Hydraulic tests of a new centrifugal pump with shrouded impeller for extracorporeal membrane oxygenation systems
- Authors: Isaeva M.S.1, Petrov A.I.1, Banin E.P.2
-
Affiliations:
- Bauman Moscow State Technical University
- National Research Center “Kurchatov Institute”
- Issue: Vol 18, No 2 (2024)
- Pages: 119-128
- Section: Hydraulic and pneumatic systems
- URL: https://journals.eco-vector.com/2074-0530/article/view/632472
- DOI: https://doi.org/10.17816/2074-0530-632472
- ID: 632472
Cite item
Abstract
BACKGROUND: The problem of creating a centrifugal pump for extracorporeal membrane oxygenation systems (hereinafter referred to as ECMO), optimal in terms of its hydraulic characteristics and its effect on blood, still remains relevant. This work is a continuation of the authors’ previous research in this area and contains the results of hydraulic tests of prototypes of the new ECMO pump with the closed impeller on water and water-glycerin mixtures, which imitate the viscous properties of blood.
AIM: Determination and comparison the head-flow characteristics of the new ECMO pump with the closed impeller when operating on water and water-glycerin mixtures.
METHODS: A series of hydraulic tests of pump prototypes, manufactured using different technologies, was carried out. Three liquids were considered as the working fluid during the tests: process water at a temperature of 20 °C and two water-glycerin mixtures at a temperature of 20 °C with different ratios of water and glycerin (to obtain different viscosities).
RESULTS: The pressure characteristics of pump prototypes, manufactured using different technologies, were obtained using water and water-glycerin mixtures. Tests with use of water showed that the deviation of the calculated and experimental characteristics from each other does not exceed 4%; the deviation of the characteristics of prototypes, manufactured using different technologies, is on average 1.5%. Tests with use of a water-glycerin mixture showed that the deviation of the characteristics from those obtained with use of water is on average 6%, the largest deviation is observed at the edges of the characteristics. In addition, when tested with use of a water-glycerin mixture, the deviation of the characteristics of prototypes, manufactures using different technologies, is about 4%, which is higher than when tested with use of water.
CONCLUSION: The results obtained allow us to conclude that the numerical model used in previous work can reliably predict the performance of the pump with use of water. The pressure characteristics of water and a water-glycerin mixture differ from each other, which must be taken into account when assessing the operating parameters of such pumps. The influence of manufacturing technology on the performance characteristics of the pump is higher when it operates with use of a liquid more viscous than water, e.g. on a water-glycerin mixture.
Full Text
Введение
В настоящее время системы экстракорпоральной мембранной оксигенации (далее — ЭКМО) нашли широкое применение в медицине. Традиционно такие системы используются в случае, когда требуется заменить работу лёгких и/или сердца пациента: во время операций на лёгких [1] и/или сердце [2]; при оказании экстренной помощи взрослым пациентам и детям [3–5]. В последнее время системы ЭКМО также стали активно применяться для поддержки кровообращения в донорских органах [6], что позволяет значительно увеличить расстояние для транспортировки органов и обеспечить их нормальное функционирование.
Свою историю системы экстракорпорального кровообращения начинают с 60-х годов ХХ века [7]. Несмотря на более, чем 60 лет развития, вопрос создания эффективной и безопасной системы до сих пор остаётся открытым. С одной стороны, системы ЭКМО должны осуществлять транспорт крови, с другой — эффективно обогащать кровь кислородом. Для обеспечения транспортной функции в системе используются роторные насосы (в основном центробежные). Конструкции таких насосов могут быть различны: это могут быть диагональные или радиальные насосы, в качестве опор могут использоваться подшипники качения, скольжения или магнитный подвес ротора [8, 9]. Но так или иначе к каждому из них предъявляются одинаковые требования — насос должен обеспечивать физиологически приемлемые параметры потока, а именно: должен стабильно работать в диапазоне подач от 1 л/мин до 6 л/мин, в зависимости от частоты вращения создавать перепад давления от 100 мм рт.ст. до 750 мм рт.ст., оказывать минимальное травмирующее воздействие на кровь.
Процесс разработки систем ЭКМО включает в себя этап оптимизации геометрии проточной части с использованием численного моделирования и последующие испытания опытных образцов с целью подтверждения их гидравлических и гемодинамических характеристик [10, 11]. Испытания чаще всего проводятся на крови животных (свиной, бычьей), что позволяет одновременно определять как гидравлические характеристики устройства, так и степень повреждения крови. Однако такой подход значительно усложняет работу на этапе опытной отработки насоса. Для проведения испытаний на крови требуется обеспечить доступ к достаточному объёму биоматериала, корректные условия его хранения и использования, иметь соответствующее оборудование для оценки травмы крови и т. д. Поэтому при отработке конструкции насоса и проверке его гидравлических характеристик исследователи зачастую прибегают к испытаниям на воде или водно-глицериновой смеси [12–15] в случае необходимости учёта вязкости крови в эксперименте. Такой подход позволяет в короткие сроки определить конечный внешний вид изделия и далее перейти к более трудо- и времязатратным испытаниям на крови.
В рамках предыдущих работ [16] с использованием численных методов была проведена алгоритмическая оптимизация геометрии проточной части центробежного насоса систем ЭКМО с закрытым колесом по двум критериям: повышение его гидравлического КПД и уменьшение индекса гемолиза (понижение травмирующего воздействия на клетки крови). В результате был определён внешний вид проточной части насоса, на основе которого была разработана конструкция опытного образца. Внешний вид насоса представлен на рис. 1.
Рис. 1. Конструкция насоса: 1 — верхняя крышка корпуса; 2 — нижняя крышка корпуса; 3 — рабочее колесо; 4 — нижняя крышка ротора с магнитами; 5 — ось; 6, 7 — подшипник скольжения.
Fig. 1. The pump design: 1 — a top cover of the housing; 2 — a lower housing cover; 3 — an impeller; 4 — a lower rotor cover with magnets; 5 — an axis; 6, 7 — plain bearings.
Цель
Определить и сравнить между собой напорные характеристики нового насоса с колесом закрытого типа систем ЭКМО при его работе на воде и водно-глицериновых смесях с учётом технологии изготовления.
Методы
Изготовление опытных образцов
Для насосов подобных разработанному, т. е. миниатюрных насосов, крайне важно обеспечить точное совпадение размеров указанным в конструкторской документации (далее — КД), т. к. любое отклонение фактической геометрии от спроектированной может значительно сказаться на рабочих характеристиках насоса. При серийном производстве такие изделия изготавливаются путём литья под давлением на термопластавтомате. Подобный подход позволяет обеспечивать точное соответствие деталей КД и высокое качество их поверхностей, но требует изготовления дорогостоящей многоразовой пресс-формы из литейной стали, что целесообразно только в случае партии изделий от 100 штук.
Для изготовления штучных партий зачастую прибегают к методам литья в силиконовые формы, которые являются более экономичными, но накладывают ограничения на допускаемые размеры деталей, не позволяют достигнуть повторяемости изделий. В качестве альтернативы литью могут быть рассмотрены методы механической обработки деталей, в частности фрезерование, которые позволяют гарантировать точность изготовления детали, обеспечивают высокое качество получаемой поверхности, однако время, затрачиваемое на изготовление деталей, в таком случае оказывается достаточно велико.
В рамках работ было изготовлено 7 опытных образцов насосов: два насоса — фрезерованием, пять насосов — литьём в силиконовые формы. Два опытных образца, изготовленных фрезерованием (далее — № 1ф и № 2ф), и два, наиболее точно изготовленных литьём в силиконовые формы (далее — № 5л и № 2л), были собраны и подготовлены для испытаний. Детали опытного образца насоса, полученные фрезерованием до их финишной обработки, показаны на рис. 2.
Рис. 2. Детали насоса, полученные фрезерованием.
Fig. 2. The milled pump details.
Внешний вид деталей насоса, изготовленных литьём в силиконовые формы, показан рис. 3.
Рис. 3. Детали насоса, изготовленные литьём в силиконовые формы.
Fig. 3. The pump details, manufactured by casting in silicone molds.
Описание экспериментальной установки и методики испытаний
Для проведения гидравлических испытаний насоса с целью проверки его расчётных характеристик подготовлен испытательный стенд замкнутого типа. Компоновка стенда и измерительное оборудование подобраны в соответствии с требованиями ГОСТ 6134-2007 «Насосы динамические. Методы испытаний». Схема стенда и его фотография в сборе с насосом приведены на рис. 4.
Рис. 4. Стенд для гидравлических испытаний: а — схема испытательного стенда; b — фотография стенда в сборе: 1 — бак; 2 — отсечная задвижка; 3 — датчик давления 1; 4 — испытываемый насос; 5 — датчик давления 2; 6 — расходомер; 7 — регулирующая задвижка; 8 — блок управления.
Fig. 4. The test bench: а — a diagram of the test bench; b — a photo of the assembled test bench: 1 — tank; 2 — valve 1; 3 — pressure sensor 1; 4 — pump; 5 — pressure sensor 2; 6 – flow meter; 7 — valve 2; 8 — control panel.
Перечень используемого измерительного оборудования и величина их допускаемой относительной погрешности приведены в табл. 1.
Таблица 1. Перечень используемого измерительного оборудования
Table 1. List of the used measuring equipment
Функция | Наименование | Величина допускаемой относительной погрешности, % |
Измерение расхода | Расходомер ультразвуковой Карат-520-20-3-Р* | ± 1,0 |
Датчик потока воды FS400A** | ± 2,0 | |
Измерение давления | Датчик давления РТМ-1-G-0,16-0,25%-С2-G1/2 | ± 0,25 |
* для испытаний на воде ** для испытаний на водно-глицериновой смеси (при использовании указанного датчика показания прибора на воде совпадали с показаниями ультразвукового расходомера) | ||
Было проведено три серии испытаний: 1 — на технической воде при температуре 20 °С; 2 и 3 — на водно-глицериновых смесях при температуре 20 °С с разными соотношениями воды и глицерина. Соотношение воды и глицерина в смесях подбиралось таким образом, чтобы обеспечить имитацию вязких свойств крови: в общем случае вязкость крови принимается в диапазоне от 0,003 Па∙с до 0,0035 Па∙с, плотность ~ 1050 кг/м3. Свойства водно-глицериновой смеси были оценены с использованием реометра Anton Paar Physica MCP 501 (насадка плоскость-плоскость), получено, что при скоростях сдвига выше 10 с-1 вязкость смеси: для испытаний 2 составляет ~ 0,00342 Па∙с; для испытаний 3 вязкость составляет ~ 0,00283 Па∙с. Плотность смеси в обоих случаях составила ~ 1070 кг/м3.
После полного заполнения контура водой и избавления от пузырей в нём при закрытой регулирующей задвижке на выходной магистрали производилось включение электродвигателя и выход на режим 2900 об/мин. По достижении установившегося режима, т. е. режима, при котором показания датчиков перестают изменяться, фиксировались показания замеров давления при расходе 0 л/мин. Далее регулирующая задвижка поворачивалась на шаг, соответствующий ~ 0,5 л/мин, по достижении установившегося режима проводилась фиксация значений измеряемого давления. Описанные действия повторялись до тех пор, пока регулирующая задвижка не приняла полностью открытое положение, т. е. насос не начал работу при максимальном расходе. После фиксации показаний датчиков на этом режиме все действия были повторены в обратной последовательности, т. е. задвижка постепенно закрывалась. Таким образом, происходило снятие одной и той же характеристики в двух направлениях: от меньшего расхода к большему и наоборот. Такой подход позволяет дополнительно проверить адекватность замера показаний и убедиться в корректной работе стенда в целом.
Результаты
По результатам испытаний были построены приведённые напорные характеристики насоса, показанные на рис. 5–7, проведено их сравнение с результатами моделирования, полученными ранее в процессе разработки насоса.
Как видно из рис. 5, напорные характеристики для всех трёх опытных образцов обладают одинаковым поведением, значения напора во всём диапазоне подач отличаются друг от друга в среднем на 1,5%. Отклонение расчётных характеристик от экспериментальных в среднем составляет 4% и объясняется тем, что в процессе моделирования был принят ряд упрощений численной модели, который приводит к появлению численной погрешности.
Рис. 5. Сравнение экспериментальных (для фрезерованных образцов (№ 1ф, № 2ф), для отлитого образца (№ 1л) и расчётных (моделирование) приведённых напорных характеристик при испытаниях на воде.
Fig. 5. Comparison of experimental (for milled pumps (№ 1ф, № 2ф), for casted pump (№ 1л) and calculated (modeling) pressure characteristics obtained during the tests with use of water.
Как видно из рис. 6, напорные характеристики опытных образцов при испытаниях на воде и водно-глицериновых смесях отличаются друг от друга, в среднем отклонение значений не превышает 6%. Наибольшие отклонения наблюдаются на краях характеристик — в области малых и больших расходов. В первую очередь эти отклонения связаны с тем, что при работе насоса на водно-глицериновой смеси, более вязкой по сравнению с водой, наблюдается увеличение дисковых и объёмных потерь в насосе, особенно в области больших расходов, что приводит к изменению угла наклона напорной характеристики насоса, причём чем выше вязкость жидкости, тем выше эти отклонения [17]. Также водно-глицериновая смесь обладает свойствами неньютоновской жидкости, которые проявляются при малых скоростях сдвига в потоке, т. е. при малых расходах, что может приводить к дополнительному изменению характеристик в этой области. Стоит отметить, что для всех опытных образцов наблюдается совпадение напора при испытаниях на воде и водно-глицериновых смесях в диапазоне расходов от 3,5 л/мин до 5 л/мин (Q/n ~ 0,0012÷0,0017).
Рис. 6. Сравнение экспериментальных приведённых напорных характеристик при испытаниях на воде (№ ф; № 2ф; № 5л) и водно-глицериновых смесях (№ 1ф_в-гл_0,00283; № 2ф_в-гл-0,00342; № 5л_в-гл_0,00283; № 5л_в-гл_0,00342) (масштаб вертикальной оси намеренно изменён для большей наглядности): a — для фрезерованного образца № 1; b — для фрезерованного образца № 2; c — для отлитого образца № 5.
Fig. 6. Comparison of experimental pressure characteristics obtained during the tests with use of water (№ 1ф; № 2ф; № 5л) and water-glycerin mixtures (№ 1ф_в-гл_0,00283; № 2ф_в-гл-0,00342; № 5л_в-гл_0,00283; № 5л_в-гл_0,00342) (the scale of the vertical axis is intentionally changed for greater clarity): a — for milled pump № 1; b — for milled pump № 2; c — for casted pump № 5.
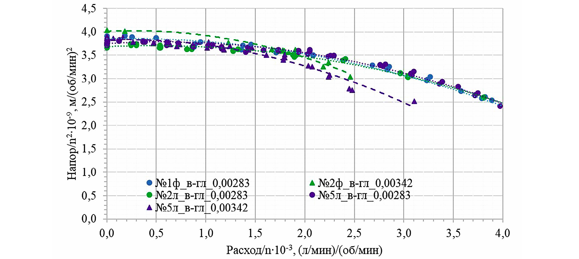
Как видно из рис. 7, для всех опытных образцов напорная характеристика на каждой из водно-глицериновых смесей ведёт себя одинаково, так же, как и при испытаниях на воде. Отклонение между полученными значениями напора не превышает 4%, что несколько выше величины отклонений характеристик для тех же образцов при испытаниях на воде (1,5%). Таким образом, можно заключить, что отклонения в размерах деталей, а также качество получаемой поверхности оказывают большее влияние на характеристики насоса при его работе на вязкой неньютоновской жидкости.
Рис. 7. Сравнение экспериментальных приведённых напорных характеристик при испытаниях на водно-глицериновых смесях) для фрезерованных образцов (№ 1ф_в-гл_0,00283; № 2ф_в-гл-0,00342), для отлитых образцов (№ 2л_в-гл_0,00283; № 5л_в-гл_0,00283; № 5л_в-гл_0,00342).
Fig. 7. Comparison of experimental pressure characteristics during the tests with use of water-glycerin mixtures) for milled pumps (№ 1ф_в-гл_0,00283; № 2ф_в-гл-0,00342), for casted pumps (№ 2л_в-гл_0,00283; № 5л_в-гл_0,00283; № 5л_в-гл_0,00342).
Сравнение параметров разработанного насоса с коммерческими аналогами приведено в табл. 2.
Таблица 2. Сравнение параметров разработанного насоса с аналогами
Table 2. Comparison of the developed pump parameters with the alternatives
Разработанный насос | Centrimag [18] | RotaFlow RF-32 [19] | |
Первичный объём заполнения, мл | 22 | 31 | 32 |
Диапазон рабочей частоты вращения, об/мин | 0–4500 | 0–5500 | 0–5000 |
Максимальный расход, л/мин | 10 | 10 | 10 |
Максимальный перепад давления, мм рт. ст. | 820 | 600 | 750 |
Номинальный режим работы | |||
Частота вращения, об/мин | 3000 | 3000 | 3000 |
Расход, л/мин | 5 | 5 | 5 |
Перепад давления, мм рт. ст. | 319 | 178* | 228* |
* В [18] и [19] отсутствует указание, для жидкости с какими свойствами приводятся параметры насоса, в таблице эти данные интерпретированы из предположения, что они были указаны для человеческой крови | |||
Как видно из данных табл. 2, разработанный насос обладает меньшим первичным объёмом заполнения, чем применяемые в клинической практике зарубежные аналоги, что позволяет использовать его не только для поддержки взрослых пациентов, но и детей (для используемых сейчас в неонатологии насосов первичный объём заполнения составляет 16 мл).
При работе насоса на номинальном режиме создаваемый разработанным насосом перепад давления выше соответствующих значений для аналогов. Таким образом, разработанный насос позволяет обеспечивать требуемые параметры потока при меньших скоростях вращения ротора: например, при частоте вращения 4500 об/мин и расходе 5 л/мин может быть обеспечен перепад давления ~ 750 мм рт.ст., тогда как RotaFlow RF-32 [19] обеспечивает при тех же расходе и частоте вращения перепад давления 545 мм рт.ст. Уменьшение значения частоты вращения ротора приводит к уменьшению повреждения крови при прохождении её через насос.
Заключение
В рамках работ было изготовлено 7 опытных образцов насосов: два насоса — фрезерованием, пять насосов — литьём в силиконовые формы. Для сборки и последующих испытаний были выбраны оба фрезерованных опытных образца и два наиболее точно изготовленных литых.
Их гидравлические испытания на воде показали совпадение приведённых напорных характеристик, отклонение составило порядка 1,5%. Отклонение расчётных данных от экспериментальных в среднем составило 4%, что указывает на достаточную точность выбранной для моделирования постановки.
Испытания опытных образцов на водно-глицериновых смесях показали, что характеристики для водно-глицериновой смеси и воды различаются между собой, особенно в области малых и больших расходов, что связано с особенностями работы насосов на вязких жидкостях, а также проявлением неньютоновских свойств, аналогичных демонстрируемым кровью. При этом напорные характеристики для всех опытных образцов, полученные на каждой из водно-глицериновых смесей, ведут себя одинаково, отклонение между полученными значениями напора не превышает 4%, что несколько выше отклонений при испытаниях на воде и указывает на большее влияние технологии изготовления при работе устройства на вязких неньютоновских жидкостях.
Экспериментальные данные, полученные на водно-глицериновой смеси, были сопоставлены с открытыми данными по коммерческим насосам CentriMag [18] и RotaFlow RF-32 [19]. Сравнение продемонстрировало, что разработанный насос позволяет обеспечивать требуемые параметры потока при меньших скоростях вращения ротора, что приводит к уменьшению повреждения клеток крови при прохождении ими через насос, а также обладает меньшим объёмом заполнения, что расширяет область применения насоса.
Дополнительная информация
Вклад авторов. М.С. Исаева — подготовка и выполнение экспериментального исследования, обработка и анализ результатов, подготовка и написание статьи; А.И. Петров — экспертное сопровождение эксперимента, сбор и анализ литературных источников, подготовка и написание статьи; Е.П. Банин — подготовка опытных образцов насоса, выполнение экспериментального исследования, анализ результатов, подготовка и написание статьи. Все авторы подтверждают соответствие своего авторства международным критериям ICMJE (все авторы внесли существенный вклад в разработку концепции, проведение исследования и подготовку статьи, прочли и одобрили финальную версию перед публикацией).
Конфликт интересов. Авторы декларируют отсутствие явных и потенциальных конфликтов интересов, связанных с проведённым исследованием и публикацией настоящей статьи.
Источник финансирования. Исследование и подготовка публикации проведены при частичной финансовой поддержке Госзадания НИЦ «Курчатовский институт» в части проведения исследования реологии рабочей жидкости.
Благодарности. За помощь в организации эксперимента и подготовке опытных образцов авторы благодарят Баракова В.Н., Исаева Н.Ю., Ленькова С.А.
Additional information
Authors’ contribution. M.S. Isaeva — preparation and implementation of the tests, processing and analysis of the results, preparation and writing of the article; A.I. Petrov — expert support of the tests, collection and analysis of literary sources, preparation and writing of the article; E.P. Banin — manufacturing of the pump prototypes, carrying out the tests, analyzing the results, preparing and writing an article. All authors made a substantial contribution to the conception of the work, acquisition, analysis, interpretation of data for the work, drafting and revising the work, final approval of the version to be published and agree to be accountable for all aspects of the work.
Competing interests. The authors declare that they have no competing interests.
Funding source. The research was partially supported by National Research Center “Kurchatov Institute” in terms of conducting working fluid rheology tests.
Acknowledgments: For assistance in organizing the tests and manufacturing the prototypes the authors thank V.N. Barakov, N.Yu. Isaev, S.A. Lenkov.
About the authors
Maria S. Isaeva
Bauman Moscow State Technical University
Author for correspondence.
Email: mariya.kuleshova.92@gmail.com
ORCID iD: 0000-0001-5954-2320
Junior Researcher of the EM 3.4 Research Institute of Power Engineering
Russian Federation, MoscowAlexey I. Petrov
Bauman Moscow State Technical University
Email: alexeypetrov@bmstu.ru
ORCID iD: 0000-0001-8048-8170
SPIN-code: 7172-0320
Cand. Sci. (Engineering), Associate Professor of the E10 “Hydromechanics, Hydraulic Machines and Hydropneumatic Automation” Department
Russian Federation, MoscowEvgeny P. Banin
National Research Center “Kurchatov Institute”
Email: evgbanin@gmail.com
ORCID iD: 0000-0002-7006-2990
SPIN-code: 4142-2918
Cand. Sci. (Engineering), Researcher of the Polymer Materials Laboratory of the Kurchatov Complex of NBICS Technologies
Russian Federation, MoscowReferences
- Salfity HV, Bottiger B, Cooter M, et al. Transfusion Requirements during Lung Transplantation: Elective VA ECMO vs. Off-Pump. The Journal of Heart and Lung Transplantation. 2021;40(4). doi: 10.1016/j.healun.2021.01.932
- Echieh C, Hooker R. Extracorporeal Membrane Oxygenation (ECMO) Use in Heart Transplantation. Intechopen; 2024. doi: 10.5772/intechopen.114126
- Crowley J. ECMO in the Trauma Patient: A Practical Approach. In: Degiannis, E., Doll, D., Velmahos, G.C. (eds) Penetrating Trauma. Cham: Springer; 2023. doi: 10.1007/978-3-031-47006-6_14
- Alibrahim O, Heard CMB. ECMO for the Neonate. In: Lerman, J. (eds) Neonatal Anesthesia. Cham: Springer; 2023. doi: 10.1007/978-3-031-25358-4_12
- Burgos CM, Frenckner B, Broman LM, et al. Crossing-borders: Experience with International ECMO transports. Research Square; 2024. doi: 10.21203/rs.3.rs-3826309/v1
- Qiu Y, Hilmi I. The applications of ECMO in liver transplant recipients. Transplant Rev (Orlando). 2024;38(1). doi: 10.1016/j.trre.2023.100816
- Bartlett RH. The Story of ECMO. Anesthesiology. 2024;140: 578–584 doi: 10.1097/ALN.0000000000004843
- Patel K, Ündar A. Centrifugal Pump Generates Superior Hemodynamic Performance Compared to a new Diagonal Blood Pump in Neonatal and Pediatric ECMO Circuits. World Journal for Pediatric and Congenital Heart Surgery. 2022;13(2):235–241. doi: 10.1177/21501351211057426
- Wang S, Moroi M, Kunselman A, et al. Evaluation of centrifugal blood pumps in term of hemodynamic performance using simulated neonatal and pediatric ECMO circuits. Artificial Organs. 2019;44(1). P. 16–27. doi: 10.1111/aor.13436
- Han D, Zhang J, He Ge, et al. Computational fluid dynamics-based design and in vitro characterization of a novel pediatric pump-lung. Artif. Organs. 2024;48:130–140. doi: 10.1111/aor.14665
- Li P, Mei X, Ge W, et al. A comprehensive comparison of the invitro hemocompatibility of extracorporeal centrifugal blood pumps. Front. Physiol. 2023;14. doi: 10.3389/fphys.2023.1136545
- Gao S, Wang W, Qi J, et al. Safety and Efficacy of a Novel Centrifugal Pump and Driving Devices of the OASSIST ECMO System: A Preclinical Evaluation in the Ovine Model. Frontiers in Medicine. 2021;8. doi: 10.3389/fmed.2021.712205
- Wu G, Xu Ch, Liu X, et al. Hydraulics and in vitro hemolysis test of a maglev implantable ventricular assist device. Journal of Mechanics in Medicine and Biology. 2017;17. doi: 10.1142/S0219519417400231
- Huang B, Guo M, Lu B, et al. Geometric Optimization of an Extracorporeal Centrifugal Blood Pump with an Unshrouded Impeller Concerning Both Hydraulic Performance and Shear Stress. Processes. 2021;9(7). doi: 10.3390/pr9071211
- Wu P, Huo J, Dai W, et al. On the Optimization of a Centrifugal Maglev Blood Pump Through Design Variations. Front. Physiol. 2021;12. doi: 10.3389/fphys.2021.699891
- Isaeva MS, Petrov AI, Banin EP. Razrabotka tsentrobezhnogo nasosa dlya sistem eks-trakorporalnoy membrannoy oksigenatsii s kolesom zakrytogo tipa. In: XXXV Mezhdunarodnaya innovatsionnaya konferentsiya molodykh uchenykh i studentov (MIKMUS — 2023): Sbornik trudov konferentsii, Moskva, 13–14 noyabrya 2023 goda. Moscow: IMash im AA Blagonravova RAN; 2023:309–315. EDN: WTDWLF
- Sukhanov DYa. Rabota lopastnykh nasosov na vyazkikh zhidkostyakh. Moscow: Mashgiz; 1952.
- CentriMag™ Blood Pump Instructions For Use. Zurich: Thoratec Switzerland GmbH; 2019. Accessed: 25.06.2024. Available from: https://www.accessdata.fda.gov/cdrh_docs/pdf17/P170038C.pdf.
- Conjunto para Circulação Extracorpórea MINI CEC. Instruções de Uso. Limeira: Cond Industrial Duas Barras; 2024. Accessed: 25.06.2024. Available from: https://cathcare.com.br/uploads/ifu/96-ifu-3b5810c44c2722c3709333eb2817a2fc7599c7d2.pdf
Supplementary files










