Analytical determination of static and dynamic elastic characteristics of pneumohydraulic suspension systems
- Authors: Tsipilev A.A.1, Nakaznoy O.A.1
-
Affiliations:
- Bauman Moscow State Technical University
- Issue: Vol 15, No 4 (2021)
- Pages: 60-72
- Section: Original Study Articles
- URL: https://journals.eco-vector.com/2074-0530/article/view/105610
- DOI: https://doi.org/10.31992/2074-0530-2021-50-4-60-72
- ID: 105610
Cite item
Full Text
Abstract
When developing new suspensions for tracked and wheeled vehicles, as well as in the so-called reverse engineering of existing structures (including in the educational process of training personnel), it is necessary to solve the problem of finding the elastic characteristics of the suspension. In the first case, it is necessary to ensure the fulfillment of the specified tactical and technical requirements, in the second - to restore the form of characteristics according to a known design. Both of these tasks are greatly complicated in the absence of precise and universal analytical dependencies suitable for determining the characteristics of elastic suspension elements of various design implementations. The experience of interaction with some factories shows that designers, not being able to qualitatively calculate the elastic characteristics, use the method of selection and analogy, when for a new vehicle they use the suspension as on the old one, scaling it in size in order to approximately keep the values of working pressures. The numerous bench tests are carried out, which results are used for selecting required charging volume and pressure. Suspensions with backpressure cause particular difficulty, since not only the final characteristic, but also the performance of the entire unit depends on the combination of volumes and pressures of the two chambers, which work in antiphase: when one is loaded, the other is unloaded, and vice versa. Using analytical dependencies will reduce the time spent on design, to parameterize, to a certain extent, the suspension kinematics, to obtain the values of the equivalent suspension stiffness, and also to be able to develop the characteristics of the model range of pneumohydraulic springs for vehicles of various weight categories.
This article presents a technique for the analytical determination of the characteristics of pneumohydraulic springs of various designs. The options include both actually used in modern and historical technology (in particular, on BMD-1, 2, 3, 4; GM-352; Ural Typhoon; Object 775, etc.), and obtained by combining various structural elements, which implementation can be useful in the educational process in training personnel. The dependences presented in the article make it possible to obtain static and dynamic elastic characteristics at various polytropic indices and are suitable for the design of suspensions for wheeled and tracked vehicles for various purposes.
Full Text
Введение
Использование пневмогидравлических устройств, в частности, пневмогидравлических (также встречается – гидропневматических) рессор (ПГР), является перспективным способом совершенствования систем подрессоривания быстроходных гусеничных и колесных машин. Это отмечено во многих работах, например, в [1–6], а пути достижения этой цели представлены в диссертациях ряда российских ученых, к примеру, [7–11]. Вместе с тем, вопросы аналитического определения конструктивных параметров ПГР зачастую подробно не рассматриваются, хотя возможность параметризации упругой характеристики, особенно с учетом кинематических связей ПГР и опорного катка (колеса для колесных машин), является интересной и актуальной задачей.
В статье [12] была представлена методика определения характеристик упругого элемента подвески для случая использования ПГР. Показанные в статье зависимости пригодны для получения характеристик упругого элемента, при которых показатель политропы n остается неизменным. В частности, рассматривался случай с n = 1,4. Однако в реальных условиях отличный от единицы показатель политропы характерен только для режима движения машины, когда сжатие и расширение газа происходят достаточно быстро, так что теплообменом ПГР с окружающей средой, и, в частности, теплообменом газа со стенками ПГР можно пренебречь. При нахождении машины в неподвижном положении, например, после установки ПГР на заводе или после ремонта элементов ходовой части, нагретый вследствие сжатия газ полностью отдает избыточную энергию окружающей среде. Медленно протекающие процессы сжатия-расширения можно считать изотермическими, то есть проходящими при неизменной температуре рабочего тела. В этом случае показатель политропы n равен единице, а рассчитанное зарядное давление по зависимостям в [12] будет недостаточным для обеспечения заданного статического хода подвески. В связи с этим разделяют понятия статической и динамической упругих характеристик ПГР.
Под статической упругой характеристикой ПГР понимают зависимость силы сопротивления газа от хода штока, полученную при крайне медленном сжатии, когда показатель политропы n = 1, а процесс сжатия можно считать изотермическим. Динамической упругой характеристикой называют зависимость, при которой показатель политропы n отличен от единицы.
Определение основных параметров ПГР, таким образом, должно производиться для двух случаев: когда n = 1 и когда n ≠ 1. В настоящей статье представлены с частичным выводом зависимости, которые позволяют получить основные конструктивные параметры, а также статические и динамические упругие характеристики ПГР различных конфигураций.
Исходные данные
Исходными данными для определения основных параметров ПГР [12, 13] являются следующие:
- значения силовой u(β) передаточной функции при начальном β0, статическом βст и максимальном βmax угловых положениях балансира;
- статический fст и полный fполн ходы подвески, м, соответствующие статическому и максимальному угловому положениям балансира;
- статический xст и полный xполн ходы штока, м, соответствующие статическому и максимальному угловому положениям балансира;
- статическая сила, приходящаяся на один опорный каток Pст, Н;
- эффективные площади основного Sп и вложенного Sв.п (для двухпоршневой ПГР) поршней, м;
- коэффициент динамичности для подвески Kдин и коэффициент динамичности для ПГР .
Однопоршневая однокамерная ПГР без противодавления
В общем виде упругая характеристика ПГР может быть выражена известной зависимостью [12, 13]:
, (1)
где Pшт – сила упругого сопротивления газа, приведенная к штоку ПГР, Н; xшт – ход штока, м;
V0 – зарядный (начальный) объем пневмокамеры, м3; p0 – зарядное (начальное) давление газа в ПГР, Па.
Для статической упругой характеристики n = 1, в качестве p0 следует брать зарядное давление, для динамической – n = 1,4, а в качестве p0 следует брать начальное давление. Объем в обоих случаях остается неизменным.
В первую очередь получение необходимых параметров производится для зарядной температуры Tзар. Как правило, она соответствует нормальной температуре. Начальный объем пневмокамеры V0 для однопоршневой однокамерной ПГР определяется по формуле [12, 13]
, (2)
при этом n = 1,4, так как требуемый коэффициент динамичности должен обеспечиваться для динамической упругой характеристики.
Далее следует определить зарядное давление газа в ПГР p0зар, то есть такое давление, до которого газ заряжают в ПГР. Оно необходимо для обеспечения требуемого статического положения штока (опорного катка). Для построения динамической упругой характеристики будем пользоваться другим значением – начальным давлением p0нач.
Зарядное давление можно вычислить, зная статический ход штока, по формуле
. (3)
В свою очередь, начальное давление определяется по аналогичной зависимости, но с учетом показателя политропы:
. (4)
При изменении температуры до некоторой произвольной, условно принимаемой за рабочую Tраб, поменяются значения давлений в ПГР и, как следствие, статического хода штока (опорного катка). Несложно определить новое значение статического хода штока при температуре Tраб, зная закон Шарля (p1/p2=T1/T2) :
, (5)
здесь βТ – угол поворота балансира, при котором обеспечивается новое статическое положение подвески. Его можно вычислить, зная выражение для хода штока при заданной кинематике подвески [13, 14].
Динамическая упругая характеристика будет строиться относительно нового статического положения. Соответственно, выражения для статической и динамической упругих характеристик при температуре Tраб примут вид
(6)
где Ршт.Т(xшт)– выражение для статической упругой характеристики при температуре Tраб; Ршт.Т.дин(xшт) – выражение для динамической упругой характеристики при температуре Tраб.
В ряде случаев, когда разница температур велика, результат вычислений по формуле может получиться меньше нуля. Однако ход штока не может быть отрицательным. В этом случае следует принять его равным нулю, а построение динамической характеристики производить от нулевого хода штока.
Однопоршневая однокамерная ПГР с противодавлением
Характерной особенностью ПГР с противодавлением является тот факт, что камера противодавления разгружает шток. Это позволяет обеспечить любое значение силы на штоке при нулевом его ходе, включая нулевое и отрицательное (то есть использование в качестве отбойника). Общая зависимость для упругой характеристики однопоршневой однокамерной ПГР с противодавлением имеет вид
. (7)
Удобно производить расчет, полагая, что для статической упругой характеристики сила при нулевом ходе штока будет равна нулю. Это возможно при равенстве сил, действующих на шток со стороны основной пневмокамеры и со стороны пневмокамеры противодавления. Введем понятие нулевого давления в пневмокамере, которое достигается для статической упругой характеристике при нулевом ходе штока (и минимальном объеме пневмокамеры противодавления Vmin.п.д = V0п.д – Sп.д∙xшт.полн):
, (8)
где Sп.д – эффективная площадь поршня со стороны камеры противодавления, м2.
Также без вывода приведем зависимость для начального объема камеры противодавления V0. Он рассчитывается так, чтобы давление в камере не падало ниже минимально допустимого всем диапазоном температур эксплуатации:
. (9)
Минимально допустимое давление определяется из следующего условия. Сила, создаваемая газом в камере противодавления, должна превышать силу сухого трения в уплотнениях. Силы трения в уплотнениях меняются в широком пределе и зависят как от перепада давления на уплотнении, так и от температуры, материала пар трения, наличия смазанного слоя и т.д. Минимальное давление pmin, Па можно вычислить по эмпирической зависимости, полагая, что минимальный диаметр поршня-разделителя составляет 0,04 м, сила трения равна 1000 Н (что согласуется с рядом экспериментов), а минимальная температура эксплуатации составляет 223 К:
. (10)
Поскольку камера противодавления разгружает шток ПГР, необходимо откорректировать (увеличить) зарядные давления в пневмокамерах:
, (11)
значение коэффициента z вычисляется
. (12)
В свою очередь, необходимо откорректировать (увеличить) также и зарядный объем основной пневмокамеры. Степень увеличения определяется несколько иначе:
. (13)
Выражения – справедливы для зарядной и рабочей температур и обеспечивают сохранение статического хода. Они также пригодны для дальнейших расчетов ПГР иных конструкций. Однако их недостатком является несовпадение коэффициентов динамичности для ПГР с противодавлением и без него. Аналитическое решение, обеспечивающее одновременное сохранение значений коэффициента динамичности и статического хода, весьма сложно, но может быть получено в каждом отдельном случае путем численного решения системы уравнений в виде равенства зависимостей и для статического и полного ходов штока относительно объема основной пневмокамеры и зарядного давления в ней.
Выражение для статической упругой характеристики при T = Tзар примет вид
, (14)
а для динамической, соответственно,
. (15)
При изменении температуры до Tраб, соответственно, возрастают давления в пневмокамерах, а новое значение статического хода штока можно определить численно из выражения
, (16)
здесь аргументом является угол βT.
При температуре Tраб статическая и динамическая упругие характеристики примут вид:
(17)
При построении динамических характеристик сила упругого сопротивления сравняется с нулем до достижения вывешенного положения опорного катка, то есть пневмокамера противодавления сработает как ограничитель минимального хода подвески. Это несколько снижает удельную потенциальную энергию подвески, что, однако, может быть скомпенсировано ростом коэффициента динамичности. Вместе с тем, это увеличивает эквивалентную жесткость подвески, одновременно позволяя несколько упростить конструкцию.
Двухпоршневая однокамерная ПГР без противодавления
Для такой ПГР основные зависимости остаются без изменения по сравнению с данными, представленными в [1]. Начальный объем определяется
, (18)
где Sв.п – площадь вложенного поршня, м2.
Зарядное давление можно вычислить
, (19)
а начальное давление для построения динамической характеристики
. (20)
Статическая и динамическая упругая характеристики изменяются только для ходов, меньших статического:
, (21)
Для ходов, больших статического, они вычисляются по (1) .
При повышении температуры статический ход не изменится, что обеспечивается условием . Поэтому при температуре Tраб оба выражения в следует домножить на коэффициент . В остальном зависимости остаются неизменными.
Однопоршневая двухкамерная ПГР без противодавления
Для двухкамерной ПГР зарядные давления в пневмокамерах могут быть одинаковыми или различными. Вне зависимости от этого начальные объемы пневмокамер определяются по [12]. Зарядные и начальные давления в пневмокамерах, если они одинаковы, определяются по и , а прочие выражения совпадают с таковыми для случая однокамерной однопоршневой ПГР без противодавления. Соответственно, идентичными будут и упругие характеристики.
При разных зарядных давлениях выражения, их определяющие, примут вид
(22)
причем индекс «низ» относится к пневмокамере низкой жесткости, индекс «выс» – к пневмокамере высокой жесткости, а коэффициент k характеризует отношение жесткостей этих камер: . Также следует обратить внимание, что начальное и зарядное давления для пневмокамеры низкой жесткости совпадают. Это связано с тем, что она не вступает в работу до статического хода (кроме пониженных температур).
При температуре Tзар упругая характеристика изменится только для ходов меньших статического:
(23)
Для ходов больших статического она будет иметь вид вне зависимости от значения показателя политропы. При повышении температуры необходимо, как и прежде, вычислить новое статическое положение штока. Для этого можно воспользоваться формулой , а в качестве начального объема взять таковой для пневмокамеры высокой жесткости. Поскольку начальное давление в пневмокамере низкой жесткости остается неизменным (в том смысле, что не зависит от хода штока), при n ≠ 1 включение этой пневмокамеры произойдет несколько ранее. Ход штока, при котором давления сравняются, составит
. (24)
Соответственно, изменится и выражение для динамической упругой характеристики:
(25)
Для статической упругой характеристики при температуре Tраб изменение давления определяется только температурой, поэтому можно воспользоваться выражениями (1) и (23) , домножив их на Траб/Тзар .
Двухпоршневая двухкамерная ПГР без противодавления
Для двухкамерной двухпоршневой ПГР без противодавления с одинаковыми зарядными давлениями все выражения не отличаются от таковых для однокамерной двухпоршневой ПГР, а для вычисления начальных объемов каждой пневмокамеры следует подставлять V0в.п в соответствующие зависимости.
При разных зарядных давлениях начальные давление и объем изменяются только для пневмокамеры высокой жесткости. Выражения для зарядных давлений в камерах имеют вид
. (26)
Начальные давления можно вычислить
, (27)
а начальные объемы:
. (28)
Статическая и динамическая упругие характеристики при Tзар совпадают по виду с таковыми для однокамерной двухпоршневой ПГР, однако в качестве начального объема в следует подставлять , в то время как выражение останется без изменений.
При изменении температуры до Tраб статическая упругая характеристика изменится только в части дополнительного множителя Траб/Тзар а для динамической упругой характеристики следует учитывать два события: соприкосновение поршней, которое происходит при неизменном ходе штока xст, и включение в работу пневмокамеры низкой жесткости, что происходит при некотором ходе штока , меньшем xст. Включение в работу пневмокамеры низкой жесткости можно вычислить по (24) , полагая в качестве площади поршня величину Sв.п. Динамическая упругая характеристика примет вид
(29)
Двухпоршневая однокамерная ПГР с противодавлением
Поскольку для двухпоршневой ПГР вид упругой характеристики изменяется только для ходов штока меньших статического (или близкого к нему, соответствующего моменту соприкосновения поршней), различия в получении параметров пневмокамеры противодавления также будут касаться только этого диапазона ходов.
Нулевое давление в пневмокамере противодавления p0в.п.п.д можно вычислить по , причем в качестве давления p0зар следует брать таковое для однокамерной двухпоршневой ПГР без противодавления, а в качестве эффективных площадей поршней – для вложенного поршня. Начальный объем камеры противодавления можно вычислить, несколько преобразовав зависимость , учтя изменение площади поршня:
, (30)
где Sв.п.п.д – площадь вложенного поршня со стороны камеры противодавления, вычисляется в зависимости от кинематики ПГР по [1].
Зарядные давления в пневмокамере противодавления и основной пневмокамере вычисляются по (11), причем коэффициент z вычисляется по (12), но в качестве p0п.д следует подставлять p0в.п.п.д. Объем основной пневмокамеры увеличивается, как и прежде, и рассчитывается по (13). Статическая и динамическая упругие характеристики также изменяются только для ходов, меньших статического:
(31)
А для ходов, больших статического они могут быть вычислены по (14)-(17) .
Однопоршневая двухкамерная ПГР с противодавлением
Для двухкамерной однопоршневой ПГР с противодавлением при одинаковых зарядных давлениях все зависимости совпадают с таковыми для однопоршневой однокамерной ПГР с противодавлением, а начальные объемы пневмокамер высокой и низкой жесткости вычисляются по [12], но с учетом коэффициента δV.
Если зарядные давления различны, они рассчитываются по (22), а результат затем домножается на . Начальный объем пневмокамеры высокой жесткости рассчитывается по [1], а пневмокамеры низкой жесткости – .
Двухпоршневая двухкамерная ПГР с противодавлением
Для двухпоршневой двухкамерной ПГР с противодавлением при одинаковых зарядных давлениях выражения не отличаются от случая двухпоршневой однокамерной ПГР с противодавлением. При разных зарядных давлениях коррекции подлежат только объем и давление камеры высокой жесткости, которые вычисляют по зависимостям (26)-(28), а затем давление домножают на выражение , а объем – на коэффициент δV (13). Объем пневмокамеры низкой жесткости, как и прежде, определяют разницей между суммарным объемом и объемом пневмокамеры высокой жесткости.
Реализация упругих характеристик подвески
В качестве примера реализации характеристик рассмотрим гусеничную машину с параметрами, представленными в табл. 1. Для простоты будем считать, что кинематика соответствует кинематике прямого хода ПГР с подвижным корпусом.
Таблица 1. Параметры гусеничной машины
Table 1. Tracked vehicle parameters
Наименование параметра | Значение |
Общая масса M, кг | 36700 |
Момент инерции продольный Jy, кг∙м2 | 271800 |
Радиус балансира Rб, м | 0,360 |
Статическая сила, приведенная к одному опорному катку Pст, Н | 30019 |
Статический ход подвески fст, м | 0,100 |
Динамический ход подвески fдин, м | 0,300 |
Начальный угол поворота балансира β0, град | 40,93 |
Статический угол поворота балансира βст, град | 61,46 |
Максимальный угол поворота балансира βmax, град | 110,83 |
Угол между рычагами балансира и ПГР α, град | 65,23 |
Радиус рычага ПГР b, м | 0,255 |
Расстояние между точками крепления балансира и ПГР на корпусе c, м | 0,711 |
Угол наклона линии c к горизонту γ, град | 44,71 |
Коэффициент динамичности подвески Kдин | 3,50 |
Диаметр основного поршня Dп, м | 0,100 |
Диаметр вложенного поршня dв.п, м | 0,085 |
Эффективный диаметр поршня камеры противодавления, м | 0,070 |
Клиренс Hкл, м | 0,450 |
Начальная (зарядная) температура газа Tнач, К | 293 |
Рабочая температура газа Tраб, K | 373 |
В таблице 2 представлены рассчитанные по зависимостям (2)–(5), (8)-(13), (16), (18)-(20), (22), (26)-(28), (30), а также по зависимостям без ссылок основные параметры для всех рассмотренных вариантов конструкции ПГР (при температуре Tнач). Для двухкамерных ПГР принято, что зарядные давления различны, поскольку при одинаковых зарядных давлениях вид упругой характеристики не будет отличаться от ПГР аналогичной конструкции, но однокамерной.
Таблица 2. Рассчитанные конструктивные параметры
Table 2. Calculated design parameters
Наименование параметра | Значение |
Однопоршневая однокамерная ПГР без противодавления | |
Зарядный объем основной пневмокамеры, л | 3,385 |
Зарядное давление основной пневмокамеры, Па | 4,42∙106 |
Однопоршневая однокамерная ПГР с противодавлением | |
Зарядный объем основной пневмокамеры, л | 3,979 |
Зарядное давление основной пневмокамеры, Па | 6,20∙106 |
Зарядный объем пневмокамеры противодавления, л | 1,306 |
Зарядное давление пневмокамеры противодавления, Па | 1,47∙106 |
Двухпоршневая однокамерная ПГР без противодавления | |
Зарядный объем основной пневмокамеры, л | 3,224 |
Зарядное давление основной пневмокамеры, Па | 4,64∙106 |
Двухпоршневая однокамерная ПГР с противодавлением | |
Зарядный объем основной пневмокамеры, л | 3,715 |
Зарядное давление основной пневмокамеры, Па | 6,76∙106 |
Зарядный объем пневмокамеры противодавления, л | 1,261 |
Зарядное давление пневмокамеры противодавления, Па | 1,53∙106 |
Однопоршневая двухкамерная ПГР без противодавления | |
Зарядный объем пневмокамеры высокой жесткости, л | 1,282 |
Зарядное давление пневмокамеры высокой жесткости, Па | 2,92∙106 |
Зарядный объем пневмокамеры низкой жесткости, л | 2,103 |
Зарядное давление пневмокамеры низкой жесткости, Па | 5,33∙106 |
Однопоршневая двухкамерная ПГР с противодавлением | |
Зарядный объем пневмокамеры высокой жесткости, л | 1,282 |
Зарядное давление пневмокамеры высокой жесткости, Па | 4,25∙106 |
Зарядный объем пневмокамеры низкой жесткости, л | 2,571 |
Зарядное давление пневмокамеры низкой жесткости, Па | 7,77∙106 |
Зарядный объем пневмокамеры противодавления, л | 1,405 |
Зарядное давление пневмокамеры противодавления, Па | 1,40∙106 |
Двухпоршневая двухкамерная ПГР без противодавления | |
Зарядный объем пневмокамеры высокой жесткости, л | 1,121 |
Зарядное давление пневмокамеры высокой жесткости, Па | 3,34∙106 |
Зарядный объем пневмокамеры низкой жесткости, л | 2,103 |
Зарядное давление пневмокамеры низкой жесткости, Па | 5,33∙106 |
Двухпоршневая двухкамерная ПГР с противодавлением | |
Зарядный объем пневмокамеры высокой жесткости, л | 1,121 |
Зарядное давление пневмокамеры высокой жесткости, Па | 4,47∙106 |
Зарядный объем пневмокамеры низкой жесткости, л | 2,103 |
Зарядное давление пневмокамеры низкой жесткости, Па | 7,15∙106 |
Зарядный объем пневмокамеры противодавления, л | 1,340 |
Зарядное давление пневмокамеры противодавления, Па | 1,40∙106 |
На рис. 1–4 представлены статические и динамические упругие характеристики ПГР различных видов, а в таблице 3 – сравнение коэффициентов динамичности.
Таблица 3. Сравнение коэффициентов динамичности
Table 3. Comparison of dynamic factors
Тип ПГР | Kдин |
ПГР без противодавления (все конфигурации) | 3,50 |
Однопоршневая однокамерная ПГР с противодавлением | 3,67 |
Двухпоршневая однокамерная ПГР с противодавлением | 3,70 |
Однопоршневая двухкамерная ПГР с противодавлением | 3,50 |
Двухпоршневая двухкамерная ПГР с противодавлением | 3,50 |
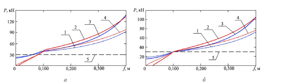
Рис. 1. Статические (1, 4) и динамические (2, 3) характеристики подвески с однокамерной однопоршневой ПГР при рабочей (а) и зарядной (б) температурах: 1, 3 – статическая и динамическая, без противодавления; 4, 2 – статическая и динамическая, с противодавлением; 5 – уровень статической силы
Fig. 1. Static (1, 4) and dynamic (2, 3) characteristics of a suspension with a single-chamber single-piston block at operating (a) and charging (b) temperatures: 1, 3 – static and dynamic, without back pressure; 4, 2 – static and dynamic, with back pressure; 5 – static force level
Рис. 2. Статические (1, 4) и динамические (2, 3) характеристики подвески с двухкамерной однопоршневой ПГР при рабочей (а) и зарядной (б) температурах: 1 – 5 – см. рис. 1
Fig. 2. Static (1, 4) and dynamic (2, 3) characteristics of the suspension with a two-chamber single-piston block at operating (a) and charging (b) temperatures: 1 – 5 – see Fig. 1
Рис. 3. Статические (1, 4) и динамические (2, 3) характеристики подвески с однокамерной двухпоршневой ПГР при рабочей (а) и зарядной (б) температурах: 1 – 5 – см. рис. 1
Fig. 3. Static (1, 4) and dynamic (2, 3) characteristics of the suspension with a single-chamber two-piston block at operating (a) and charging (b) temperatures: 1 – 5 – see Fig. 1
Рис. 4. Статические (1, 4) и динамические (2, 3) характеристики подвески с двухкамерной двухпоршневой ПГР при рабочей (а) и зарядной (б) температурах: 1 – 5 – см. рис. 1
Fig. 4. Static (1, 4) and dynamic (2, 3) characteristics of a suspension with a two-chamber two-piston block at operating (a) and charging (b) temperatures: 1 – 5 – see Fig. 1
Для ПГР с противодавлением в ряде конструкций (для однокамерных ПГР и двухкамерных с одинаковым зарядным давлением) коэффициент динамичности получается более высоким, нежели для аналогичной конструкции без противодавления. Это вызвано, в первую очередь, тем, что камера противодавления разгружает обе основных пневмокамеры, а не только пневмокамеру высокой жесткости.
Кроме того, вид передаточной функции также будет влиять на фактическое значение коэффициента динамичности. Необходимо учитывать, что при значительном изменении значений силовой передаточной функции расхождения коэффициента динамичности с теоретическим значением для ПГР без противодавления также будут расти.
Для приведения коэффициента динамичности в соответствие с заданием необходимо либо корректировать представленные зависимости, либо добиваться изменения значений силовой передаточной функции в пределах 10%.
Выводы
Представленные в статье зависимости позволяют получить основные конструктивные параметры ПГР (при известной кинематике подвески) практически всех возможных конфигураций. Корректирующие зависимости, позволяющие изменить начальные объемы и зарядные давления, тем не менее, являются удачной полуэмпирической связью, которая дает хорошие результаты при изменениях силовой передаточной функции в пределах 10%. Рост диапазона значений силовой передаточной функции будет приводить к отклонениям коэффициента динамичности от эталонного значения. Таким образом, для использования корректирующих зависимостей необходимо предварительно подобрать кинематические параметры до получения удачного (рационального) вида силовой передаточной функции.
Следует, однако, отметить, что некоторые конструктивные реализации ПГР не являются рациональными, хотя могут представлять определенный интерес в учебном процессе. В частности, практический смысл проектирования одно- и двухкамерных двухпоршневых ПГР с противодавлением, а также двухпоршневой двухкамерной ПГР без противодавления весьма мал, поскольку конструкция кратно усложняется, в то время как возможность стабилизации статического хода обеспечивается не только вложенным поршнем, но также и наличием противодавления либо разных зарядных давлений в основных пневмокамерах. Тем не менее, подобные конструкции могут иметь интерес в образовательной среде, повышая разнообразие вариаций тем курсовых проектов или домашних заданий по соответствующей диспциплине.
About the authors
A. A. Tsipilev
Bauman Moscow State Technical University
Author for correspondence.
Email: alexts@bmstu.ru
PhD in Engineering
Russian Federation, MoscowO. A. Nakaznoy
Bauman Moscow State Technical University
Email: alexts@bmstu.ru
DSc in Engineering
Russian Federation, MoscowReferences
- Kotiyev G.O., Smirnov A.A., Shilkin V.P. Issledovaniye rabochikh protsessov v pnevmogidravlicheskikh ustroystvakh sistem podressorivaniya gusenichnykh mashin [Study of work processes in pneumohydrau-lic devices of crawler vehicle suspension systems]: Ucheb. posobiye. Moscow: Izd-vo MGTU im. N. E. Baumana, 2001. 80 p.
- Kotiyev G.O. Kompleksnoye podressorivaniye vysokopodvizhnykh dvukhzvennykh gusenichnykh mashin [Complex suspension of highly mobile two-link tracked vehicles]. G.O. Kotiyev, YE.B. Sarach. M. MGTU im. N.E. Baumana, 2010. 184 p.
- Sarach YE.B., Kotiyev G.O., Smirnov I.A. Prospects for the development of a suspension system for high-speed tracked vehicles. Inzhenernyy zhurnal: nauka i innovatsii, 2013, vyp. 10 (in Russ.). URL: http://engjournal.ru/catalog/machin/transport/976.html
- Zhileykin M.M., Kotiyev G.O., Sarach YE.B. Experimental study of the load characteristics of a two-chamber pneumohydraulic spring for the suspension of a new generation of medium and heavy-duty au-tomobile platforms. Elektronnyy zhurnal: «Nauka i obrazovaniye: elektronnoye nauchno-tekhnicheskoye izdaniYE». EL No FS77-48211. 2011. Vypusk 12 (in Russ.). URL: http://technomag.bmstu.ru/doc/346642.html
- Zhileykin M.M., Kotiyev G.O., Sarach YE.B. Method of selection of characteristics of controlled suspension with two levels of damping for multi-axle wheeled vehicles. Elektronnyy zhurnal: «Nauka i obrazovaniye: elektronnoye nauchno-tekhnicheskoye izdaniYE». EL № FS77-48211. 2012. Vypusk 1 (in Russ.). URL: http://technomag.bmstu.ru/doc/293578.html
- Zhileykin M.M., Kotiyev G.O., Sarach YE.B. Method for calculating the characteristics of pneumohydraulic controlled suspension with two-level damping of multi-axle wheeled vehicles. Elektronnyy zhurnal: «Nauka i obrazovaniye: elektronnoye nauchno-tekhnicheskoye izdaniYE». EL No FS77-48211. 2012. Vypusk 1 (in Russ.). URL: http://technomag.bmstu.ru/doc/346660.html
- Kotiyev G.O. Prognozirovaniye ekspluatatsionnykh svoystv sistem podressorivaniya voyennykh gus-enichnykh mashin: Diss. … doktora tekhn. nauk [Prediction of the operational properties of suspension systems for military tracked vehicles: Dissertation for Degree of DSc in Engineering]. Moscow: MGTU, 2000. 265 p.
- Sarach YE.B. Metod vybora kharakteristik sistemy podressorivaniya s netselym chislom stepeney svobody dlya bystrokhodnoy gusenichnoy mashiny: Dis. … kand. tekhn. nauk [Method for selecting characteristics of a suspension system with a non-integer number of degrees of freedom for a high-speed tracked vehi-cle: Dissertation for Degree of PhD in Engineering]. Moscow: MGTU, 2003. 150 p.
- Smirnov A. A. Matematicheskoye modelirovaniye pnevmogidravlicheskikh ustroystv sistem podresso-rivaniya transportnykh sredstv: Diss. … kand. tekhn. nauk [Mathematical modeling of pneumohydraulic devices of vehicle suspension systems: Dissertation for Degree of PhD in Engineering]. Moscow: MGTU, 1999. 154 p.
- Sukhorukov A.V. Upravleniye dempfiruyushchimi elementami v sisteme podressorivaniya bystrokhodnoy gusenichnoy mashiny. Dis. ... kand. tekhn. nauk [Control of damping elements in the suspension system of a high-speed tracked vehicle: Dissertation for Degree of PhD in Engineering]. Moscow, 2003, 149 p.
- Tsipilev A.A. Metody opredeleniya raschetnykh kharakteristik i otsenki teplovoy nagruzhennosti pnevmo-gidravlicheskikh ustroystv sistem podressorivaniya bystrokhodnykh gusenichnykh mashin na etape proyektirovaniya: Dissertatsiya na soiskaniye uchenoy stepeni kandidata tekhnicheskikh nauk [Methods for determining the design characteristics and assessing the thermal loading of pneumohydraulic devices for suspension systems of high-speed tracked vehicles at the design stage: Dissertation for Degree of PhD in Engineering]. Moscow: MGTU im. N. E. Bauma-na, 2017. 223 p.
- Sarach YE.B., Tsipilev A.A. Method of analytical selection of design parameters of pneumohydraulic springs. Elektronnyy zhurnal: «Nauka i obrazovaniye: elektronnoye nauchno-tekhnicheskoye izdaniYE». EL No FS77-48211. 2014. Vypusk 11 (in Russ.). URL: http://technomag.neicon.ru/doc/733738.html (accessed: 13.09.2021 g.).
- Sarach YE.B., Tsipilev A.A. Osnovy raschetov pnevmogidravlicheskikh sistem podressorivaniya [Basics of calculating pneumohydraulic suspension systems]. Uchebnoye posobiye. Moscow: Izdatel'stvo MGTU im. N.E. Baumana Publ., 2017. 112 s.
- Tsipilev A.A. Osnovy raschetov pnevmogidravlicheskikh sistem podressorivaniya [Basics of calculating pneumohydraulic suspension systems]. Uchebno-metodicheskoye posobiye. Moscow: Izdatel'stvo MGTU im. N.E. Baumana Publ., 2020, 53 p.
Supplementary files







