Chemical constituents of Geum rivale L. and their biological activity
- Authors: Orlova A.A.1, Povydysh M.N.1
-
Affiliations:
- Saint Petersburg State Chemical Pharmaceutical University
- Issue: Vol 8, No 2 (2020)
- Pages: 133-146
- Section: Articles
- URL: https://journals.eco-vector.com/2307-9266/article/view/111639
- DOI: https://doi.org/10.19163/2307-9266-2020-8-2-133-146
- ID: 111639
Cite item
Full Text
Abstract
The aim of the study is to review the literature data on the chemical constituents of arial and underground parts of Geum rivale L. (Rosaceae) and the pharmacological activity of its extracts and individual compounds.
Materials and methods. The study was carried out using Internet resources (Google Scholar, PubMed) and library databases (e-Library, Scopus, Web of Science). The main research methods were a review and analysis of the literature data on the topic for the period from 1958 up to the present.
Results. For the period from 1958 up to the present more than 80 components in the arial and underground parts of G. rivale have been identified. Among them there were components of the essential oil, phenolic acids and coumarins, aglycones of flavonoids, including luteolin, apigenin, quercetin and kaempferol, as well as a number of their glycosides and glucuronides, ellagitannins (hemin A, B, C, D, pedunculagin, stachiurin/casuarinin, tellimagrandin I). Some aspects of the pharmacological activity of total extracts and individual secondary metabolites of G. rivale have been studied, anti-inflammatory, antioxidant, antimicrobial, antiviral activities have been experimentally confirmed.
Conclusion. The analysis of the literature data showed that a further study of the composition of metabolites of G. rivale and their pharmacological activity is an urgent task, the solution of which will expand the range of use of this plant in medical practice and consider G. rivale as a promising source of pharmaceutical substances for the creation of new drugs and biologically active additives.
Full Text
INTRODUCTION
The genus Geum L. (Rosaceae) is represented by 58 species [1], about 20 of which grow on the territory of the Russian Federation [2-5]. G. rivaleis is a perennial plant, the distribution area includes most of Europe up to the Ural Mountains, with the exception of the West of France, Spain and the Mediterranean region, as well as Western Siberia, Central Asia, some regions of North America [6, 7].
G. rivale is widely used in folk medicine for prevention and treatment of gastrointestinal diseases, including lack of appetite and diarrhea, malaria [8], for febrile diseases, muscle pain, hemorrhoids, for inflammatory diseases of the mucous membranes and skin integuments, as an antiseptic and astringent agent [9, 10]. In homeopathy, it is used for inflammatory diseases of the bladder and urinary tract, as well as for arthritis [9, 11, 12].
To date, a number of studies have been carried out to study the qualitative and quantitative composition of biologically active substances in the arial and underground parts of G. rivale, and some aspects of the pharmacological activity of extracts and individual groups of biologically active substances have been experimentally revealed.
The study of widespread plants as sources of pharmaceutical substances for the production of medicines and biologically active additives is an urgent task, since they show high efficiency along with low toxicity and allergenicity.
Based on this, the aim of the study was to review the literature data on the chemical composition of biologically active constituents of G. rivale and their pharmacological activity.
MATERIALS AND METHODS
The Internet resources (Google Scholar, PubMed) and library databases (e-Library, Scopus, Web of Science) as sources of information were used. The main research methods were the review and analysis of the literature data on the research topic for the period from 1958 up to the present.
RESULTS
Chemical components of Geum rivale L.
To date, a lot of data have been obtained on various groups of secondary metabolites contained in the arial and underground parts of the G. rivale. Thus, using the method of gas chromatography combined with a mass spectrometric detector (GC-MS), the component composition of the essential oil has been studied in sufficient detail [13, 14]. In the experiments, the essential oil was isolated from various parts of plant material by hydrodistillation. The components of a complex mixture of the essential oil were separated by gas chromatography with a flame ionization detector (GC-FID). The component identification was based on a comparison of mass spectra of the essential oil components with mass spectra of commercial libraries. The identification of isomers was based on a comparison of the retention index (RI) with the literature data. In the course of the experiment, more than 80 components were found in the samples of the essential oil of the arial and underground parts of G. rivale (compounds 51–143 in Table 1). The dominant components in G. rivale essential oil are 3-octen-1-ol (33.9%) and 3-hexenol (16.2%). In addition, the essential oil contains a large amount of sesquiterpenoids (32 compounds), a certain amount of monoterpenoids has been found [14]. Vollmann, C. et al. (1995) conducted a comparative analysis of the qualitative and quantitative composition of the essential oil of various species of the genus Geum L. As a result of the experiment, all species of the genus were divided into 2 large groups: the first group comprised the species containing a high percentage of eugenol (66–92%) and a low content pinene derivatives – G. urbanum, G. fauriei Levl. and G. macrophyllum Willd.; the second group comprised the species with a high content of pinene derivatives and a low content of eugenol (0.3–4.1%) – G. rivale L., G. rhodopeum Stoj. et Stefanov, G. bulgaricum Pancic, G. borisii Kellerer ex Siindermann, and G. chiloense Balb. [13].
Table 1 – Biologically active compounds of G. rivale
№ | Compounds | Morphological parts | References |
Triterpenoids (Ursanes) | |||
1 | α-amyrin | Arial part | 14, 15 |
2 | Ursolic acid | ||
3 | Euskafic acid | ||
4 | Euskafic acid 28-glucoside | 15 | |
5 | Tormentic acid | 14, 15 | |
6 | Nigaishigoside F1 | 14, 15, 22, 67 | |
Other Triterpenoids | |||
7 | Oleanolic acid | Arial part | 14, 15 |
8 | Betulin | ||
9 | Epifriedelonol | ||
10 | Cescropic acid | 14, 15, 22, 67 | |
Phenylpropanoids | |||
11 | Chlorogenic acid | Arial and underground parts | 14, 15, 17, 45 |
12 | 6-O-caffeyl-1-O-methyl-β-D-glucopyranose | 14, 15, 22, 67 | |
13 | p-hydroxybenzoic acid | 16 | |
14 | Caffeic acid | Arial parts | 14, 15, 17, 45 |
15 | Lilac acid | Arial and underground parts | 16, 17 |
16 | p-coumaric acid | Arial parts | 16, 45 |
17 | Ferulic acid | Arial and underground parts | 16, 17 |
18 | Sinapic acid | 16, 17 | |
19 | Skopoletin | 14, 15, 16 | |
20 | Esculetin | ||
21 | Decursin | ||
Other constituents | |||
22 | Gallic acid | Arial and underground parts | 14, 15, 16, 19, 23, 45, 67 |
23 | Protocatechuic acid | 14, 15, 16 | |
24 | Ellagic acid | 14, 15, 16, 19, 45 | |
25 | Salicylic acid | 14, 15, 16 | |
26 | Vanillin | Arial parts | 14, 16, 67 |
27 | 1-O-protocatechioyl glucose | Arial parts | 22 |
28 | Sucrose | Arial parts | |
29 | 3,3’-dimethoxy-4-sulfoxyellagic acid potassium salt | Underground parts | 23 |
30 | 3,3 ‘, 4’-trimethoxy-4-sulfoxyellagic acid potassium salt | ||
Flavonoids | |||
31 | Luteolin | Arial part | 14, 15 |
32 | Luteolin 7-O-glucoside | ||
33 | Apigenin | ||
34 | Apigenin 7-O-glucoside | ||
35 | Quercetin | ||
36 | Quercetin 3-O-rhamnoside | ||
37 | Quercetin 3-O-glucoside | ||
38 | Kaempferol | ||
39 | Kaempferol 3-O-glucoside | ||
40 | Kaempferol 3-O-arabinoside | ||
41 | Tiliroside | ||
42 | Quercetin 3-O-glucuronide | ||
43 | Kaempferol 3-O-glucuronide | ||
Ellagitannins | |||
44 | Gemin A | Arial part | 20, 21 |
45 | Pedunculagin | 21 | |
46 | Stachiurin / casuarinin | ||
47 | Tellimagrandin 1 | ||
48 | Gemin B | ||
49 | Gemin C | ||
50 | Gemin D | ||
Essential oil constituents | |||
51 | (E) -2-hexenal | Arial part | 13, 14 |
52 | (Z), (E) -3-hexene-1-ol | ||
53 | Hexanol | ||
54 | Heptanol | ||
55 | 6-methyl-5-hepten-2-ol | ||
56 | (Z) -3-hexenyl acetate | ||
57 | α-pellandrene | ||
58 | β-pellandrene | ||
59 | (E) -β-ocimene | ||
60 | (E) -2-octene-1-ol | ||
61 | Octanol | ||
62 | Terpinolen | ||
63 | Nonanal | ||
64 | Nonanol | ||
65 | Terpinen-4-ol | ||
66 | Deanal | ||
67 | β-cyclocitral | ||
68 | Dodecane | ||
69 | (Z) -3-hexenyl-2-methylbutanoate | ||
70 | (Z) -3-hexenyl isovalerate | ||
71 | Tridecan | ||
72 | (Z) -3-hexenyl crucible | ||
73 | δ-element | ||
74 | α-cubeben | ||
75 | β-damascenone | ||
76 | α-ylangen | ||
77 | β-bourbonene | ||
78 | β-cubeben | ||
79 | β-caryophyllene | ||
80 | β-copen | ||
81 | α-humulene | ||
82 | Alloaromadendren | ||
83 | β-ionone | ||
84 | γ-muurelen | ||
85 | Germacren D | ||
86 | (Z, E) – α-farnesene | ||
87 | α-muurelen | ||
88 | (E, E) – α-farnesene | ||
89 | γ-cadinen | ||
90 | α-calacoren | ||
91 | Trans-nerolidol | ||
92 | (Z) -3-hexenyl benzoate | ||
93 | Caryophyllene oxide | ||
94 | Viridiflorol | ||
95 | Humulene epoxy II | ||
96 | Farnesene epoxy | ||
97 | Cubenol | ||
98 | T-muurolol | ||
99 | α-cadinol | ||
100 | Pentadecanal | ||
101 | Heptadecan | ||
102 | Benzyl benzoate | ||
103 | Octadecan | ||
104 | Fitol | ||
105 | Tricosan | ||
106 | Tetracosan | ||
107 | Hexacosan | ||
108 | (Z) -hexenyl butyrate | ||
109 | 1-zopropylcyclohex-1-ene | Underground part | 13, 14 |
110 | Trans-linalool oxide | ||
111 | Trans-myrtanal | ||
112 | Palmitic acid | ||
113 | Oct-1-en-ol | ||
114 | α-guayenne | ||
115 | Cumin aldehyde | ||
116 | Nerol | ||
117 | trans-anethole | ||
118 | Geraniol | ||
119 | 2-methoxy-6-vinylphenol | ||
120 | Isoeugenol | ||
121 | Eugenol | ||
122 | Perilla aldehyde | ||
123 | Fellandral | ||
124 | Perilla alcohol | ||
125 | Mirtenal | ||
126 | trans-pinocarveol | ||
127 | Camphene | Arial and underground part | 13, 14 |
128 | 1-octene-3-ol | ||
129 | 3-octanol | ||
130 | Limonen | ||
131 | Cis-linalool oxide | ||
132 | Camphor | ||
133 | Citronellol | ||
134 | p-cymene | ||
135 | δ-cadinen | ||
136 | α-copen | ||
137 | cis-myrtanol | ||
138 | trans-myrtanol | ||
139 | α-terpineol | ||
140 | Mirtenol | ||
141 | Linalool | ||
142 | Nopinone | ||
143 | cis-myrtanal | ||
Table 2 – Pharmacological effects of the main groups of constituents of G. rivale
Pharmacological effect | Extraction type or group of biologically active substances | References |
Anti-inflammatory activity due to PAF-induced exocytosis | Total water extract | 24, 25, 26 |
Antioxidant activity (DPPH-, FRAP-tests, linoleic acid peroxidation test) | Polyphenolic compounds | 27 |
Antioxidant activity (DPPH and ABTS tests) | Phenolic acids and proanthocyanidins | 33 |
Antimicrobial activity: | 14, 15, 38, 68 | |
a) antimicrobial activity against gram-positive and gram-negative microorganisms | Total polar extracts, triterpene fraction, flavonoid fraction, tannin fraction, ursolic acid, caffeic acid | |
b) antifungal activity | Total polar extract, triterpene fraction, caffeic acid | |
c) Candida albicans | Chloroform extract, total polar extracts, triterpene fraction, caffeic acid | |
d) Staphilococcus aureus, Pseudomonas aeruginosa | Triterpene fraction, quercetin, kaempferol, caffeic acid, gallic acid | |
Antiviral activity (influenza virus types A and B) | Ethanol extracts from the arial part | 40 |
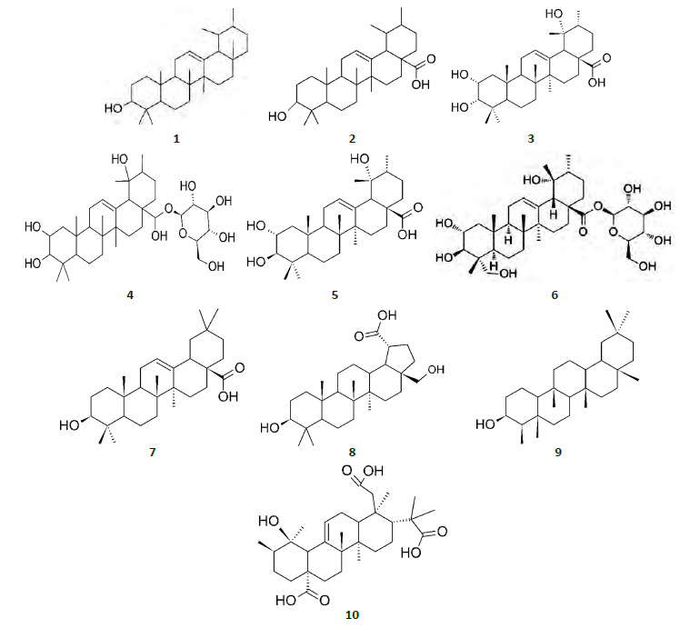
Panizzi et al. (2000) analyzed the composition of triterpenoids in the arial part of G. rivale in the extracts obtained by extracting raw materials in a Soxhlet apparatus with n-hexane, chloroform, and an alcohol-chloroform mixture (1: 9). The isolation of compounds in pure form was carried out by sequential purification on Sephadex, silica gel, thin layer chromatography and reverse phase chromatography. The structure was confirmed using IR and UV spectroscopy, as well as 1H and 13C NMR methods. The compounds identified during the study are shown in Fig. 1 and numbered 1-10 in Table 1 [15, 16].
Figure 1 – Triterpenoids of the arial part of G. rivale (Panizzi, L. et al., 2000)
Note: 1 – α-amyrin; 2 – ursolic acid; 3 – euskafic acid; 4 – euskafic acid 28-glucoside; 5 – tormentic acid; 6 – nigaishigoside F1; 7 – oleic acid; 8 – betulin; 9 – epifriedelonol; 10 – cescropic acid
The most extensively represented group of secondary metabolites in the arial and underground parts of G. rivaleis are polyphenolic compounds. Obtaining extracts using solvents of different polarity makes it possible to study the qualitative and quantitative composition of various groups of polyphenolic compounds. The analysis of phenolic acids and coumarins is based on obtaining extracts with a methanol-chloroform mixture [15, 16, 18], petroleum ether [17] and n-butanol [22]. By means of IR spectroscopy methods and 1H- and 13C-NMR, HPLC-UV in comparison with standard samples, GC-MS, their component composition in the arial and underground parts of the river gravel was determined. The compounds identified in the work of several scientific groups, are shown in Fig. 2 and Table 1 under numbers 11-26 (Fig. 2). According to the estimates by Owczarek et al. (2013), the content of phenolic acids in the arial part is 5.9 mg/g, and in the underground part it is 18.9 mg/g [17]. In addition, Owczarek et al. (2014) determined the content of free ellagic acid (0.52± 0.01mg/g) in the arial part of the river gravity (gallic acid was not detected in this case); in the underground part there was 0.43±0.002 mg/g of ellagic acid, and gallic acid was not found there either [20].
Figure 2 – Phenolic acids and coumarins of G. rivale (Panizzi et al.,2000; Owczarek et al., 2013)
Note: 11 – chlorogenic acid; 12 – 6-O-caffeyl-1-O-methyl-β-D-glucopyranose; 13 – p-hydroxybenzoic acid; 14 – caffeic acid; 15 – lilac acid; 16 – p-coumaric acid; 17 – ferulic acid; 18 – sinapic acid; 19 – scopoletin; 20 – esculetin; 21 – decursin; 22 – gallic acid; 23 – protocatechuic acid; 24 – ellagic acid; 25 – salicylic acid; 26 – vanillin
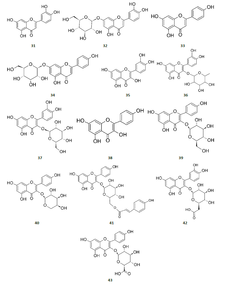
Panizzi et al. (2000) also carried out extensive work on the study of the composition of flavonoids of the aerial part of G. rivale L. The extraction of this group of compounds was carried out from a mixture of the plant material pretreated with n-hexane, chloroform, and chloroform-methanol (9:1) by maceration with methanol at room temperature with subsequent purification on Sephadex and silica gel and separation on a C18 reverse phase column. In the study, 13 compounds were isolated, the structures of which were established by IR and UV spectroscopy, 1H and 13C NMR (Fig.3, Table 1) [16]. Owczarek et al. (2013) evaluated the quantitative content of flavonoids according to the method described in the Polish Pharmacopoeia of the VIII edition: in the underground part – 0.3 mg/g; in the aerial part – 3.0 mg/g [17].
Figure 3 – Flavonoids of G. rivale (Panizzi et al., 2000)
Note: 31 – luteolin; 32 – luteolin-7-O-glucoside; 33 – apigenin; 34 – apigenin-7-O-glucoside; 35 – quercetin; 36 – quercetin-3-Oramnoside; 37 – quercetin-3-O-glucoside; 38 – kaempferol; 39 – kaempferol-3-O-glucoside; 40 – kaempferol-3-O-arabinoside; 41 – tilyroside; 42 – quercetin-3-O-glucuronide; 43 – kaempferol-3-O-glucuronide
Another group of polyphenolic compounds – tannins – is of great interest. The main methods of analysis of this group and the experimental data on the pharmacological activity were described in our previously published review [21]. In G. rivale, the composition of ellagitannins was also widely studied in the works by Moilanen et al. (2008, 2015). After the extraction of raw materials with 70% acetone with the addition of 0.1% ascorbic acid to prevent the oxidation of the compounds, the composition of ellagitannins (44–50) [22-23] was established by using HPLC-ESI-MS. The total acid content was determined by Owczarek et al. (2014) after hydrolysis of tannins with a 25% hydrochloric acid solution: ellagic acid – 40.31±1.08 mg/g in the arial part, 60.64±0.87 mg/g in the underground part; gallic acid – 7.45±0.08 mg/g in the arial part and 9.57±0.27 mg/g in the underground part (in terms of dry plant material). On the basis of the obtained results the authors made a conclusion about the greater prevalence of ellagitannins in comparison with gallotannins, both in the arial and underground parts of the studied species [20].
Rare sulfonated derivatives of ellagic acid obtained by precipitation from the aqueous extraction with boiling methanol, were studied by Owczarek et al. (2017). The following structures were established by UV spectroscopy, mass spectrometry, and 1H- and 13C-NMR: potassium salt of 3,3’-dimethoxy-4-sulfoxyellagic acid (29) and 3,3‘, 4’-trimethoxy-4-sulfoxyellagic acid potassium salt (30) (Fig. 4) [25].
Figure 4 – Ellagitannins of G. rivale (Moilanen et al.,2008, 2015; Owczarek et al., 2017)
Note: 29 – 3,3’-dimethoxy-4-sulfoxyellagic acid potassium salt; 30 – 3,3’,4’-trimethoxy-4-sulfoxyellagic acid potassium salt; 44 – Gemin A; 45 – Pedunculagin; 46 – Stachiurin / casuarinin; 47 – Tellimagrandin 1; 48 – Gemin B; 49 – Gemin C; 50 – Gemin D
Determination of the antioxidant activity of the extracts showed that the roots of G. rivale have a high antioxidant potential. According to the results, the authors of the work suggest that polyphenolic compounds bear the main responsibility for the antioxidant activity thanks to the transfer of a hydrogen atom during the reaction (HAT mechanism) [30].
Oszmianski et al. (2007) screened the antioxidant activity of tannins in the roots of G. rivale. During the research, the following experiments were carried out: thiolysis of proanthocyanidins according to the method described by Guyot et al. (2001) [37]; reverse phase HPLC after thiolysis; the content of proanthocyanidins (10.5 g/kg) and phenolic compounds (3.0 g/kg) in the feed were determined, as well as the degree of polymerization of proanthocyanidins – 3. For screening of the antioxidant activity, two methods were used by the authors: the DPPH test according to Yen et al.’s method (1995) [38] and the ABTS test by Re et al.’s the method (1999) [39]. This study demonstrated a significant antioxidant potential of the extract containing phenolic compounds [36].
Pharmacological activity of extracts and components of G. rivale
Simultaneously with the study of the component composition of the secondary metabolites in the arial and underground parts of G. rivale, extensive studies of the pharmacological activity of the total extracts obtained using solvents of different polarities, as well as individual metabolites, were carried out. Thus, Tunon et al. (1995) conducted a study of the anti-inflammatory activity of the total water extract from the arial part of G. rivale, obtained by a two-stage extraction at room temperature, in tests of the effect on prostaglandin synthesis and PAF-induced exocytosis. The extract showed a high inhibitory activity in the PAF test, while an inhibitory effect on the biosynthesis of prostaglandins was not found [27]. In addition, the use of extracts from G. rivale as an anti-inflammatory agent in traditional medical practice is reported in the works by Birnesser et al. and Parimala et al. [28, 29].
Owczarek et al. (2015) investigated the total extracts of different polarity, obtained by the extraction of the methanol extract from the arial and underground parts of the G. rivale, in tests for antioxidant activity: DPPH test by method of Brand Williams, Cuvier and Berset [31] with the previously described modifications [32]; the FRAP test described by Pulido et al. [33] with some modifications [34]; the test for linoleic acid peroxidation according to Azuma et al.’s modified method [35, 32].
Panizzi et al. (2000) investigated the antimicrobial activity of extracts of different polarity from the arial part of G. rivale, and some individual compounds. The dried raw material was extracted in a Soxhlet apparatus with n-hexane, chloroform, a mixture of chloroform-methanol 9:1, and then by maceration with methanol at room temperature. Then, the obtained total extracts were purified by column chromatography to individual compounds, their identification was carried out by IR and UV spectroscopy, 1H and 13C NMR. All the investigated fractions were dissolved in DMSO and screened for the antimicrobial activity by the agar diffusion method described by Clark, et al. (1981), using test microorganisms: Staphylococcus aureus, Pseudomonas aeruginosa, Escherichia coli, Candida albicans and Aspergillus niger [40]. The study showed that the total methanol extract has a high antimicrobial and antifungal activity, while the n-hexane extract showed a weak activity against bacteria and Aspergillus niger; chloroform extract had a pronounced activity against Candida albicans; and chloroform-methanol and water-methanol extracts were found active against all the tested organisms. When analyzing the purified extracts and individual compounds, the following results were obtained: triterpene fraction showed an efficiency comparable to methanol and chloroform-methanol extracts against all studied microorganisms; a mixture of flavonoids was found active against gram-positive and gram-negative bacteria in the absence of antifungal activity; the tannin fraction was active only against bacteria, but its effectiveness was lower than that of the flavonoid fraction; ursolic acid had zones of inhibition very similar to those obtained using a chloroform-methanol extract in the absence of antifungal effect; among the flavonoid aglycones, kaempferol and quercetin affected only Staphylococcus aureus and Pseudomonas aeruginosa, respectively, while apigenin had no antimicrobial and antifungal activity; caffeic acid showed a moderate activity against all test organisms, while gallic acid showed a pronounced effectiveness against Staphylococcus aureus, Escherichia coli and Candida albicans [16].
The identification of natural metabolites and synthetic agents that are effective in the prevention and treatment of diseases caused by influenza viruses of various types, is an urgent problem of the last decade. Researchers suggest that total native complexes of metabolites, as well as individual natural compounds of various natures, such as polyphenols, triterpenoids, alkaloids, organic acids, and some others, can be used as agents for inhibiting infections at various stages [42]. Therefore, in the work by Lobanov et al. (2016) the antiviral activity of 70 plant species belonging to 14 different families, including the aerial part of the G. rivale, was considered. The study was carried out using ethanol extracts obtained by the method described in the work by Kostina et al. (2013) [44]; avian influenza virus A / chicken / Kurgan / 05/2005 (H5N1) and a strain of human influenza virus A / Aichi / 2/68 (H3N2) adapted to laboratory mice, the titer of which was calculated by Spearman-Kerber’s method using statistical processing according to Sachs, L. (1976) [45]. In the course of the study it was revealed that the ethanol extract from the arial part of G. rivale has a pronounced antiviral activity against both studied viral strains and can be recommended for a further research in this area in order to create phytopreparations for the prevention and treatment of influenza caused by these virus strains [43].
Ellagic acid is a metabolite of higher plants, it is in sufficiently large quantities in the arial and underground parts of G. rivale, both in free and bound forms as parts of ellagitannins. Due to its wide distribution, the possibilities of using this compound in medical practice are well studied. Thus, for the first time, a systematic review of the literature was conducted by García-Niño et al. (2015) and the following possible pharmacological effects of ellagic acid were described in detail [47]: antimutagenic [48], antigenotoxic [49–50], antiapoptotic [51], anticarcinogenic [52], antibacterial [53], antiviral [54], antimalarial [55], antiallergic [56], anti-inflammatory [57], antiatherogenic [58], antidiabetic [59], antiepileptic [60], antidepressant [61], antinociceptive [62], neuroprotective [63], nephroprotective [64], cardioprotective [65] and hepatoprotective [66] activities. However, the work notes: the contribution of ellagic acid to the pharmacological effects of the extracts obtained from the arial parts of G. rivale, has not been revealed.
CONCLUSIONS
The analysis of the literature showed that Geum rivale L. has been subjected to phytochemical studies for a long period of time. This is due to both the rich raw material base of the plants and its widespread use in folk medicine.
For the period from 1958 to the present, more than 80 components have been identified in the arial and underground parts of the river gravity. The main groups of secondary metabolites have been characterized, including the essential oil, triterpenoids and phenolic compounds of the arial and underground parts of Geum rivale L. The most extensively represented group of secondary metabolites is polyphenolic compounds. Despite the sufficient knowledge of the chemical composition, the plant is not official in Russia.
The rich composition of polyphenolic compounds determines characteristic pharmacological effects of the plant, including anti-inflammatory, antioxidant, antimicrobial and antiviral activity. The pharmacological activity has been experimentally confirmed, both the extraction obtained by the extraction with solvents of polarity or fractionation, and some compounds. These types of activity may be useful against some socially significant pathologies, for example, antioxidant activity in the prevention and treatment of diseases of the cardiovascular, urinary and nervous systems, the antimicrobial and antiviral activities in the treatment of the diseases caused by resistant strains of microorganisms and viruses.
However, the currently available data on the chemical composition and activity of Geum rivale L. do not give a general picture of the potential for using a plant as a source of new pharmaceutical substances of natural origin for the creation of medicines and biologically active additives.
Modern analytical methods in phytochemistry, dictate the development of the allocation of natural resources and compounds with the establishment of their exact structures using one of the methods of analytical magnetic resonance and infrared spectroscopy with a further study of their pharmacological potential. Therefore, it is advisable to continue the study of the composition of secondary metabolites of the arial and underground parts of this plant using modern methods of analysis to identify both – previously not discovered, as well as new for science natural compounds. The identification of specific compounds responsible for the development of types of biological activity valuable for medicine using in silico methods, the analysis of possible synergistic or additive effects of combinations of secondary metabolites, as well as the prediction of the mechanisms associated with the manifestation of a certain effect, may become a promising direction for further studies of Geum rivale L. The data obtained will make it possible to expand the range of use of Geum rivale L. in medicine.
FUNDING
This study did not have any financial support from other organizations.
AUTHOR’S CONTRIBUTION
All authors equally contributed to the research work.
CONFLICT OF INTERESTS
The authors declare no conflict of interest.
About the authors
Anastasia A. Orlova
Saint Petersburg State Chemical Pharmaceutical University
Author for correspondence.
Email: anastasiya.lebedkova@spcpu.ru
ORCID iD: 0000-0002-7836-5785
postgraduate student of the Department of Pharmacognosy, Junior Researcher of the Research Department
Russian Federation, 14 lit. A, Professor Popov St., St. Petersburg,197022Maria N. Povydysh
Saint Petersburg State Chemical Pharmaceutical University
Email: maria.povydysh@pharminnotech.com
ORCID iD: 0000-0002-7768-9059
Doctor of Sciences (Biology), Candidate of Sciences (Pharmacy), Associate Professor of the Department of Pharmacognosy, Head of the Research Department
Russian Federation, 14 lit. A, Professor Popov St., St. Petersburg, 197022References
- Tsvelev NN. Flora vostochnoi Evropi. Tom X. [Flora Europae Orientalis. Volume 10]. SPb.: World and family. Ed. SPHFA. 2001;10:460–466. Russian.
- Gubanov IA, Kiseleva KV, Novikov VS, Tikhomirov VS. Illyustrirovannyy opredelitel rasteniy Sredney Rossii. T. 2. [An illustrated guide to plants of Central Russia. T. 2]. M.: KMK Scientific Publishing Partnership, Institute of technological research. 2003:2190. Russian.
- Mayevsky PF. Flora sredney polosy evropeyskoy chasti Rossii. 10-e izd [Flora of the middle zone of the European part of Russia. 10th ed.]. M.: KMK Scientific Publishing Partnership. 2006:379–400. Russian.
- Elenevsky AG, Radygina VI, Chaadaeva NN. Rasteniya Belgorodskoy oblasti (konspekt flory) [Plants of the Belgorod region (flora synopsis)]. M.: Moscow State Pedagogical University. 2004:120 p. Russian.
- Lazarev AV, Burchenko TV. Rod Geum v sovremennykh ekologicheskikh usloviyakh sredney Rossii [Genus Geum in the modern ecological conditions of Central Russia]. Scientific Bulletin. 2009;3(58):34–38. Russian.
- Hulten E. The Amphi-Atlantic Plants and their Phytogeographical Connections. Kongl. Svenska Vetens. – Akad. Handl. 1958;7(1):1–340.
- Taylor K. Geum rivale L. Journal of Ecology. 1997;85(5):721–731.
- Hulden L. The first Finnish malariologist, Johan Haartman, and the discussion about malaria in 18th century Turku, Finland. Malaria Journal. 2011;10:43. doi: 10.1186/1475-2875-10-43.
- Thomson Healthcare. Physicians’ desk reference for herbal medicines. Thomson Healthcare (Firm), 4th ed. Montvale, NJ: Thomson. 2007:71–72.
- Vollmann C, Scbultze W. Composition of the Root Essential Oils of Several Geum Species and Related Members of the Subtribus Geinae (Rosaceae). Flavour and Fragrance Journal. 1995;10:173–178.
- Birnesser H, Stolt P. The Homeopathic antiarthritic preparation Zeel comp. N: Review of Molecular and Clinical Data. Explore. 2007;3(1):16–22. doi: 10.1016/j.explore.2006.10.002.
- Egoshina TL, Luginina EA. Medicinal plants in folk medicine of taiga zone of Russia: peculiarities of use and resources. Plant, fungal and habitat diversity investigation and conservation. Proceedings of IV BBC – Sofia, 20-26 June 2006:624-631. doi: 10.13140/2.1.4303.9044.
- Vollmann C, Scbultze W. Composition of the Root Essential Oils of Several Geum Species and Related Members of the Subtribus Geinae (Rosaceae). Flavour and Fragrance Journal. 1995;10:173–178.
- Owczarek A, Gudej J, Kicel A. Composition of Essential Oil from Aerial and Underground Parts of Geum rivale and G. urbanum Growing in Poland. Natural Product Communications. 2013;8(4):505–508. doi: 10.1177/1934578X1300800425.
- Cheng X-R, Jin H-Z, Qin J-J, Fu J-J, Zhang W-D Chemical Constituents of Plants from the Genus Geum. Chemistry and biodiversity. 2011;8(2):203–222. doi: 10.1002/cbdv.200900347.
- Panizzi L, Catalano S, Miarelli C, Cioni P. L, Campeol E. In vitro Antimicrobial Activity of Extracts and Isolated Constituents of Geum rivale. Phytotherapy Research. 2000;14(7):561–653. doi: 10.1002/1099-1573(200011)14:7<561::AID-PTR651>3.0.CO;2-H.
- Owczarek A, Gudej J. Investigation into biological active constituents of Geum rivale L. Acta Poloniae Pharmaceutica – Drug research. 2013;70(1):111–114.
- Morozova EV, Chemesova II, Yakovlev GP. Soderzhaniye i sostav fenolkarbonovykh kislot v Geum rivale, G. urbanum i G. aleppicum (Rosaceae) [Content and composition of phenolcarboxylic acids in Geum rivale, G. urbanum, and G. aleppicum (Rosaceae)]. Plant resources. 2009;45(4):54–55. Russian.
- Polukhina TS, Pogudina SF, Inizarova DR. Kolichestvennoye opredeleniye flavonoidov v nadzemnoy chasti gravilata rechnogo (Geum rivale L.) [Quantitative determination of flavonoids in the aboveground part of the water avens (Geum rivale L.)]. Modern scientific research: Actual problems, achievements and innovations. Collection of articles by the winners of the III International Scientific and Practical Conference. Publ.: Science and Education. 2017:225–227. Russian.
- Оwczarek А, Olszewska MA, Gudej J. Quantitative determination of ellagic acid and gallic acid in Geum rivale L. and G. urbanum L. Acta Biologica Cracoviensia Sertes Botanica. 2014;56/2:74–78. doi: 10.2478/abcsb-2014-0021.
- Orlova A, Povydysh M. Obzor metodov kachestvennogo i kolichestvennogo analiza taninov v rastitelnom syrye [Review of methods of qualitative and quantitative analysis of tannins in raw plant materials]. Chemistry of plant raw materials. 2019;4:29–45. Russian. DOI: 10.14258 / jcprm.2019045459.
- Moilanen J, Salminen J-P. Ecologically neglected tannins and their biologically relevant activity: chemical structures of plant ellagitannins reveal their in vitro oxidative activity at high pH. Chemoecology. 2008;18:73–83. doi: 10.1007/s00049-007-0395-7.
- Moilanen J, Koskinen Р, Salminen J-P. Distribution and content of ellagitannins in Finnish plant species. Phytochemistry. 2015;116:188–197. doi: 10.1016/j.phytochem.2015.03.002.
- Ming D-Sh, Jiang R-W, But P P-H, Towers GH N, Yu D-Q. A new compound from Geum rivale L. Journal of Asian Natural Products Research. 2002;4(3):217–220. doi: 10.1080/10286020290024022.
- Owczarek A, Ró˙zalski M, Krajewska U, Olszewska MA. Rare Ellagic Acid Sulphate Derivatives from the Rhizome of Geum rivale L. – Structure, Cytotoxicity, and Validated HPLC-PDA Assay. Applied Science. 2017;7(4):400. doi: 10.3390/app7040400.
- Budantsev AL. Rastitelnyye resursy Rossii. Tom 2. Semeystva Actinidiaceae – Malvaceae. Euphorbiaceae – Haloragaceae [Plant resources of Russia. Volume 2. Families Actinidiaceae – Malvaceae, Euphorbiaceae – Haloragaceae]. Ed. AL Budantsev. SPb: KMK Scientific Publishing Partnership. 2009:513. Russian.
- Tunon H, Olavsdotter C, Bohlin L. Evaluation of anti-inflammatory activity of some Swedish medicinal plants. Inhibition of prostaglandin biosynthesis and PAF-induced exocytosis. Journal of Ethnopharmacology. 1995;48:61–76. doi: 10.1016/0378-8741(95)01285-l.
- Birnesser H, Stolt P. The Homeopathic Antiarthitic Preparation Zeel comp. N: A Review of Molecular and Clinical Data. Explore. 2007;3(1):16–22. doi: 10.1016/j.explore.2006.10.002.
- Parimala Devi B, Tamilchelvan N, Ramasubramaniaraja R. Inflammation and Medicinal Plants – An Ethnomedicinal Approach. 2010;2(2):49–56.
- Owczarek A, Gudej J, Olszewska MA. Antioxidant activity of Geum rivale L. and Geum urbanum L. Acta Poloniae Pharmaceutica – Drug research. 2015;72(6):1239–1244.
- Brand-Williams W, Cuvelier ME, Berset C. Use of a free radical method to evaluate antioxidant activity. LWT – Food Science and Technology. 1995;28(1):25–30. doi: 10.1016/S0023-6438(95)80008-5.
- Olszewska MA, Presler A, Michel P. Profiling of Phenolic Compounds and Antioxidant Activity of Dry Extracts from the Selected Sorbus Species. Molecules. 2012;17(3):3093–3113. doi: 10.3390/molecules17033093.
- Pulido R, Bravo L, Saura-Calixto F. Antioxidant Activity of Dietary Polyphenols as Determined by a Modified Ferric Reducing/Antioxidant Power Assay. Journal of Agricultural and Food Chemistry. 2000;48(8):3396–3402. doi: 10.1021/jf9913458.
- Olszewska MA, Michel P. Antioxidant activity of inflorescences, leaves and fruits of three Sorbus species in relation to their polyphenolic composition. Natural Product Research. 2009; 23(16): 1507–1521. doi: 10.1021/jf9913458.
- Azuma K, Nakayama M, Koshioka M, Ippoushi K, Yamaguchi Y, Kohata K, Yamauchi Y, Ito H, Higashio H. Phenolic Antioxidants from the Leaves of Corchorus olitorius L. Journal of Agricultural and Food Chemistry. 1999;47(10):3963–3966. doi: 10.1021/jf990347p.
- Oszmianski J, Wojdylo A, Lamer-Zarawska E, Swiader K. Antioxidant tannins from Rosaceae plant roots. Food chemistry. 2007;100:579–583. doi: 10.1016/j.foodchem.2005.09.086.
- Guyot S, Marnet N, Sanoner P, Drilleau JF. Direct thiolysis on crude apple materials for HPLC characterization and quantification of polyphenols in cider apple tissues and juices. Methods in Enzymology. 2001;335:57–70. doi: 10.1016/S0076-6879(01)35231-X.
- Yen GC, Chen HY. Antioxidant activity of various tea extracts in relation to their antimutagenicity. Journal of Agricultural and Food Chemistry. 1995;43:27–32. doi: 10.1021/jf00049a007.
- Re R, Pellegrini N, Proteggente A, Pannala A, Yang M, Rice-Evans C. Antioxidant activity applying an improved ABTS radical cation decolorization assay. Free Radical Biology & Medicine. 1999;26(9/10):1231–1237. doi: 10.1016/S0891-5849(98)00315-3.
- Clark AM, El-Feraly FS, Li WS. Antimicrobial activity of phenolic constituents of Magnolia grandiflora L. Journal of Pharmaceutical Science. 1981;70:951–952. doi: 10.1002/jps.2600700833.
- Varaprasad B. A Search for Antibacterial Agents Edited by Varaprasad Bobbarala. Published by InTech Janeza Trdine 9, 51000 Rijeka, Croatia. 2012:8.
- Levina AS, Repkova MN, Mazurkova NA, Makarevich EV, Ismagilov ZR, Zarytova VF. Knockdown of different influenza A virus subtypes in cell culture by a single antisense oligodeoxyribonucleotide. International Journal of Antimicrobial Agents. 2015;46(1):125–128. doi: 10.1016/j.ijantimicag.2015.03.004.
- Lobanova IE, Filippova EI, Vysochina GI, Mazurkova NA. Protivovirusnyye svoystva dikorastushchikh i kultiviruyemykh rasteniy yugo-zapadnoy Sibiri. Rastitelnyy mir aziatskoy Rossii. 2016;2(22):64–72. Russian.
- Kostina NE, Ibragimova ZhB, Protsenko MA, Makarevich EV, Skarnovich MA, Filippova EI, Gorbunova IA, Vlasenko VA, Troshkova GP, Mazurkova NA, Shishkina LN. Vydeleniye, kharakteristika i protivovirusnyye svoystva biologicheski aktivnykh veshchestv iz vysshikh gribov Zapadnoy Sibiri [Isolation, characterization and antiviral properties of biologically active substances from higher fungi of Western Siberia]. Rational nutrition, food additives and biostimulants. 2014;2:25–26. Russian.
- Zaks L. Statisticheskoye otsenivaniye. Seriya: Zarubezhnyye statisticheskiye issledovaniya. Perevod s nemetskogo [Statistical estimation. Series: Foreign Statistical Studies. Translated from German] M.: Statistics. 1976: 598. Russian.
- Kozira SA, Kulagina MA, Serbin AG. Khimichniy sklad ta vikoristannya v meditsini roslin rodu Geum L. (Obzor literaturi) [Chemistry warehouse and vikorystannya in the medical plant of the genus Geum L. (Literature review)]. Zaporozhye medical journal. 2008;2(47):80–82.
- Garcia-Nino WR, Zazueta C. Ellagic acid: Pharmacological activities and molecular mechanisms involved in liver protection. Pharmacological Research. 2015; 97: 84–103. DOI: http://dx.doi.org/10.1016/j.phrs.2015.04.008.
- Zahin M, Ahmad I, Gupta RC, Aqil F. Punicalagin and ellagic acid demonstrate antimutagenic activity and inhibition of benzo[a]pyrene induced DNA adducts. BioMed Research International. 2014:467465. doi: 10.1155/2014/467465,467465.
- Rehman MU, Tahir M, Ali F. Cyclophosphamide-induced nephrotoxicity, genotoxicity, and damage in kidney genomic DNA of Swiss albino mice: the protective effect of ellagic acid. Molecular and Cellular Biochemistry. 2012;365(1–2):119–127. doi: 10.1007/s11010-012-1250-x.
- Abraham SK. Anti-genotoxic effects in mice after the interaction between coffee and dietary constituents. Food Chemical Toxicology. 1996;34:15–20. doi: 10.1016/0278-6915(95)00085-2.
- Khanduja KL, Avti PK, Kumar S, Mittal N, Sohi KK, Pathak CM. Anti-apoptotic activity of caffeic acid, ellagic acid and ferulic acid in normal human peripheral blood mononuclearcells: a Bcl-2 independent mechanism. Biochimica et Biophysica Acta (BBA) – General Subjects. 2006;1760(2):283–289. doi: 10.1016/j.bbagen.2005.12.017.
- Li T, Chen G, Su C, Lin J-G, Yen C, Cheng K., Chung J. Ellagic acid induced p53/p21 expression, G1 arrestand apoptosis in human bladder cancer T24 cells. Anticancer Research. 2005;25(2A):971–979.
- Abuelsaad AS, Mohamed I, Allam G, Al-solumani AA. Antimicrobial andimmunomodulating activities of hesperidin and ellagic acid against diarrheic Aeromonas hydrophila in a murine model. Life Science. 2013;93(20):714–722. doi: 10.1016/j.lfs.2013.09.019.
- Park SW, Kwon MJ, Yoo JY, Choi HJ, Ahn YJ. Antiviral activity and possible mode ofaction of ellagic acid identified in Lagerstroemia speciosa leaves toward human rhinoviruses. BMC Complementary and Alternative Medicine. 2014;14:171. doi: 10.1186/1472-6882-14-171.
- Soh PN, Witkowski B, Olagnier D, Nicolau M-L, Garcia-Alvares M-C, Benoit-Vical F. In vitro and in vivo properties ofellagic acid in malaria treatment. Antimicrobial Agents and Chemotherapy. 2009;53(3):1100–1106. doi: 10.1128/AAC.01175-08.
- Choi YH, Yan GH. Ellagic Acid attenuates immunoglobulin E-mediated allergic response in mast cells. Biological and Pharmaceutical Bulletin. 2009;32(6):1118–1121. doi: 10.1248/bpb.32.1118.
- Promsong A. Wo C, Satthakarn S, Nittayananta W. Ellagic acid modulates the expression of oral innate immune mediators: potential role in mucosal protection. Journal of Oral Pathology Medicine. 2014;44(3):214–221. doi: 10.1111/jop.12223.
- Kuo M-Y, Ou H-C, Lee W-J, Kuo W-W, Hwang L-L, Song T-Y, Huang C-Y, Chiu T-H, Tsai K-L, Tsai C-S, Sheu WH-H. Ellagic acid inhibits oxidized low-density lipoprotein (OxLDL)-induced metalloproteinase (MMP) expression by modulating the protein kinase C-α/extracellular signal-regulated kinase/peroxisome proliferator-activated receptor γ/nuclear factor-κB (PKC-α/ERK/ PPAR-γ/NF-κB) Signaling Pathway in Endothelial Cells. Journal of Agricultural and Food Chemistry. 2011;59(9):5100–5108. doi: 10.1021/jf1041867.
- Pinto M da S, de Carvalho JE, Lajolo FM, Genovece MI, Shetty K. Evaluation of antiproliferative, anti-type 2 diabetes, and antihypertension potentials of ellagitannins from strawberries (Fragaria × ananassa Duch.) using in vitro models. Journal of Medicinal Food. 2010;13(5):1027–1035. doi: 10.1089/jmf.2009.0257.
- Dhingra D, Jangra A. Antiepileptic activity of ellagic acid, a naturally occurring polyphenolic compound, in mice. Journal of Functional Foods. 2014;10:364–369. doi: 10.1016/j.jff.2014.07.011.
- Dhingra D, Chhillar R. Antidepressant-like activity of ellagic acid in unstressed and acute immobilization-induced stressed mice. Pharmacological Reports. 2012;64(4):796–807. doi: 10.1016/S1734-1140(12)70875-7.
- Girish C, Raj V, Arya J, Balakrishnan S. Involvement of the GABAergic sys-tem in the anxiolytic-like effect of the flavonoid ellagic acid in mice. European Journal of Pharmacology. 2013;710(1–3):49–58. doi: 10.1016/j.ejphar.2013.04.003.
- Kwak H, Jeon S, Sohng B, Kim J, Lee J, Lee K, Jeong H, Hur J, Kang Y, Song K. β-Secretase (BACE1) inhibitors from pomegranate (Punica granatum) husk. Archives of Pharmacal Research. 2005;28(12):1328–1332. doi: 10.1007/BF02977896.
- El-Garhy AM, Abd El-Raouf OM, El-Sayeh BM, Fawzy HM, Abdallah DM. Ellagic acid antiinflammatory and antiapoptotic potential mediate renoprotection in cisplatin nephrotoxic rats. Journal of Biochemical and Molecular Toxicology. 2014;28(10):472–479. doi: 10.1002/jbt.21587.
- Kannan MM, Quine SD. Ellagic acid inhibits cardiac arrhythmias, hypertrophy and hyperlipidaemia during myocardial infarction in rats. Metabolism. 2013;62(1):52–61. doi: 10.1016/j.metabol.2012.06.003.
- Lee JH, Won JH, Choi JM, Cha HH, Jang YJ, Park S, Kim HG, Kim HC, Kim DK. Protective effect of ellagic acid on concanavalin A-induced hepatitis via Toll-like receptor and mitogen-activated protein kinase/nuclear factor κB signaling pathways. Journal of Agricultural and Food Chemistry. 2014;62(41):10110–10117. doi: 10.1021/jf503188c.
Supplementary files







