Synthesis of the finite controller for the servo drive with the synchronous motor
- Authors: Starikov A.V.1, Kirdyashev V.A.1
-
Affiliations:
- Samara State Technical University
- Issue: Vol 29, No 2 (2021)
- Pages: 145-157
- Section: Electrical Engineering
- URL: https://journals.eco-vector.com/1991-8542/article/view/79222
- DOI: https://doi.org/10.14498/tech.2021.2.10
- ID: 79222
Cite item
Full Text
Abstract
The paper is devoted to the synthesis of a finite controller for a digital servo drive with a synchronous motor, as well as to the determination of the possibility and area of its application. A block diagram of the single-loop servo drive is considered, which contains a digital finite controller that ensures the completion of transient processes in a strictly defined number of clock cycles of the sampling period. The form of the discrete transfer function of the finite controller is proposed. The transfer function of the closed-loop electric drive with the proposed type of controller is found. The system of equations was compiled and solved, which makes it possible to determine the tuning parameters of the finite controller for the servo drive with the synchronous motor. The results of computer simulation are given, showing that the transient processes in the control and disturbing effects in the servo drive are completed in 6 clock cycles of the sampling period. A formula is obtained for calculating the output signal of a finite controller for digital technical implementation on a microcontroller. A computational model of the considered digital electric drive has been developed, taking into account the limitation of current and voltage in the power converter. At small sampling periods, a servo drive with the finite controller is shown to require current limitation at the level of 16 nominal values. At low limiting values, the drive becomes unstable. To ensure the operability of an electric drive with the finite controller, it is proposed to increase the sampling period. It is shown that, in this case the servo drive remains stable in the entire range of displacements even under current and voltage limitations at the level of nominal values. The simulation results made it possible to conclude that the developed electric drive has a high speed of response, since during the development of the control action, the entry into the zone of ± 1 discrete from the set value is 0.022 s. It is shown that the presence of a static positioning error, which increases with an increase in the sampling period, is a negative effect of the finite control application in the servo drive with the synchronous motor. The electric drive in question is proposed to be supplied with one more position loop with an integral controller, which allows to compensate for the static positioning error.
Full Text
Быстродействие следящего электропривода при отработке управляющих и возмущающих воздействий является одной из важных характеристик следящего электропривода. Повышение быстродействия приводит к увеличению производительности и динамической точности оборудования, в котором применяются такие электроприводы. Поэтому увеличение быстродействия следящих электроприводов является актуальной задачей. Для ее решения применяют различные методы и подходы. Например, для повышения быстродействия следящего электропривода с синхронным исполнительным двигателем, построенного по принципам систем подчиненного регулирования, используют статическую коррекцию характеристик двигателя [1–3]. При этом достижимое быстродействие определяется временем переходного процесса порядка 1 с. Другой подход в повышении быстродействия следящих электроприводов заключается в применении структурного построения многоконтурных систем с одной измеряемой координатой и соответствующей методики синтеза регуляторов, учитывающей дискретный характер передачи управляющих воздействий при цифровой технической реализации [4–12]. В этом случае достигается время переходного процесса, не превышающее 0,07 с. Однако давно известно так называемое финитное управление, позволяющее за определенное количество тактов периода дискретизации перевести объект цифровой системы из одного состояния в другое [13]. Причем следует отметить, что количество тактов определяется только порядком знаменателя дискретной передаточной функции системы. Очевидно, что при малых значениях периода дискретизации финитное управление должно привести к очень высокому быстродействию системы.
Целью исследования является синтез финитного регулятора для цифрового следящего электропривода с синхронным исполнительным двигателем и определение возможности и сферы его применения.
Для решения поставленной задачи прежде всего предположим, что в следящем электроприводе используется только отрицательная обратная связь по перемещению (положению) исполнительного механизма. Тогда линеаризованная структурная схема цифровой системы управления следящим электроприводом будет выглядеть следующим образом (рис. 1).
Рис. 1. Линеаризованная структурная схема цифрового следящего электропривода с синхронным исполнительным двигателем и финитным регулятором
На структурной схеме приняты следующие обозначения: – дискретная передаточная функция регулятора, обеспечивающего финитное управление; – дискретная передаточная функция непрерывной части системы (силового преобразователя, синхронного двигателя и исполнительного механизма) с учетом экстраполятора нулевого порядка; – коэффициент передачи датчика положения; – изображение задающего воздействия; – изображение перемещения ротора; и – изображения сигналов на входе и выходе финитного регулятора; на ; – комплексная переменная; – период дискретизации по времени.
Для синтеза финитного регулятора для рассматриваемого цифрового следящего электропривода необходимо знать дискретную передаточную функцию . Предположим, что силовой преобразователь в рассматриваемом следящем электроприводе будет одновременно выполнять функцию экстраполятора, то есть запоминать на такт периода дискретизации по времени выходной сигнал финитного регулятора . Тогда передаточную функцию непрерывной части цифрового электропривода можно представить следующим образом [14, 15]:
, (1)
где – коэффициент передачи силового преобразователя;
– коэффициент передачи объекта управления (синхронного двигателя совместно с исполнительным механизмом);
и – постоянная времени и коэффициент демпфирования колебательного звена, которым может быть представлена передаточная функция синхронного двигателя.
Непрерывной части, описываемой формулой (1), с учетом экстраполятора нулевого порядка соответствует дискретная передаточная функция [14, 15]
, (2)
где ; ; ;
;
;
; ; .
Дискретную передаточную функцию цифрового регулятора, обеспечивающего финитное управление в рассматриваемом следящем электроприводе, будем искать в виде
. (3)
Для определения неизвестных коэффициентов , , , , , и найдем дискретную передаточную функцию замкнутого следящего электропривода. С учетом формул (2) и (3) и структурной схемы, приведенной на рис. 1, она будет выглядеть следующим образом:
, (4)
где ; ; ; ; ; ; ; ; ; ; .
Финитное управление требует, чтобы знаменатель передаточной функции (4) имел только нулевые корни, то есть необходимо, чтобы
. (5)
Для обеспечения выполнения этого условия приравняем нулю все коэффициенты знаменателя (4) при степенях ниже шестой. В результате получим систему шести уравнений, связывающих между собой параметры регулятора с коэффициентами дискретной передаточной функции объекта управления:
(6)
Система (6) имеет шесть уравнений и семь неизвестных , , , , , и , что дает нам определенную свободу выбора одного из параметров синтезируемого регулятора. Именно поэтому сделан выбор передаточной функции финитного регулятора в виде формулы (3).
Приравняем коэффициент единице, в результате система уравнений (6) примет следующий вид:
(7)
Решение системы уравнений (7) позволяет найти настройки цифрового регулятора, обеспечивающего финитное управление следящим электроприводом с синхронным исполнительным двигателем, причем параметры регулятора могут быть последовательно вычислены по следующим формулам:
(8)
Для проверки адекватности полученных формул (3) – (8) найдем коэффициенты дискретных передаточных функций для конкретного вида следящего электропривода поворотного стола, оснащенного синхронным исполнительным двигателем 1FK7060-5AF71. Математическая модель двигателя может быть описана колебательным звеном с параметрами с и . Исполнительный механизм и двигатель имеют общий коэффициент передачи дискрет/Вс. Для управления скоростью синхронного двигателя используется цифровой силовой преобразователь с коэффициентом передачи В/дискрет. Расчет показывает, что при периоде дискретизации с непрерывный объект с учетом экстраполятора нулевого порядка описывается дискретной передаточной функцией (2) с коэффициентами: ; ; ; ; ; . Отсюда следует, что в соответствии с формулами (8) финитный регулятор должен иметь следующие параметры: ; ; ; ; ; ; . Тогда дискретная передаточная функция (5) замкнутого следящего электропривода с финитным регулятором будет выглядеть следующим образом:
. (9)
Моделирование в программе Matlab Simulink передаточной функции (9) показывает, что в следящем электроприводе с синхронным исполнительным двигателем действительно наблюдается финитное управление (рис. 2). Переходный процесс завершается за 0,012 с, то есть за 6 тактов периода дискретизации. Однако следует обратить внимание на очень большое перерегулирование, которое составляет 366 %. Аналогичный результат получается, если моделировать следящий электропривод в виде композиции дискретного финитного регулятора, экстраполятора нулевого порядка и синхронного двигателя с исполнительным механизмом, охваченных обратной связью по положению (рис. 3).
Рис. 2. Переходный процесс по управляющему воздействию в следящем электроприводе с финитным регулятором, построенный по передаточной функции (9)
Рис. 3. Расчетная модель следящего электропривода в виде композиции дискретного финитного регулятора, экстраполятора нулевого порядка и синхронного двигателя с исполнительным механизмом, охваченных обратной связью по положению
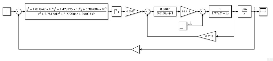
В расчетной модели выделена цепь статора синхронного двигателя, которая представлена апериодическим звеном с постоянной времени 0,0102 с, коэффициент передачи двигателя по моменту, равный 86,413 Нм/АГн, приведенный момент инерции ротора 0,001788 кгм2 и коэффициент передачи исполнительного механизма 326 дискрет/рад. Такая расчетная модель позволяет также построить переходный процесс по отношению к возмущающему воздействию – моменту нагрузки двигателя (рис. 4). Анализ графика показывает, что переходный процесс по возмущению также заканчивается за 6 тактов периода дискретизации, при этом динамический провал составляет порядка 2,7 дискрет датчика положения. Отрицательным результатом следует считать появление статической ошибки позиционирования, равной 1,1 дискрет датчика при набросе момента нагрузки в 1 Нм (21 % от номинального значения).
Рис. 4. Переходный процесс по возмущающему воздействию в следящем электроприводе с финитным регулятором
Техническую реализацию синтезированного финитного регулятора можно осуществить на программируемом микроконтроллере. При этом нужно определить алгоритм работы рассматриваемого регулятора. Для этого прежде всего из формулы (3) найдем уравнение, связывающее выходную переменную с рассогласованием на входе регулятора:
. (10)
Разделив левую и правую часть уравнения (10) на , получим
(11)
С учетом того, что умножению на соответствует смещение решетчатой функции на тактов периода дискретизации, из (11) следует алгоритм функционирования финитного регулятора, обеспечивающего отработку управляющих и возмущающих воздействий в следящем электроприводе за 6 тактов:
(12)
где – текущий такт вычислений.
Выражение (12) позволяет сделать вывод, что выходной сигнал синтезированного финитного регулятора должен вычисляться по формуле
(13)
Анализ (13) показывает, что для технической реализации финитного регулятора для следящего электропривода с синхронным двигателем необходимо хранить в памяти микроконтроллера значения рассогласования и выходного сигнала, взятые в моменты времени , и .
Большой интерес представляет исследование влияния ограничений сигналов двигателя на работу следящего электропривода с финитным регулятором. Действительно, в силовом преобразователе имеется естественное ограничение максимальной величины напряжения. Кроме того, ни один электропривод не может функционировать без ограничения тока. Расчетная модель цифрового следящего электропривода с учетом дискретизации сигналов по уровню и ограничения напряжения силового преобразователя и упреждающего токоограничения представлена на рис. 5.
Рис. 5. Расчетная модель цифрового следящего электропривода с синхронным исполнительным двигателем с учетом ограничений тока и напряжения силового преобразователя при периоде дискретизации с
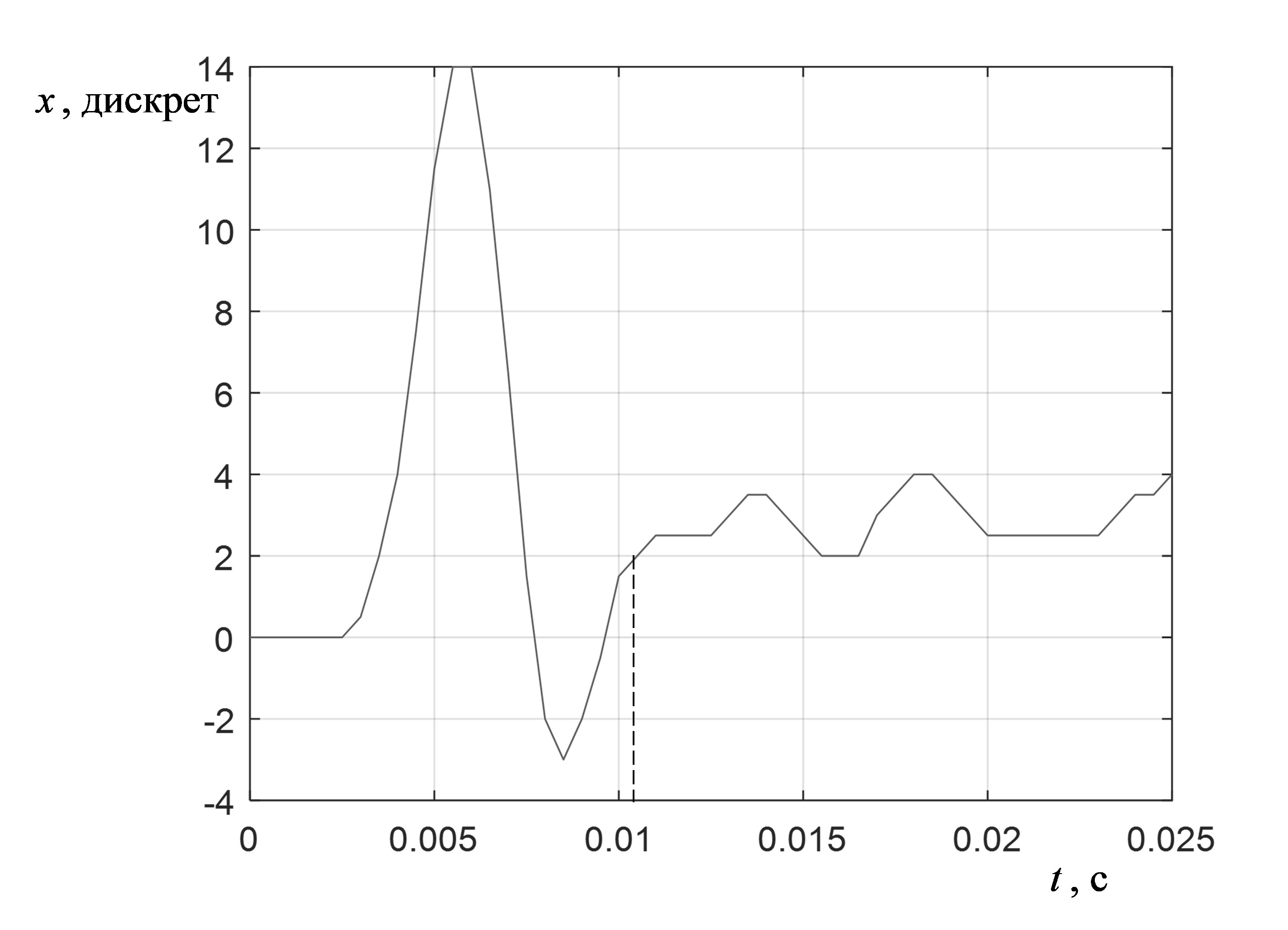
С ее помощью построен график перемещения исполнительного механизма на 3 дискреты датчика положения (рис. 6).
Рис. 6. График перемещения исполнительного механизма на 3 дискреты с учетом ограничений тока и напряжения силового преобразователя при с
Анализ графика показывает, что время входа в зону ±1 дискрета от заданного значения составляет 0,0105 с. Однако результаты моделирования позволяют сделать вывод, что устойчивое движение наблюдается только при ограничении тока на уровне 16 номинальных значений и выше.
Анализ причин этих явлений показывает, что финитное управление требует больших коэффициентов передачи регулятора. И это совершенно логично, поскольку высокое быстродействие требует кратковременного применения больших энергетических затрат. Кроме того, потеря устойчивости электропривода при относительно малых значениях токов двигателя объясняется неустойчивостью собственно финитного регулятора. Действительно, анализ корней знаменателя дискретной передаточной функции (3) при с показывает, что два корня имеют модуль больше 1. Устойчивым синтезированный финитный регулятор для рассматриваемого электропривода становится лишь при с.
Следовательно, для решения возникшей проблемы можно предложить снижение быстродействия следящего электропривода до некоторого предела, когда при ограничении тока и напряжения на уровне номинальных значений будет наблюдаться устойчивое движение во всем диапазоне перемещений.
Поскольку при выбранном типе финитного регулятора переходные процессы в «малом» всегда заканчиваются за 6 тактов периода дискретизации, то для снижения быстродействия следящего электропривода увеличим период до величины с. Тогда в соответствии с формулами (8) дискретная передаточная финитного регулятора примет следующие численные значения:
. (14)
Расчетная модель следящего электропривода с регулятором (14) и ограничением тока синхронного двигателя на уровне 1,5 номинальных значений приведена на рис. 7.
Рис. 7. Расчетная модель цифрового следящего электропривода с синхронным исполнительным двигателем с учетом ограничений тока и напряжения силового преобразователя при периоде дискретизации с
Она позволяет построить графики переходных процессов при различных значениях и видах задающих воздействий. В частности, расчет показывает, что отработка управляющего воздействия в 3 дискреты датчика положения завершается за 0, 022 с (рис. 8). Следовательно, и при периоде дискретизации с наблюдается очень высокое быстродействие следящего электропривода. При этом значительно уменьшается перерегулирование выходной координаты, которое составляет 27 %. Однако отрицательным является тот факт, что при увеличении периода дискретизации значительно возрастает статическая ошибка слежения при действии моментов нагрузки двигателя. Этим ограничивается сфера применения рассматриваемого следящего электропривода с финитным регулятором, например в станках по набивке печатных плат выводными элементами. Тем не менее если снабдить рассматриваемый следящий электропривод дополнительным контуром с интегральным регулятором, то проблема статической ошибки слежения исчезнет, позволяя расширить область применения привода в прецизионном оборудовании.
Рис. 8. График перемещения исполнительного механизма на 3 дискреты с учетом ограничений тока и напряжения силового преобразователя при с
Результаты проведенного исследования позволяют сделать следующие выводы:
- Применение финитного управления в следящем электроприводе с синхронным исполнительным двигателем позволяет достичь высокого быстродействия.
- Ограничением в применении финитного регулятора в следящих электроприводах является наличие статической ошибки и перерегулирование.
- Для исключения статической ошибки позиционирования необходимо введение дополнительного контура с соответствующим регулятором, например интегральным.
About the authors
Alexander V. Starikov
Samara State Technical University
Author for correspondence.
Email: vest_teh@samgtu.ru
Dr. Sci. (Techn.), Professor, Head of the Department «Electric Drive and Industrial Automation»
Russian Federation, 244, Molodogvardeyskaya st., Samara, 443100Viktor A. Kirdyashev
Samara State Technical University
Email: vest_teh@samgtu.ru
Postgraduate Student
Russian Federation, 244, Molodogvardeyskaya st., Samara, 443100References
- Mustafa M.N. Research of self-controlled inverter-bed synchronous motors with static correction of characteristics for electric drives of low power: Dis. ... cand. tech. sciences / M.N. Mustafa. SPb.: SPbGETU "LETI", 2001. 201 p.
- Dzhankhotov V.V. Research and development of servo electric drives based on of self-controlled inverter-bed synchronous motors with control from a signal processor for a walking robot: Dis. ... cand. tech. sciences / V.V. Dzhankhotov. SPb.: SPbGETU "LETI", 2004. 245 p.
- Samokhvalov D.V. Correction of static characteristics of an electric drive with a low-power brushless motor and a microprocessor control device: Dis. ... cand. tech. sciences / D.V. Samokhvalov. SPb.: SPbGETU "LETI", 2010. 267 p.
- Galitskov S.Ya., Galitskov K.S. Multi-circuit control systems with one measured coordinate: Monograph. Samara: SGASU, 2004. 140 p.
- Lisin S.L. Structural and parametric synthesis of a high-speed servo electric drive with a synchronous executive motor: Dis. ... cand. tech. sciences / S.L. Lisin. Samara: SamSTU, 2016. 179 p.
- Lisin S.L. Increasing the speed of a servo drive with a synchronous executive motor // Bulletin of the Samara State Technical University. Series "Engineering Sciences". 2012. No. 4 (36). Pp. 173–181.
- Starikov A.V. New technical solutions in modern servo drives: Textbook on the discipline "Control systems for electric drives" / A.V. Starikov, S.L. Lisin, V.A. Aref’yev, D.N. Dzhabasov. Samara: Samara State Technical University, 2018. 93 p.
- Patent of Russia 2499351. Servo drive / A.V. Starikov, S.L. Lisin (Russia). Publ. 11.20.2013, Bul. 32.
- Patent of Russia 2605948. Servo drive / A.V. Starikov, S.L. Lisin (Russia). Publ. 01.10.2017, Bul. 1.
- Patent of Russia 2695804. Servo drive with the synchronous motor / S.L. Lisin, A.V. Starikov (Russia). Publ. 07.29.2019, Bul. 22.
- Starikov A.V. Increasing of the Response Speed of the Rotary Table Servo Drive / A.V. Starikov, S.L. Lisin, D.Yu. Rokalo // 2018 International Multi-Conference on Industrial Engineering and Modern Technologies (FarEastCon), IEEE Xplore, 2019. Pp. 1–5.
- Starikov A.V. Technical Implementation of the High-Speed Response Servo Drive at the Programmable Logic Device / A.V. Starikov, S.L. Lisin, D.Yu. Rokalo // 2019 International Conference on Electrotechnical Complexes and Systems (ICOECS), IEEE Xplore, 2020. Pp. 1–6.
- Tsypkin Ya.Z. Fundamentals of the theory of automatic systems. Moscow: Nauka, 1977. 560 p.
- Lysov M.S. Discrete mathematical model of a digital control system for a rotary table // Bulletin of the Samara State Technical University. Series "Engineering Sciences". 2009. No. 1 (23). Pp. 160–166.
- Lisin S.L., Starikov A.V. Discrete mathematical model of a digital servo electric drive with a synchronous executive motor // Bulletin of the Samara State Technical University. Series "Technical Sciences". 2013. No. 1 (37). Pp. 203–208.
Supplementary files











