study of antiatherosclerotic and endothelioprotective activity of peptide agonists of EPOR/CD131 heteroreceptor
- Authors: Puchenkova O.A.1, Nadezhdin S.V.1, Soldatov V.O.2, Zhuchenko M.A.3, Korshunova D.S.2, Kubekina M.V.2, Korshunov E.N.2, Korokina L.V.1, Golubinskaya P.A.4, Kulikov A.L.1, Gureev V.V.1, Pokrovskiy V.V.1, Patrakhanov E.A.1, Lebedev P.R.1, Denisyuk T.A.5, Belyaeva V.S.1, Movchan E.A.1, Lepetukha E.I.1, Pokrovskiy M.V.1
-
Affiliations:
- Belgorod State National Research University
- Institute of Gene Biology of the Russian Academy of Sciences
- Russian Research Center “Kurchatov Institute” – State Science Research Institute of Genetics
- Clinical diagnostic laboratory Voronezh Regional Clinical Ophthalmological Hospital
- Kursk State Medical University
- Issue: Vol 8, No 2 (2020)
- Pages: 100-111
- Section: Articles
- URL: https://journals.eco-vector.com/2307-9266/article/view/111632
- DOI: https://doi.org/10.19163/2307-9266-2020-8-2-100-111
- ID: 111632
Cite item
Full Text
Abstract
Introduction. The drugs affecting a mitochondrial dysfunction, oxidative stresses, apoptosis and inflammation of the vascular wall, have a high potential for the prevention and treatment of atherosclerotic lesions. In this regard, the use of EPOR/CD131 heteroreceptor agonists which have a similar spectrum of pharmacological effects, is one of the promising strategies in the treatment of cardiovascular diseases.
Materials and Methods. The study was carried out on 68 C57Bl/6J male mice. Atherosclerosis was simulated in transgenic animals with an endotheliospecific knockdown of the Polg gene by simulating a balloon injury and keeping on a Western diet. Then, the studied drugs were injected once every 3 days at the dose of 20 μg/kg for 27 days. On the 28-th day, the animals were euthanized and the area of atherosclerotic plaques was assessed. The gene expression associated with the processes of inflammation, antioxidant protection, apoptosis, and angiogenesis was also determined in the aortic tissues. In addition, the endothelium protective effect of peptides on primary cultures of endothelial cells of wild and transgenic Polg-D257A mice was studied.
Results. No statistically significant effect of drugs on the area of lipid infiltration have been found. However, the studied peptides have significantly reduced the expression of proinflammatory genes (iNos, Icam1, Vcam1, Sele, Il6, Tnfa), the genes associated with angiogenesis (Vegfa, Kdr, and Hif1a), the expression of proapoptic factors; they decreased the Bax/Bcl-2 ratio by more than 1.5 times. In addition, when supplemented with H2O2 in vitro, peptides dose-dependently increased endothelial cell survival.
Conclusion. The erythropoietin-based peptides can be used to improve the functional state of the vascular wall against the background of atherosclerotic lesions and have a depressing effect on pathobiological processes associated with a mitochondrial dysfunction. In addition, the studied peptides have a significant endothelial protective effect in the induction of oxidative stress in vitro.
Full Text
INTRODUCTION
Atherosclerosis is a chronic disease of the walls of vascular walls. It is characterized by aseptic inflammation, impaired perfusion of organs and tissues, a tendency to thrombosis and a progressive dysfunction of vascular walls in the process of aging. In 1912, at the meeting of the Society of Russian Physicians in St. Petersburg, a prominent Russian scientist N.N. Anitschkow together with S.S. Khalatov presented the first results of his revolutionary research concerning the identification of the relationships between alimentary factors, blood cholesterol levels and atherosclerosis. The prize for the most outstanding research in the field of atherosclerosis is currently named after N.N. Anitschkow. Since the time of these works, atherosclerosis has been considered primarily as a disease caused by the accumulation of cholesterol in the vascular walls [1]. This concept is still the key to reducing a cardiovascular risk. However, it is now generally accepted that dyslipidemia is the only cause of atherosclerosis in familial hypercholesterolemia only. In other cases, atherosclerosis is the result of the combined effect of a number of pathogenetic factors; among them there is an endothelial dysfunction [2], hemodynamic overload [3–5], migration of smooth muscle cells [6], chronic sterile vascular inflammation and a number of other processes.
In the pathobiology of atherosclerosis, a special place is given to the disruption of a mitochondrial function [7]. Mitochondria are the main generator of reactive oxygen species (ROS) in the cell. For example, it is known that passing along the redox gradient of the electron transport chain, 1–3% of electrons prematurely react with oxygen in complexes I and III to form superoxide and other types of ROS [8]. Under various pathological conditions, including hypoxia and inflammation, their number may increase. In addition, mitochondria play not only a metabolic role in vascular cells, but also an important regulatory and signaling one [8].
It is also important that a mitochondrial dysfunction in other cells, including neurons and cardiomyocytes, leads to a decrease in their resistance to ischemia, which is expressed in an increase in deaths against the background of cerebral strokes, coronary artery occlusions, infarctions of kidneys and other organs. In connection with the indicated information, the pathogenetic cascade combining a mitochondrial dysfunction and atherosclerosis, is becoming a relevant target for pharmacological effects.
Agonists of the heterodimeric erythropoietin receptor EPOR/CD131 can be considered as a promising therapeutic approach for influencing the mitochondrial link in case of damage to the vascular wall. The first drug from this group was the 11-amino acid peptide pHBSP (pyroglutamate helix B surface peptide), discovered by a research group guided by Michael Brines, in 2008 [9]. Previously, this peptide was demonstrated to have a pronounced endothelium protective effect in modeling an L-NAME-induced endothelial dysfunction in rats [10, 11]. However, in this study, a side effect in the form of a prothrombotic action has also been identified. In this regard, an attempt to modernize this molecule by adding tripeptide motifs with an antiplatelet effect was made. As a result, two fundamentally new compounds combining cytoprotective [12] and antiplatelet effects (the unpublished data of the authers’ own), were obtained. Here, the reports on the results of studying the antiatherosclerotic activity of these compounds are presented.
THE AIM of the study was to evaluate the anti-atherosclerotic and endothelium protective properties of short peptide derivatives of erythropoietin.
MATERIALS AND METHODS
Animals and diet
C57Bl/6J mice were used as the main test system. The animals were donated to the Center for Collective Use of the Institute of Gene Biology, the Russian Academy of Sciences, and were kept in the preclinical research center of the Research Institute of Pharmacology of Living Systems. After passing a 14-day quarantine regime, the mice were stratified by weight and placed in separate conventional cages in accordance with their belonging to the experimental group. Before and during the study, the animals were kept in the rooms with artificial lighting (12h/12h mode) at the temperature of 21–23° C, the humidity of 38–50%; they had a free access to food and water. The number of the conclusion of the independent ethical committee is 06-09/02-1 dated 12/16/2019.
The study included 16 wild-type males and 52 males (25–30 g) with the Polg-D257A/Cdh5-CRE genotype against the background of C57Bl/6J. The genotype is associated with an endothelial-specific knockdown of the Polg gene encoding the polymerase gamma enzyme. Disturbances in the work of this enzyme lead to the development of a mitochondrial dysfunction [13, 14]. This line was created at the Genome editing center of the IGB RAS to study the effects of the oxidative stress and mitochondrial dysfunction. The line is characterized by the presence of a mutant form of the Polg gene under the control of the CAG promoter and a stop cassette flanked by LoxP sites (the unpublished data); the basic structure is described in the article [15]. After cross-breeding with Cdh5-CRE mice, endothelial-specific removal of the stop cassette and overexpression of the mutant Polg form in the endothelium occur. 2 weeks before the operation, the animals were put on a Western diet with 2% cholesterol.
The carried out work met the requirements of the Law of the Russian Federation “On the Protection of Animals from Cruelty” dated June 24, 1998, the rules of laboratory practice when conducting preclinical studies in the Russian Federation (GOST 3 51000.3-96 and GOST R 53434-2009), European Community directives (86/609 EU), the rules of the International Recommendations of the European Convention for the Protection of Vertebrate Animals used in experimental research (1997) and the Rules of laboratory practice adopted in the Russian Federation (order of the Ministry of Health of the Russian Federation No. 708 dated 29.08.2010).
Surgical procedures
The operation was performed on a heated table under a preparative microscope with anesthesia zolazepam (Virbac, Russia) 2.5 mg/100 g + xylazine (Biogel, Belarus) 2 mg/100 g intraperitoneally 2 mg/100 g intraperitoneally); after performing a median laparotomy, the animals were isolated at the level between the bifurcation and the discharge of the renal arteries.
Two clips were placed on the exposed vessel, the arterial wall was incised between them, and the initial section of the balloon catheter was inserted (Fig. 1). Then the proximal clip was removed and the catheter was advanced cranially by 10 mm.
Figure 1 – Schematic image and dimensions of the balloon catheter
After that, water was pumped into the catheter balloon for 40 seconds, inflating it to a diameter of 1.5 mm at the pressure of 10 bar. Finally, the catheter was removed, three stitches were applied to the incision in the aorta, and the wound was sutured. After the operation, the animals were placed in individual cages with sterilized paper bedding and watched until their awakening.
To alleviate the postoperative pain syndrome, within 3 days from the moment of the operation, the animals received Metamizole sodium (Pharmstandard-Leksredstva (Russia) with drinking water ad libitum at the concentration of 50 mg of the substance per 100 ml of water [16, 17].
Experiment design and drug administration
The animals with the Polg-D257ACdh5-CRE genotype were divided into 5 equal groups:
1) Intact – the animals without pathology modeling and without drug administration (n=12);
2) Control – the animals with pathology modeling (balloon injury + Western diet with a high cholesterol content), which, starting from the 1st day, were injected with water subcutaneously in the volume of 0.1 ml/10 g (n=12);
3) P-αB – the animals with pathology modeling, which, starting from the 1st day, were injected with the P-αB peptide (Pharmapark LLC) subcutaneously at the dose of 20 mcg /kg one time per 3 days for 27 days (total dose 180 mcg /kg, n =12);
4) P-αB1 – the animals with pathology modeling, which, starting from the 1st day, were injected with the P-aB1 peptide (Farmapark LLC) subcutaneously at the dose of 20 mcg/kg once every 3 days for 27 days (total dose 180 mcg /kg, n=12);
5) P-αB3 – the animals with pathology modeling, which, starting from the 1st day, were injected with the P-αB3 peptide (Farmapark LLC) subcutaneously at the dose of 20 mcg/kg once every 3 days for 27 days (total dose 180 mcg/kg, n=12) (Table 1).
Table 1 – Amino acid sequence of the tested compounds
Laboratory cipher | Amino acid sequence |
P-αB | ____QEQLERALNSS |
P-αB1 | RGDQEQLERALNSS |
P-αB3 | KGDQEQLERALNSS |
Measuring the atherosclerotic plaque area
Macroscopic examination of atherosclerotic aortic plaques was performed in four animals from each group. Briefly, on day 28 after the balloon trauma simulation, the animals were euthanized with an anesthesia overdose Zolazepam (Virbac, Russia) 10 mg/100 g intraperitoneally and the abdominal aorta was carefully removed from the bifurcation to the diaphragm level.
Then the preparations were longitudinally dissected, spread out on a foam substrate, washed with a 50% ethanol solution and immersed in an Oil Red O solution for 15 minutes. After that, the preparations were washed with distilled water, and digital photographs were taken. The ratio of the area of the atherosclerotic plaque (colored red) to the intact tissue was calculated using the imageJ program.
Quantitative polymerase chain reaction
After euthanasia, the aortic tissue in the area of the balloon injury was sampled from the other animals, homogenized and incubated for 10 minutes at 37°C in the “Extract RNA” solution. After lysing the sample in the reagent, it was subjected to chloroform cleansing, the supernatant sample was collected and washed with isopropyl alcohol and 70% ethyl alcohol. The concentration of the obtained RNA was measured using an IMPLEN NanoPhotometer spectrophotometer and adjusted to the concentration of 300 ng/µl.
A reverse transcription was performed using the MMLVRTSK021 set according to the manufacturer’s protocol (Evrogen). The mixture was carefully mixed and heated for 2 minutes at 70 °C to melt the secondary structures of RNA and then anneal the OligoDT primer. Then the samples were transferred to ice. The entire reaction mixture was incubated for 60 min at 40 °C in a T100™ ThermalCycler (Bio-Rad).
To stop the reaction, the mixture was heated at 70°C for 10 minutes. The resulting DNA was diluted to the concentration of 1 ng/μl. The level of the gene expression was assessed relative to the values of the reference Gapdh gene. The calculation of the expression at the specific point was made according to the following formula: Gene expression = [(Ct (Gapdh)/Ct (Gene of interest)] (Table 2).
Table 2 – Primers used for quantitative PCR
Gene | F-primer | R- primer | Product length (b.p.) | GenBank |
Trp53 (p53) | CGACTACAGTTAGGGGGCAC | CCATGGCAGTCATCCAGTCT | 95 | NM_001127233.1 |
Bcl2 | TCACCCCTGGTGGACAACAT | TTCCACAAAGGCATCCCAGC | 102 | NM_009741.5 |
Bax | CCCGAGCTGATCAGAACCAT | GAGGCCTTCCCAGCCAC | 96 | NM_007527.3 |
Pon2 | CTTCCACACTGCCACCTGAT | TCCTGGGAATTTTAGACCCACA | 105 | NM_000305.3 |
Sod2 | GGCTGGCTTGGCTTCAATAAG | AGCGGAATAAGGCCTGTTGTT | 95 | NM_013671.3 |
Vegfa (VEGF-A) | GGGCCTCCGAAACCATGAA | TGCAGCCTGGGACCACTTG | 95 | NM_001025250.3 |
Kdr(VEGFR) | TGCAGGAAACTACACGGTCA | CGATCTGGGGTGGGACATTC | 95 | NM_001363216.1 |
Nos2 (iNOS) | GCTCTAGTGAAGCAAAGCCCA | GGGATTCTGGAACATTCTGTGC | 103 | NM_001313921.1 |
Icam1 | CTCCGGACTTTCGATCTTCCA | CCTTCCAGGGAGCAAAACAAC | 98 | NM_010493.3 |
Vcam1 | TACTGTTTGCAGTCTCTCAAGC | CGTAGTGCTGCAAGTGAGGG | 101 | NM_011693.3 |
Sele (E-selectin) | GGGAAGAAGACTGTCCTAGCC | AGGGGAGCTGGCTTCCTAAG | 96 | XM_006496715.3 |
Hif1a | AGAACAACTTGAGCTGGCGT | TGGAGGTGAACTAGGCTCTGT | 103 | NM_001092957.1 |
Casp1 (Caspase-1) | TGTATTCACGCCCTGTTGGA | CCCTCAGGATCTTGTCAGCC | 100 | NM_009807.2 |
Casp3 (Caspase-3) | GCTTGGAACGGTACGCTAAG | CTTGCTCCCATGTATGGTCTT | 105 | NM_001284409.1 |
Il6 | GACTGGGGATGTCTGTAGCTC | TGGATGGAAGTCTCTTGCAG | 103 | NM_001314054.1 |
Tnfa (TNFa) | ACTGAACTTCGGGGTGATCG | ACTTGGTGGTTTGTGAGTGTG | 105 | NM_001278601.1 |
Gapdh | GGGTCCCAGCTTAGGTTCATC | CCCAATACGGCCAAATCCGT | 100 | NM_001289726.1 |
In vitro study of cytoprotective activity
In 8 intact mice (4 animals with the Polg-D257A/Cdh5-CRE genotype and 4 wild-type animals) after euthanasia under sterile conditions, the inferior vena cava was isolated and washed with a DPBS solution (Thermo FS) until the blood was completely removed. Then the vein was dissected to expose the inner surface and placed in a 0.2% collagenase solution in DPBS with the addition of 0.9 mM CaCl2, 0.493 mM MgCl2, 5.56 mM glucose, 0.327 mM sodium pyruvate, penicillin and streptomycin (Lonza), exposing the intima to enzymatic dissociation. To increase the efficiency of the endothelial cell separation, the inner layer was scraped off with sterile forceps. The collagenase solution containing the cells was collected in a 5 ml tube, the resulting endothelial cells were cultured in DMEM-F12 medium (Lonza) supplemented with 20 mM HEPES buffer (Lonza), 5 U/ml heparin, 200 μg/ml ECGF (Sigma-Aldrich), 10% fetal calf serum (Thermoscientific) at 37 °C in a humid atmosphere containing 5٪ CO2 [18].
Cell viability was measured by a quantitative colorimetric MTT analysis, which provides sensitive measurements of cellular metabolic statuses, in particular a mitochondrial status, which can reflect early redox changes. Briefly, exponentially growing cells were seeded in a 96-well plate at the density of 4×104 cells per well. Then the cells were treated with the studied peptides (P-aB, P-aB1, P-aB3 (LLC “Pharmapark”) in 3 concentrations – 5, 30, 50 μg/ml for 2 hours. After pretreatment, 200 μM H202 was added for 24 hours to the culture medium. The negative control cells were treated with H2О2 only, and the positive control cells were not treated with anything at all. After the incubation for 24 hours, 10 µl of MTT assay set reagent was added to each well and the cells were incubated for an additional hour. The absorption of each reaction product was measured using a microplate reader at the wavelength of 450 nm. The results are expressed as a percentage of MTT uptake in control cells, which was assumed to be 100% (Fig. 2).
Figure 2 – Primary monolayer of mouse endothelial cells (a 40× magnification)
Statistical processing
The data obtained were checked for a normal distribution using the Shapiro-Wilk test. The data with the normal distribution were compared with each other using One-way ANOVA with Tukey’s HSD post hoc test. The data with the abnormal distribution were compared using the Kruskal-Wallis test and the post-hoc analysis according to Dunn’s method.
RESULTS
Macroscopic assessment of plaque
Macroscopic analysis revealed that by the 28th day after the balloon injury modeling, the lipid deposits characteristic of atherosclerosis were visualized in all aortic preparations stained with Oil Red O.
At the same time, the degree of damage varied greatly within the groups, which made it difficult to interpret the results obtained. As a result, no significant differences between the control group and the groups using the tested drugs have been found, although a certain tendency to reduce the area was observed in the group using P-αB1 (Fig.3).
Figure 3 – Area of lipid deposits
Note: + is arithmetic mean
Quantitative PCR
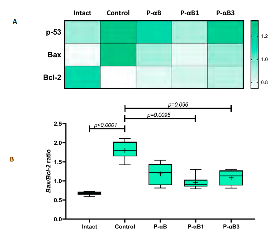
Using a molecular biological analysis of plaque tissues, it was found out that the studied peptides significantly reduce the expression of pro-apoptotic factors Bax, caspase-1 and caspase-3, and also slightly increase the expression of antiapoptic factor Bcl-2. As the heat map in Fig. 2 shows, the greatest effect was demonstrated by preparation P-αB1 (Fig.4A).
For an integral assessment of the pro-apoptotic orientation of tissues, the ratio of Bax expression to Bcl-2 was calculated. The average calculated Bax/Bcl-2 ratio was 0.67 in the group of the intact animals, 1.81 in the control group, 1.19 in the group treated with P-aB, 0.96 in the group treated with P-αB1 and 1.09 in the group treated with P-αB3 (Fig. 4B).
Figure 4 – Influence of the studied drugs on the relative expression of apoptosis markers
Note: A) Fig. A shows that against the background of the balloon damage modeling, the expression of the programmed cell death markers p53 and Bax increases significantly, and the expression of the anti-apoptotic marker Bcl-2 decreases. In almost all cases, the studied drugs return the expression of p53, Bax and Bcl to the level of the values in the intact group; B) Fig. B reflects the Bax/Bcl-2 ratio. The ratio characterizes the Pro-apoptic orientation of the cell: the higher it is, the more pronounced the activation of cascades of the programmed cell death. Fig. B shows that the P-αB1 peptide significantly reduces the Bax/Bcl-2 ratio.
+ is arithmetic mean; the statistical significance of the intergroup differences was detected using the Kruskal-Wallis test and the post-hoc analysis according to Dunne’s method.
Along with the anti-apoptotic effect, the studied drugs decreased the expression of the genes for inflammatory marker Nos2, and molecules of intercellular adhesion Icam1, Vcam1, and E-selectin, which had been increased against the background of trauma. The most pronounced effect was obtained in the group treated with the P-αB1 compound (Fig. 5).
Figure 5 – The expression level of genes Nos2 (iNOS), Icam1, Vcam1 and Sele (E-selectin)
In addition, the studied drugs reduced the expression of factors VEGF-A, VEGFR, and HIF-1a associated with angiogenesis (Fig. 6).
Figure 6 – Expression level of Vegfa (Vegf-A), Kdr (VEGFR-1), and HIF1alpha (HIF-1a)
Finally, against the background of modeling atherosclerosis in Polg-D257A/Cdh5-CRE mice, it was found out that an increase in the expression of the genes of the antioxidant enzymes Pon2, Sod2 occurs. At the same time, in comparison with the control, the expression of the antioxidant system genes was reduced against the background of the use of the tested peptides. As well as in assessing the effect of peptides on pro-inflammatory and pro-angiogenic genes, the most pronounced effect was obtained in the group treated with the P-αB1 compound (Fig. 7).
Figure 7 – Expression level of genes PON2, SOD2
In vitro study of cytoprotective activity
When carrying out the MTT test on primary cultures of endothelial cells, it was found out that even without the addition of H202, endothelial cells expressing Polg-D257A are characterized by a lower signal intensity in comparison with the wild type. During the incubation with H2O2, most of Polg-D257A endothelial cells lost their signal intensity almost five times from 80.60 (95% CI 77.29-84.94) to 15.79 (95% CI 11.97-25.42) (Fig. 8).
Figure 8 – Influence of H2O2 and tested peptides on the survival of endothelial cells with the Polg-D257A genotype
Note: † – relative to intact wild-type endothelial cells; * – p<0.0001 when compared with the group treated only with H202; # – p=0.0783 when compared with the group treated with supplemented P-αB 30 μg/ml
The studied drugs, dose-dependently increased the cell survival under the conditions of the oxidative stress induced by the addition of H2O2. Moreover, the figure shows that modified peptides (P-αB1 and P-αB3) had a more pronounced effect compared to the base compound (P-αB) when added in equivalent doses.
DISCUSSION
Peptide agonists of the EPOR/CD131 heteroreceptor are activators of erythropoietin-associated cytoprotection cascades. Compounds P-αB1 and P-αB3, along with primary anti-apoptotic properties, also have an antiplatelet activity, which is achieved through the introduction of the KGD and RGD tripeptide motifs. In this study, as an experimental model for studying the antiatherosclerotic activity of P-αB1 and P-αB3, transgenic mice were used; they had a mitochondrial dysfunction against the background of the tissue-specific knockdown of the Polg gene encoding gamma polymerase.
Polymerase gamma is an enzyme that plays a key role in mitochondrial DNA replication. This enzyme demonstrates a high accuracy of work and, at the same time, has its own 3’->5’ exonuclease activity, due to which it is possible to correct polymerization errors. The inclusion of “wrong” nucleotides without subsequent correction leads to the accumulation of mitochondrial mutations and a mitochondrial dysfunction [19]. As a result, there is an increase in the production of active radicals and damage to the cell. Homozygous animals with a systemic Polg knockout do not survive, therefore, in this experiment an endotheliospecific gene knockdown was used [20]. This model reflects one of the key links in the pathogenesis of atherosclerosis – an oxidative stress against the background of a mitochondrial dysfunction. Nevertheless, in any animal model of atherosclerosis, individual differences in timing and a degree of plaque formation are so great that very large groups of animals are needed to test drugs [21–23]. In this regard, a decision to standardize the process of atherogenesis through the induction of atherosclerosis by a balloon trauma and a Western diet was made.
In this model, atherosclerosis is associated with a traumatic effect on the vessel against the background of damage to endothelial cells due to a mitochondrial dysfunction. To confirm the in vivo effects, an in vitro study of the effectiveness of the selected peptides on a primary culture of endothelial cells Polg-D257A was also carried out. To enhance the oxidative stress, the cells in the presence of 200 μM H202 were incubated.
The studied peptides have demonstrated a pronounced endothelioprotective effect in the oxidative stimulus the in vitro model. It has also been found out that the drugs have a pronounced reducing effect on the expression of pro-apoptotic markers. These results are consistent with the concept of the basic mechanism of the action of the erythropoietin derivatives. When the cytoprotective heteroreceptor EPOR/CD131 is activated, Jak/STAT-mediated signal transmission to the nucleus occurs, leading to “survival” signaling by reducing the expression of Pro-apoptotic genes [24, 25]. Similar effects of erythropoietin receptors stimulation have previously been shown in modeling of atherosclerosis [26].
In addition, it has also been found out that the expression of the genes of the antioxidant system PON2 and SOD2 decreased in the treated animals compared to the control. The observed effect is associated with the fact that a strong oxidative and toxic stress develops in the vessels of the control group animals, stimulating an increase in the expression of genes of the antioxidant system. At the same time, against the background of the treatment, pathological phenomena in the cells were reduced, and the stimulating activity against the PON2 and SOD2 genes also decreased.
It has also been found out the peptide agonists EPOR/CD131 have a pronounced anti-inflammatory activity, reducing the expression of pro-inflammatory cytokines and intercellular adhesion molecules. Inflammation is an active factor in the development of atherosclerosis and it contributes to the destabilization of atherosclerotic plaques [27]. VCAM-1, ICAM-1, IL-6, TNF-a molecules play a special role in regulating inflammatory cascades and vascular infiltration by immune cells [28-30]. In general, the anti-inflammatory effect of erythropoietin and its derivatives is a widely studied phenomenon [31, 32]. Therefore, our data fit into the general idea of the pharmacodynamics of EPOR/CD131 agonists.
Further on, a decision to evaluate the effect of the studied peptides on the expression of genes encoding angiogenic factors was made. Angiogenic factors play an important role in the atherosclerosis progression, and erythropoietin is known to be able to stimulate angiogenesis [33]. In atherosclerosis areas, specific local conditions (relative anoxia, inflammation, oxidative stresses) increase the expression of classical and nonclassical angiogenic factors that promote the proliferation of pre-existing vasa vasorum [34]. Neovascularization increases the local flow of nutrients and O2 and thus may contribute to the progression and remodeling of plaques [35]. The obtained results demonstrated that, in contrast to erythropoietin, peptide agonists EPOR/CD131 exhibit antiangiogenic effects, at least against atherosclerotic plaques.
CONCLUSION
Previously, the following hypothesis had been formulated and confirmed: by adding the tripeptide motifs KGD and RGD, cytoprotective peptide derivatives of erythropoietin can acquire antiplatelet properties. In the course of this study two innovative peptides and a base compound were demonstrated. In this study, it has been demonstrated that two innovative peptides and a basic compound P-αB (pHBSP) protect endothelial cells in vitro; they also reduce pro-apoptotic, pro-inflammatory, and angiogenic activation of vascular wall cells in the model of atherosclerosis combined with a mitochondrial dysfunction. Such a pharmacological activity of the studied drugs seems to be very promising in combination with the information on the presence of an antiplatelet activity in them. Thus, the observed effects complement the information on the cardiovascular activity of innovative peptides P-αB1 and P-αB3, as well as new prospects in the development of peptides combining atheroprotective and antiplatelet properties.
FINANCIAL SUPPORT
This work is carried out with the support of the Ministry of Education and Science of Russia. Subsidy Agreement No. 05.605.21.0191 (unique agreement identifier RFMEFI60519X0191).
AUTHORS’ CONTRIBUTION
O.A. Puchenkova – administration of drugs to animals, collection of organs for molecular biological and macroscopic studies, article writing; S.V. Nadezhdin – isolation of the primary culture of endothelial cells, in vitro study of the cytoprotective activity of erythropoietin derivatives, article writing; V.O. Soldatov – article writing, development of the research design; M.A. Zhuchenko – peptide synthesis and literature analysis, article writing; D.S. Korshunova – isolation of RNA, conversion of RNA to cDNA, analysis of the expression of targeted genes; M.V. Kubekina – isolation of RNA, conversion of RNA into DNA, the analysis of the target genes; E.N. Korshunov – handling and caring for animals, preparation of the experimental group of animals; L.V. Korokina – article writing, developing a research design; A.L. Kulikov – pharmaceutical service, statistical processing and work with graphic materials; P.A. Golubinskaya – article writing, formalizing the bibliography; V.M. Pokrovsky – observation and care of animals, animal handling, administration of drugs; E.A. Patrakhanov – observation and care of animals, animal handling, administration of drugs; P.R. Lebedev – observation and care of animals, administration of drugs. Animal necropsy; V.V. Gureev – article writing, consulting on planning, methodology and implementation of the experiment, modeling of balloon injury; T.A. Denisyuk – statistical processing, article writing; V.S. Belyaeva – analysis of the graphic images and measurement of the area of atherosclerotic plaque, isolation of the primary culture of endothelial cells, study of the cytoprotective activity of erythropoietin derivatives in vitro; E.A. Movchan – isolation of the primary culture of endothelial cells, in vitro study of the cytoprotective activity of erythropoietin derivatives, preparation of aorta samples for graphic analysis; E.I. Lepetyukha – isolation of RNA, quantitative PCR; M.V. Pokrovskiy – creation of the idea, planning of research, consultation on the implementation of individual stages of experimental work, quality assurance.
CONFLICT OF INTEREST
The authors declare no conflict of interest.
About the authors
Olesya A. Puchenkova
Belgorod State National Research University
Author for correspondence.
Email: lesya759@yandex.ru
ORCID iD: 0000-0002-7657-0937
6th year student of the Medical Institute
Russian Federation, 85, Pobeda Str., Belgorod, 308015Sergey V. Nadezhdin
Belgorod State National Research University
Email: sergey_nadezhdin@yahoo.com
ORCID iD: 0000-0002-6249-2464
Candidate of Sciences (Biology), Researcher, the Research Institute of Pharmacology of Living Systems
Russian Federation, 85, Pobeda Str., Belgorod, 308015Vladislav O. Soldatov
Institute of Gene Biology of the Russian Academy of Sciences
Email: pharmsoldatov@gmail.com
ORCID iD: 0000-0001-9706-0699
Junior Researcher
Russian Federation, 34/5, Vavilov Str., Moscow, 119334Maxim A. Zhuchenko
Russian Research Center “Kurchatov Institute” – State Science Research Institute of Genetics
Email: maksim.zhuchenko@pharmapark.ru
Candidate of Sciences (Biology), the Head of the Sector
Russian Federation, 1, Academician Kurchatov Square, Moscow, 123098Diana S. Korshunova
Institute of Gene Biology of the Russian Academy of Sciences
Email: korshunova@genebiology.ru
ORCID iD: 0000-0002-0259-7045
Junior Researcher
Russian Federation, 34/5, Vavilov Str., Moscow, 119334Marina V. Kubekina
Institute of Gene Biology of the Russian Academy of Sciences
Email: marykumy@gmail.com
ORCID iD: 0000-0002-8834-1111
postgraduate student, junior researcher at the Center for High-Precision Editing and Genetic Technologies for Biomedicine
Russian Federation, 34/5, Vavilov Str., Moscow, 119334Evgeny N. Korshunov
Institute of Gene Biology of the Russian Academy of Sciences
Email: korshunov@genebiology.ru
ORCID iD: 0000-0001-8170-4656
The head of the vivarium, junior researcher
Russian Federation, 34/5, Vavilov Str., Moscow, 119334Liliya V. Korokina
Belgorod State National Research University
Email: korokina@mail.ru
ORCID iD: 0000-0001-5402-0697
Candidate of Sciences (Medicine), Assistant Professor, Researcher, the Research Institute of Pharmacology of Living Systems
Russian Federation, 85, Pobeda Str., Belgorod, 308015Polina A. Golubinskaya
Clinical diagnostic laboratory Voronezh Regional Clinical Ophthalmological Hospital
Email: polinapigeon@gmail.com
ORCID iD: 0000-0002-1765-9042
The Head of the Clinical Diagnostic Laboratory
Russian Federation, 22, Revolution of 1905 Str., Voronezh, 394030Aleksandr L. Kulikov
Belgorod State National Research University
Email: alex-3031@yandex.ru
Researcher, Research Institute of Pharmacology of Living Systems
Russian Federation, 85, Pobeda Str., Belgorod, 308015Vladimir V. Gureev
Belgorod State National Research University
Email: produmen@yandex.ru
ORCID iD: 0000-0003-1433-1225
Doctor of Sciences (Medicine), Associate Professor, Professor of the Department of Pharmacology and Clinical Pharmacology
Russian Federation, 85, Pobeda Str., Belgorod, 308015Vladimir V. Pokrovskiy
Belgorod State National Research University
Email: vmpokrovsky@yandex.ru
ORCID iD: 0000-0003-3138-2075
5th year student of the Medical Institute
Russian Federation, 85, Pobeda Str., Belgorod, 308015Evgeniy A. Patrakhanov
Belgorod State National Research University
Email: pateval7@gmail.com
ORCID iD: 0000-0002-8415-4562
5th year student of the Medical Institute
Russian Federation, 85, Pobeda Str., Belgorod, 308015Petr R. Lebedev
Belgorod State National Research University
Email: Artkeit@yandex.ru
ORCID iD: 0000-0001-9102-3360
5th year student of the Medical Institute
Russian Federation, 85, Pobeda Str., Belgorod, 308015Tatyana A. Denisyuk
Kursk State Medical University
Email: denitatyana@yandex.ru
ORCID iD: 0000-0003-0974-4818
Doctor of Sciences (Medicine), Associate Professor of the Department of Pharmacology
Russian Federation, 3, Karl Marx Str., Kursk, 305041Veronika S. Belyaeva
Belgorod State National Research University
Email: nika.beliaeva@yandex.ru
ORCID iD: 0000-0003-2941-0241
post-graduate student of the Department of Pharmacology and Clinical Pharmacology
Russian Federation, 85, Pobeda Str., Belgorod, 308015Evgeniya A. Movchan
Belgorod State National Research University
Email: ms.movchan@mail.ru
ORCID iD: 0000-0002-6244-2563
postgraduate student of the Department of Pharmacology and Clinical Pharmacology
Russian Federation, 85, Pobeda Str., Belgorod, 308015Elizaveta I. Lepetukha
Belgorod State National Research University
Email: lisitsa007@bk.ru
postgraduate student of the Department of Pharmacology and Clinical Pharmacology
Russian Federation, 85, Pobeda Str., Belgorod, 308015Mikhail V. Pokrovskiy
Belgorod State National Research University
Email: mpokrovsky@yandex.ru
ORCID iD: 0000-0002-2761-6249
Doctor of Sciences (Medicine), Professor of the Department of Pharmacology and Clinical Pharmacology, the Head of the Research Institute of Pharmacology of Living Systems
Russian Federation, 85, Pobeda Str., Belgorod, 308015References
- Zárate A. Cholesterol and atherosclerosis. Historical considerations and treatment / A. Zarate, L. Manuel-Apolinar, L. Basurto, E. De la Chesnaye, I. Saldívar // Arch Cardiol Mex. – 2016; – V. 86, №2. – P. 163–169. doi: 10.1016/j.acmx.2015.12.002.
- Davignon J. Role of endothelial dysfunction in atherosclerosis / J. Davignon, P. Ganz // Circulation. – 2004. – V. 109, №23. – P. 27–32. doi: 10.1161/01.CIR.0000131515.03336.f8.
- Davies P.F. Hemodynamic shear stress and the endothelium in cardiovascular pathophysiology / P.F. Davies // Nature Clinical Practice Cardiovascular Medicine. – 2009. – V. 6, №1. – P. 16–26. doi: 10.1038/ncpcardio1397.
- Sorokin A. The cardio-ankle vascular index and ankle-brachial index in young Russians / A. Sorokin, K. Kotani, O. Bushueva, N. Taniguchi, V. Lazarenko // Journal of atherosclerosis and thrombosis. -2015. – V. 22, №2. – P. 211–218. doi: 10.5551/jat.26104.
- Polonikov A. The contribution of CYP2C gene subfamily involved in epoxygenase pathway of arachidonic acids metabolism to hypertension susceptibility in Russian population / A. Polonikov, M. Bykanova, I. Ponomarenko, S. Sirotina, A. Bocharova, K. Vagaytseva, Y. Shvetsov // Clinical and Experimental Hypertension. – 2017. – V. 39, №4. – P. 306–311. doi: 10.1080/10641963.2016.1246562.
- Bennett M.R. Vascular Smooth Muscle Cells in Atherosclerosis / M.R. Bennett, S. Sinha, G.K. Owens // Circulation Research. – 2016. – V. 118, №4. – P. 692–702. doi: 10.1161/CIRCRESAHA.115.306361.
- Kattoor A.J. Oxidative Stress in Atherosclerosis / A.J. Kattoor, N.V.K. Pothineni, D. Palagiri, J.L. Mehta // Current Atherosclerosis Reports. – 2017. – V. 19, №11. – 42 p. doi: 10.1007/s11883-017-0678-6.
- Quintero M. Mitochondria as signaling organelles in the vascular endothelium / M. Quintero, S.L. Colombo, A. Godfrey, S. Moncada // Proceedings of the National Academy of Sciences of the United States of America. – 2006. – V. 103. – P. 5379–5384. doi: 10.1073/pnas.0601026103.
- Brines M. Nonerythropoietic, tissue-protective peptides derived from the tertiary structure of erythropoietin / M. Brines, N.S. Patel, P. Villa, et al // Proceedings of the National Academy of Sciences of the United States of America. – 2008; – V. 105, №31. – P. 10925–10930. doi: 10.1073/pnas.0805594105.
- Korokin M.V. 11-amino acid peptide imitating the structure of erythropoietin α-helix b improves endothelial function, but stimulates thrombosis in rats / M.V. Korokin, V.O. Soldatov, A.A. Tietze, M.V. Golubev, A.E. Belykh, M.V. Kubekina, O.A. Puchenkova, T.A. Denisyuk, V.V. Gureyev, T.G. Pokrovskaya, O.S. Gudyrev, M.A. Zhuchenko, M.A. Zatolokina, M.V. Pokrovskiy // Pharmacy & Pharmacology. – 2019. – V. 7, №6, – P. 312–320. Russian. doi: 10.19163/2307-9266-2019-7-6-312-320.
- Korokin M. Erythropoietin Mimetic Peptide (pHBSP) Corrects Endothelial Dysfunction in a Rat Model of Preeclampsia / M. Korokin, V. Gureev, O. Gudyrev, I. Golubev, L. Korokina, A. Peresypkina, T. Pokrovskaia, G. Lazareva, V. Soldatov, M. Zatolokina, A. Pobeda, E. Avdeeva, E. Beskhmelnitsyna, T. Denisyuk, N. Avdeeva, O. Bushueva, M. Pokrovskii // International Journal of Molecular Sciences. – 2020. – V. 21. – 6759 p. doi: 10.3390/ijms21186759.
- Golubev I.V. Preclinical study of innovative peptides mimicking the tertiary structure of the α-helix B of erythropoietin / I.V. Golubev, V.V. Gureev, M.V. Korokin, M.A. Zatolokina, E.V. Avdeeva , A.V. Gureeva, I.S. Rozhkov, E.A. Serdyuk, V.A. Soldatova // Research Results in Pharmacology. – 2020. –V. 6, №2. – P. 85–96. doi: 10.3897/rrpharmacology.6.55385.
- Trifunovic A. Premature ageing in mice expressing defective mitochondrial DNA polymerase / A. Trifunovic A, A. Wredenberg A, M. Falkenberg, et al // Nature. – 2004. – V. 429. – P. 417–423. doi: 10.1038/nature02517.
- Kujoth G.C. Mitochondrial DNA mutations, oxidative stress, and apoptosis in mammalian aging / G.C. Kujoth, A. Hiona, T.D Pugh, et al. // Science. – 2005. – V. 309, №5733. – P. 481–484. doi: 10.1126/science.1112125.
- Zvartsev R.V. Neonatal Lethality and Inflammatory Phenotype of the New Transgenic Mice with Overexpression of Human Interleukin-6 in Myeloid Cells / R.V. Zvartsev, D.S. Korshunova, E.A. Gorshkova, et al. // Doklady Biochemistry and Biophysics. – 2018; – V. 483, №1. – P. 344–347. doi: 10.1134/S1607672918060157.
- Stubbendorff M. Inducing myointimal hyperplasia versus atherosclerosis in mice: an introduction of two valid models / M. Stubbendorff, X. Hua, T. Deuse, et al. // Journal of Visualized Experiments. – 2014. – V. 87. – 51459 p. doi: 10.3791/51459.
- Tediashvili G. Balloon-based Injury to Induce Myointimal Hyperplasia in the Mouse Abdominal Aorta / G. Tediashvili, D. Wang, H. Reichenspurner, T. Deuse, S. Schrepfer // Journal of Visualized Experiments. – 2018. – V. 132. – P. 56477. doi: 10.3791/56477.
- Molina-Sánchez P. Isolation of Mouse Primary Aortic Endothelial Cells by Selection with Specific Antibodies. Methods in Mouse Atherosclerosis. Methods in Molecular Biology / P. Molina-Sánchez P, V. Andrés // Humana Press, New York, NY. – 2015; – V. 1339. – P. 111–117. doi: 10.1007/978-1-4939-2929-0_7.
- Stumpf J.D. Clinical and molecular features of POLG-related mitochondrial desease / J.D. Stumpf, R.P. Saneto, W.C. Copeland // Cold Spring Harbor Perspectives in Biology. – 2013. – V. 5, №4. – a011395 p. doi: 10.1101/cshperspect.a011395.
- Kusov P. Developing Novel Transgenic Mice Model Of Atherogenesis With Conditional Oxidative Stress By Introduction Of Epithelium-Specific Inducible Mitochondrial Polg With Mutagenic Activity / P. Kusov, A. Deikin // Atherosclerosis. -2019. – V. 287. – 99 p. doi: 10.1016/j.atherosclerosis.2019.06.287.
- Poznyak A.V. Animal models of human atherosclerosis: current progress / A.V. Poznyak, Y.Y. Silaeva, A.N. Orekhov, A.V. Deykin // Brazilian Journal of Medical and Biological Research. – 2020. –V. 53, №6. – 9557 p. doi: 10.1590/1414-431x20209557.
- Mushenkova N.V. Modelling of atherosclerosis in genetically modified animals / N.V. Mushenkova, V.I. Summerhill, Y.Y. Silaeva, A.V. Deykin, A.N. Orekhov // American Journal of Translational Research. – 2019. – V. 11, №8. – P. 4614–4633.
- Volobueva A.S. An update on the tools for creating transgenic animal models of human diseases – focus on atherosclerosis / A.S. Volobueva, A.N. Orekhov, A.V. Deykin // Brazilian Journal of Medical and Biological Research. – 2019. – V. 52, №5. – 8108 p. doi: 10.1590/1414-431X20198108.
- Bittorf T. Requirement for JAK2 in erythropoietin-induced signalling pathways / T. Bittorf, R. Jaster, B. Lüdtke, B. Kamper B, J. Brock // Cell Signal. – 1997. –V. 9, №1. – P. 85–89. doi: 10.1016/s0898-6568(96)00121-0.
- Peng B. Erythropoietin and its derivatives: from tissue protection to immune regulation / B. Peng, G. Kong, C. Yang, et al. // Cell Death Dis. – 2020. –V. 11, №2. – 79 p. doi: 10.1038/s41419-020-2276-8.
- Warren J.S. Recombinant human erythropoietin suppresses endothelial cell apoptosis and reduces the ratio of Bax to Bcl-2 proteins in the aortas of apolipoprotein E-deficient mice / J.S. Warren, Y. Zhao, R. Yung, A. Desai // Journal of Cardiovascular Pharmacology. – 2011. – V. 57, №4. – P. 424–433. doi: 10.1097/fjc.0b013e31820d92fd.
- Bäck M. Inflammation and its resolution in atherosclerosis: mediators and therapeutic opportunities / M. Bäck, A. Yurdagul, I. Tabas, et al. // Nature Reviews Cardiology. – 2019 – V. 16, №7. – P. 389–406. doi: 10.1038/s41569-019-0169-2.
- Ley K. VCAM-1 is critical in atherosclerosis / K. Ley K, Y. Huo // The Journal of Clinical Investigation. – 2001. – V. 107, №10. – P. 1209–1210. doi: 10.1172/JCI13005.
- Fatkhullina A.R. The Role of Cytokines in the Development of Atherosclerosis / A.R. Fatkhullina, I.O. Peshkova, E.K. Koltsova // Biochemistry (Mosc). – 2016. – V. 81, №11. – P. 1358–1370. Russian. doi: 10.1134/S0006297916110134.
- Fotis L. Intercellular adhesion molecule (ICAM)-1 and vascular cell adhesion molecule (VCAM)-1 at the early stages of atherosclerosis in a rat model / L. Fotis, G. Agrogiannis, I.S. Vlachos, A. Pantopoulou, A. Margoni, M. Kostaki, C. Verikokos, D. Tzivras, D.P. Mikhailidis, D. Perrea // In Vivo. – 2012. –V. 26. – P. 243–250.
- Nairz M. The pleiotropic effects of erythropoietin in infection and inflammation / M. Nairz, T. Sonnweber, A. Schroll, I. Theurl, G. Weiss // Microbes Infect. – 2012. – V. 14, №3. – P. 238–246. doi: 10.1016/j.micinf.2011.10.005.
- Liu Y. Nonerythropoietic Erythropoietin-Derived Peptide Suppresses Adipogenesis, Inflammation, Obesity and Insulin Resistance / Y. Liu, B. Luo, R. Shi, et al. // Scientific Reports. – 2015. – V. 5. – 15134 p. doi: 10.1038/srep15134.
- Kimáková P. Erythropoietin and Its Angiogenic Activity / Kimáková P, Solár P, Solárová Z, Komel R, Debeljak N // International Journal of Molecular Sciences. – 2017. – V. 18, №7. – 1519 p. doi: 10.3390/ijms18071519.
- Michel J.B. Pathology of human plaque vulnerability: mechanisms and consequences of intraplaquehaemorrhages / J.B. Michel, J.L. Martin-Ventura, A. Nicoletti, B. Ho-Tin-Noe // Atherosclerosis. – 2014. – V. 234, №2. – P. 311–319. doi: 10.1016/j.atherosclerosis.2014.03.020.
- Camaré C. Angiogenesis in the atherosclerotic plaque / C. Camaré, M. Pucelle, A. Nègre-Salvayre, R. Salvayre // Redox Biology. – 2017. – V. 12. – P. 18–34. doi: 10.1016/j.redox.2017.01.007.
Supplementary files











