The influence of anisotropy and strength-differential effect on the design of equi-strength rotating disk of variable thickness
- Authors: Prokudin A.N.1
-
Affiliations:
- Institute of Machinery and Metallurgy, Khabarovsk Federal Research Center, Far-East Branch of RAS
- Issue: Vol 28, No 4 (2024)
- Pages: 701-720
- Section: Mechanics of Solids
- URL: https://journals.eco-vector.com/1991-8615/article/view/634904
- DOI: https://doi.org/10.14498/vsgtu2108
- EDN: https://elibrary.ru/NNXJKY
- ID: 634904
Cite item
Full Text
Abstract
The work is devoted to the calculation of the geometry of an equi-strength annular disk taking into account the anisotropy and strength differential effect. The disk is under centrifugal forces and tractions on the inner and outer surfaces. The problem statement is based on the anisotropic elasticity theory and the plane stress assumption. General quadratic failure criterion is used, the only requirement for which is ellipticity. In particular cases, the used condition is reduced to many known strength criteria (Tsai–Wu, Hill, Drucker–Prager, von Mises, etc.).
The governing system of equations consists of the compatibility equation, the equilibrium equation and the condition of constant equivalent stress. This condition is satisfied by a trigonometric substitution and an introduced auxiliary function. The two remaining equations are solved sequentially in an implicit form, in which the auxiliary function is treated as independent variable. The found analytical solution allows to construct the geometry of the disk (profile and inner radius of the disk) of equal strength, and also to determine the distribution of stresses in it. It is established that the solution may not exist and be non-unique. In particular cases, the solution is reduced to solutions for many known failure criteria, as well as to the classical solution of Rabotnov. Comparison of calculations obtained for the Tsai–Wu and von Mises criteria showed that anisotropy and different strengths under tension and compression can have a significant effect on the geometry of a disk of equal strength and the stress state in it.
Full Text
Введение
Вращающиеся диски являются неотъемлемым структурным компонентом многих механизмов и машин, таких как маховичные накопители энергии, газотурбинные двигатели, коробки передач, гироскопы, компрессоры и т.д. Начиная с середины XX века оптимальному проектированию тонких дисков, находящихся под действием термомеханических нагрузок, уделяется большое внимание в научной литературе. Для определения оптимальной конструкции используются различные подходы, среди которых важную роль играет понятие равнопрочности — состояния тела, характеризующегося одинаковым запасом прочности во всех его точках [1]. Известно, что напряженное состояние в диске переменной толщины может существенно отличаться по сравнению с диском прямоугольного профиля. Вследствие этого профиль диска может рассматриваться как один из управляющих параметров при решении обратных и оптимизационных задач.
Классическое решение Ю. Н. Работнова [2, 3] описывает равнопрочный вращающийся диск, в котором напряжения всюду постоянны и равны нагрузке, приложенной к внешней поверхности диска; найденный профиль является функцией экспоненциального вида. Следует отметить, что решение [2, 3] легко обобщается на случай ползучести материала. В [4] профиль равнопрочного вращающегося диска определен из предположения, что напряженное состояние удовлетворяет условию пластичности Мизеса. Алгоритм построения равнопрочного по Мизесу диска при наличии центробежных сил и стационарного температурного градиента разработан в [5]. Решения для диска равной прочности, основанные на условии пластичности Треска, получены в [6, 7]. Методика расчета равнопрочных неоднородных дисков, находящихся под действием внутреннего и внешнего давления, представлена в [8] и позволяет установить профиль диска для произвольных зависимостей модуля Юнга и предела текучести от радиальной координаты. В качестве критерия прочности в [8] применялось условие Мизеса.
Для достижения желаемого напряженного состояния помимо изменения геометрии диска также применяется управление механическими параметрами материала, которое стало возможным благодаря значительному прогрессу в механике композитов. В [9] установлено, что при определенной конфигурации многослойного композитного маховика потеря прочности во всех его точках происходит примерно при одной и той же скорости вращения. Авторы [10] показали, что специальное распределение модуля Юнга и плотности материала с хорошей степенью точности приводит к нулевому радиальному и постоянному тангенциальному напряжениям во вращающемся диске. В [11] рассмотрен вращающийся анизотропный диск равной прочности из упруго-анизотропного материала и установлено, что равенство напряжений может быть достигнуто определенным распределением в диске параметра анизотропии (отношение модулей Юнга в разных направлениях), а в частном случае изотропного материала — найденными распределениями модуля Юнга и коэффициента Пуассона. Вращающийся диск из неоднородного несжимаемого материала изучался в [12], где установлены зависимости термомеханических параметров, приводящие к постоянному значению в диске произвольной линейной комбинации напряжений. В [13] найдены упругие характеристики ортотропного неоднородного материала, позволяющие достичь во вращающемся диске одного из трех состояний: постоянное тангенциальное или радиальное напряжение, постоянная разность напряжений. Кроме того, в [13] найдены параметры армирования, реализующие полученные зависимости механических параметров.
Равнопрочность является не единственным возможным критерием оптимальности конструкции. Большое значение также имеют эксплуатационные характеристики, к которым в случае вращающегося диска относятся, например, максимальная скорость вращения, вес, объем, длительная прочность, запасаемая кинетическая энергия и т.д. Различные целевые функции и их комбинации использовались для оптимального проектирования вращающихся дисков и маховичных накопителей энергии в работах [14–30]. Значительное за последние десятилетия увеличение вычислительной мощности компьютерных систем сделало возможным расчет оптимальной формы вращающихся дисков в двумерной и трехмерной постановках на основе метода конечных элементов [20–22, 24–27].
Настоящая работа посвящена расчету профиля равнопрочного диска, находящегося под действием центробежных сил и заданных усилий на внутреннем и внешнем контуре. Постановка задачи основана на теории малых упругих деформаций и гипотезе о плоском напряженном состоянии. Прочность материала диска характеризуется анизотропией и асимметрией при растяжении и сжатии. В качестве критерия прочности выбрано квадратичное условие общего вида, которое в частных случаях сводится ко многим известным критериям прочности (Мизеса, Друкера–Прагера, Хилла и т.д.).
1. Постановка задачи и определяющие соотношения
Рассмотрим тонкий осесимметричный диск переменной толщины. Внутренний и внешний радиусы диска обозначим $r_{in}$ и $r_{out}$ соответственно. Диск вращается вокруг оси симметрии с угловой скоростью $\omega$, а на его боковых поверхностях заданы усилия $P_{in}$ и $P_{out}$. Введем цилиндрическую систему координат $\rho$, $\theta$, $z$, ось $z$ которой совпадает с осью симметрии диска. Геометрия диска и схема нагружения изображены на рис. 1. Все нагрузки постоянны и не зависят от угловой и осевой координат. Предполагается, что теория малых деформаций и гипотеза о плоском напряженном состоянии справедливы с достаточной степенью точности. При сформулированных выше допущениях сдвиговые напряжения и деформации, а также осевое напряжение равны нулю. Все неизвестные величины зависят только от радиальной координаты.
Рис. 1. Геометрия вращающегося диска и схема нагружения
[Figure 1. The geometry of a rotating disk and the loading scheme]
Кинематические соотношения имеют вид
\[ \begin{equation}
\varepsilon_{rr}=\frac{du_r}{dr},\quad
\varepsilon_{\theta\theta}=\frac{u_r}{r},
\end{equation} \tag{1} \]
где $\varepsilon_{rr}$, $\varepsilon_{\theta\theta}$ — компоненты тензора деформаций, $u_r$ — радиальное перемещение. Следует отметить, что перемещение и деформация в осевом направлении, вообще говоря, не равны нулю.
Поле деформаций должно удовлетворять уравнению совместности
\[ \begin{equation}
\frac{d ( r \varepsilon_{\theta\theta} )}{dr}-\varepsilon_{rr}=0.
\end{equation} \tag{2} \]
Диск изготовлен из однородного и ортотропного упругого материала, а главные оси анизотропии совпадают с координатными поверхностями. Закон Гука для такого материала можно записать следующим образом:
\[ \begin{equation}
\varepsilon_{rr}=\frac{1}{E_r} ( \sigma_{rr} - \nu _{r\theta } \sigma _{\theta \theta } ),
\quad
\varepsilon_{\theta \theta }=\frac{1}{ E_\theta } ( \sigma_{\theta \theta } - \nu_{\theta r} \sigma _{rr} ),
\end{equation} \tag{3} \]
где $\sigma_{rr}$, $\sigma_{\theta\theta}$ — компоненты тензора напряжений, $E_i$ — модули Юнга, $\nu_{ij}$ — коэффициенты Пуассона. Упругие параметры материала $E_i$ и $\nu_{ij}$ удовлетворяют условиям симметрии Максвелла:
\[ \begin{equation}
\frac{\nu_{r\theta } }{ E_r } = \frac{ \nu _{\theta r}}{ E_\theta },
\quad
\frac{\nu_{\theta z} }{ E_\theta } = \frac{ \nu _{z\theta } }{ E_z },
\quad
\frac{\nu_{zr} }{ E_z } = \frac{ \nu_{rz} }{ E_ r }.
\end{equation} \tag{4} \]
Закон Гука (3) удобно переписать с помощью параметра ортотропии $\mathbb{O}$, определение которого приведено ниже:
\[ \begin{equation}
\mathbb{O}= \frac{E_\theta}{E_r}=\frac{\nu_{\theta r}}{\nu_{r\theta}}.
\end{equation} \tag{5} \]
Заметим, что из (4) и (5) следуют соотношения
\[ \begin{equation}
E_\theta = \mathbb{O}E_r, \quad
\nu_{\theta r} = \mathbb{O} \nu_{r\theta }.
\end{equation} \tag{6} \]
С учетом (6) закон Гука (3) преобразуется к следующей форме:
\[ \begin{equation}
\varepsilon_{rr} = \frac{1}{ E_\theta } ( \mathbb{O} \sigma _{rr} - \nu \sigma _{\theta \theta } ),
\quad
\varepsilon_{\theta \theta } =\frac{1}{ E_\theta } ( \sigma _{\theta \theta } - \nu \sigma_{rr} ).
\end{equation} \tag{7} \]
В (7) для краткости принято, что $\nu=\nu_{\theta r}$.
Единственным нетривиальным уравнением равновесия в диске является уравнение в радиальном направлении, которое имеет вид
\[ \begin{equation}
\frac{d}{dr} \bigl( h ( r ) r \sigma _{rr}\bigr) - h ( r ) \sigma _{\theta \theta } +
h ( r ) \rho \omega ^2 r^2 =0,
\end{equation} \tag{8} \]
где $h(r)$ — толщина диска (см. рис. 1), $\rho$ — плотность.
Граничные условия задачи сформулированы ниже:
\[ \begin{equation}
\sigma_{rr} ( r_{in} ) = -P_{in},\quad
\sigma_{rr} ( r_{out}) = -P_{out}, \quad
h(r_{in}) =h_{in},
\end{equation} \tag{9} \]
где $P_{in}>0$, $P_{out}>0$, а $h_{in}$ — толщина диска на его внутреннем контуре.
Предполагается, что прочностные свойства материала диска проявляют эффекты анизотропии и асимметрии при растяжении и сжатии. Такое поведение наиболее характерно для композитных материалов, а также наблюдается, пусть и в меньшей степени, у ряда металлов и сплавов. Далее в качестве критерия прочности используется общее квадратичное условие
\[ \begin{equation}
A \sigma_{rr}^2 + B \sigma _{rr} \sigma_{\theta\theta} +
C \sigma_{\theta\theta}^2 + D \sigma_{rr} + E \sigma_{\theta\theta} \leqslant 1,
\end{equation} \tag{10} \]
где $A$, $B$, $C$, $D$, $E$ — экспериментально определяемые параметры материала. В (10) слагаемые второго порядка характеризуют анизотропию, а линейные — разную прочность при растяжении и сжатии. В качестве единственного ограничения потребуем эллиптичности функции в левой части (10), т.е. параметры должны удовлетворять условию $B^2-4 A C<0$.
Условие (10) в частных случаях сводится ко многим известным критериям прочности. Введем обозначения $k_{r t}$, $k_{\theta t}$, $k_{z t}$ для пределов прочности при растяжении в радиальном, тангенциальном и осевом направлениях соответственно. Пределы прочности при сжатии обозначим как $k_{r c}$, $k_{\theta c}$, $k_{z c}$. Критерий (10) сводится к критерию прочности Цая–Ву [31] при следующих соотношениях на коэффициенты:
\[ \begin{equation}
\begin{gathered}
A = \frac{1}{k_{rc} k_{rt}}, \quad
B = -\frac{1}{2\sqrt{ k_{rc} k_{rt} k_{\theta c} k_{\theta t} } }, \quad
C = \frac{1}{ k_{\theta c} k_{\theta t}},
\\
D = \frac{1}{ k_{rt} } - \frac{1}{ k_{rc} }, \quad
E = \frac{1}{ k_{\theta t} } - \frac{1}{k_{\theta c}}.
\end{gathered}
\end{equation} \tag{11} \]
Критерий Цая–Ву [31] является частным случаем тензорного критерия Гольденблата–Копнова [32], широко используется в механике композитов и описывает анизотропию материала, а также его различную прочность при растяжении и сжатии. Заметим, что вычисление коэффициента $B$ в (11) остается предметом дискуссий [33, 34], и в настоящей статье используется наиболее распространенный подход $B=-\sqrt{A C}/2$.
Предположим, что материал имеет одинаковую прочность при растяжении и сжатии $k_{r}=k_{r t}=k_{r c}$, $k_{\theta}=k_{\theta t}=k_{\theta c}$, $k_{z}=k_{z t}=k_{z c}$, и введем коэффициенты в виде
\[ \begin{equation}
\begin{gathered}
A=G+H, \quad
B=-2H, \quad
C=F+H, \quad
D=E=0,
\\
2F=\Bigl( \frac{1}{k_\theta^2}+\frac{1}{k_z^2}-\frac{1}{k_r^2} \Bigr), \;
2G=\Bigl( \frac{1}{k_r^2}+\frac{1}{k_z^2}-\frac{1}{k_\theta^2} \Bigr), \;
2H=\Bigl( \frac{1}{k_r^2}+\frac{1}{k_\theta^2}-\frac{1}{k_z^2} \Bigr).
\end{gathered}
\end{equation} \tag{12} \]
Тогда критерий (10) сводится к условию Хилла [35], которое широко применяется для описания пластической анизотропии в металлах. Следует отметить, что при сильно выраженной ортотропии условие Хилла (10), (12) может терять свойство эллиптичности [36]. В этом случае для описании анизотропии может использоваться, например, условие Ху–Марина [37], которое следует из (10), если ввести коэффициенты следующим образом:
\[ \begin{equation*}
A=k_r^{-2},\quad B=- ( k_r k_\theta )^{-1},\quad
C=k_\theta ^{-2},\quad D=E=0.
\end{equation*} \]
Если материал изотропен, то $k=k_r=k_\theta=k_z$ и замена
\[ \begin{equation}
A=-B=C=k^{-2},\quad D=E=0
\end{equation} \tag{13} \]
переводит критерий (10) в условие Мизеса.
В условиях плоского напряженного состояния ($\sigma_{zz}=0$) и отсутствия сдвиговых напряжений ($\sigma_{ij}=0$, $i \neq j$) многие другие критерии прочности (условия Друкера–Прагера, Мизеса–Шлейхера, обобщения условия Хилла [38, 39] и т.д.) также можно привести к виду (10). Требование эллиптичности, разумеется, должно выполняться в любом случае.
Для удобства введем безразмерные параметры и переменные:
\[ \begin{equation}
\begin{gathered}
\beta =\frac{r}{ r_ {out} }, \;
\delta =\frac{ r_ {in} }{ r_ {out} }, \;
\bar{h}=\frac{h}{ h_ {in} }, \;
\Omega =\frac{\rho r_{out}^2}{ k_ {\theta t} }{\omega ^2},\;
\bar{P}_{in}=\frac{P_{in}}{ k_ {\theta t}}, \;
\bar{P}_{out}=\frac{P_{out}}{ k_ {\theta t} },
\\
\bar{u}=\frac{ E_ {\theta } }{ k_ {\theta t} } \frac{u}{ r_ {out} }, \quad
\bar{\varepsilon }_{ij} = \frac{ E_ {\theta } }{ k_ {\theta t} }{\varepsilon _{ij}}, \quad
\bar{\sigma }_{ij}=\frac{\sigma _{ij} }{ k_ {\theta t} },
\\
\bar{A}=k^2_{\theta t}A,\quad
\bar{B}=k^2_{\theta t}B,\quad
\bar{C}=k^2_{\theta t}C,\quad
\bar{D}=k_{\theta t}D,\quad
\bar{E}=k_{\theta t}E.
\end{gathered}
\end{equation} \tag{14} \]
Далее, если не сказано иное, везде в формулах используются величины (14), а знак верхнего подчеркивания для краткости опускается. Также введем функцию эквивалентного напряжения, соответствующую условию (10):
\[ \begin{equation}
\sigma_{eq}=\sqrt{ A \sigma_{rr}^2 + B \sigma_{rr} \sigma_{\theta\theta} +
C \sigma_{\theta\theta}^2 + D \sigma_{rr} + E \sigma_{\theta\theta}}.
\end{equation} \tag{15} \]
Неравенство $\sigma_{eq}<1$ соответствует упругому деформированию материала, а равенство $\sigma_{eq}=1$ — разрушению. В равнопрочном диске запас прочности в соответствии с критерием (10) один и тот же во всех точках тела, следовательно, значение эквивалентного напряжения (15) в диске всюду постоянно. Преобразуем уравнение совместности деформаций (2) с помощью закона Гука (7), полученное уравнение вместе с уравнением равновесия (8) и граничными условиями (9) составляют краевую задачу (в безразмерном виде) относительно неизвестных функций $\sigma_{rr}(\beta)$, $\sigma_{\theta\theta}(\beta)$ и $h(\beta)$:
\[ \begin{equation}
\begin{gathered}
\frac{d}{d\beta } \bigl( h ( \beta ) \beta \sigma _{rr} \bigr) -
h ( \beta ) \sigma_{\theta \theta } + h ( \beta ) \Omega \beta ^2=0,
\\
\frac{d}{d\beta } ( \sigma _{\theta \theta } - \nu \sigma_{rr} )+
\frac{ ( 1+\nu ) \sigma_{\theta \theta }- ( \mathbb{O}^{-1} +\nu) \sigma _{rr}}{\beta }=0,
\\
\sigma_{rr} ( \delta )=-P_{in},
\quad
\sigma_{rr} ( 1 )=-P_{out},
\quad
h( \delta )=1.
\end{gathered}
\end{equation} \tag{16} \]
Задача построения равнопрочного диска в соответствии с условием (10) формулируется следующим образом: найти решение краевой задачи (16) такое, что для заданного $\tilde{\sigma}_{eq}\in(0, 1]$ справедливо равенство
\[ \begin{equation}
\sigma_{eq} ( \beta )= \tilde{\sigma}_{eq} , \quad \forall \beta \in [ \delta , 1 ].
\end{equation} \tag{17} \]
2. Построение аналитического решения
Условие (17) с учетом (15) можно переписать следующим образом:
\[ \begin{equation*}
\sigma_{rr}^2+N \sigma _{rr} s_{\theta \theta } + s_{\theta \theta }^2 +
M \sigma _{rr} + L s_{\theta \theta }=K,
\end{equation*} \]
где $s_{\theta\theta} = Y \sigma_{\theta\theta}$, $Y = C/A$, $N = B/\sqrt{A C}$, $M = D/A$, $L = E/\sqrt{A C}$, $K= \tilde{\sigma}_{eq}^2/ A$.
Предыдущее условие можно удовлетворить с помощью тригонометрической замены вида
\[ \begin{equation}
\begin{split}
\sigma_{rr} & =-\frac{1}{\kappa }\bigl( \gamma +2\chi \sin ( \varphi ( \beta ) ) \bigr),
\\
\sigma_{\theta \theta } & =-\frac{1}{\kappa Y}
\bigl( \psi +\sqrt{\kappa }\chi \cos ( \varphi ( \beta ) )-N\chi \sin ( \varphi ( \beta ) ) \bigr).
\end{split}
\end{equation} \tag{18} \]
В (15) $\varphi ( \beta )$ — неизвестная функция, $\chi=\sqrt{M^2 + L^2- M L N +K\kappa}$, $\kappa=4- N^2$, $\gamma=2M-L N$, $\psi =2L-M N$. Заметим, что $\kappa >0$ в силу эллиптичности условия (10).
Граничные условия по напряжениям сводятся к системе уравнений:
\[ \begin{equation}
\sin \varphi _\delta = \frac{\kappa P_{in}-\gamma }{2\chi },
\quad
\sin \varphi _1 = \frac{\kappa P_{out}-\gamma }{2\chi },
\end{equation} \tag{19} \]
где $\varphi_\delta =\varphi ( \delta )$, $\varphi _1 =\varphi ( 1 )$.
Второе из уравнений (16) преобразуем с помощью (18):
\[ \begin{equation}
\begin{gathered}
( 1+\nu ) \bigl( W-\sqrt{\kappa }\cos ( \varphi ( \beta ) ) + V\sin ( \varphi ( \beta ) ) \bigr)/\beta + {}
\hspace{3.2cm}
\\
\hspace{2.5cm}
{}
+\bigl( ( N+2\nu Y )\cos ( \varphi ( \beta ) )+ \sqrt{\kappa }\sin ( \varphi ( \beta ) ) \bigr) \varphi' ( \beta )=0,
\\
W= ( \gamma YZ-\psi )/ \chi , \quad V=N+2YZ,\quad Z= ( 1+\nu )^{-1} ( \mathbb{O}-1 )+1.
\end{gathered}
\end{equation} \tag{20} \]
Уравнение (20) из неизвестных содержит только функцию $\varphi \left( \beta \right)$ и может быть решено в неявном виде. Величину $\varphi$ можно принять в качестве новой независимой переменной, а $\beta ( \varphi )$ — в качестве неизвестной функции. Переходя с помощью правила дифференцирования сложной функции от дифференцирования по $\beta$ к дифференцированию по $\varphi$, уравнение (20) можно преобразовать к виду
\[ \begin{multline}
( 1+\nu ) ( W-\sqrt{\kappa }\cos \varphi +V\sin \varphi ) \beta ' ( \varphi )+ {}
\\
{}+\bigl( ( N+2\nu Y )\cos \varphi +\sqrt{\kappa }\sin \varphi \bigr) \beta ( \varphi )=0.
\end{multline} \tag{21} \]
Решение уравнения (21) должно удовлетворять граничным условиям
\[ \begin{equation}
\beta ( \varphi_\delta )=\delta,\quad \beta ( \varphi_1 )=1.
\end{equation} \tag{22} \]
Для определения напряженного состояния в диске кроме дифференциального уравнения (21) также необходимо решить четыре алгебраических уравнения (19) и (22). Однако число неизвестных в этих уравнениях равно трем (константа интегрирования, $\varphi_{\delta}$ и $\varphi_{1}$). Отсюда следует, что для произвольных значений механических параметров материала $\mathbb{O}$, $\nu$, $A$, $\dots$, $E$, геометрического параметра $\delta$, внешних нагрузок $P_{in}$, $P_{out}$ и желаемого эквивалентного напряжения $\tilde{\sigma}_{eq}$ построить диск равной прочности невозможно. Какой-либо из перечисленных параметров должен вычисляться через остальные с помощью одного из уравнений (19) и (22). Далее в качестве такого параметра выбран геометрический параметр $\delta$.
Решая уравнение (21) с учетом второго из граничных условий (22), найдем
\[ \begin{multline}
\beta ( \varphi )=
\exp\Bigl( \frac{\sqrt{\kappa } ( N-V+2\nu Y )}{ ( 1+\nu )S_1} ( \varphi - \varphi_1 ) \Bigr)\times {}
\\
{}
\times\Bigl( \frac{ W-\sqrt{\kappa }\cos \varphi_1 + V\sin \varphi_1} {W-\sqrt{\kappa }\cos \varphi + V\sin \varphi } \Bigr) ^{\frac{NV+\kappa +2\nu VY}{ ( 1+\nu ) S_1}} \times {}
\\
{}
\times\Bigl(
\frac{ ( V - S_2 + S_3 \tan \varphi_1/2 ) ( V + S_2 + S_3 \tan \varphi /2 )}
{ ( V + S_2 + S_3 \tan \varphi_1/2 ) ( V - S_2 + S_3 \tan \varphi /2 )}
\Bigr)^{\frac{\sqrt{\kappa } W ( N-V+2Y\nu)}{ ( 1+\nu ) S_1 S_2 }},
\end{multline} \tag{23} \]
где $S_1 =\kappa + V^2$, $S_2 =\sqrt{\kappa + V^2- W^2} $, $S_3 =\sqrt{\kappa }+W$. Значение геометрического параметра $\delta$ непосредственно следует из (23) с учетом первого из граничных условий (22) и равно $\beta (\varphi_\delta)$. Разумеется, решение имеет физический смысл только при $\delta\in(0, 1)$. Кроме того, интервал $[\varphi_\delta, \varphi_1]$ (или $[\varphi_1, \varphi_\delta]$) не должен содержать особых точек и точек экстремума функции $\beta ( \varphi )$. Эти точки перечислены ниже:
\[ \begin{equation}
\begin{split}
\varphi_{0}^{1}&=-\arcsin\frac{W \operatorname{sgn}V}{\sqrt{\kappa +V^2}} +
\arctan\frac{\sqrt{\kappa}}{V} + 2 \pi n, \\
\varphi_{0}^2& = \pi +\arcsin\frac{W \operatorname{sgn}V}{\sqrt{\kappa + V^2}} +
\arctan\frac{\sqrt{\kappa }}{V} + 2 \pi n, \\
\varphi_{0}^{3}&=-\arctan\frac{N+2\nu Y}{\sqrt{\kappa }} + \pi n, \quad n\in\mathbb{Z}.
\end{split}
\end{equation} \tag{24} \]
Каждое из уравнений (19) имеет по два решения:
\[ \begin{equation}
\begin{split}
\varphi_\delta^1 &=\arcsin\frac{\kappa P_{in} - \gamma}{2\chi},\quad
\varphi_\delta^2=\pi -\arcsin\frac{\kappa P_{in} - \gamma}{2\chi},
\\
\varphi_1^1&=\arcsin\frac{\kappa P_{out} -\gamma}{2\chi},\quad
\varphi_1^2=\pi -\arcsin\frac{\kappa P_{out} - \gamma}{2\chi}.
\end{split}
\end{equation} \tag{25} \]
Из (25) следует, что удовлетворить граничным условиям задачи можно четырьмя различными способами. Однако некоторые из этих способов (и даже все) могут не иметь физического смысла.
Следующим шагом решения является определение профиля диска $h ( \beta )$. Для удобства введем замену
\[ \begin{equation}
h ( \beta )=\exp (t ( \beta ) ).
\end{equation} \tag{26} \]
Используя (18) и (26), первое из уравнений (16) можно переписать в виде
\[ \begin{multline}
\chi ( N+2Y )\sin ( \varphi ( \beta ) )-
\sqrt{\kappa }\chi \cos ( \varphi ( \beta ) ) +
Y \bigl ( \gamma +2\chi \sin ( \varphi ( \beta ) ) \bigr)\beta t' ( \beta ) + {}
\\
{} +2\chi Y\cos ( \varphi ( \beta ) )\beta \phi ' ( \beta )=\kappa Y\Omega \beta ^2+\psi -Y\gamma .
\end{multline} \tag{27} \]
Применим к (27) правило дифференцирования $t' ( \beta )= t' ( \varphi ) \varphi ' ( \beta )$, далее в полученное уравнение подставим выражение для производной $\phi' ( \beta )$, найденное с помощью (20). В завершение перейдем к неизвестной переменной $\varphi$ и разрешим уравнение относительно $t'( \varphi )$. В результате этих преобразований уравнение (27) примет вид
\[ \begin{multline}
t' ( \varphi )=\frac{1}{ 1+\nu }
\Bigl(
\frac{\chi (2\sqrt{\kappa } ( 2Y-N\cos ( 2\varphi ) ) + ( N^2-4 Y^2 - \kappa )\sin ( 2\varphi ))}
{2Y ( W-\sqrt{\kappa }\cos\varphi+V\sin\varphi ) ( \gamma +2\chi \sin\varphi )} - {}
\\
{} -\frac{2Y ( \mathbb{O}-1 ) \cos\varphi}{W-\sqrt{\kappa }\cos\varphi+V\sin\varphi}
+\frac{ ( Y\gamma -\psi ) \bigl( ( N-2Y )\cos\varphi+\sqrt{\kappa}\sin\varphi\bigr)}{Y ( W-\sqrt{\kappa}\cos \varphi+ V\sin\varphi ) ( \gamma +2\chi \sin\varphi )}- {}
\\
{} -\kappa \Omega \frac{\bigl( ( N+2\nu Y )\cos\varphi+\sqrt{\kappa }\sin\varphi \bigr)}{ ( W-\sqrt{\kappa }\cos \varphi+V\sin\varphi ) ( \gamma +2\chi \sin\varphi )}\beta ( \varphi)^2
\Bigr).
\end{multline} \tag{28} \]
Общий ход решения выглядит следующим образом. С помощью (25) вычисляются граничные значения $\varphi_\delta$ и $\varphi_1$, для каждой возможной пары значений проверяется выполнение условия $\delta\in(0, 1)$, а также отсутствие точек (24) в интервале $[\varphi_\delta, \varphi_1]$ (или $[\varphi_1, \varphi_\delta]$). Пары граничных значений $\varphi_{\delta}$ и $\varphi_{1}$, удовлетворяющие этим требованиям, используются для восстановления напряженного состояния с помощью (18), (23) и далее для расчета профиля диска из (28) с учетом замены (26) и последнего из уравнений (16). Первые три слагаемых в правой части (28) могут быть проинтегрированы в замкнутом виде, однако получаемые выражения являются достаточно громоздкими и в статье не приводятся. Поля перемещений и деформаций можно вычислить с помощью (7) и (1). В завершение проверяется справедливость гипотезы о плоском напряженном состоянии в диске. Для этого толщина диска должна меняться достаточно плавно, откуда следует условие вида
\[ \begin{equation}
\Bigl| \frac{dh}{dr} \Bigr|\leqslant \Delta \quad \text{или} \quad \Bigl| \frac{d\bar{h}}{d\beta} \Bigr|\leqslant \frac{ r_ {out}}{ h_ {in}}\Delta.
\end{equation} \tag{29} \]
В левом из неравенств (29) используются размерные величины, а в правом — безразмерные; $\Delta$ — некоторое заданное число. Какие-либо достоверные оценки для $\Delta$ в литературе отсутствуют и величина этого параметра выбирается достаточно произвольно [8]. Из представленного решения не составляет труда определить производную $d\bar{h}/{d\beta}$. Справедливость неравенства (29) проверяется в каждой точке диска. В спорных случаях необходимо применять конечно-элементный анализ на основе двумерной модели диска.
Содержание данного раздела позволяет рассчитать профиль равнопрочного диска и восстановить напряженное состояние в нем. Важно отметить, что решение может не существовать, а также может быть неединственным. Большое число параметров задачи затрудняет качественный анализ условий существования решения в общем случае. Построение и проверка решения для заданных значений параметров не вызывает трудностей.
Рассмотрим некоторые частные случаи критерия (10). Условие Хилла [35] в безразмерных переменных (14) имеет вид
\[ \begin{equation*}
( G+H )\sigma_{rr}^2-2H \sigma_{rr} \sigma_{\theta\theta}+\sigma_{\theta\theta}^2\leqslant 1.
\end{equation*} \]
Из предыдущего условия и (18) следует распределение напряжений:
\[ \begin{equation*}
\sigma_{rr} = - \tilde{\sigma }_{eq} \frac{\sin \varphi }{\sqrt{Q}},
\quad
\sigma_{\theta \theta } = - \tilde{\sigma }_{eq} \Bigl( \cos \varphi +\frac{H\sin \varphi }{\sqrt{Q}} \Bigr),
\end{equation*} \]
где $Q=G+ ( 1-H )H$.
Величины $\varphi_{\delta}$ и $\varphi_{1}$ определяются следующим образом:
\[ \begin{equation*}
\begin{split}
\varphi_\delta^1&= \arcsin \Bigl( \sqrt{Q} \frac{P_{in}}{\tilde{\sigma }_{eq}} \Bigr),
\quad
\varphi_\delta^2=\pi -\arcsin \Bigl( \sqrt{Q} \frac{P_{in}}{\tilde{\sigma }_{eq}} \Bigr), \\
\varphi_1^1&= \arcsin \Bigl( \sqrt{Q} \frac{P_{out}}{\tilde{\sigma}_{eq}} \Bigr),
\quad
\varphi_1^2=\pi -\arcsin \Bigl( \sqrt{Q} \frac{P_{out}}{\tilde{\sigma}_{eq}} \Bigr).
\end{split}
\end{equation*} \]
Функции $\beta \left( \varphi \right)$ и $h\left( \varphi \right)$ имеют следующий вид:
\[ \begin{equation*}
\begin{split}
\beta ( \varphi )&=\exp\Bigl(
\frac{\sqrt{Q} ( \mathbb{O}- \nu^2 ) (\varphi_1 -\varphi )}{ ( 1+\nu )^2 ( Q+ T^2 )} \Bigr)
\Bigl( \frac{T\sin \varphi _1 -\sqrt{Q} \cos \varphi_1 }{T\sin\varphi -\sqrt{Q}\cos\varphi} \Bigr) ^{\frac{ Q- ( H-\nu )T }{ ( 1+\nu ) ( Q+ T^2)}},
\\
h ( \varphi )&=
\Bigl( \frac{\sin \varphi_ \delta }{\sin\varphi} \Bigr) ^{\frac{1+H}{1+\nu }}
\Bigl( \frac{\sqrt{Q}\cos \varphi_\delta -T\sin \varphi_ \delta }{\sqrt{Q}\cos\varphi-T\sin\varphi} \Bigr)
^{ \frac{( \mathbb{O}-1 ) ( Q- ( H-\nu )T ) }{ ( 1+\nu )^2 ( Q+ T^2 )} } \times {}
\\
&
\qquad
{} \times \exp
\left( \frac{\sqrt{Q}}{ 1+\nu }
\Bigl( \frac{ Q+\mathbb{O}- ( 2T + H )H }{ Q+ T^2 } ( \varphi - \varphi_\delta )+
\frac{\Omega }{\tilde{\sigma }_{eq}} J ( \varphi )
\Bigr) \right),
\\
J ( \varphi )&=\int_{\varphi_\delta}^{\varphi } \frac{ \sqrt{Q}\sin z - ( H-\nu )\cos z }{\sin z ( \sqrt{Q}\cos z -T\sin z )} \beta^2 ( z ) dz,
\end{split}
\end{equation*} \]
где $T=H+Z$.
Рассмотрим материал, который изотропен в отношении упругих и прочностных свойств и не проявляет асимметрии при растяжении и сжатии. В этом случае $\mathbb{O}=1$, а условие (10) переходит в условие Мизеса:
\[ \begin{equation*}
\sigma _{rr}^2- \sigma _{rr} \sigma _{\theta \theta } +\sigma _{\theta \theta }^2\leqslant 1,
\end{equation*} \]
которое удовлетворяется тригонометрической заменой (18) в виде
\[ \begin{equation*}
\sigma_{rr} = -\frac{2}{\sqrt{3}} \tilde{\sigma }_{eq} \sin \varphi ,
\quad
\sigma_{\theta \theta} = -\tilde{\sigma }_{eq} \Bigl( \frac{1}{\sqrt{3}} \sin \varphi +\cos \varphi \Bigr).
\end{equation*} \]
Из граничных условий задачи следует:
\[ \begin{equation*}
\begin{split}
&
\varphi_\delta^1= \arcsin \Bigl( \frac{\sqrt{3}}{2} \frac{P_{in}}{\tilde{\sigma }_{eq}} \Bigr),
\quad
\varphi_\delta^2=\pi -\arcsin \Bigl( \frac{\sqrt{3}}{2} \frac{P_{in}}{\tilde{\sigma }_{eq}} \Bigr),
\\
&
\varphi_1^1 = \arcsin \Bigl( \frac{\sqrt{3}}{2} \frac{P_{out}}{\tilde{\sigma}_{eq}} \Bigr),
\quad
\varphi_1^2 = \pi -\arcsin \Bigl( \frac{\sqrt{3}}{2} \frac{P_{out}}{\tilde{\sigma}_{eq}} \Bigr).
\end{split}
\end{equation*} \]
Функции $\beta ( \varphi )$ и $h ( \varphi )$ принимают следующий вид:
\[ \begin{equation*}
\begin{split}
&
\beta ( \varphi ) =
\exp\Bigl( \frac{\sqrt{3} ( 1-\nu ) (\varphi_1 -\varphi )}{2 ( 1+\nu )}\Bigr)
\sqrt{\frac{\sin \varphi_1 -\sqrt{3}\cos \varphi_1 }{\sin\varphi -\sqrt{3}\cos\varphi}},
\\
&
h ( \varphi ) =
\Bigl( \frac{\sin \varphi_\delta }{\sin\varphi} \Bigr)^{\frac{3}{2 ( 1+\nu )}}
\exp \left(
\frac{\sqrt{3}}{2 ( 1+\nu)} \Bigl( \varphi - \varphi_\delta + \frac{\Omega }{\tilde{\sigma }_{eq}}
J( \varphi ) \Bigr)
\right),
\\
&
J ( \varphi )=\int_{\varphi_\delta }^ \varphi
\frac{\sqrt{3}\sin z - ( 1-2\nu )\cos z}{\sin z ( \sqrt{3}\cos z -\sin z )}\beta^2 ( z ) dz.
\end{split}
\end{equation*} \]
Представленное выше решение для условия Мизеса, разумеется, совпадает с известным решением [4].
Замечание 1. В настоящей работе параметр $\delta$ принят неизвестным, однако на практике он может иметь зафиксированное значение. Тогда к неизвестным $\varphi_\delta$ и $\varphi_1$ добавляется какой-либо другой параметр задачи, например $P_{in}$ или $P_{out}$. Для вычисления неизвестных также используются условия (19) и первое из уравнений (22), которое в таком случае будет уже нелинейным.
Замечание 2. Профиль равнопрочного диска можно построить и при других граничных условиях, например, если перемещение на внутреннем контуре диска равно нулю (диск с жестким включением). В этом случае граничные условия имеют вид
\[ \begin{equation*}
u ( \delta )=0,\quad \sigma_{rr} ( 1 )=-P_{out},
\end{equation*} \]
из которых с учетом (1), (7) и (18) следует, что
\[ \begin{equation*}
\begin{split}
\varphi_\delta^1&=\arcsin\frac{ ( Y\gamma \nu -\psi )\operatorname{sgn} ( N+2\nu Y )}{
\sqrt{\kappa \chi + ( N+2\nu Y )^2}} +
\arctan\frac{\sqrt{\kappa }}{N+2\nu Y},
\\
\varphi_\delta^2&=\pi -\arcsin\frac{ ( Y\gamma \nu -\psi )\operatorname{sgn} ( N+2\nu Y )}{
\sqrt{\kappa \chi + ( N+2\nu Y )^2}} +
\arctan\frac{\sqrt{\kappa }}{N+2\nu Y},
\\
\varphi_1^1&=\arcsin\frac{\kappa P_{out} -\gamma }{2\chi },
\quad
\varphi_1^2=\pi -\arcsin\frac{\kappa P_{out} - \gamma }{2\chi}.
\end{split}
\end{equation*} \]
Дальнейший ход решения повторяет описанные выше шаги. Аналогичным образом рассматриваются другие граничные условия, например, посадка на жесткий вал или диск с жесткой внешней стенкой. Предыдущее замечание, разумеется, также остается в силе.
3. Специальное решение
Рассмотрим случай $\varphi '( \beta )=0$, который соответствует первым двум точкам (24). Тогда напряжения в диске всюду постоянны, а давления на внутреннем и внешнем контурах совпадают: $P_{in}=P_{out}$.
Из второго уравнения (16) следует, что
\[ \begin{equation}
\sigma_{\theta\theta}=Z\sigma_{rr}.
\end{equation} \tag{30} \]
Радиальное напряжение определяется с помощью (17) и (30) в виде
\[ \begin{equation}
\sigma_{rr}=-\frac{D+ZE\pm \sqrt{ ( D+ZE)^2+4\tilde{\sigma }_{eq}^2 ( A+ZB+ Z^2C )}}{2( A+ZB+Z^2C )}.
\end{equation} \tag{31} \]
В (31) имеют смысл только отрицательные напряжения в силу предположения, что $P_{in}>0$ и $P_{out}>0$. Решая первое из уравнений (16) с учетом (30), найдем профиль диска:
\[ \begin{equation}
h ( \beta )= \exp\Bigl( \frac{\Omega}{2\sigma_{rr}} (\delta ^2- \beta ^2 )\Bigr)
\Bigl( \frac{\beta }{\delta } \Bigr)^{\frac{\mathbb{O}-1}{1+\nu }}.
\end{equation} \tag{32} \]
Если пренебречь свойствами анизотропии и асимметрии, то $\sigma_{rr}=\sigma_{\theta\theta}=-\tilde{\sigma}_{eq}$, а решение (32) сводится к классическому решению Ю. Н. Работнова [2, 3].
4. Результаты
Проиллюстрируем найденное решение на примере композитного материала [40] со следующими значениями прочности в различных направлениях: $k_{r t}=644.7$ МПа, $k_{\theta t}=689.5$ МПа, $k_{r c}=513.7$ МПа, $k_{\theta c} =455.1$ МПа. Отметим, что в рассматриваемом материале эффекты анизотропии и разной прочности при растяжении и сжатии выражены достаточно умеренно. В качестве критерия прочности будем использовать условие Цая–Ву (10), (11), тогда безразмерные параметры материала (14) примут значения $A=1.435$, $B=-1.475$, $C=1.515$, $D=-0.273$, $E=-0.515$. Нагрузки на боковых поверхностях диска выберем равными $P_{in}=0.25$ и $P_{out}=0.4$.
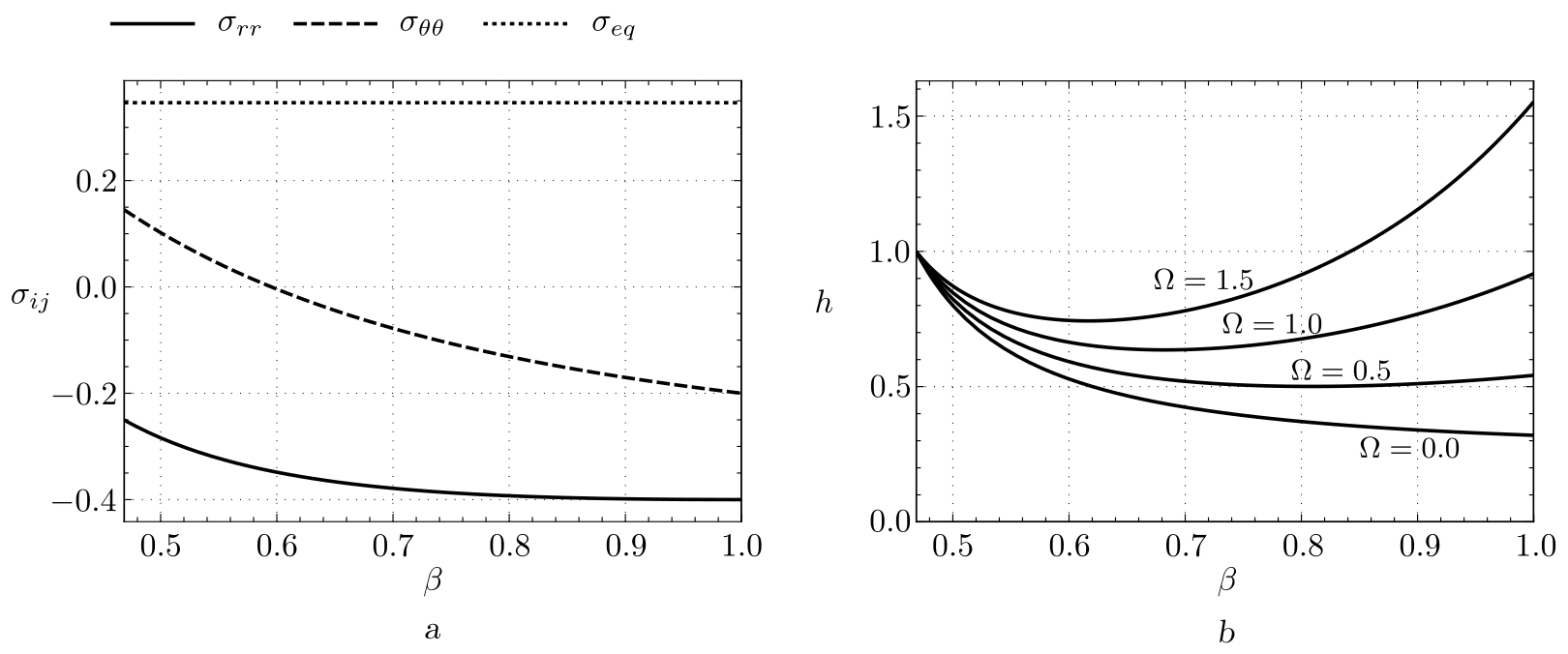
Рис. 2. Распределение напряжений в равнопрочном диске (a) и профили равнопрочного диска (b) для различных значений скорости вращения $\Omega$ при использовании условия Цая–Ву
[Figure 2. Distribution of stress in the equi-strength disk (a) and the profiles of equi-strength disk (b) at various values of angular velocity $\Omega$ based on Tsai–Wu failure criterion]
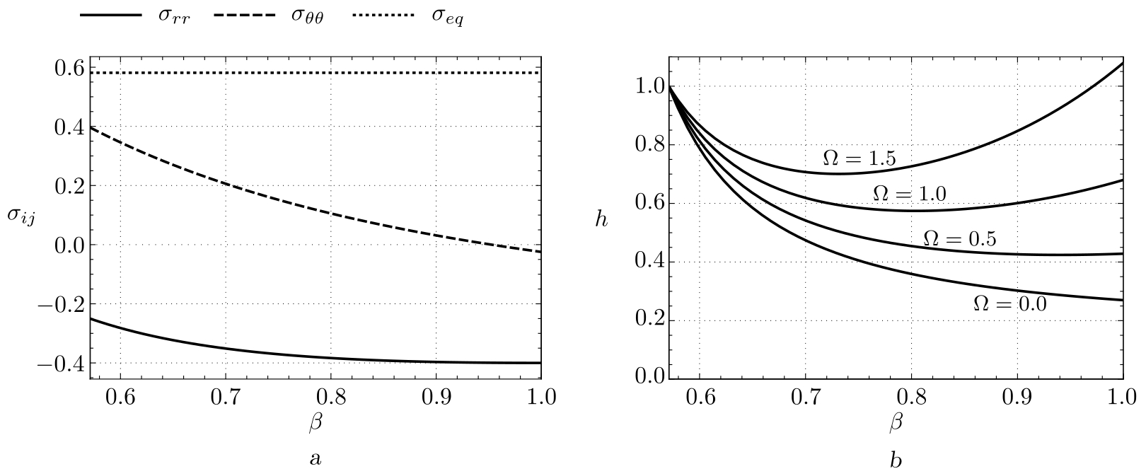
Рис. 3. Распределение напряжений в равнопрочном диске (a) и профили равнопрочного диска (b) для различных значений скорости вращения $\Omega$ при использовании условия Мизеса
[Figure 3. Distribution of stress in the equi-strength disk (a) and the profiles of equi-strength disk (b) at various values of angular velocity $\Omega$ based on von Mises failure criterion]
Рис. 4. Распределение напряжений в равнопрочном диске (a) и профили равнопрочного диска (b) для $\tilde{\sigma}_{eq}=0.75$, $\Omega=1.0$ при использовании условия Цая–Ву
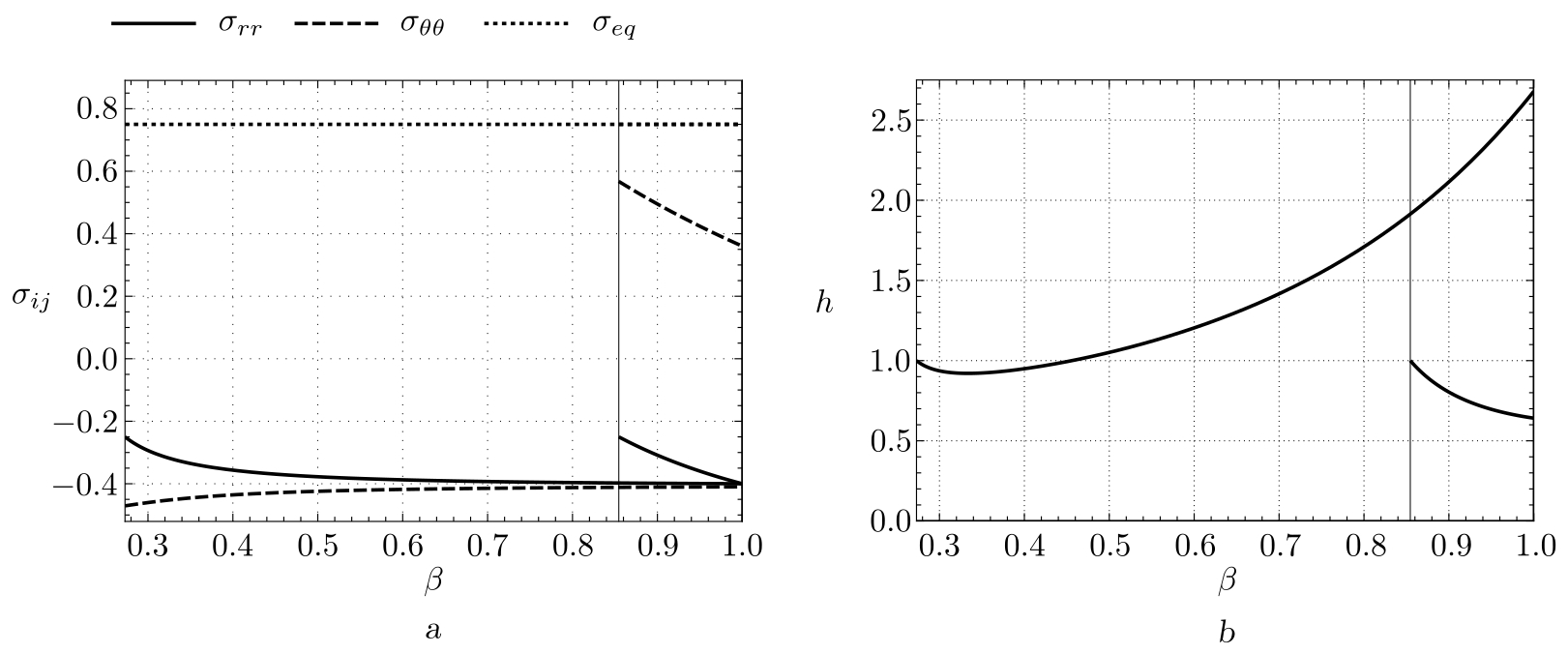
[Figure 4. Distribution of stress in the equi-strength disk (a) and the profiles of equi-strength disk (b) for $\tilde{\sigma}_{eq}=0.75$, $\Omega=1.0$ based on Tsai–Wu failure criterion]
Из (22) несложно получить минимально возможное значение эквивалентного напряжения (15) в диске: для указанных выше параметров оно составляет $\min(\tilde{\sigma}_{eq})\cong 0.581$, а соответствующее ему значение геометрического параметра $\delta\cong 0.571$. С другой стороны, для условия Мизеса $\min(\tilde{\sigma}_{eq})\cong 0.346$, а соответствующий параметр $\delta\cong 0.468$. При $\tilde{\sigma}_{eq}<\min(\tilde{\sigma}_{eq})$ решение не существует. На рис. 2 представлено распределение напряжений в диске, равнопрочном по условию Цая–Ву (10), (11), а также профили такого диска для нескольких значений скорости вращения. Аналогичные графики для условия Мизеса (10), (13) показаны на рис. 3. Из рис. 2 и 3 видно, что эффекты анизотропии и асимметрии оказывают существенное влияние на геометрию равнопрочного вращающегося диска и напряженное состояние в нем. В найденном решении скорость вращения $\Omega$ влияет только на профиль диска и не влияет на распределение напряжений в нем (18), (23). Увеличение скорости вращения требует усиления диска в окрестности его внешнего контура (рис. 2 и 3). Значительное увеличение угловой скорости приводит к выходу решения за границы применимости (29).
Как уже было отмечено ранее, граничным условиям задачи можно удовлетворить четырьмя разными способами (25) и в некоторых случаях решение задачи будет неединственным. Рассмотрим желаемую величину эквивалентного напряжения в равнопрочном диске $\tilde{\sigma}_{eq}=0.75$. Из (22) следует, что $(\varphi_{\delta}, \varphi_{1})=(\varphi_{\delta}^{1}, \varphi_{1}^{1})\cong(0.675, 0.953)$ и $\delta\cong 0.273$. Однако существует и второе решение, для которого $(\varphi_{\delta}, \varphi_{1})=(\varphi_{\delta}^2, \varphi_{1}^2)\cong(2.466, 2.188)$ и $\delta\cong 0.855$. Эти решения проиллюстрированы на рис. 4, где изображены графики напряжений и профили диска при скорости вращения $\Omega=1.0$. Видим, что полученные решения отличаются принципиальным образом: в первом решении оба напряжения отрицательны, а во втором — радиальное и тангенциальное напряжения имеют разный знак. Для проверки справедливости гипотезы о плоском напряженном состоянии предполагалось [8], что в (29) $(r_{out}/h_{in})\Delta=10$. Установлено, что во всех представленных выше расчетах (рис. 2–4) полученные профили диска удовлетворяют условию (29).
Заключение
В настоящей работе найдено аналитическое решение, позволяющее для заданных нагрузок на внешнем и внутреннем контуре диска и скорости вращения построить геометрию диска равной прочности. В качестве критерия прочности применялось общее эллиптическое условие, которое позволяет описать анизотропию материала, а также его асимметрию при растяжении и сжатии. Установлено, что профиль равнопрочного диска может не существовать и может быть не единственным. В качестве примера рассмотрен критерий прочности Цая–Ву, широко используемый для композитных материалов. Сравнение с решением для условия Мизеса показало, что указанные эффекты оказывают существенное влияние на геометрию равнопрочного диска и напряженное состояние в нем. Найденное решение в частных случаях сводится к решениям для многих известных критериев прочности, а также к классическому решению Ю. Н. Работнова.
Конкурирующие интересы. Конкурирующих интересов не имею.
Авторский вклад и ответственность. Я несу полную ответственность за предоставление окончательной версии рукописи в печать. Окончательная версия рукописи мною одобрена.
Финансирование. Работа выполнена в рамках госзадания ХФИЦ ДВО РАН.
About the authors
Aleksandr N. Prokudin
Institute of Machinery and Metallurgy, Khabarovsk Federal Research Center, Far-East Branch of RAS
Author for correspondence.
Email: sunbeam_85@mail.ru
ORCID iD: 0000-0002-5156-424X
SPIN-code: 6812-2451
Scopus Author ID: 35722777500
ResearcherId: N-9344-2016
https://www.mathnet.ru/person58902
Cand. Tech. Sci.; Senior Researcher; Lab. of Problems of Materials and Products Construction and Processing
Russian Federation, 681005, Komsomolsk-on-Amur, Metallurgov st., 1References
- Cherepanov G. P. Optimum shapes of elastic bodies: Equistrong wings of aircrafts and equistrong underground tunnels, Phys. Mesomech., 2015, vol. 18, no. 4, pp. 391–401. EDN: XOWTHJ. DOI: https://doi.org/10.1134/S1029959915040116.
- Rabotnov Yu. N. Mekhanika deformiruemogo tverdogo tela [Mechanics of a Deformable Rigid Body]. Moscow, Nauka, 1988, 712 pp. (In Russian)
- Rabotnov Yu. N. Creep Problems in Structural Members, North-Holland Series in Applied Mathematics and Mechanics, vol. 7. Amsterdam, London, North-Holland Publ. Co., 1969, xiv+822 pp.
- Gontarovskii V. P., Chebaevskii B. P. Profile design of uniform-strength disk by the mises strength rule, Strength Mater., 1973, vol. 5, no. 10, pp. 1257–1259. DOI: https://doi.org/10.1007/BF01129410.
- Kai-yuan Y., Ping L. Equi-strength design of nonhomogeneous variable thickness high speed rotating disk under steady temperature field, Appl. Math. Mech., 1986, vol. 7, no. 9, pp. 825–834. DOI: https://doi.org/10.1007/BF01898124.
- Hein K., Heinloo M. The design of nonhomogeneous equi-strength annular discs of variable thickness under internal and external pressures, Int. J. Solids Struct., 1990, vol. 26, no. 5–6, pp. 617–630. DOI: https://doi.org/10.1016/0020-7683(90)90033-R.
- Gau C.-Y., Manoochehri S. Optimal design of a nonhomogeneous annular disk under pressure loadings, J. Mech. Des., 1994, vol. 116, no. 4, pp. 989–996. DOI: https://doi.org/10.1115/1.2919509.
- Alexandrov S., Rynkovskaya M., Jeng Y.-R. Design of equi-strength annular disks made of functionally graded materials, Mech. Based Des. Struct. Mach., 2023, vol. 52, no. 9, pp. 7045–7062. DOI: https://doi.org/10.1080/15397734.2023.2297241.
- Danfelt E. L., Hewes S. A., Chou T.-W. Optimization of composite flywheel design, Int. J. Mech. Sci., 1977, vol. 19, no. 2, pp. 69–78. DOI: https://doi.org/10.1016/0020-7403(77)90001-7.
- Pardoen G. C., Nudenberg R. D., Swartout B. E. Achieving desirable stress states in thick rim rotating disks, Int. J. Mech. Sci., 1981, vol. 23, no. 6, pp. 367–382. DOI: https://doi.org/10.1016/0020-7403(81)90066-7.
- Jain R., Ramachandra K., Simha K. R. Y. Rotating anisotropic disc of uniform strength, Int. J. Mech. Sci., 1999, vol. 41, no. 6, pp. 639–648. DOI: https://doi.org/10.1016/S0020-7403(98)00041-1.
- Nie G. J., Batra R. C. Stress analysis and material tailoring in isotropic linear thermoelastic incompressible functionally graded rotating disks of variable thickness, Compos. Struct., 2010, vol. 92, no. 3, pp. 720–729. DOI: https://doi.org/10.1016/j.compstruct.2009.08.052.
- Nie G. J., Zhong Z., Batra R. C. Material tailoring for orthotropic elastic rotating disks, Compos. Sci. Technol., 2011, vol. 71, no. 3, pp. 406–414. DOI: https://doi.org/10.1016/j.compscitech.2010.12.010.
- Bhavikatti S. S., Ramakrishnan C. V. Optimum shape design of rotating disks, Comput. Struct., 1980, vol. 11, no. 5, pp. 397–401. DOI: https://doi.org/10.1016/0045-7949(80)90105-4.
- Sandgren E., Ragsdell K. M. Optimal flywheel design with a general thickness form representation, J. Mech. Trans. Automation, 1983, vol. 105, no. 3, pp. 425–433. DOI: https://doi.org/10.1115/1.3267377.
- Genta G., Bassani D. Use of genetic algorithms for the design of rotors, Meccanica, 1995, vol. 30, no. 6, pp. 707–717. DOI: https://doi.org/10.1007/BF00986575.
- Arslan M. A. Flywheel geometry design for improved energy storage using finite element analysis, Mater. Des., 2008, vol. 29, no. 2, pp. 514–518. DOI: https://doi.org/10.1016/j.matdes.2007.01.020.
- Dems K., Turant J. Two approaches to the optimal design of composite flywheels, Eng. Optim., 2009, vol. 41, no. 4, pp. 351–363. DOI: https://doi.org/10.1080/03052150802506521.
- Ghotbi E., Dhingra A. K. A bilevel game theoretic approach to optimum design of flywheels, Eng. Optim., 2012, vol. 44, no. 11, pp. 1337–1350. DOI: https://doi.org/10.1080/0305215X.2011.637557.
- Hiroshima N., Hatta H., Koyama M., et al. Optimization of flywheel rotor made of threedimensional composites, Comput. Struct., 2015, vol. 131, pp. 304–311. DOI: https://doi.org/10.1016/j.compstruct.2015.04.041.
- Jiang L., Zhang W., Ma G. J., Wu C. W. Shape optimization of energy storage flywheel rotor, Struct. Multidisc. Optim., 2017, vol. 55, no. 2, pp. 739–750. DOI: https://doi.org/10.1007/s00158-016-1516-0.
- Singh P., Chaudhary H. Optimal shape synthesis of a metallic flywheel using non-dominated sorting Jaya algorithm, Soft. Comput., 2020, vol. 24, no. 9, pp. 6623–6634. DOI: https://doi.org/10.1007/s00500-019-04302-x.
- Yıldırım V. The best grading pattern selection for the axisymmetric elastic response of pressurized inhomogeneous annular structures (sphere/cylinder/annulus) including rotation, J. Braz. Soc. Mech. Sci. Eng., 2020, vol. 42, no. 2, 109. DOI: https://doi.org/10.1007/s40430-020-2193-x.
- Kale V., Thomas M., Secanell M. On determining the optimal shape, speed, and size of metal flywheel rotors with maximum kinetic energy, Struct. Multidisc. Optim., 2021, vol. 64, no. 3, pp. 1481–1499. DOI: https://doi.org/10.1007/s00158-021-02935-x.
- Kale V., Aage N., Secanell M. Augmented Lagrangian approach for multi-objective topology optimization of energy storage flywheels with local stress constraints, Struct. Multidisc. Optim., 2023, vol. 66, no. 11, 231. DOI: https://doi.org/10.1007/s00158-023-03693-8.
- Kale V., Aage N., Secanell M. Stress constrained topology optimization of energy storage flywheels using a specific energy formulation, J. Energy Storage, 2023, vol. 61, 106733. DOI: https://doi.org/10.1016/j.est.2023.106733.
- Yan C., Liu C., Du H., et al. Topology optimization of turbine disk considering maximum stress prediction and constraints, Chin. J. Aeronaut., 2023, vol. 36, no. 8, pp. 182–206. DOI: https://doi.org/10.1016/j.cja.2023.03.019.
- Madan R., Bhowmick S. Optimum FG Rotating Disk of Constant Mass: Lightweight and Economical alternatives Based on Limit Angular Speed, Iran. J. Sci. Technol. Trans. Mech. Eng., 2023, vol. 47, no. 3, pp. 1019–1033. DOI: https://doi.org/10.1007/s40997-022-00553-6.
- Rahman S., Ali M. A novel approach to optimize material distributions of rotating functionally graded circular disk under minimum and prescribed stresses, Mater. Today Commun., 2023, vol. 36, 106620. DOI: https://doi.org/10.1016/j.mtcomm.2023.106620.
- Abdalla H. M. A., Boussaa D., Sburlati R., Casagrande D. On the best volume fraction distributions for functionally graded cylinders, spheres and disks – A pseudospectral approach, Comput. Struct., 2023, vol. 311, 116784. DOI: https://doi.org/10.1016/j.compstruct.2023.116784.
- Tsai S. W., Wu E. M. A general theory of strength for anisotropic materials, J. Compos. Mater., 1971, vol. 5, no. 1, pp. 58–80. DOI: https://doi.org/10.1177/002199837100500106.
- Gol’denblat I. I., Kopnov V. A. Strength of glass-reinforced plastics in the complex stress state, Polymer Mechanics, 1965, vol. 1, no. 2, pp. 54–59. DOI: https://doi.org/10.1007/BF00860685.
- Li S., Sitnikova E., Liang Y., Kaddour A.-S. The Tsai–Wu failure criterion rationalised in the context of UD composites, Compos. A: Appl. Sci. Manuf., 2017, vol. 102, pp. 207–217. DOI: https://doi.org/10.1016/j.compositesa.2017.08.007.
- Chen X., Sun X., Chen P., et al. Rationalized improvement of Tsai–Wu failure criterion considering different failure modes of composite materials, Comput. Struct., 2021, vol. 256, 113120. DOI: https://doi.org/10.1016/j.compstruct.2020.113120.
- Hill R. A theory of the yielding and plastic flow of anisotropic metals, Proc. R. Soc. Lond. A, 1948, vol. 193, no. 1033, pp. 281–297. DOI: https://doi.org/10.1098/rspa.1948.0045.
- Ganczarski A. W., Skrzypek J. J. Constraints on the applicability range of Hill’s criterion: Strong orthotropy or transverse isotropy, Acta Mech., 2014, vol. 225, no. 9, pp. 2563–2582. DOI: https://doi.org/10.1007/s00707-014-1089-1.
- Hu L. W., Marin J. Anisotropic loading functions for combined stresses in the plastic range, J. Appl. Mech., 1955, vol. 22, no. 1, pp. 77–85. DOI: https://doi.org/10.1115/1.4010973.
- Caddell R. M., Raghava R. S., Atkins A. G. A yield criterion for anisotropic and pressure dependent solids such as oriented polymers, J. Mater. Sci., 1973, vol. 8, no. 11, pp. 1641–1646. DOI: https://doi.org/10.1007/BF00754900.
- Chen L., Wen W., Cui H. Generalization of Hill’s yield criterion to tension-compression asymmetry materials, Sci. China Technol. Sci., 2013, vol. 56, no. 1, pp. 89–97. DOI: https://doi.org/10.1007/s11431-012-5037-9.
- Kim J. H., Lee M.-G., Chung K., et al. Anisotropic-asymmetric yield criterion and anisotropic hardening law for composite materials: Theory and formulations, Fiber. Polym., 2006, vol. 7, no. 1, pp. 42–50. DOI: https://doi.org/10.1007/BF02933601.
Supplementary files
