлен плутоническими и вулканическими породами, драгированными на северо-западном окончании разломной зоны Стелмейт (Тихий океан), в котловине Ингенстрем, расположенной в западном сегменте Алеутской вулканической цепи, и в центральной части хр. Ширшова (западный сектор Берингова моря) (рис. 1). Координаты станций драгирования и полученные петрографические типы пород, приводятся в табл. 1.
Станция драгирования So249-DR451 расположена на приокеаническом склоне Алеутского глубоководного желоба, на самом северном сегменте поперечного хр. Стелмейт. Станция So249-DR47, в отличие от ст. So249-DR45, находится южнее, на оси простирания этого хребта.
В котловине Ингенстрем драгирование проводилось на станции So201-DR19, расположенной в 90 км к северо-западу от о-ва Булдир в верхней части крутого вулканического конуса, и несколько восточнее в том же районе, на ст. So201-DR20 на небольшом вулканическом конусе.
Драгирование на станции So249-DR112 позволило опробовать северо-восточный склон одного из фрагментов центральной части хр. Ширшова. Большая часть образцов, представленных в табл. 1, описана в работе (Силантьев и др., 2018). В цитируемой работе содержатся сведения о составе плутонических пород, представленных этими образцами, и составе слагающих их породообразующих минералов.
Для того чтобы более уверено судить о геохимической природе источников магматизма в рассматриваемых акваториях северо-западной Пацифики, в коллекцию образцов, отобранных для изучения изотопного состава Sr и Nd, были включены также вулканические и субвулканические породы (табл. 1). Петрографическое описание и особенности химического состава этих пород приводится ниже.
Определение концентрации главных элементов в образцах выполнено методом рентгенофлюоресцентного анализа на вакуумном спектрометре последовательного действия, модель Axios со сканирующим каналом AXIOS Advanced фирмы PANalytical в ГЕОХИ РАН. Содержание РЗЭ и некоторых сильно несовместимых элементов определялось по методике кислотного разложения геологических образцов в открытой системе, разработанной в ГЕОХИ РАН. Подробно методика описана в (Силантьев и др., 2018).
Состав породообразующих минералов изучался в ГЕОХИ РАН методом точечного анализа с помощью рентгеноспектрального микроанализатора SX 100 (САМЕСА) с четырьмя вертикальными спектрометрами при ускоряющем напряжении 15 кВ и силе тока зонда 30 нА. В образцах DR45-22, DR47-21, DR47-24 и DR112-13 состав минералов был изучен на электронном микроанализаторе Jeol JSM-6480LV в лаборатории локальных методов исследования кафедры петрологии МГУ им. М.В. Ломоносова. Исследование проводилось при ускоряющем напряжении 20 кВ и силе тока электронного зонда 0.7 нА с использованием ЭДС системы.
Для изучения поведения Rb-Sr и Sm-Nd изотопных систем были отобраны 25 образцов, представляющих весь спектр петрографических типов магматических пород из имеющейся коллекции. Измерения проводились в лаборатории изотопной геохимии и геохронологии ГЕОХИ РАН на твердофазном масс-спектрометре Triton по стандартной методике. Для определения концентраций применяли метод изотопного разбавления с использованием смешанных трасеров (85Rb-84Sr, 149Sm-150Nd).
ПЕТРОГРАФИЯ И ГЕОХИМИЯ ИЗУЧЕННЫХ ПОРОД
Подробное петролого-геохимическое описание большей части образцов из изученной коллекции приведено в (Силантьев и др., 2018), поэтому ниже рассмотрены только образцы базальтоидов и диабазов, сведения о которых в цитируемой работе отсутствуют.
Таблица 1. Образцы плутонических и вулканических пород, в которых был определен изотопный состав Sr и Nd
Образец | С.Ш. | В.Д. | Порода |
Хребет Стелмейт | |||
So249DR45-1 | 52°39′ | 169°41′ | Серпентинит (аполерцолитовый) |
So249DR45-2 | 52°39′ | 169°41′ | Полосчатый серпентинит (по роговообманковому пироксениту) |
So249DR45-5 | 52°39′ | 169°41′ | Серпентинит (апопироксенитовый) |
So249DR45-9 | 52°39′ | 169°41′ | Катаклазированный габброид |
So249DR45-14 | 52°39′ | 169°41′ | Крупнозернистое габбро |
So249DR45-22 | 52°39′ | 169°41′ | Базальт |
So249DR45-28 | 52°39′ | 169°41′ | Диабаз |
So249DR47-1 | 52°39′ | 169°41′ | Лейкократовое офитовое габбро |
So249DR47-2 | 52°39′ | 169°41′ | Офитовое габбро |
So249DR47-6* | 52°39′ | 169°41’ | Серпентинит (по оливиновому клинопироксениту) |
So249DR47-9* | 52°39′ | 169°41′ | Серпентинит (по оливиновому клинопироксениту) |
So249DR47-17 | 52°29′ | 169°39′ | Перекристаллизованный ультраосновной кумулат |
So249DR47-20 | 52°29′ | 169°39′ | Грубозернистое габбро |
So249DR47-21 | 52°29′ | 169°39′ | Диабаз |
So249DR47-24 | 52°29′ | 169°39′ | Пикритовый базальт |
Хребет Ширшова | |||
So249DR112-1 | 58°47′ | 170° | Серпентинизированный пироксенит |
So249DR112-2 | 58°47′ | 170° | Серпентинизированный пироксенит |
So249DR112-5 | 58°47′ | 170° | Серпентинизированный пироксенит |
So249DR112-6 | 58°47′ | 170° | Серпентинизированный оливиновый пироксенит |
So249DR112-13 | 58°47′ | 170° | Диабаз |
So249DR112-14 | 58°47’ | 170° | Метагаббро |
So249DR112-21 | 58°47′ | 170° | Серпентинизированный Ol-вебстерит |
So249DR112-22 | 58°47′ | 170° | Апогарцбургитовый серпентинит |
So249DR112-23 | 58°47′ | 170° | Кумулятивное меланократовое габбро |
So249DR112-24 | 58°47′ | 170° | Серпентинит (по оливиновому пироксениту) |
Котловина Ингенстрем | |||
So201DR19-1 | 52°28′ | 175°17′ | Андезибазальты |
So201DR19-10 | 52°28′ | 175°17′ | Андезибазальты |
So201DR19-11 | 52°28′ | 175°17′ | Андезибазальты |
So201DR19-4 | 52°28′ | 175°17′ | Базальты |
So201DR19-8 | 52°28′ | 175°17′ | Базальты |
So201DR19-13 | 52°28′ | 175°17′ | Базальты |
So201DR20-2 | 52°28′ | 175°17′ | Базальты |
So201DR20-3 | 52°28′ | 175°17′ | Базальты |
Примечание. Здесь и далее: Ol – оливин, An – анортит, Сpx – клинопироксен, Pl – плагиоклаз.
* В этих образцах изотопный состав неодима определить не удалось из-за очень низкого его содержания в породе.
Рис. 1. Карта-схема расположения станций драгирования 201-го и 249-го рейсов НИС «Зонне».
Петрография
Хребет Стелмейт
Образец DR45-22, драгированный на ст. So249-DR45, представлен свежим базальтом с ярко выраженной интерсертальной структурой. Порода сложена клинопироксеном (авгитом), плагиоклазом и шпинелью. Магнезиальность пироксена варьирует от 0.73 до 0.76. Cогласно (Beccaluva et al., 1989), по параметрам состава (табл. 2) клинопироксен из этого образца близок к полю состава пироксенов MORB. Плагиоклаз обнаруживает зональность: от 74% An в центральной части зерна до 46% на периферии. Хромистость шпинели в этой породе составляет (в ядре) Cr/(Cr + Al) = 0.276 при магнезиальности (Mg# = Mg/(Mg + Fe)), равной 0.761.
Образец DR45-28 с той же станции является типичным диабазом с характерной долеритовой структурой. Первичные минералы в этой породе практически нацело замещены вторичными фазами: клинопироксен – амфиболом, плагиоклаз – эпидотом. Амфибол представлен сине-зеленой роговой обманкой (Al2O3 = 8.3–11.7 мас.%) и замещающим ее актинолитом (Al2O3 = 1.2–1.6 мас.% ) (табл. 3). Ассоциация сине-зеленой роговой обманки и эпидота, наблюдаемая в обр. DR45-28, указывает на то, что протолит этой породы испытал метаморфическое преобразование в условиях эпидот-амфиболитовой фации. Появление в породе низкоглиноземистого актинолита отражает более низкотемпературный этап метаморфизма, отвечающий зеленосланцевой фации.
Таблица 2. Состав клинопироксена, оливина, шпинели и плагиоклаза в изученных породах (мас.%)
Компоненты | DR45-22 Cpx | DR45-22 Cpx | DR47-21 Cpx | DR47-21 Cpx | DR47-21 Cpx | DR47-21 Cpx | DR47-21 Cpx | DR47-21 Cpx | DR47-24 Cpx | DR47-24 Cpx | DR47-24 Cpx | DR47-24 Cpx | DR112-14 Cpx | DR47-24 Ol | DR47-24 Ol | DR47-24 Ol |
SiO2 | 48.70 | 46.76 | 48.29 | 49.33 | 52.07 | 52.57 | 49.43 | 51.79 | 47.79 | 52.05 | 48.27 | 48.16 | 53.49 | 40.18 | 39.77 | 39.85 |
TiO2 | 1.71 | 2.57 | 0.73 | 0.43 | 0.23 | 0.24 | 0.36 | 0.17 | 1.81 | 0.63 | 1.46 | 1.73 | 0.11 | nd | nd | nd |
Al2O3 | 5.36 | 7.41 | 7.70 | 6.92 | 2.98 | 2.26 | 6.01 | 2.76 | 7.16 | 2.10 | 6.48 | 7.22 | 1.46 | 0.13 | 0.12 | 0.20 |
Cr2O3 | 0.16 | 0.58 | nd | nd | nd | nd | nd | nd | 0.36 | nd | 0.34 | 0.48 | 0.13 | nd | 0.08 | 0.10 |
FeO | 8.75 | 7.64 | 7.27 | 7.15 | 7.18 | 8.05 | 7.73 | 7.33 | 8.64 | 11.50 | 10.04 | 7.46 | 5.72 | 10.99 | 12.48 | 11.95 |
MnO | 0.22 | 0.18 | 0.11 | 0.17 | 0.18 | 0.25 | 0.16 | 0.22 | 0.14 | 0.30 | 0.25 | 0.20 | 0.19 | 0.17 | 0.14 | 0.17 |
MgO | 13.47 | 13.00 | 13.91 | 14.77 | 16.93 | 17.45 | 14.60 | 16.80 | 12.98 | 16.55 | 14.10 | 13.68 | 15.61 | 48.00 | 46.58 | 46.62 |
CaO | 20.71 | 21.04 | 22.25 | 21.28 | 20.58 | 19.28 | 21.36 | 19.98 | 20.59 | 16.47 | 18.88 | 20.55 | 22.82 | 0.24 | 0.41 | 0.31 |
Na2O | 0.53 | 0.50 | 0.16 | 0.14 | 0.12 | 0.10 | 0.16 | 0.14 | 0.44 | 0.34 | 0.43 | 0.45 | 0.21 | nd | nd | nd |
NiO | nd | nd | nd | nd | nd | nd | nd | nd | nd | nd | nd | nd | nd | 0.29 | 0.24 | 0.26 |
Сумма | 99.61 | 99.69 | 100.55 | 100.26 | 100.25 | 100.20 | 99.90 | 99.19 | 99.92 | 99.93 | 100.26 | 99.91 | 99.77 | 100.01 | 99.82 | 99.47 |
Mg# | 0.733 | 0.752 | 0.773 | 0.786 | 0.808 | 0.794 | 0.771 | 0.803 | 0.728 | 0.719 | 0.715 | 0.766 | 0.829 | 0.886 | 0.869 | 0.874 |
Cr# | ||||||||||||||||
An, % |
Таблица 2. Окончание (вправо)
Компоненты | DR47-24 Ol | DR47-24 Ol | DR47-24 Ol | DR47-24 Ol | DR45-22 Spl | DR45-22 Spl | DR47-24 Spl | DR47-24 Spl | DR47-24 Spl | DR47-24 Spl | DR47-24 Spl | DR45-22 Pl | DR45-22 Pl | DR47-24 Pl | DR47-24 Pl | DR47-24 Pl |
SiO2 | 40.46 | 40.11 | 39.29 | 39.53 | 0.28 | 0.26 | 0.18 | 0.23 | 0.21 | 0.21 | 0.18 | 49.34 | 55.88 | 49.08 | 55.91 | 58.46 |
TiO2 | nd | nd | nd | nd | 0.39 | 0.39 | 0.25 | 0.26 | 0.33 | 0.27 | 0.35 | 0.00 | 0.11 | 0.00 | 0.10 | 0.15 |
Al2O3 | 0.17 | 0.13 | 0.13 | 0.16 | 41.96 | 44.62 | 35.14 | 39.88 | 36.94 | 42.41 | 28.98 | 32.09 | 27.26 | 32.16 | 27.71 | 25.96 |
Cr2O3 | 0.08 | 0.23 | nd | nd | 23.84 | 21.04 | 31.85 | 24.45 | 28.06 | 22.77 | 34.74 | nd | nd | nd | nd | nd |
FeO | 10.11 | 10.01 | 15.32 | 15.49 | 13.80 | 13.87 | 14.30 | 18.51 | 18.82 | 18.13 | 24.77 | 0.42 | 0.61 | 0.32 | 0.94 | 0.91 |
MnO | 0.19 | 0.12 | 0.20 | 0.26 | 0.14 | 0.15 | 0.31 | 0.20 | 0.24 | 0.13 | 0.31 | nd | nd | nd | nd | nd |
MgO | 48.53 | 48.63 | 43.83 | 43.77 | 18.57 | 19.10 | 17.69 | 15.24 | 14.59 | 16.17 | 9.92 | 0.19 | 0.07 | 0.28 | 0.15 | 0.09 |
CaO | 0.35 | 0.31 | 0.33 | 0.23 | 0.00 | 0.00 | 0.00 | 0.07 | 0.07 | 0.07 | 0.12 | 15.11 | 9.63 | 15.45 | 10.02 | 8.15 |
Na2O | nd | nd | nd | nd | nd | nd | nd | nd | nd | nd | nd | 2.92 | 6.04 | 2.70 | 5.74 | 6.97 |
NiO | 0.37 | 0.32 | 0.21 | 0.22 | 0.28 | 0.24 | 0.19 | 0.14 | 0.17 | 0.25 | 0.22 | nd | nd | nd | nd | nd |
Сумма | 100.27 | 99.86 | 99.30 | 99.65 | 99.27 | 99.68 | 99.90 | 98.99 | 99.43 | 100.40 | 99.59 | 100.07 | 99.59 | 99.99 | 100.57 | 100.68 |
Mg# | 0.895 | 0.896 | 0.836 | 0.834 | 0.761 | 0.77 | 0.749 | 0.645 | 0.625 | 0.668 | 0.452 | |||||
Cr# | 0.276 | 0.24 | 0.378 | 0.291 | 0.338 | 0.265 | 0.446 | |||||||||
An, % | 74.09 | 46.84 | 75.98 | 49.11 | 39.26 |
Примечание. nd – компонент не определяляся. Cpx – клинопирксен, Ol – оливин, Pl – плагиоклаз, Spl – шпинель. Сr# = Cr/(Cr + Al); Mg# = Mg/(Mg+Fe); An, % = Ca/(Ca + Na).
Образец DR47-21 в петрографическом отношении близок к обр. DR45-28 и представлен диабазом, сложенным плохо сохранившимися реликтами пироксена и плагиоклаза и резко преобладающим актинолитом, эпидотом, хлоритом и сфеном. Клинопироксен, согласно данным в табл. 2, относится к двум группам составов: диопсиду (салиту) – Al2O3 = 4.6–7.7 мас.%, TiO2 = 0.17–0.24 мас.%, Mg# = 0.795–0.810 и авгиту Al2O3 = 2.26–2.98 мас.%, TiO2 = 0.36–0.73 мас.%, Mg# = 0.739–0.786. Клинопироксен второй группы по параметрам состава близок к пироксену из ультраосновых пород, драгированных на северо-западном окончании хр. Стелмейт на ст. So249-DR45 и, возможно, имеет ксеногенную природу, будучи захваченным родительским для долеритов расплавом при его транспорте сквозь мафит-ультрамафитовый плутонический комплекс северного сегмента хр. Стелмейт. Признаки присутствия этого плутонического комплекса были обнаружены на нескольких станциях драгирования 201-го и 249-го рейсов НИС «Зонне». Редкие реликты первичного плагиоклаза по составу близки к анортиту (82.31% An). Амфибол в этом образце представлен глиноземистым актинолитом (Al2O3 = 4.23–7.11 мас.%) и роговой обманкой гастингситового состава (табл. 3). Присутствие амфиболов подобного состава в метабазитах свидетельствует об условиях метаморфизма, соответствующих эпидот-амфиболитовой фации.
Образец DR47-24 представлен очень свежим Ol-Pl порфировым базальтом с крупными фенокристами оливина, шестоватыми агрегатами плагиоклаза и выделениями шпинели неправильной формы, погруженными в интерсертальную основную массу породы, которая сложена плагиоклазом и клинопироксеном. В петрографическом отношении эта порода является типичным пикритовым базальтом. О принадлежности к пикритам обр. DR47-24 свидетельствует также состав породообразующих минералов. Магнезиальность оливина и содержание в нем никеля закономерно варьируют в пределах от 0.830 до 0.890 и от 0.22 до 0.37 мас.%, соответственно (табл. 2). Этот спектр составов отвечает вариациям состава оливина в пикритовых базальтах, образованных в различных геодинамических обстановках (Dietrich et al., 1981; Eggins, 1993; Demant, 1998; Tree, 2016). Пироксен в пикритовых базальтах ст. So249-DR47 представлен авгитом. Шпинель в этом образце при содержании TiO2 = 0.25–0.35 мас.% варьирует по составу: Cr/(Cr + Al) = 0.334–0.378 (в центре), Cr/(Cr + Al) = 0.265–0.316 (в краевых частях). Характер зональности в шпинели, возможно, отражает взаимодействие фенокристов шпинели с расплавом на поздней стадии его эволюции. В пользу этого предположения свидетельствуют также опацитовые каймы магнетита вокруг оливина (рис. 2).
Рис. 2. Микрофотография шлифа обр. DR47-24. Николи скрещены. Видны опацитовые каймы рудной фазы вокруг крупных фенокристаллов оливина.
Котловина Ингенстрем
Изученная коллекция включала восемь образцов вулканических пород впадины Ингенстрем, драгированных на станциях So201-DR19 и So201-DR20. Все образцы, полученные в этом районе, характеризуются отсутствием признаков вторичных изменений и представлены свежими вулканическими породами. Ассоциация первичных минералов в них состоит из оливина, шпинели и клинопироксена. По петрографическим признакам изученные породы котловины Ингенстрем можно подразделить на две группы. Одна из них состоит из андезибазальтов (обр. DR19-1, DR19-10 и DR19-11), обнаруживающих порфировую или гломеропорфировую структуру. Основная масса породы обладает интерсертальной структурой, текстура пористая. Фенокристы клинопироксена в андезибазальтах характеризуется ромбической формой и в некоторых случаях выявляются признаки взаимодействия с расплавом, проявленные в образовании кайм плавления. К другой группе (обр. DR19-4, DR19-8, DR19-13, DR20-2, DR20-3) относятся базальты, с порфировой полустекловатой структурой. Основная масса имеет микролитовую гиалопилитовую структуру и флюидальную текстуру. Флюидальность основной массы породы выражена в ориентировке лейст плагиоклаза. Плагиоклаз в обеих группах пород частично соссюритизирован и обнаруживает ярко выраженное зональное строение. Примечательной особенностью изученных вулканических пород котловины Ингенстрем является присутствие в них ксенолитов ультраосновного состава. Петрология и геохимия этих ксенолитов будут рассмотрены в другой работе.
Хребет Ширшова
Драгированный на ст. So249-DR112 метадолерит, обр. DR112-13, в структурном отношении является типичным диабазом. В этой породе первичные минералы практически нацело замещены хлоритом, альбитом и серицитом, однако, местами угадывается структура, близкая к долеритовой. Хлорит характеризуется железистым составом (FeO* = 32.69 мас.%) (табл. 3). Плагиоклаз близок по составу к альбиту (2.17–4.49% An). В очень редких реликтах встречается олигоклаз (24.79% An). Минеральная ассоциация вторичных минералов, наблюдаемая в обр. DR112-13, позволяет относить его к типичным метабазитам зеленосланцевой фации. Характерной особенностью этой породы является практически полная альбитизация плагиоклаза и отсутствие иных, кроме хлорита, вторичных железо-магнезиальных силикатов.
Метабазит с той же станции (обр. DR112-14), скорее всего, являющийся метадолеритом или метаггаббро, в процессе метаморфизма почти утратил признаки первичной структуры и сложен редко сохранившимся клинопироксеном (диопсидом), глиноземистым актинолитом (Al2O3 = 3.84–7.58 мас.%), антофиллитом, серпентином, эпидотом и апатитом. Присутствие в породе антофиллита указывает на то, что протолит этого метабазита испытал метаморфизм амфиболитовой фации. Антофиллит в изученном образце замещается глиноземистым актинолитом, ассоциация которого с эпидотом возникла в породе при более низкой температуре метаморфизма.
Рис. 3. Вариации содержания кремнезема и щелочных компонентов в изученных породах.
Геохимия
Большая часть образцов из изученной коллекции, представленная габброидами и перидотитами (табл. 1), в геохимическом отношении аттестована в работе (Силантьев и др., 2018). Приведенные в этой работе данные позволили ее авторам рассматривать плутонические породы хребтов Стелмейт и Ширшова в качестве представителей мафит-ультрамафитовой ассоциации, характерной для кумулятивных разрезов офиолитовых комплексов и задуговых центров спрединга. Содержания главных и редких элементов в образцах плутонических пород, в которых был определен изотопный состав Sr и Nd, приведены в табл. 4.
Содержание главных элементов в образцах вулканических и субвулканических пород, отобранных в тех же районах, что и ранее изученные плутонические породы, приведено в табл. 5. На диаграмме TAS (Cox et al., 1979) точки состава базальтов и диабазов ст. So249-DR45 попадают в поле пикробазальтов (обр. DR45-22) и базальтов (обр. DR45-28) (рис. 3). Таким же образом базальтоиды, драгированные на ст. So249-DR47, относятся или к пикробазальтам (обр. DR47-24), или базальтам (обр. DR47-21). Вулканиты котловины Ингенстрем по составу также подразделяются на две группы, одна из которых соответствует полю состава базальтов, другая – андезибазальтам. При этом образцы обеих групп можно отнести к низкокалиевой серии островодужных базальтов. Состав диабазов хр. Ширшова на диаграмме TAS отвечает полю базальтов. Крайне низкое содержание CaO (0.88 мас.%) является особенностью состава диабаза, обр. DR112-13 (табл. 5), которая, очевидно, отражает специфику минерального состава породы, заключающуюся в преобладании альбита и хлорита, что отражает вынос кальция из протолита диабаза при его метаморфизме.
Таблица 3. Состав минералов метаморфического происхождения в изученных породах (мас.%)
Компоненты | DR45-28 Hbl | DR45-28 Hbl | DR45-28 Hbl | DR45-28 Act | DR45-28 Act | DR47-21 Al-Act | DR47-21 Hbl | DR47-21 Al-Act | DR47-21 Chl | DR47-21 Hbl | DR47-21 Al-Act |
SiO2 | 46.67 | 42.89 | 42.92 | 54.66 | 55.29 | 50.02 | 43.63 | 52.02 | 24.97 | 44.5 | 48.4 |
TiO2 | 0.86 | 1.18 | 1.11 | 0.25 | 0.23 | 0.14 | 0.11 | 0.15 | 0.21 | 0.39 | |
Al2O3 | 8.26 | 11.29 | 11.67 | 1.61 | 1.21 | 6.27 | 10.64 | 4.23 | 19.71 | 10.09 | 7.5 |
FeO* | 15.13 | 17.62 | 16.06 | 11.48 | 11.38 | 10.69 | 17.34 | 9.5 | 35.21 | 16.84 | 11.44 |
MnO | 0.31 | 0.35 | 0.3 | 0.31 | 0.31 | 0.51 | 0.54 | 0.53 | 0.77 | 0.48 | 0.52 |
MgO | 13.09 | 11.03 | 11.35 | 17.46 | 17.91 | 16.07 | 10.94 | 17.1 | 7.04 | 11.2 | 15.06 |
CaO | 11.15 | 10.57 | 11.23 | 11.66 | 11.47 | 12.01 | 12.01 | 12.16 | 0.16 | 12.04 | 12.03 |
Na2O | 1.54 | 2.27 | 2.06 | 0.29 | 0.26 | 0.7 | 1.17 | 0.51 | 0.19 | 1.15 | 0.91 |
Сумма | 97.53 | 97.71 | 97.28 | 97.79 | 98.06 | 96.69 | 96.72 | 96.33 | 88.06 | 96.76 | 96.51 |
Таблица 3. Окончание (вправо)
Компоненты | DR47-21 Ep | DR47-21 Ep | DR112-13 Chl | DR112-13 Chl | DR112-13 Ab | DR112-13 Ab | DR112-13 Ab | DR112-14 Al-Act | DR112-14 Act | DR112-14 Al-Act | DR112-14 Ant |
SiO2 | 36.76 | 36.09 | 30.03 | 25.7 | 66.28 | 65.5 | 66.88 | 49.76 | 54.29 | 52.24 | 57.88 |
TiO2 | 0.07 | 0.13 | nd | nd | nd | 0.87 | 0.3 | 0.39 | 0.04 | ||
Al2O3 | 23.21 | 24.89 | 17.5 | 18.01 | 21.82 | 21.67 | 20.97 | 7.5 | 3.84 | 4.41 | 1.96 |
FeO* | 13.69 | 8.79 | 23.57 | 32.42 | 0.2 | 0.16 | 0.2 | 8.55 | 7.75 | 8.72 | 6.1 |
MnO | 0.34 | 0.23 | 0.22 | nd | nd | nd | 0.11 | 0.18 | 0.2 | 0.03 | |
MgO | 0.69 | 16.77 | 10.55 | nd | nd | nd | 17.09 | 19.02 | 18.33 | 25.01 | |
CaO | 22.29 | 22.02 | 0.13 | 0.09 | 0.92 | 0.86 | 0.44 | 11.99 | 12.22 | 11.71 | 0.44 |
Na2O | 0.07 | 0.16 | 10.82 | 10.63 | 10.95 | 1.27 | 0.71 | 0.81 | 0.04 | ||
Сумма | 96.29 | 92.48 | 88.65 | 87.32 | 100.1 | 99.07 | 99.51 | 97.61 | 98.54 | 97.15 | 91.78 |
Примечание. nd – компонент не определялся. FeO* – все железо как FeO. Ab – альбит, Act – актинолит, Al-Act – глиноземистый актинолит, Ant – антофиллит, Сhl – хлорит, Ep – эпидот.
Таблица 4. Содержание главных и редких элементов в плутонических породах хребтов Стелмейт и Ширшова
Компоненты | DR45-1 | DR45-2 | DR45-5 | DR45-9 | DR45-14 | DR47-1 | DR47-2 | DR47-6 | DR47-9 | DR47-17 | DR47-20 | DR112-1 | DR112-2 | DR112-5 | DR112-6 | DR112-21 | DR112-22 | DR112-23 | DR112-24 |
SiO2 | 39.00 | 41.60 | 40.70 | 43.18 | 47.85 | 49.33 | 49.21 | 42.70 | 41.70 | 31.91 | 48.51 | 44.90 | 44.50 | 43.60 | 49.40 | 39.30 | 46.00 | 39.20 | 44.50 |
TiO2 | 0.06 | 0.08 | 0.06 | 1.14 | 0.59 | 0.20 | 0.42 | 0.02 | 0.02 | 0.22 | 0.20 | 0.17 | 0.12 | 0.11 | 0.10 | 0.22 | 0.07 | 0.56 | 0.12 |
Al2O3 | 1.47 | 3.73 | 1.84 | 15.61 | 20.22 | 23.38 | 18.57 | 2.01 | 1.68 | 19.12 | 22.44 | 2.48 | 1.86 | 1.69 | 1.49 | 3.36 | 1.42 | 9.00 | 1.55 |
FeO* | 9.38 | 11.75 | 9.31 | 10.58 | 7.88 | 5.87 | 6.40 | 7.61 | 7.72 | 4.27 | 4.84 | 8.49 | 7.19 | 7.76 | 7.28 | 5.45 | 8.10 | 11.88 | 6.98 |
MnO | 0.54 | 0.19 | 0.15 | 1.13 | 0.15 | 0.07 | 0.11 | 0.11 | 0.11 | 0.08 | 0.06 | 0.11 | 0.16 | 0.09 | 0.11 | 0.08 | 0.10 | 0.12 | 0.10 |
MgO | 32.10 | 24.17 | 31.34 | 9.24 | 4.37 | 2.32 | 6.12 | 35.42 | 37.61 | 23.43 | 7.01 | 22.50 | 26.70 | 26.78 | 27.69 | 18.45 | 34.80 | 13.20 | 33.40 |
CaO | 0.55 | 3.04 | 1.51 | 8.66 | 13.08 | 11.92 | 13.57 | 2.00 | 1.84 | 5.01 | 10.50 | 12.40 | 8.82 | 7.38 | 7.61 | 17.78 | 1.67 | 9.80 | 1.90 |
Na2O | 1.30 | 1.62 | 1.41 | 3.83 | 3.07 | 4.20 | 3.22 | 1.30 | 1.25 | 1.83 | 3.92 | 1.28 | 1.25 | 1.22 | 1.36 | 1.35 | 1.17 | 1.72 | 1.29 |
K2O | 0.15 | 0.25 | 0.13 | 0.31 | 0.29 | 0.22 | 0.12 | 0.04 | 0.03 | 0.04 | 0.34 | 0.08 | 0.07 | 0.14 | 0.09 | 0.09 | 0.07 | 0.28 | 0.05 |
P2O5 | 0.04 | 0.08 | 0.04 | 0.18 | 0.06 | 0.09 | 0.06 | 0.01 | 0.01 | 0.04 | 0.03 | 0.04 | 0.03 | 0.02 | 0.01 | 0.02 | 0.04 | 0.03 | 0.02 |
П.п.п. | 14.40 | 11.70 | 11.78 | 4.81 | 1.46 | 1.66 | 1.38 | 7.17 | 5.51 | 13.10 | 1.96 | 6.85 | 8.67 | 10.32 | 3.20 | 13.00 | 4.80 | 12.94 | 8.99 |
Сумма | 100.04 | 99.52 | 99.30 | 98.67 | 99.02 | 99.25 | 99.17 | 99.23 | 98.35 | 99.05 | 99.81 | 100.24 | 100.17 | 99.98 | 99.16 | 99.71 | 99.14 | 100.09 | 99.67 |
Cs | 0.07 | 0.10 | 0.04 | 1.62 | 0.16 | 0.01 | nd | 0.01 | nd | nd | 0.03 | 0.01 | 0.01 | 0.07 | 0.06 | 0.04 | 0.02 | 0.34 | 0.04 |
Rb | 1.79 | 3.00 | 1.18 | 5.76 | 3.40 | 0.32 | nd | 0.31 | nd | nd | 1.44 | 0.74 | 0.66 | 2.31 | 1.42 | 1.29 | 0.77 | 3.12 | 0.60 |
Sc | 9.15 | 18.35 | 13.00 | 34.42 | 39.66 | 41.63 | nd | 10.60 | nd | nd | 10.41 | 50.23 | 38.96 | 35.55 | 30.18 | 67.12 | 21.01 | 71.21 | 5.00 |
La | 6.10 | 0.52 | 0.56 | 10.88 | 0.73 | 0.08 | nd | 0.07 | nd | nd | 0.57 | 0.30 | 0.16 | 0.12 | 0.14 | 0.26 | 0.18 | 0.78 | 0.76 |
Ce | 24.97 | 0.29 | 0.61 | 51.60 | 2.37 | 0.28 | nd | 0.17 | nd | nd | 1.11 | 0.82 | 0.51 | 0.45 | 0.45 | 0.82 | 0.48 | 2.66 | 2.02 |
Pr | 1.68 | 0.13 | 0.16 | 3.83 | 0.44 | 0.06 | nd | 0.02 | nd | nd | 0.22 | 0.18 | 0.10 | 0.09 | 0.08 | 0.20 | 0.08 | 0.59 | 0.32 |
Nd | 7.24 | 0.67 | 0.78 | 18.27 | 2.70 | 0.43 | nd | 0.08 | nd | nd | 1.12 | 1.23 | 0.75 | 0.63 | 0.56 | 1.41 | 0.50 | 3.81 | 1.60 |
Sm | 1.72 | 0.24 | 0.22 | 5.24 | 1.09 | 0.21 | nd | 0.02 | nd | nd | 0.34 | 0.50 | 0.32 | 0.26 | 0.23 | 0.59 | 0.18 | 1.42 | 0.45 |
Eu | 0.42 | 0.09 | 0.07 | 1.64 | 0.54 | 0.06 | nd | 0.03 | nd | nd | 0.49 | 0.20 | 0.12 | 0.10 | 0.09 | 0.24 | 0.07 | 0.53 | 0.64 |
Gd | 1.96 | 0.37 | 0.31 | 6.09 | 1.48 | 0.24 | nd | 0.05 | nd | nd | 0.42 | 0.65 | 0.40 | 0.32 | 0.28 | 0.72 | 0.22 | 1.59 | 0.53 |
Tb | 0.29 | 0.08 | 0.06 | 1.03 | 0.29 | 0.05 | nd | 0.01 | nd | nd | 0.07 | 0.12 | 0.07 | 0.06 | 0.05 | 0.13 | 0.04 | 0.27 | 0.09 |
Dy | 1.62 | 0.62 | 0.42 | 6.25 | 1.96 | 0.29 | nd | 0.13 | nd | nd | 0.47 | 0.78 | 0.46 | 0.35 | 0.31 | 0.79 | 0.24 | 1.66 | 0.57 |
Y | 4.68 | 3.40 | 2.15 | 28.28 | 9.69 | 1.04 | nd | 0.80 | nd | nd | 2.24 | 3.31 | 2.00 | 1.41 | 1.25 | 3.51 | 1.00 | 6.82 | 2.69 |
Ho | 0.30 | 0.14 | 0.09 | 1.23 | 0.42 | 0.05 | nd | 0.03 | nd | nd | 0.10 | 0.16 | 0.09 | 0.06 | 0.06 | 0.16 | 0.05 | 0.32 | 0.12 |
Er | 0.86 | 0.47 | 0.30 | 3.60 | 1.26 | 0.14 | nd | 0.12 | nd | nd | 0.28 | 0.45 | 0.26 | 0.18 | 0.16 | 0.42 | 0.13 | 0.88 | 0.35 |
Tm | 0.12 | 0.07 | 0.04 | 0.50 | 0.18 | 0.02 | nd | 0.02 | nd | nd | 0.04 | 0.06 | 0.03 | 0.02 | 0.02 | 0.05 | 0.02 | 0.11 | 0.05 |
Yb | 0.83 | 0.54 | 0.36 | 3.35 | 1.23 | 0.12 | nd | 0.15 | nd | nd | 0.25 | 0.43 | 0.23 | 0.15 | 0.13 | 0.35 | 0.11 | 0.74 | 0.33 |
Lu | 0.12 | 0.08 | 0.05 | 0.48 | 0.18 | 0.02 | nd | 0.03 | nd | nd | 0.04 | 0.06 | 0.03 | 0.02 | 0.02 | 0.05 | 0.02 | 0.10 | 0.05 |
Примечание. nd – элемент не определялся; FeO* – все железо как FeO. Оксиды приведены в мас.%, редкие элементы – в г/т.
Характер распределения содержаний редких и редкоземельных элементов в изученных вулканических и субвулканических породах свидетельствует о присутствии среди них представителей, по меньшей мере, двух магматических серий. К одной из них относятся обр. DR45-22, DR47-21, DR47-24 (хр. Стелмейт), DR112-14 (хр. Ширшова) и образцы, отобранные в котловине Ингенстрем (табл. 5, рис. 4). Во всех перечисленных образцах фиксируются отрицательная аномалия Nb и положительные Ba, U и Sr. Эти геохимические признаки указывают на принадлежность пород к продуктам субдукционного (островодужного) магматизма. Обр. DR45-28 при отсутствии ниобиевой аномалии по характеру распределения других несовместимых элементов демонстрирует сходство с обр. DR45-22 (рис. 4). Диабаз, обр. DR112-13, обнаруживает отсутствие отрицательной ниобиевой аномалии и положительной стронциевой, что позволяет относить протолит этой породы к базальтоидам семейства MORB. Имея в виду, что большая часть изученных образцов вулканических и субвулканических пород хребтов Стелмейт и Ширшова испытала метаморфическое перерождение, следует подчеркнуть, что существующий опыт изучения геохимии метабазальтов (например, Dostal, Strong, 1983; Bartley, 1986; Ghatak et al., 2012) свидетельствует в пользу мнения об инертном поведении большинства редких элементов (включая РЗЭ) при метаморфизме протолита этих пород в широком диапазоне P-T условий. Исключением из этого правила являются некоторые крупноионные и литофильные элементы: Ba, Pb, La, U и Sr. Таким образом, можно полагать, что отрицательная ниобиевая аномалия, наблюдаемая в изученных образцах, является их унаследованной от протолита геохимической особенностью, в то время как характер распределения Ba, U и Sr определяется их метаморфическим перерождением. Забегая вперед, можно подчеркнуть, что среди изученной коллекции плутонические и вулканические породы, не обнаружившие признаков существенных изменений, представлены образцами DR45-14, DR47-1, DR47-2, DR47-20 (габброиды) и DR45-22, DR47-24 (базальты) и, как уже было отмечено выше, все образцы были отобраны в котловине Ингенстрем. Распределение содержаний РЗЭ, нормированных к хондриту, в базальтоидах ст. So249-DR45, в том числе в неизмененном Cpx-Pl базальте (обр. DR45-22), обнаруживает схожие обогащенные ЛРЗЭ, спектры с выраженным цериевым максимумом (рис. 5а), возможно, связанным с окислительными условиями, при которых были образованы эти породы: Ce/Ce* = 1–1.52. Цериевая аномалия рассчитана по формуле: 2Сecn/(Lacn + Prcn), приведенной в (German et al., 1991).
Рис. 4. Спайдерграма распределения нормированных к примитивной мантии (Sun, McDonough, 1989) содержаний несовместимых элементов в изученных породах. Состав континентальной коры приведен по (Rudnick, Fountain, 1995), состав базальтов островных дуг и СОХ – по (PetDB Database), состав обогащенных базальтов СОХ – по (Sun, McDonough, 1989).
Таблица 5. Содержание главных и редких элементов в вулканических и субвулканических породах
Компоненты | DR45-22 | DR45-28 | DR47-21 | DR47-24 | DR112-13 | DR112-14 | DR19-1 | DR19-10 | DR19-11 | DR19-4 | DR19-8 | DR19-13 | DR20-2 | DR20-3 |
SiO2 | 43.27 | 47.78 | 47.23 | 43.25 | 47.79 | 45.05 | 54.91 | 54.61 | 54.75 | 49.26 | 49.24 | 49.21 | 49.31 | 47.33 |
TiO2 | 1.05 | 1.89 | 0.51 | 0.96 | 2.09 | 0.40 | 1.29 | 1.24 | 1.25 | 1.59 | 1.63 | 1.59 | 1.60 | 2.53 |
Al2O3 | 13.57 | 12.7 | 16.11 | 14.59 | 12.22 | 14.56 | 14.16 | 14.72 | 14.56 | 14.77 | 15.16 | 15.13 | 15.33 | 13.25 |
FeO | 9.35 | 11.04 | 9.59 | 7.74 | 17.29 | 7.14 | 7.74 | 7.15 | 7.13 | 9.93 | 10.10 | 9.67 | 9.65 | 11.66 |
MnO | 0.53 | 0.52 | 0.31 | 0.14 | 0.09 | 0.10 | 0.13 | 0.13 | 0.13 | 0.15 | 0.16 | 0.15 | 0.15 | 0.16 |
MgO | 14.54 | 9.46 | 9.26 | 15.87 | 10.03 | 13.51 | 6.28 | 6.65 | 6.73 | 8.41 | 7.67 | 8.25 | 8.48 | 9.87 |
CaO | 8.28 | 9.06 | 10.75 | 10.37 | 0.88 | 11.61 | 11.04 | 10.53 | 10.40 | 12.73 | 12.97 | 12.50 | 12.26 | 16.05 |
Na2O | 2.7 | 3.56 | 3.1 | 2.39 | 2.38 | 1.46 | 2.82 | 2.70 | 2.82 | 2.59 | 2.50 | 2.57 | 2.59 | 1.70 |
K2O | 0.33 | 0.38 | 0.18 | 0.07 | 0.4 | 0.24 | 0.19 | 0.19 | 0.19 | 0.15 | 0.16 | 0.16 | 0.16 | 0.03 |
P2O5 | 0.084 | 0.187 | 0.050 | 0.052 | 0.193 | 0.026 | 0.13 | 0.13 | 0.13 | 0.17 | 0.15 | 0.16 | 0.20 | 0.25 |
П.п.п. | 5.05 | 2.02 | 1.62 | 3.44 | 4.55 | 4.99 | 0.53 | 0.81 | 0.77 | 0.43 | 0.38 | 0.57 | 0.07 | 0.05 |
Сумма | 98.75 | 98.59 | 98.71 | 98.88 | 97.91 | 99.07 | 100.37 | 100.21 | 100.27 | 100.05 | 99.97 | 99.97 | 99.92 | 100.14 |
Cs | 0.55 | 0.53 | 0.12 | 0.02 | 1.18 | 0.38 | 0.35 | 0.27 | 0.29 | 0.43 | 0.47 | 0.29 | 0.19 | 0.26 |
Rb | 5.5 | 3.2 | 1.6 | 0.4 | 12.3 | 3 | 11.36 | 8.90 | 9.76 | 13.83 | 14.35 | 9.63 | 7.68 | 8.33 |
Ba | 23 | 23 | 81 | 5.5 | 27 | 17 | 308 | 260 | 291 | 341 | 341 | 288 | 281 | 270 |
Th | 1.1 | 1.1 | 0.4 | 0.02 | 0.2 | 0.02 | 1.41 | 1.03 | 1.16 | 1.57 | 1.54 | 1.15 | 1.06 | 1.04 |
U | 0.18 | 0.16 | 0.06 | 0.08 | 0.11 | 0.06 | 0.78 | 0.44 | 0.62 | 0.88 | 0.77 | 0.57 | 0.62 | 0.55 |
Nb | 1.2 | 6 | 0.43 | 0.32 | 3.7 | 0.04 | 1.54 | 1.09 | 2.03 | 1.58 | 1.56 | 1.40 | 1.54 | 1.56 |
La | 4.7 | 8 | 2.4 | 0.77 | 6.2 | 0.96 | 9.82 | 8.19 | 9.30 | 10.25 | 10.34 | 9.08 | 8.48 | 7.98 |
Ce | 19 | 26 | 6.8 | 3.3 | 18.2 | 2.7 | 22.3 | 20.5 | 23.4 | 23.3 | 23.4 | 22.9 | 21.5 | 20.4 |
Pr | 2 | 3.1 | 0.86 | 0.71 | 3.1 | 0.51 | 2.99 | 3.00 | 3.41 | 3.06 | 3.13 | 3.36 | 3.14 | 2.96 |
Sr | 172 | 165 | 261 | 221 | 76 | 361 | 476 | 352 | 380 | 523 | 503 | 389 | 379 | 365 |
Nd | 10.4 | 16 | 4.5 | 4.8 | 17.5 | 3 | 12.3 | 13.6 | 15.3 | 12.8 | 13.0 | 15.2 | 14.2 | 13.4 |
Sm | 3.2 | 4.9 | 1.4 | 2 | 5.6 | 0.97 | 2.78 | 3.39 | 3.84 | 2.85 | 2.94 | 3.77 | 3.58 | 3.38 |
Zr | 84 | 74 | 18 | 30 | 10 | 11 | 99.2 | 78.2 | 106.5 | 99.7 | 91.4 | 96.4 | 103.3 | 93.4 |
Eu | 1.1 | 1.6 | 0.51 | 0.82 | 1.6 | 0.37 | 0.91 | 1.11 | 1.23 | 0.93 | 0.96 | 1.23 | 1.18 | 1.10 |
Gd | 4 | 6.3 | 1.8 | 2.9 | 7.8 | 1.1 | 2.71 | 3.17 | 3.54 | 2.79 | 2.87 | 3.49 | 3.62 | 3.16 |
Tb | 0.70 | 1.1 | 0.31 | 0.52 | 1.2 | 0.18 | 0.39 | 0.51 | 0.57 | 0.39 | 0.42 | 0.56 | 0.53 | 0.50 |
Dy | 4.4 | 6.7 | 2 | 3.5 | 8.4 | 1 | 2.23 | 2.93 | 3.30 | 2.28 | 2.37 | 3.29 | 3.12 | 2.91 |
Y | 21 | 34 | 10 | 18 | 39 | 4.6 | 12.7 | 16.5 | 18.3 | 12.7 | 13.3 | 18.1 | 16.8 | 15.8 |
Ho | 0.93 | 1.4 | 0.41 | 0.74 | 1.6 | 0.20 | 0.45 | 0.59 | 0.67 | 0.47 | 0.48 | 0.66 | 0.63 | 0.60 |
Er | 2.7 | 4 | 1.2 | 2.2 | 4.9 | 0.55 | 1.28 | 1.68 | 1.89 | 1.30 | 1.34 | 1.88 | 1.78 | 1.65 |
Tm | 0.40 | 0.56 | 0.18 | 0.31 | 0.74 | 0.07 | 0.18 | 0.24 | 0.28 | 0.20 | 0.20 | 0.28 | 0.26 | 0.25 |
Yb | 2.6 | 3.7 | 1.2 | 2 | 4.6 | 0.47 | 1.24 | 1.61 | 1.84 | 1.29 | 1.34 | 1.80 | 1.69 | 1.60 |
Lu | 0.39 | 0.52 | 0.18 | 0.30 | 0.67 | 0.07 | 0.19 | 0.24 | 0.28 | 0.20 | 0.21 | 0.28 | 0.26 | 0.25 |
Примечание. Оксиды приведены в мас.%, редкие элементы – в г/т.
Ранее, в (Силантьев и др., 2018), было показано, что плутонические породы ст. So249-DR45 представлены магматическими производными двух контрастных в геохимическом отношении родительских расплавов: обогащенного (обр. DR45-9 – габбро, обр. DR45-1 – ультрамафит) и деплетированного (обр. DR45-14 – габбро и обр. DR45-2, DR45-5 – ультрамафиты). Как видно из рис. 5а, базальтоиды ст. So249-DR45 по характеру распределения РЗЭ близки к представителям первой (обогащенной) группы. Пикробазальт со ст. So249-DR47 имеет сильно деплетированный тип спектра распределения РЗЭ, в то время, как диабаз, драгированный на той же станции, обнаруживает уплощенный спектр. Судя по данным, приведенным на рис. 5б, пикробазальт, возможно, генетически связан с лейкократовыми габбро, драгированными на ст. So249-DR47 (обр. DR47-1), а диабаз, обр. DR47-21, – с грубозернистыми габброидами (обр. DR47-20). Как было отмечено в (Силантьев и др., 2018), ультраосновная порода, обр. DR47-6, характеризуется спектром РЗЭ, повторяющим картину их распределения в различных петрографических типах сильно деплетированных ультрамафитов, связанных с производными магматических расплавов бонинитового типа. Породы такого состава характерны для надсубдукционных плутонических комплексов, участвующих в строении офиолитовых разрезов. Образцы DR112-13 и DR112-14, драгированные на хр. Ширшова, сильно различаясь по суммарному содержанию РЗЭ, демонстрируют схожий характер их распределения (рис. 5в), сближающий эти породы с обнаруженными в этом же районе пироксенитами мафит-ультрамафитовой ассоциации (Силантьев и др., 2018). Уровень содержания РЗЭ и морфология их нормализованных спектров в плутонических породах хр. Ширшова позволяет относить их к продуктам эволюции магматических расплавов толеитовой серии. Наблюдаемая картина распределения редкоземельных элементов, нормированных к хондриту, в базальтах и андезибазальтах котловины Ингенстрем соответствует их принадлежности к производным известково-щелочной серии островных дуг (рис. 5г).
Рис. 5. Характер распределения содержания РЗЭ в магматических породах хребтов Стемейт (а, б), Ширшова (в) и котловины Ингенстрем (г), нормализованных к хондриту (Sun, McDonough, 1989).
Полученные данные по содержанию редких элементов в породах мафит-ультрамафитовой ассоциации хребтов Стелмейт и Ширшов позволили более уверенно судить о происхождении большей части изученных высокомагнезиальных образцов за счет фракционирования магматического расплава. Согласно существующим данным (например, Norman et al., 2005), клинопироксен и оливин характеризуются сильно различающимися значениями коэффициента распределения Sc для системы минерал/расплав (2.39–2.75 и 0.14–0.19, соответственно). Поскольку модальные содержания этих двух фаз определяют вариации состава изученных плутонических пород, используя величину валового содержания Sc, можно оценить минеральный тип протолита. На рис. 6 видна кумулятивная природа пироксенитов (ст. So249-DR-112) и сопряженное возрастание концентраций Sc, CaO и Al2O3 с увеличением модального содержания клинопироксена в высокомагнезиальных породах хр. Ширшова, подтверждающее их принадлежность к единой кумулятивной серии. Рис. 6б наглядно демонстрирует особенности минерального состава изученных пород: в обр. DR45-2, наряду с клинопироксеном, присутствуют плагиоклаз и высокоглиноземистая роговая обманка магматического происхождения (Силантьев и др., 2018).
Таким образом, приведенные выше петрографические и геохимические данные позволяют предположить, что в пределах северо-западного окончания хр. Стелмейт присутствуют магматические породы, состав которых свидетельствует о гетерогенном в геохимическом отношении строении литосферы в этом сегменте северо-западной Пацифики. В противоположность этому плутонический комплекс хр. Ширшова характеризуется однородным строением и, так же как ассоциирующие здесь с пироксенитами субвулканические породы, обнаруживает отчетливые геохимические признаки сходства с производными магматизма срединно-океанических хребтов и задуговых центров спрединга.
ИЗОТОПНЫЙ СОСТАВ Sr И Nd В ПЛУТОНИЧЕСКИХ ПОРОДАХ ХРЕБТОВ СТЕЛМЕЙТ И ШИРШОВА
Для оценки геохимической природы источников магматизма, ответственных за образование изученных плутонических и вулканических пород, и в целях уточнения возможных генетических связей между ними в коллекции из 25 образцов, включающей все петрографические типы магматических пород рассмотренных районов хребтов Стелмейт и Ширшова, был проанализирован изотопный состав Sr и Nd (табл. 6). В образцах ультрамафитов со ст. So249-DR47 изотопный состав неодима измерить не удалось из-за крайне низких его концентраций. О вариациях величин измеренного изотопного отношения 87Sr/86Sr, εNd и отношения Sr/Nd в изученных образцах можно судить по рис. 7.
Рис. 6. Ковариации содержаний Sc, CaO (а) и Al2O3 (б) в высокомагнезиальных породах хребтов Ширшова и Стелмейт. Показано также содержание MgO в образцах ультрамафитов, составы которых отражены на рисунке. Точки состава Ol и Cpx приведены по (Norman et al., 2005).
Таблица 6. Результаты исследования Rb-Sr и Sm-Nd изотопных систем в магматических породах хребтов Стелмейт и Ширшова
Образец | Rb, ppm | Sr, ppm | 87Rb/86Sr | ± 2σ | 87Sr/86Sr | ± 2σ | Sm, ppm | Nd, ppm | 147Sm/144Nd | ±2σ | 143Nd/144Nd | ±2σ | εNd(T) |
Хребет Стелмейт | |||||||||||||
DR45-1 | 1.726 | 36.9 | 0.1354 | 0.0014 | 0.708860 | 0.000006 | 1.594 | 6.79 | 0.14191 | 0.00014 | 0.512502 | 0.000006 | -2.10 |
DR45-2 | 3.32 | 19.51 | 0.492 | 0.005 | 0.707276 | 0.000009 | 0.248 | 0.699 | 0.21457 | 0.00021 | 0.512768 | 0.000008 | 2.36 |
DR45-5 | 1.224 | 8.24 | 0.430 | 0.004 | 0.708760 | 0.000010 | 0.1984 | 0.693 | 0.17300 | 0.00017 | 0.512733 | 0.000006 | 2.09 |
DR45-9 | 5.64 | 129.8 | 0.1258 | 0.0013 | 0.705180 | 0.000003 | 5.14 | 17.65 | 0.17608 | 0.00018 | 0.512775 | 0.000004 | 2.88 |
DR45-14 | 4.26 | 254 | 0.0485 | 0.0005 | 0.703493 | 0.000004 | 1.083 | 2.68 | 0.24442 | 0.00024 | 0.513163 | 0.000019 | 9.75 |
DR45-22 | 6.08 | 182.4 | 0.0963 | 0.0010 | 0.703643 | 0.000004 | 3.17 | 10.43 | 0.18360 | 0.00018 | 0.512859 | 0.000009 | 4.45 |
DR45-28 | 3.46 | 175.3 | 0.0571 | 0.0006 | 0.703454 | 0.000006 | 5.01 | 16.66 | 0.18173 | 0.00018 | 0.512993 | 0.000016 | 7.07 |
DR47-1 | 1.742 | 295 | 0.01710 | 0.00017 | 0.702614 | 0.000010 | 0.490 | 1.754 | 0.16896 | 0.00017 | 0.513108 | 0.000015 | 9.44 |
DR47-2 | 1.783 | 225 | 0.0230 | 0.0002 | 0.702626 | 0.000004 | 0.930 | 2.32 | 0.24188 | 0.00024 | 0.513126 | 0.000009 | 9.07 |
DR47-6 | 0.269 | 6.32 | 0.1234 | 0.0012 | 0.706858 | 0.000004 | nd | nd | nd | nd | nd | nd | nd |
DR47-9 | 0.0936 | 2.51 | 0.1077 | 0.0011 | 0.704197 | 0.000017 | nd | nd | nd | nd | nd | nd | nd |
DR47-17 | 0.296 | 482 | 0.001775 | 0.000018 | 0.705582 | 0.000004 | 0.645 | 2.54 | 0.15386 | 0.00015 | 0.513102 | 0.000009 | 9.49 |
DR47-20 | 1.665 | 288 | 0.01671 | 0.00017 | 0.702525 | 0.000006 | 0.314 | 1.043 | 0.18210 | 0.00018 | 0.513125 | 0.000017 | 9.65 |
DR47-21 | 1.778 | 269 | 0.01910 | 0.00019 | 0.704368 | 0.000008 | 1.382 | 4.41 | 0.18955 | 0.00019 | 0.512976 | 0.000012 | 6.67 |
DR47-24 | 0.469 | 234 | 0.00578 | 0.00006 | 0.704948 | 0.000005 | 1.882 | 4.58 | 0.24830 | 0.00025 | 0.513187 | 0.000008 | 10.18 |
Хребет Ширшова | |||||||||||||
DR112-1 | 0.728 | 36.2 | 0.0582 | 0.0006 | 0.704062 | 0.000009 | 0.472 | 1.168 | 0.24408 | 0.00024 | 0.513058 | 0.000016 | 7.70 |
DR112-2 | 0.667 | 18.70 | 0.1032 | 0.0010 | 0.704714 | 0.000007 | 0.278 | 0.664 | 0.25355 | 0.00025 | 0.513117 | 0.000014 | 8.77 |
DR112-5 | 2.32 | 21.1 | 0.318 | 0.003 | 0.704232 | 0.000007 | 0.230 | 0.545 | 0.25510 | 0.00026 | 0.513107 | 0.000011 | 8.55 |
DR112-6 | 1.566 | 26.7 | 0.1694 | 0.0017 | 0.705745 | 0.000010 | 0.223 | 0.540 | 0.24909 | 0.00025 | 0.513146 | 0.000028 | 9.39 |
DR112-13 | 12.72 | 80.0 | 0.460 | 0.005 | 0.704337 | 0.000006 | 6.23 | 18.06 | 0.20857 | 0.00021 | 0.513135 | 0.000007 | 9.58 |
DR112-14 | 3.15 | 393 | 0.0232 | 0.0002 | 0.702963 | 0.000005 | 1.065 | 3.25 | 0.19806 | 0.00020 | 0.513111 | 0.000008 | 9.22 |
DR112-21 | 1.278 | 42.1 | 0.0878 | 0.0009 | 0.703278 | 0.000008 | 0.534 | 1.274 | 0.25349 | 0.00025 | 0.513139 | 0.000009 | 9.19 |
DR112-22 | 0.807 | 6.93 | 0.337 | 0.003 | 0.706826 | 0.000008 | 0.1693 | 0.457 | 0.22388 | 0.00022 | 0.513123 | 0.000018 | 9.19 |
DR112-23 | 3.09 | 192.2 | 0.0464 | 0.0005 | 0.703100 | 0.000008 | 1.406 | 3.76 | 0.22637 | 0.00023 | 0.513117 | 0.000022 | 9.04 |
DR112-24 | 0.299 | 5.66 | 0.1528 | 0.0015 | 0.707276 | 0.000007 | 0.1799 | 0.392 | 0.27780 | 0.00028 | 0.513137 | 0.000012 | 8.91 |
Котловина Ингенстрем | |||||||||||||
DR19-1 | 17.94 | 571 | 0.0908 | 0.0009 | 0.70305 | 0.00017 | 5.01 | 22.51 | 0.13464 | 0.00013 | 0.513078 | 0.000008 | 9.22 |
DR19-4 | 13.44 | 378 | 0.1027 | 0.0010 | 0.70320 | 0.00007 | 3.76 | 15.26 | 0.14883 | 0.00015 | 0.513075 | 0.000015 | 9.02 |
DR19-8 | 13.04 | 420 | 0.0898 | 0.0009 | 0.70317 | 0.00011 | 4.03 | 16.45 | 0.14824 | 0.00015 | 0.513067 | 0.000009 | 8.86 |
DR19-10 | 17.55 | 545 | 0.0931 | 0.0009 | 0.70309 | 0.00008 | 3.03 | 13.8 | 0.13276 | 0.00013 | 0.513093 | 0.000011 | 9.53 |
DR19-11 | 17.53 | 534 | 0.0949 | 0.0009 | 0.70308 | 0.00010 | 5.58 | 25.22 | 0.13377 | 0.00013 | 0.513083 | 0.000010 | 9.32 |
DR19-13 | 12.68 | 399 | 0.0919 | 0.0009 | 0.70318 | 0.00010 | 3.95 | 16.10 | 0.14842 | 0.00015 | 0.513079 | 0.000006 | 9.10 |
DR20-2 | 10.39 | 404 | 0.0743 | 0.0007 | 0.70318 | 0.00010 | 3.94 | 16.03 | 0.14855 | 0.00015 | 0.513080 | 0.000008 | 9.12 |
DR20-3 | 10.62 | 408 | 0.0753 | 0.0008 | 0.70317 | 0.00009 | 3.90 | 15.87 | 0.14866 | 0.00015 | 0.513072 | 0.000015 | 8.96 |
Примечание. nd – элементы и их изотопные отношения не определялись из-за очень низких концентраций.
Поскольку большая часть образцов из изученной коллекции обнаруживает признаки метаморфического преобразования, следует оценить возможное влияние процессов метаморфизма на изотопный состав проанализированных образцов. Ранее было показано, что наиболее действенным индикатором степени изменения пород океанического субстрата является величина отношения 87Sr/86Sr, а в случае высокомагнезиальных пород индикатором служит и валовое содержаниe в них Sr (Силантьев, Костицын, 1990). В проанализированных образцах ультрамафитов и габброидов наблюдается положительная корреляция между величинами 87Sr/86Sr и П.п.п. (потери при прокаливании), что свидетельствует о возрастании 87Sr/86Sr в процессе изменения протолита изученных пород. На рис. 8а величина 87Sr/86Sr в изученных породах коррелирует с содержанием MgO. Указанная зависимость является универсальной особенностью магнезиальных океанических пород, измененных в ходе взаимодействия с флюидом морского происхождения. Этот феномен отражает геохимический эффект кислотно-основновного взаимодействия в системе морская вода–мафит-ультрамафитовый океанический субстрат, главным результатом которого является образование гидроксилсодержащих минеральных ассоциаций, широко развитых в породах габбро-перидотитовой ассоциации океанической коры и составляющих большую часть объема серпентинитов. Таким образом, тренд возрастания 87Sr/86Sr, фиксируемый в большей части образцов из изученной коллекции пород, преимущественно отражает низко- и среднетемпературное преобразование их протолита при взаимодействии с флюидом морского происхождения.
Изотопный состав Nd в породах океанического фундамента подвержен изменению лишь при величине отношения W/R (вода/порода) > 105 (Faure, 1986; Snow, Reisberg, 1995; Delacour et al., 2008), однако такие условия реализуются лишь в приповерхностных условиях, где, главным образом, имеет место карбонатизация серпентинизированных перидотитов. Эффективная серпентинизации абиссальных перидотитов происходит внутри океанического корового разреза на его глубине порядка 3.5–4.5 км (Силантьев и др., 2009). Этим условиям отвечают значительно более низкие значения W/R: около 0.1 для аваруитсодержащих пород (Базылев, 2000) и 1 по расчетным данным, полученным для абиссальных перидотитов в (Силантьев и др., 2009). Рис. 8б демонстрирует, что породы мафит-ультрамафитового комплекса хр. Ширшова относятся к однородному в отношении изотопного состава неодима источнику магматизма. На этом рисунке видно, что при изменении состава продуктов фракционирования магматического расплава изотопный состав неодима в них остается практически неизменным. В противоположность этому для магматической ассоциации пород хр. Стелмейт наблюдается широкий диапазон вариаций величины отношения 143Nd/144Nd. Поскольку изученные ультрамафиты хребтов Стелмейт и Ширшова серпентинизированы в одинаковой степени, можно предполагать, что вариации изотопного состава Nd в породах хр. Стелмейт отражают первичную геохимическую гетерогенность источников магматизма, продуцирующих их. В мантийных условиях поведение Sm и Nd в перидотитах контролируется двумя главными процессами: 1) частичным плавлением мантийного вещества и 2) взаимодействием мантийного субстрата с магматическими расплавами и флюидами и его метасоматическим преобразованием. С одной стороны, степень частичного плавления определяет величину отношения Sm/Nd в мантийном рестите в соответствии с предпочтительным, по сравнению с Sm, концентрированием Nd в расплавах (Faure, 1986). С другой стороны, повторное обогащение мантийного вещества в открытых магматических системах может приводить к существенному уменьшению величины отношения Sm/Nd. В этом случае величина отношения Sm/Nd в мантийном субстрате будет зависеть от степени обогащенности сильно некогерентными элементами взаимодействующих с ним магматических расплавов. Таким образом, можно полагать, что величина Sm/Nd в родительском расплаве для мафит-ультрамафитовой ассоциации пород зависит от степени плавления его источника, а состав продуктов его фракционной кристаллизации от степени дифференциации расплава. Очевидно, что эффективная фракционная кристаллизация базитового расплава с участием оливина и клинопироксена приводит к существенным вариациям содержания MgO и сопряженным вариациям микропримесей в конечных продуктах дифференциации магматического расплава (Костицын, 2007). Эта зависимость отчетливо проявлена в ультрамафитах хр. Ширшова (рис. 9а). Как следует из рис. 10б, характер ковариаций значений Sm/Nd и 143Nd/144Nd, наблюдаемый для пород мафит-ультрамафитовой ассоциации хр. Стелмейт, предполагает участие в их образовании различных в геохимическом отношении источников магматических расплавов. Таким образом, полученные данные об изотопном составе неодима в изученных породах подтверждают предположение в статье (Силантьев и др., 2018), что магматические породы, драгированные на ст. So249-DR45, представлены производными двух различных родительских расплавов: обогащенного и деплетированного. Данные, приведенные на рис. 9б, демонстрируют, что источником обогащенных расплавов, участвующих в формировании литосферы на северо-западном окончании хр. Стелмейт, мог являться мантийный резервуар, частичное плавление которого было ответственно за проявления вулканизма в самом древнем сегменте Гавайско-Императорской вулканической цепи, включающем подводные горы Мейджи и Детройт (85–81 млн лет). Ранее, в (Краснова, 2014), были приведены оценки температуры и степени частичного плавления мантийного субстрата под северо-западным отрезком хр. Стелмейт, которые позволили автору цитируемой работы предположить участие Гавайского плюма в плавлении мантийного источника, родительского для лерцолитов хр. Стелмейт.
Рис. 7. Вариации величин отношений 87Sr/86Sr (а) и Sr/Nd (б) и εNd в вулканических и плутонических породах хребтов Стелмейт и Ширшова, а также в вулканических породах котловины Ингенстрем. Ст. So249-DR45: 1 – базальты, 2 – габбро, 3 – ультрамафиты. Ст. So249-DR47: 4 – базальты, 5 – габбро. Ст. So249-DR112: 6 – диабазы, 7 – габбро, 8 – ультрамафиты. Котловина Ингенстрем: 9 – базальты и андезибазальты. 10 – MORB Восточно-Тихоокеанского поднятия. 11 – базальты Алеутской островной дуги (10 и 11 приведены по (Костицын, 2004)).
Серпентинит, обр. DR45-1, обнаруживает аномально высокое для абиссальных перидотитов содержание Nd (табл. 4, 6). Как видно на рис. 7, этот образец характеризуется величиной εNd = –2.1, свидетельствующей о том, что он не связан с мантийным субстратом океанической литосферы, частичное плавление которого производит базальты семейства MORB. Изотопный состав неодима, свойственный этой породе, может указывать на принадлежность ее протолита к древнему коровому субстрату.
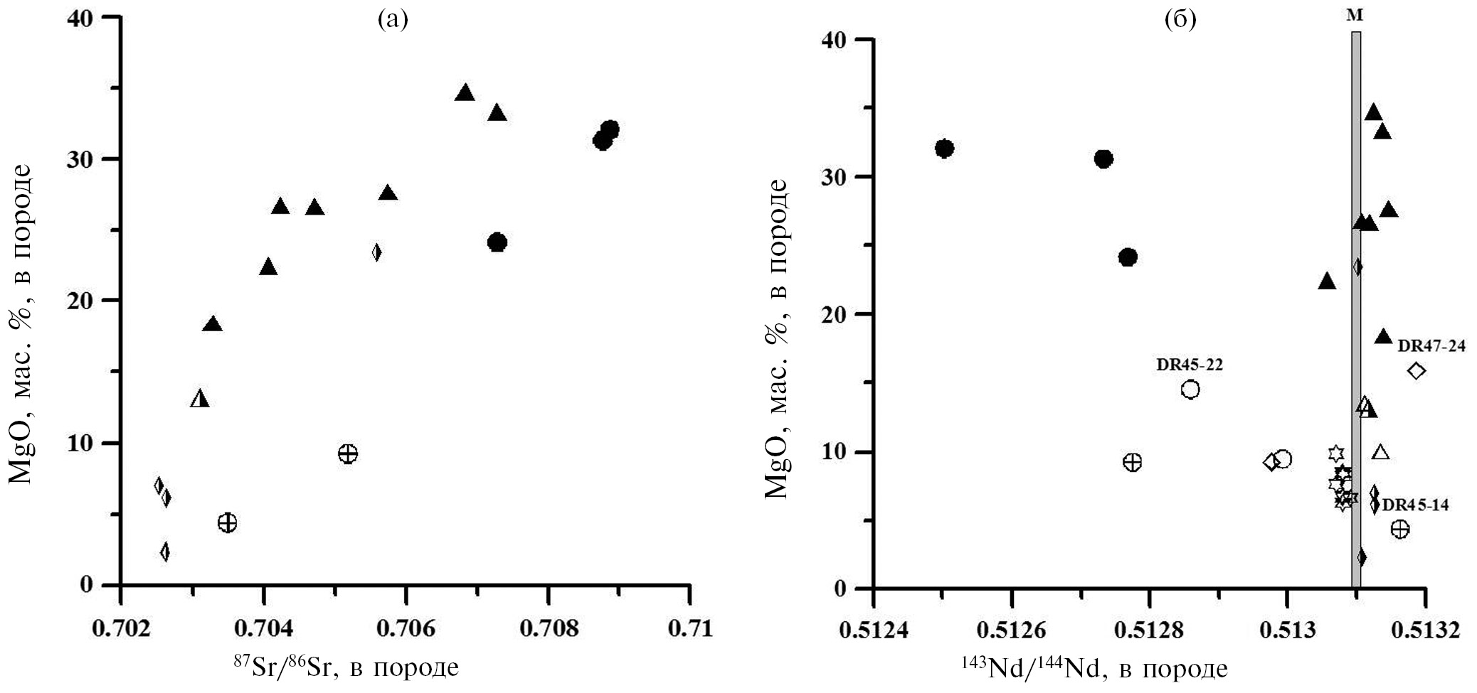
Рис. 8. Вариации величин отношений 87Sr/86Sr (а) и 143Nd/144Nd (б) и содержания MgO в породах мафит-ультрамафитовых ассоциаций хребтов Стелмейт и Ширшова. Серым прямоугольником с индексом «М» обозначено значение величины 143Nd/144Nd в мантийном источнике, продуцирующем MORB. Остальные условные обозначения см. на рис. 7.
Суммируя приведенные выше изотопно-геохимические данные, можно прийти к заключению, что в изученной коллекции образцов присутствуют две главных группы вулкано-плутонических ассоциаций пород. Одна из них относится к хр. Ширшова и образована за счет частичного плавления деплетированного магматического источника, характерного для океанических и задуговых центров спрединга. Другая группа, объединяющая образцы, драгированные на хр. Стелмейт, обнаруживает связь с магматической системой, в эволюции которой, кроме деплетированного, участвовал обогащенный источник магматических расплавов, близких к формирующим вулканические постройки северо-западного сегмента Гавайско-Императорский вулканической цепи.
Рис. 9. Вариации содержания MgO (а) и величин отношений Sm/Nd (б) и 143Nd/144Nd в вулканических и плутонических породах хребтов Стелмейт и Ширшова, а также в вулканических породах котловины Ингенстрем и северного сегмента Гавайско-Императорской вулканической цепи. Цифрами на рис. 9а показаны содержания MgO в образцах. Серым цветом обозначено поле состава вулканитов Гавайско-Императорской вулканической цепи: 1 – подводная гора Мейджи (85 млн лет), 2 – подводная гора Детройт (81 млн лет) (Regelous et al., 2003). Остальные условные обозначения как на рис. 7.
Точки состава вулканитов котловины Ингенстрем занимают компактное поле на рис. 7–9 и соответствуют изотопному составу вулканических пород Алеутской островной дуги, в пределах которой эта котловина расположена. Те же рисунки демонстрируют общность изотопного состава некоторых образцов базальтоидов хр. Стелмейт с изотопным составом типичных островодужных вулканитов.
ГЕОДИНАМИЧЕСКАЯ ИНТЕРПРЕТАЦИЯ ГЕНЕЗИСА МАГМАТИЧЕСКИХ ПОРОД ХРЕБТОВ СТЕЛМЕЙТ И ШИРШОВА
Представленные выше данные аттестуют изотопно-геохимические типы пород из уникальной коллекции образцов, объединяющей все петрографические типы продуктов магматизма, входящих в состав литосферы конвергентной границы плит в районе Алеутской островной дуги. Эти образцы были отобраны на значительной площади, включающей акватории северо-западной Пацифики и Берингова моря, и, таким образом, могут предоставить ценную информацию, позволяющую с разной степенью достоверности реконструировать возможные геодинамические сценарии формирования литосферы в рассмотренных сегментах этого огромного региона.
Результаты проведенного исследования позволяют достаточно уверенно судить о геодинамической природе хр. Ширшова, центральный сегмент которого, сложен магматическими породами, обнаруживающими изотопно-геохимические особенности, которые свидетельствуют о их происхождении за счет эволюции магматического расплава, образованного при частичном плавлении деплетированного мантийного субстрата. Если допускать происхождение хр. Ширшова за счет спрединга в задуговом бассейне, этот субстрат представлен веществом мантийного клина, расположенного под Алеутской островной дугой. Возраст образования хр. Ширшова до сих может быть определен лишь приблизительно, поскольку приведенные в (Сухов и др., 2011) оценки возраста циркона, выделенного из амфиболитов, ассоциирующих с магматическими породами, составили 73 ± 1.4 млн лет, а в отдельных зернах – 88 ± 3.4 и 126.5 ± 4.5 млн лет. Так как амфиболиты, обнаруженные в районе ст. So249-DR112, по петрографическим особенностям и условиям метаморфизма были отнесены в (Силантьев и др., 2018) к типичным метаморфическим субофиолитовым ореолам (metamorphic sole), можно предполагать, что формирование кумулятивной серии пород, обнаруженных здесь, происходило не позднее 73 ± 1.4 млн лет тому назад.
Гораздо сложнее интерпретировать изотопные данные, полученные для пород перидотит-габбро-базальтовой ассоциации хр. Стелмейт. В настоящее время общепринята точка зрения относительно геодинамической природы разломной зоны Стелмейт (Lonsdale, 1988). Хребет Стелмейт, согласно (Lonsdale, 1988), был образован при тектоническом взбросе блока океанической литосферы мелового возраста вдоль трансформного разлома. Полученные к настоящему времени петролого-геохимические данные позволяют предполагать гетерогенность источников магматизма, сформировавших породы мафит-ультрамафитовой ассоциации северо-западного окончания хр. Стелмейт. Эти данные не противоречат возможности участия в магматических процесах этого района источника, ответственного за образование наиболее древних вулканических построек Гавайско-Императорской цепи. С одной стороны, отдельные образцы вулканических и плутонических пород, отобранных на северо-западном окончании хр. Стелмейт, обнаруживают геохимические признаки островодужного происхождения и в отношении изотопного состава соответствуют типичным вулканитам Алеутской дуги и котловины Ингенстрем, в частности. С другой стороны, предполагаемый деплетированный источник, из которого выплавлялись расплавы, родительские для некоторых габброидов и базальтов станций So249-DR45 и So249-DR47, в изотопном отношении соответствует мантийному резервуару, продуцирующему MORB.
Наибольшие трудности вызывает геодинамическая интерпретация изотопно-геохимических особенностей перидотита хр. Стелмейт, обр. DR45-1. Изотопный состав неодима в этой породе характерен для представителей древнего корового субстрата, следов которого до настоящего времени в рассматриваемом секторе северо-западной Пацифики обнаружено не было. Очевидно, основываясь лишь на имеющихся в распоряжении авторов статьи данных, объяснить присутствие ультраосновной породы с указанными изотопными характеристиками в океаническом склоне Алеутского глубоководного желоба в настоящее время не представляется возможным.
Ассоциация высокомагнезиальных магматических пород, слагающая изученный сегмент хр. Стелмейт, в петрографическом отношении практически соответствует плутоническим породам, выносимым к поверхности продуктами вулканизма Алеутской островной дуги. В работе (Kay, Conrad, 1984) были описаны ксенолиты плутонических пород в андезитах вулкана Моффетт, о. Адак. Эти ксенолиты представлены плутоническими породами кумулятивного происхождения: оливиновыми клинопироксенитами, содержащими роговую обманку, и габброидами, типичными для супрасубдукционных магматических комплексов. Авторы цитируемой работы предполагают, что ультраосновные кумулаты были образованы при эволюции магматических расплавов, полученных при частичном плавлении мантии под островной дугой при участии водного флюида. Ксенолиты основных и ультраосновных пород были обнаружены также в продуктах извержения вулкана Касаточи, центральная часть Алеутской дуги (Nadin et al., 2014). В петрографическом отношении эти ксенолиты идентичны ксенолитам, обнаруженным на о-ве Адак, и представлены роговообманковыми габбро, верлитами, клинопироксенитами и оливиновыми клинопироксенитами (Nadin et al., 2014). Очевидно, в строеннии плутонического фундамента Алеутской островной дуги преобладают породы мафит-ультрамафитовой ассоциации, обнаруженные в ксенолитах о-ва Адак и прилегающей акватории Алеутской островной дуги. В пользу этого предположения свидетельствуют и геофизические данные. В работе (Shillington et al., 2013) были рассмотрены ограничения на существующие представления о составе нижней коры Алеутской островной дуги, которые следуют из анализа вариаций отношения продольных и поперечных сейсмических волн Vp/Vs. Результаты, полученные в (Shillington et al., 2013), позволили авторам этой работы прийти к выводу, что преобладающими петрографическими типами плутонических пород в нижней коре под Алеутской дугой являются клинопироксениты (~50–70%) и габброиды (~30–50%). Причем, ультраосновные кумулаты составляют ~30–40% всего объема коры Алеутской островной дуги. Указанная ассоциация плутонических пород, как было показано выше и в (Силантьев и др., 2018), широко распространена на северо-западном фланге хр. Стелмейт.
Таким образом, в рамках геодинамической интерпретации полученных данных о изотопно-геохимических характеристиках изученных в настоящей работе пород следует иметь в виду не только петрологические свидетельства их близости к мафит-ультрамафитовым ассоциациям конвергентных границ плит, но и их несомненное сходство с плутоническими породами из ксенолитов в вулканических породах Алеутской дуги. Учитывая малочисленность существующих сведений о строении литосферы в рассматриваемой акватории Тихого океана, можно лишь с большой осторожностью предположить участие в строении океанического склона Алеутского глубоководного желоба (ст. So249-DR45) и примыкающего к нему сегмента хр. Стелмейт (ст. So249-DR47) фрагментов плутонического фундамента Алеутской островной дуги.
Благодарности. Авторы выражают глубокую благодарность М.В. Портнягину (ГЕОХИ РАН; GEOMAR Helmholtz Centre for Ocean Research, Kiel, Germany), К. Хернле и Р. Вернеру (GEOMAR Helmholtz Centre for Ocean Research, Kiel, Germany) за тесное сотрудничество в ходе проведения 201-го и 249-го рейсов НИС «Зонне» и плодотворное обсуждение полученных результатов.
Источники финансирования. Проведенное исследование осуществлялось при поддержке гранта РФФИ №18-05-00001а и средств, выделяемых из бюджета на исследования, ведущиеся по теме 0137-2018-0004 “Проблемы образования и эволюции литосферы океанов и континентов”. Рейсы Sо201 и Sо249 проводились в рамках проектов КАЛЬМАР (2009 г.) и БЕРИНГ (2016 г.) при финансовой поддержке Министерства образования и науки ФРГ.
1 Здесь и далее номера станций драгирования приводятся с указанием номера рейса, а номера образцов – только с обозначением номера драги.
About the authors
S. A. Silantyev
Vernadsky Institute of Geochemistry and Analytical Chemistry, Russian Academy of Sciences
Author for correspondence.
Email: silantyev@geokhi.ru
Russian Federation, Moscow
Yu. A. Kostitsyn
Vernadsky Institute of Geochemistry and Analytical Chemistry, Russian Academy of Sciences
Email: silantyev@geokhi.ru
Russian Federation, Moscow
V. V. Shabykova
Vernadsky Institute of Geochemistry and Analytical Chemistry, Russian Academy of Sciences
Email: silantyev@geokhi.ru
Russian Federation, Moscow
E. A. Krasnova
Vernadsky Institute of Geochemistry and Analytical Chemistry, Russian Academy of Sciences; Moscow State University
Email: silantyev@geokhi.ru
Department of Petrology of the Faculty of Geology
Russian Federation, MoscowYa. Yu. Ermakov
Moscow State University
Email: silantyev@geokhi.ru
Department of Petrology of the Faculty of Geology
Russian Federation, MoscowD. N. Dogadkin
Vernadsky Institute of Geochemistry and Analytical Chemistry, Russian Academy of Sciences
Email: silantyev@geokhi.ru
Russian Federation, Moscow
A. V. Zhilkina
Vernadsky Institute of Geochemistry and Analytical Chemistry, Russian Academy of Sciences
Email: silantyev@geokhi.ru
Russian Federation, Moscow
References
- Базылев Б.А. Развитие аваруитсодержащей минеральной ассоциации в перидотитах из зоны разлома 15°20′ (Атлантический океан) как одно из проявлений океанического метаморфизма // Российский журнал наук о Земле. 2000. Т.2. № 3/4. С. 279-295.
- Костицын Ю.А. Sm-Nd и Lu-Hf изотопные системы Земли: отвечают ли они хондритам? // Петрология. 2004. Т.12. № 5. С. 451-466.
- Костицын Ю.А. Взаимосвязь между химической и изотопной (Sr, Nd, Hf, Pb) гетерогенностью мантии // Геохимия. 2007. №12. С. 1267-1291.
- Краснова Е.А. Магматическая и метаморфическая эволюция мантийного субстрата литосферы северо-западной части Тихого океана. Автореф. дисс. … канд. геол.-мин. наук. М.: ГЕОХИ РАН, 2014. 26 с.
- Краснова Е.А., Портнягин М.В., Силантьев С.А., и др. Двухстадийная эволюция мантийных перидотитов разломной зоны Стелмейт (СЗ Пацифика) // Геохимия. 2013. Т. 51. № 9. С. 759-772.
- Силантьев С.А., Костицын Ю.А. Изотопный состав стронция и концентрации рубидия и стронция в породообразующих минералах амфиболитов разломной зоны 15°20′ (Атлантика) в связи с условиями океанического метаморфизма // Докл. АН СССР. 1990. Т. 315. № 3. С. 707-711
- Силантьев С.А., Баранов Б.В., Колесов Г.М. Геохимия и петрология амфиболитов хребта Ширшова, Берингово море // Геохимия. 1985. № 12. С. 1694-1705.
- Силантьев С.А., Мироненко М.В., Новоселов А.А. Гидротермальные системы в перидотитовом субстрате медленно-спрединговых хребтов. Моделирование фазовых превращений и баланса вещества: Нисходящая ветвь // Петрология. 2009. Т. 17. № 2. С. 154-174.
- Силантьев C.А., Портнягин М.В., Краснова Е.А., и др. Петрология и геохимия плутонических пород северо-западной части Тихого океана и их геодинамическая интерпретация // Геохимия. 2014. № 3. С. 195-213.
- Силантьев С.А., Кубракова И.В., Портнягин М.В., и др. Ультрамафит-мафитовая ассоциация плутонических пород и роговообманковые сланцы хребтов Ширшова (Барингово море) и Стелмейт (северо-западная акватория Тихого океана): геодинамическая интерпретация геохимических данных // Петрология. 2018. Т. 26. № 5. С. 1-25.
- Сухов А.Н., Чехович В.Д., Ландер А.В., и др. Возраст фундамента хребта Ширшова (Берингово море): результаты датирования U-Pb методом циркона на микроанализаторе SHRIMP // Докл. АН. 2011. Т. 439. № 2. С. 926.
- Eggins S.M. Origin and differentiation of picritic arc magmas, Ambae (Aoba), Vanuatu // Contrib. Mineral. Petrol. 1993. V. 114. P. 79-100.
- Bartley J. Evaluation of REE mobility in low-grade metabasalts using mass-balance calculations // Norsk Geologisk Tidsskrift. Oslo. 1986. V. 66. Р. 145-152. ISSN 0029-196X
- Beccaluva L., Hacciotta G., Paccardo G.B., Zeta O. Clinopyroxene composition of ophiolite basalts as petrogenetic indicator // Chemical Geology. 1989. V. 77. Р. 165-162.
- Churikova T., Dorendorf F., Worner G. Sources and fluids in the mantle wedge below Kamchatka, evidence from across0arc geochemical variation // J. Petrol. 2001. V. 42. № 8. P. 1567-1593.
- Cox K.G., Bell J.D., Pankhurst R.J. The interpretation of igneous rocks. London: Allen and Unwin, 1979. 450 p.
- Clague D.A., Dalrymple G.B. The Hawaiian-Emperor Volcanic Chain // Volcanism in Hawaii. Eds. R.W. Decker, T.L. Wright, P.H. Stauffer. US Geological Survey Professional Paper 1350. 1987. P. 5-55.
- Delacour A., Früh-Green G.L., Frank M., et al. Sr- and Nd-isotope geochemistry of the Atlantis Massif (30°N, MAR): Implications for fluid fluxes and lithospheric heterogeneity // Chemical Geology. 2008. V. 254. P. 19-35.
- Demant A. Mineral chemistry of volcanic sequences from Hole 917A, Southeast Greenland Margin // Eds. A.D. Saunders, H.C. Larsen, and S.W., Jr. Wise. Proceedings of the Ocean Drilling Program, Scientific Results. 1998. V. 152. P. 403-416.
- Dietrich V.J., Gansser A., Sommerauer L., Cameron W.E. Palaeogene komatiites from Gorgona Island, East Pacific - A primary magma for ocean floor basalts? // Geochem. J. 1981. V. 15. P.141-161.
- Dostal J., Strong D.F. Trace-element mobility during low-grade metamorphism and silicification of basaltic rocks from Saint John, New Brunswick // Canadian J. Science. 1983. V. 20. P. 431-435.
- Faure G. Principles of Isotope Geology. New York: John Wiley & Sons, 1986. 520 р.
- German C.R., Holliday B.P., Elderfield H. Redox cycling of rare earth elements in the suboxic zone of the Black Sea // Geochim. Cosmochim. Acta. 1991. V. 55. P. 3553-3558.
- Ghatak A., Basu A.R., Wakabayashi J. Element mobility in subduction metamorphism: Insight from metamorphic rocks of the Franciscan complex and Feather River ultramafic belt, California // International Geology Review. 2012. V. 54. P. 654-685; doi: 10.1080/00206814.2011.567087
- Kay R.W., Conrad W.K. Ultramafic and Mafic Inclusions from Adak Island: Crystallization History, and Implications for the Nature of Primary Magmas and Crustal Evolution in the Aleutian Arc // J. Petrol. 1984. V. 25. № 1. P. 88-125.
- Lonsdale P. Paleogene history of the Kula plate: Offshore evidence and onshore implications // Geol. Soc. Amer. Bull. 1988. V. 100. P. 733- 754.
- Nadin E.S., Kentner A.E., Nye C.J., Izbekov P.E. Petrogenesis of mafic and ultramafic enclaves from the Central Aleutian Arc, and implication for the formation of new crust // AGU Fall Meeting. 2014. Abstract Volume T11A-4533.
- Norman M., Garcia M.O., Pietruszka A.J. Trace-element distribution coefficients for pyroxene, plagioclase, and olivine in evolved tholeiites from the 1955 eruption of Kilauea Volcano, Hawai’i, and petrogenesis of differentiated rift-zone lavas // Amer. Mineral. 2005. V. 90. P. 888-899.
- PetDB Database www.earthchem.org/petdb
- Regelous M., Hofmann A.W., Abouchami W., Galer S.J.G. Geochemistry of Lavas from the Emperor Seamounts, and the Geochemical Evolution of Hawaiian Magmatism from 85 to 42 Ma //J. Petrol. 2003. V. 44. № 1. P. 113-140.
- Rudnick R.L., Fountain D.M. Nature and Composition of the Continental crust: A lower crustal perspective // Rev. Geophys. 1995. V. 33. № 3. P. 267-309.
- Shillington D.J., Van Avendonk H.J.A., Behn M.D., et al. Constraints on the composition of the Aleutian arc lower crust from VP/VS // Geophys. Res. Lett. 2013. V. 40. № 11; doi: 10.1002/grl.50375
- Snow J.E., Reisberg L. Os isotopic systematics of MORB mantle: results from altered abyssal peridotites // Earth Planet. Sci. Lett. 1995. V. 133. Р. 411-421.
- Sun S.-S., McDonough W.F. Chemical and isotopic systematics of oceanic basalts: implications for mantle composition and processes // Magmatism in Ocean Basins. Eds. A.D. Saunders, M.J. Norry. Geol. Soc. Spec. Publ. London. 1989. V. 42. P. 313-345.
- Tree J.P. Mantle potential temperatures of 4.5 to 47 Ma Hawaiian Volcanoes using olivine thermometry: implications for melt flux variations // A thesis submitted to the grasuate division of the University of Hawaii at Manoa in partial fulfillment of the requirements for degree of Masrer of Science in Geology and Geophysics. 2016. 126 p.
- Yogodzinski G.M., Brown S.T., Kelemen P.B., et al. The role of subducted basalt in the source of island arc magmas: evidence from seafloor lavas of the western Aleutians // J. Petrol. 2015. V. 56. P. 441-492.
- Yogodzinski G.M., Kelemen P.B., Hoernle K., et al. Sr and O isotopes in western Aleutian seafloor lavas: Implications for the source of fluids and trace element character of arc volcanic rocks // Earth Planet. Sci. Lett. 2017. V. 475. P. 169-180.
- Werner R., Hauff F., Hoernle K. IFM-GEOMAR. Leibniz-Institut fur Meereswissenschaften an der Universitat Kiel. FS Sonne Fahrbericht. Cruise Report SO201-1b. 2009. Nr. 32. 62 p.
Supplementary files











