Система поддержания эффективной осевой нагрузки на долото при бурении скважин
- Авторы: Михеев С.А.1
-
Учреждения:
- Самарский государственный технический университет
- Выпуск: Том 29, № 4 (2021)
- Страницы: 32-43
- Раздел: Информатика, вычислительная техника и управление
- URL: https://journals.eco-vector.com/1991-8542/article/view/105892
- DOI: https://doi.org/10.14498/tech.2021.4.3
- ID: 105892
Цитировать
Полный текст
Аннотация
Разрушение горной породы на забое механическим способом невозможно без создания осевой нагрузки на долото. От правильного выбора значения и контроля данного параметра зависит эффективность всего процесса. Контроль осевой нагрузки на породоразрушающий инструмент – один из основных методов управления процессом разрушения горных пород при любом способе бурения. В связи с этим предложена система для автоматизации поиска эффективной осевой нагрузки на долото, позволяющая сократить время нахождения оптимальных значений. В основе работы системы лежит метод заторможенного барабана. Его суть заключается в поиске значений веса инструмента, соответствующих максимуму функции dPoc/dt, т. е. максимуму механической скорости бурения. Представлены блок-схема системы и функциональная схема вычислительного блока. Приведены временные диаграммы колебаний осевой нагрузки на долото и появления сигналов на выходах блоков системы.
Полный текст
Введение
В настоящее время бурение 90 % скважин выполняется вручную с использованием отечественных и зарубежных систем мониторинга в соответствии с проектом на строительство. Проектные режимы рассчитываются на основе данных по региону, поэтому не являются оптимальными для конкретной скважины, что может резко снижать (до 25 %) эффективность бурения [1].
При установленных для конкретного долбления типе долота, типе забойного двигателя, расходе промывочной жидкости, параметрах промывочной жидкости единственным регулируемым параметром, с помощью которого может быть осуществлен режим бурения, является нагрузка на долото [2].
Тесная связь осевой нагрузки и механической скорости бурения подтверждена во многих работах [1–9].
Для обеспечения наиболее эффективного объемного способа разрушения горных пород необходимо соблюдать условие
(1)
где – осевая нагрузка на долото; – площадь контакта долота с породой; – твердость горных пород по штампу в забойных условиях.
С другой стороны, максимальная нагрузка на долото не должна превышать предельно допустимых значений, так как срок службы опор долота уменьшается с увеличением нагрузки.
В условиях бурения часто чередующихся пород с различными физико-механическими свойствами каждой литологической разности должна соответствовать строго определенная осевая нагрузка, отвечающая условию (1).
Однако при неизвестных значениях и условном определении комплексом наземных установок, особенно в условиях наклонно-направленного бурения, реализовать критерий (1) крайне сложно.
В данных условиях единственным способом нахождения эффективных осевых нагрузок является применение метода заторможенного барабана лебедки (метод отсутствия подачи) [10–15]. Его суть заключается в поиске значений веса инструмента, соответствующих максимуму функции , т. е. максимуму механической скорости бурения.
В этом случае осевую нагрузку доводят до установленного значения, не превышающего допустимой величины для данного диаметра долота. В ходе углубления долота при заторможенном барабане лебедки вес на крюке возрастает, осевое усилие уменьшается. Тогда механическая скорость может быть найдена по формуле
(2)
где L0 – длина бурильной колонны без учета деформаций под действием нагрузки; Е0 – модуль упругости материала труб; F – эквивалентное сечение труб.
Наибольшая скорость изменения осевой нагрузки соответствует максимуму механической скорости. Значение осевой нагрузки в этот момент принимается за . На рис. 1 представлен метод заторможенного барабана.
Рис. 1. Кривая поиска эффективной осевой нагрузки при остановленной подаче
Преимуществом такого метода оптимизации является возможность нахождения эффективной нагрузки на забой в реальных условиях бурения.
Минусом описанного способа является низкая скорость поиска оптимальных значений управляющих параметров (поиск может достигать 20 минут). Отсюда вытекают следующие недостатки:
– за время поиска бурение не выполняется в оптимальном режиме;
– во время поиска может случиться значительный износ долота, и найденная осевая нагрузка больше не будет соответствовать расчетной комбинации «долото – порода», сложившейся на тот момент;
– при поиске продолжительностью 20 минут разбуриваемая порода может смениться и поиск нужно будет произвести еще раз.
На основании вышесказанного разработка системы, позволяющей сократить время поиска эффективной осевой нагрузки на долото, является актуальной.
Разработка системы
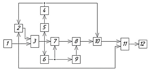
На рис. 2 представлена блок-схема системы. Система содержит датчик 1 осевой нагрузки, амплитудный дискриминатор 2, блок 3 вычитания, второй одновибратор 4, второй пороговый элемент 5, первый пороговый элемент 6, первый ключ 7, интегратор 8, первый одновибратор 9, второй ключ 10, вычислительный блок 11, индикатор 12.
Рис. 2. Блок-схема системы
В зависимости от способа бурения (турбинный, роторный) система реализует различные критерии оценки эффективности нагрузки на долото. Так, в турбинном бурении поиск эффективной нагрузки производится по критерию max с интегральной оценкой информативного параметра . При этом система интегрирует осевую нагрузку на долото по времени на заданном интервале ее изменения ∆P (рис. 3), а поиск эффективной нагрузки основан на сравнении двух соседних интегральных оценок, меньшая из которых расположена ближе к области по шкале осевых нагрузок. Например, сравнение интегральных оценок двух участков кривой показывает, что
(3)
Рис. 3. Диаграмма изменения осевой нагрузки на долото в процессе разбуривания с остановленной подачей
Это значит, что для достижения области необходимо двигаться в сторону уменьшения осевых нагрузок до момента, когда последующая интегральная оценка будет равна предыдущей. При дальнейшем уменьшении нагрузки на долото интегральная оценка начнет расти, последнее будет означать уход из области в область .
В роторном бурении система реализует модифицированный критерий поиска по максимуму удельной проходки hуд, который в общем виде для режима разбуривания с остановленной подачей записывается в виде
(4)
где – механическая скорость бурения; – эмпирический коэффициент.
Удельная проходка прямо пропорциональна скорости бурения и обратно пропорциональна скорости износа долота, которая является функцией осевой нагрузки.
Модифицированный критерий имеет вид
(5)
данное выражение стремится к минимуму (ξ→min) и справедливо при , здесь – величина изменения нагрузки на долото, на которую реагирует второй пороговый элемент; – время разбуривания с остановленной подачей, за которое осевая нагрузка на долото изменится на ; Pm – максимально допустимая нагрузка на долото.
В интеграторе формируется сигнал, пропорциональный величине
(6)
Величина формируется в вычислительном блоке путем подачи на его второй вход сигнала .
Как показано на рис. 4, изменение осевой нагрузки на долото во времени носит периодический характер.
Рис. 4. Временные диаграммы колебаний осевой нагрузки на долото и появления сигналов на выходах блоков системы
В момент времени меняется направленность изменения осевой нагрузки на долото , она начинает уменьшаться.
В результате на выходе амплитудного дискриминатора сформируется постоянное напряжение (см. рис. 4). Появится и начнет расти разность между сигналами на первом и втором входах блока вычитания, на выходе которого формируется сигнал, пропорциональный этой разности.
При достижении упомянутой разности значения сработает первый пороговый элемент, который откроет первый ключ и запустит первый одновибратор, который, в свою очередь, обнулит содержимое интегратора. После этого с момента времени в интеграторе начнется процесс интегрирования и на его выходе будет формироваться сигнал, пропорциональный площади заштрихованной фигуры над участком кривой с координатами :
(7)
При достижении разностью сигналов на входе блока вычитания величины сработает второй пороговый элемент, который запустит второй одновибратор, который, в свою очередь, сбросит на ноль амплитудный дискриминатор и откроет второй ключ. В результате сигнал с выхода интегратора поступит в вычислительный блок, в амплитудном дискриминаторе появится новое значение , а пороговые элементы придут в исходное состояние. Описанный выше процесс повторится сначала, т. к. при достижении разностью сигналов на входах блока вычитания значения сработает первый пороговый элемент, который, в свою очередь, обнулит содержимое интегратора. После этого в интеграторе начнется процесс интегрирования и на его выходе будет формироваться сигнал, пропорциональный (см. рис. 4) площади заштрихованной фигуры над участком кривой с координатами :
. (8)
При достижении разностью сигналов на входе блока вычитания величины сработает второй пороговый элемент, который запустит второй одновибратор, который, в свою очередь, сбросит на ноль амплитудный дискриминатор и откроет второй ключ. Через открытый второй ключ сигнал с выхода интегратора поступит в вычислительный блок.
При роторном бурении программа работы вычислительного блока включает в себя операции деления, в рассмотренном случае
(9)
и сравнения частного от деления с ранее полученным результатом деления:
(10)
Результат сравнения в виде разности R выводится на индикатор. По мере приближения к области оптимальных нагрузок на долото разность
(11)
будет уменьшаться. При прохождении через точку эта разность сменит знак на противоположный. Смена знака является признаком достижения области эффективных нагрузок на долото.
В соответствии с релейным режимом поддержания осевой нагрузки сигнал о новом нагружении долота может поступить в любой момент времени, не нарушив при этом работу системы. Так как сигнал на выходе блока вычитания из-за нарастания станет равным нулю, все блоки системы придут в исходное состояние, минуя такт перезаписи содержимого интегратора в вычислительный блок.
При турбинном способе бурения программа работы вычислительного блока включает операцию сравнения двух последовательных интегральных оценок, например и , поступающих на первый вход вычислительного блока. На индикатор выводятся величина и знак разности, которые позволяют судить о том, в какой области осевых нагрузок происходит бурение.
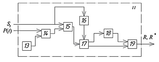
В вычислительном блоке 11 (рис. 5) в первом блоке вычитания 14 реализуется функция , в делителе 15 осуществляется операция деления
(12)
триггер 16 управляет работой коммутатора 17, в блок памяти 18 заносятся значения
(13)
во втором блоке вычитания 19 производится действие
. (14)
Рис. 5. Функциональная схема вычислительного блока
В зависимости от способа бурения и соответственно от критерия поиска эффективной нагрузки на долото в вычислительном блоке осуществляется операция
(15)
либо операция
(16)
При этом в первом случае блоки 13, 14, 15 в вычислительном процессе не участвуют, а сигнал поступает на входы коммутатора 17 и триггера 16, при этом триггер 16 переводит коммутатор 17 в состояние, когда его вход связан с его первым выходом, и сигнал поступает на вход блока памяти 18.
В результате прихода следующего сигнала триггер 16 переведет коммутатор 17 в положение, когда его вход связан с его вторым выходом, в результате сигнал поступит на второй вход второго блока вычитания 19, на первом входе которого присутствует сигнал . Разность с выхода блока вычитания поступает на вход блока индикации.
Во втором случае в первых трех блоках 13, 14, 15 формируется сигнал : сигнал с выхода задатчика установки 13 подается на второй вход первого блока вычитания 14, на первый вход которого подается сигнал , разность с выхода первого блока вычитания поступает на второй вход делителя 15, на выходе которого с частотой поступления на его первый вход сигналов формируется сигнал . На выходы коммутатора 17 подаются сигналы, распределяемые с помощью счетного триггера 16 следующим образом: на первый выход коммутатора 17 подаются сигналы , а на второй выход – сигналы .
Разность
(17)
формируется на выходе второго блока вычитания 19 и подается на вход блока индикации 12.
В итоге алгоритм работы системы заключается в следующем:
- Задается шаг .
- В процессе разбуривания происходит последовательное интегрирование осевой нагрузки с определенным шагом .
- Поиск эффективной нагрузки основан на сравнении двух соседних интегральных оценок, меньшая из которых расположена ближе к области по шкале осевых нагрузок.
- В зависимости от способа бурения на индикатор выводится разность (11) либо разность (17). По мере приближения к области эффективных нагрузок на долото разность будет уменьшаться. При переходе через точку эта разность изменит знак на противоположный. Смена знака R является признаком достижения области эффективных нагрузок на долото.
Шаг имеет большое значение. Чем он меньше, тем быстрее происходит разбуривание для установления области значений осевых нагрузок, в которой ведется бурение на данный момент, что дает возможность оперативно принимать решение об уменьшении или увеличении нагрузки в сторону . Это позволяет избежать недостатков метода заторможенного барабана.
Предварительные расчеты зависимости работоспособности системы от шага показали, что работоспособность сохраняется даже при наименьшем шаге изменения осевой нагрузки ( т; 0,5 т), то есть меньше времени потребуется на разбуривание и нахождение области эффективных значений.
Однако нужно учитывать погрешность измерения веса бурильного инструмента. Существующие гидравлические и электрические измерительные устройства позволяют определять значение веса бурильного инструмента Q и осевой нагрузки на долото P в лучшем случае с погрешностью 2,5 %, причем погрешность измерения увеличивается на 0,5 % при изменении окружающей температуры на каждые 10 °C. Например, при измерении гидравлическим индикатором веса (ГИВ-6) с трансформатором давления с максимальным усилием натяжения каната по паспорту 320 кН абсолютная погрешность будет составлять 0,8 т.
Так как осевая нагрузка на долото P создается частью веса колонны бурильных труб и определяется как разность веса бурильного инструмента до начала бурения, когда долото не касается забоя скважины, и веса бурильного инструмента на крюке в процессе бурения , то эффективность системы упирается в точность определения веса бурильного инструмента. Исходя из этого разработка методов повышения точности устройств измерения веса является предметом для дальнейших исследований.
Выводы
Разработанная система позволяет сократить время поиска эффективной осевой нагрузки на долото и избавиться от недостатков метода заторможенного барабана.
В системе применяется операция интегрирования, что позволяет повысить помехоустойчивость и точность всей измерительной схемы, так как операция интегрирования обладает фильтрующим свойством, освобождая измерительный сигнал от высокочастотных помех.
Также система может применяться для различных способов бурения (турбинный, роторный) и в зависимости от этого реализовывать различные критерии оценки эффективности нагрузки на долото.
Об авторах
Сергей Андреевич Михеев
Самарский государственный технический университет
Автор, ответственный за переписку.
Email: serzh.mixeew@yandex.ru
аспирант кафедры информационно-измерительной техники
Россия, 443100, Самара, ул. Молодогвардейская, 244Список литературы
- Цуприков А.А. Интеллектуальная система адаптивного управления технологическим процессом бурения нефтегазовых скважин: Дисс. … д-ра техн. наук. – Краснодар: Кубанский гос. техн. ун-т, 2018. – 310 с.
- Лукьянов Э.Е. Геолого-технологические и геофизические исследования в процессе бурения. – Новосибирск: Историческое наследие Сибири, 2009. – 752 с.
- Борзенко В.В., Некрасов С.А. Оптимизация процесса бурения на основе полного факторного эксперимента // NOVAINFO.RU. – 2016. – № 50. – Т. 2. – С. 1–7. URL: https://novainfo.ru/article/7613 (дата обращения: 20.06.2021).
- Бражников В.А., Фурнэ А.А. Информационное обеспечение оптимального управления бурением скважин. – М.: Недра, 1989. – 206 с.
- Бродов Г.С., Шелковников И.Г., Егоров Э.К. Технологические измерения и автоматизация процесса бурения. – СПб.: Санкт-Петербургский горный институт, 2004. – 105 с.
- Порцевский А.К., Ганджумян Р.А. Оптимизация буровых и горно-разведочных работ, планирование эксперимента: Учеб. пособие. – М.: МГОУ, 2005. – 70 с.
- Ситников Н.Б. Моделирование и оптимизация процесса бурения геологоразведочных скважин: Дисс. … д-ра техн. наук. – Екатеринбург, 2000. – 350 с.
- Цуприков А.А. Анализ математических моделей механической скорости проходки для оптимизации процесса бурения нефтегазовых скважин // Научный журнал КубГАУ. – 2015. – № 107(03). – С. 903–916.
- Цуприков А.А. Математическая модель скорости проходки для оптимального управления бурением скважин // Научный журнал КубГАУ. – 2015. – № 107(03). – С. 916–926.
- Асадчев А.С. Разработка технологии бурения глубоких скважин гидравлическими забойными двигателями в условиях соленосных отложений: Дисс. … канд. техн. наук. – М.: Российский гос. ун-т нефти и газа им. И.М. Губкина, 2012. – 253 с.
- Грибанов М.В. Совершенствование и реализация методик и программных средств по оптимизации параметров бурения скважин: Дисс. … канд. техн. наук. – Ухта: Ухтинский гос. техн. ун-т, 2012. – 116 с.
- Грибанов М.В. Перспективы создания единой базы данных по буримости пород по группе месторождений с целью проектирования и оптимизации режимов бурения // Строительство нефтяных скважин на суше и на море. – 2009. – № 1. – С. 15–18.
- Дробышевский В.Д., Асадчев А.С. Определение оптимального режима бурения при инженерно-технологическом сопровождении промысловых испытаний новой техники // Современные проблемы машиноведения: материалы XII Международной научно-технической конференции. – Беларусь, Гомельский гос. техн. ун-т имени П.О. Сухого, 2018. – С. 307–309.
- Струговец Е.Т., Лугуманов М.Г. О поиске оптимальных нагрузок на долото при бурении забойными двигателями // НТВ Каротажник. – Тверь, 2005. – Вып. 5–6 (132–133). – С. 107–113.
- Патент России № 2642699, МПК E21B 44/02 (2006.01). Способ регулирования условий процесса бурения скважин / Александров С.С.; патентообладатель: Федеральное государственное бюджетное образовательное учреждение высшего образования «Уфимский государственный нефтяной технический университет». Заявл. 27.02.2017; опубл. 25.01.2018, Бюл. № 3.
Дополнительные файлы








