Study of the pharmacological activity of novel EPOR/CD131 heteroreceptor agonists in mice with endothelial-specific expression of mutant Polg gene
- 作者: Korokin M.V.1, Kubekina M.V.2, Deykin A.V.1,2, Antsiferov O.V.1, Pokrovskii V.M.1, Korokina L.V.1, Kartashkina N.L.3, Soldatova V.A.1, Kuzubova E.V.1, Radchenko A.I.1, Pokrovskii M.V.1
- 
							隶属关系: 
							- Belgorod State National Research University
- Institute of Gene Biology, Russian Academy of Sciences
- First Moscow State Medical University named after I. M. Sechenov (Sechenov University)
 
- 期: 卷 9, 编号 4 (2021)
- 页面: 294-305
- 栏目: Articles
- URL: https://journals.eco-vector.com/2307-9266/article/view/111692
- DOI: https://doi.org/10.19163/2307-9266-2021-9-4-294-305
- ID: 111692
如何引用文章
详细
The aim of the research was to study antiatherosclerotic and endothelial kinds of a protective activity of peptides mimicking an erythropoietin a-helix B tertiary structure with laboratory codes EP-11-1 (UEHLERALNSS), EP-11-2. (UEQLERALNCS), EP-11-3 (UEQLERALNTS).
Materials and methods. The study was conducted on 96 C57Bl/6J male double transgenic Polgmut/mut/Cdh5-CRE mice. Atherosclerosis was induced by a balloon injury accompanied by Western diet. Then, for 27 days, the drugs under study were administered once per 3 days at the dose of 20 μg/kg. On the 28th day, the animals were euthanized and the area of atherosclerotic plaques was collected for an assessment. The expression of genes associated with the processes of inflammation, apoptosis, and angiogenesis was determined in the tissues of the aorta. In addition, the endothelial protective effect of peptides in isolated segments of the thoracic aorta of wild and transgenic ransgenic Polgmut/mut mice was studied.
Results. The assessment of the plaque size in the animals with the Polgmut/mut/Cdh5-CRE genotype against the background of the peptides under study did not reveal statistically significant differences in comparison to control. However, a quantitative PCR showed a statistically significant decreased expression of pro-apoptotic factors p-53 and Bax, and also increase the expression of anti-apoptotic factor Bcl-2 against the background of the peptides EP-11-1 and EP-11-2 administration. The administration of EP-11-1 and the original peptide pHBSP resulted in a statistically significant decrease in the Bax/Bcl-2 ratio. Compounds EP-11-1, EP-11-2, and EP-11-3 were more effective than the original peptide pHBSP, in reducing the increased expression of genes for inflammatory markers iNos, intercellular adhesion molecules Icam-1, Vcam-1 and E-selectin. The use of EP-11-1 led to a more efficient, in comparison with pHBSP, restoration of endothelial-dependent vasodilation of the aortic segments in mice with endothelial-specific overexpression of the mutant Polg gene.
Conclusion. The study carried out on a murine model of the endothelial-specific expression of mutant gamma polymerase has shown that derivatives of the pHBSP peptide with laboratory codes EP-11-1, EP-11-2, EP-11-3, obtained by BLAST-searching for groups of pHBSP related peptides, have atheroprotective and endothelial protective kinds of a protective activity, which is more pronounced in comparison with the original peptide pHBSP.
全文:
Abbreviations: PCR – polymerase chain reaction; pHBSP – pyroglutamate helix B surface peptide; HBSP – helix B surface peptide; iNOS – inducible NO synthase; Polg – polymerase gamma; ICAM-1 – Inter-Cellular Adhesion Molecule 1; VCAM-1 – Vascular cell adhesion molecule-1; EPO – erythropoietin; EpoR – erythropoietin receptor; mRNA – matrix ribonucleic acid; HUVEC – Human Umbilical Vein Endothelial Cells; AKT1 – RAC-alpha serine/threonine-protein kinase ; eNOS / NOS3 – endothelial nitric oxide synthase; NO – nitrogen oxide; Ach – acetylcholine; PI3K – phosphoinositide 3-kinase; NP – sodium nitroprusside
INTRODUCTION
Erythropoietin (EPO) is one of the hormones produced by the kidneys. It was originally identified as a critical regulator of the hematopoiesis. Recombinant erythropoietin is widely used in the treatment of anemia associated with a chronic kidney disease, heart failure, and cancer [1]. In the human body, EPO stimulates the production of about 200 billion red blood cells daily. After being produced in the kidneys, EPO is secreted into the bloodstream and targets erythroid progenitor cells in the bone marrow [2, 3]. EPO acts by binding to its specific receptor on the surface of erythrocyte progenitor cells. The knockout of Epo (Epo-/-) or the EPO receptor (EpoR-/-) in mice leads to the embryo death caused by the development of severe anemia [4, 5].
Over the past decade, many non-hematopoietic effects of erythropoietin including its antiatherosclerotic action, have been identified [6, 7]. When non-hematopoietic effects are realized, locally produced hypoglycosylated erythropoietin acts in a paracrine-autocrine pathway and transmits signals mediated by the interaction with the tissue protective heterodimeric erythropoietin receptor EPOR/CD131 [8, 9]. The availability of recombinant EPO influenced the appearance of works devoted to the study of the non-hematopoietic activity of EPO, including its protective effect on endotheliocytes and neurons. Reports on the presence of EPO receptors (EpoR), expression of EpoR mRNA and/or EpoR protein besides the erythropoietic organs suggest the possibility of a non-hematopoietic receptor effect of EPO [3]. As reported, human umbilical vein endothelial cells became the first non-hematopoietic cells to express EpoR, bind erythropoietin and show a proliferative response to the EPO administration in vitro [8, 10]. It was found out that EPO protects rat brain microvascular endothelial cell cultures from the anoxia-induced damage by activating AKT1, maintaining mitochondrial membrane potential, and preventing oxidative stress-induced apoptosis [12]. An important function of endothelial cells is the expression of endothelial nitric oxide synthase (eNOS/NOS3), catalyzing the synthesis of nitric oxide (NO), the main regulator of vascular homeostasis. Using a cell culture of endotheliocytes, it was found out that a combination of a reduced oxygen content and EPO pretreatment in the cell culture increases the expression of mRNA and EpoR protein, increases the expression of eNOS, and thereby stimulates the production of NO [13]. In experimental models in transgenic mice with high hematocrit, it was shown that arterial hypertension does not develop due to a significant increased level of eNOS and NO in the vascular tissue and in the bloodstream [14].
Currently, it is clear that the thrombosis-related side effects of recombinant EPO prevent its clinical use in non-anemic patients [15]. To prevent thrombotic complications associated with the EPO therapy, EPO derivatives lacking a hematopoietic activity but having a tissue-protective effect, have been obtained. The 11-amino acid peptide imitating the tertiary structure of the erythropoietin B chain (HBSP) is one of EPO derivatives that exhibits a non-hematopoietic activity comparable to recombinant erythropoietin [16–19].
To search for new compounds with atheroprotective and endothelial protective effects, the HBSP amino acid sequence was changed by searching for groups of related peptides of the original compound, using the BLAST program. As a result, 3 compounds that mimic the a-helix B of erythropoietin, were obtained: EP-11-1 (UEHLERALNSS), EP-11-2, (UEQLERALNCS), EP-11-3 (UEQLERALNTS).
THE AIM of this research was to study the antiatherosclerotic and endothelial kinds of a protective activity of peptides EP-11-1, EP-11-2, EP-11-3.
MATERIALS AND METHODS
Animals and diet
The study comprised 96 C57Bl/6J double transgenic Polgmut/mut/Cdh5-CRE male mice obtained from the Institute of Gene Biology, Russian Academy of Sciences. The requirements of the Law of the Russian Federation “On the Protection of Animals from Cruelty” dated June 24, 1998, the rules of laboratory practice during preclinical studies in the Russian Federation (GOST 3 51000.3-96 and GOST R 53434-2009), European Community directives (86/609 EU), the rules of the International Recommendations of the European Convention for the Protection of Vertebrate Animals used in experimental research (1997) and the Rules of laboratory practice adopted in the Russian Federation (order of the Ministry of Health of the Russian Federation No.708 dated 29.08.2010) were followed. The experiments were approved by the local ethics committee of Belgorod State National Research University, Belgorod, protocol No.19/23. The Polgmut/mut/Cdh5-CRE genotype is associated with the endothelial-specific expression of the mutant Polg gene encoding the polymerase gamma enzyme with the D257A mutation, leading to the absence of 3’exonuclease activity and the accumulation of mutations during the mitochondrial genome replication. The expression of the mutant protein leads to the development of a mitochondrial dysfunction with the formation of disturbances in the processes occurring in the vascular endothelium. 2 weeks before the start of the experiment, the animals were placed on a Western 2% cholesterol diet [20].
Modeling of balloon damage to vascular wall
The surgical procedure was performed on a heated platform under a preparative microscope. Under anesthesia (zolazepam 2.5 mg/100 g (Virbac, France) + xylazine 2 mg/100 g (Biogel, Russia) intraperitoneally), a common femoral artery was isolated through an incision in the medial femoral region, a balloon injury of endothelium was applied as described before. To alleviate the postoperative pain syndrome, within 3 days after the operation, the animals received metamizole sodium with drinking water ad libitum at the concentration of 50 mg metamizole sodium (Pharmstandard-Ufavita, Russia) per 100 ml of water [20–22].
Study design and drugs administration
The list of the studied peptides, their laboratory codes and amino acid sequences are presented in Table 1.
Table 1 – Amino acid sequence of test compounds
| Laboratory code | Amino acid sequence | 
| pHBSP | QEQLERALNSS | 
| EP-11-1 | UEHLERALNSS | 
| EP-11-2 | UEQLERALNCS | 
| EP-11-3 | UEQLERALNTS | 
Animals with genotype Polgmut/mut/Cdh5-CRE were divided into 6 equal groups:
1) Intact;
2) Control – the animals with modeling of balloon damage on a western diet;
3) pHBSP – the animals with modeling of pathology, administrated with pHBSP peptide (subcutaneously, s/c) from the 1st day at the dose of 20 μg/kg once per 3 days for 28 days (the total dose – 180 μg/kg);
4) EP-11-1 – the animals with modeling of pathology, administrated with EP-11-1 peptide (subcutaneously, s/c) from the 1st day at the dose of 20 μg/kg once per 3 days for 28 days (the total dose – 180 μg/kg);
5) EP-11-2 – the animals with modeling of pathology, administrated with EP-11-2 peptide (subcutaneously, s/c) from the 1st day at the dose of 20 μg/kg once per 3 days for 28 days (the total dose – 180 μg/kg);
6) EP-11-3 – the animals with modeling of pathology, administrated with EP-11-3 peptide (subcutaneously, s/c) from the 1st day at the dose of 20 μg/kg once per 3 days for 28 days (the total dose – 180 μg/kg).
The dose and route of administration of the studied peptides were selected according to previous experimental data obtained in the study of the pharmacological activity of several compounds based on pHBSP, with added tripeptide motifs RGD, KGD, and PGP to the original peptide [20].
Measurement of atherosclerotic plaque area
A macroscopic examination of atherosclerotic aortic plaques was performed using the material from 4 animals from each group. For this purpose, on the 28th day after modeling the balloon injury, the animals were euthanized by an overdose of anesthesia (zoletil 10 mg/100 g intraperitoneally) and the abdominal aorta was thoroughly removed from the bifurcation to the area at the level of the diaphragm.
Then the preparations were cut longitudinally, straightened on a foam pad, washed with a 50% ethanol solution, and immersed in the Oil Red O solution for 15 minutes. After that, the preparations were washed with distilled water and digital photographs were taken. Using the imageJ program, the ratio of the atherosclerotic plaque area (stained in red) to intact tissue was calculated [20].
Quantitative PCR
After euthanasia, the aortic tissue in the area of balloon injury was sampled from the rest of the animals, homogenized, and incubated for 10 minutes at 37°C in the Extract RNA solution. After lysis of the sample in the reagent, it was subjected to chloroform purification; the supernatant sample was collected and washed with isopropyl alcohol and 70% ethanol. The concentration of the obtained RNA, was measured on an IMPLENNanoPhotometer® spectrophotometer and adjusted to the concentration of 300 ng/μl. A reverse transcription was performed using the MMLVRTSK021 kit in accordance with the manufacturer’s protocol (Evrogen, Russia). The study was carried out in accordance with the previously described methodology [20]. The list of the primers used in quantitative PCR, is presented in Table 2.
Table 2 – Primers used for quantitative PCR
| Gene | F-primer | R-primer | Product lenght | GenBank | 
| Trp53 (p53) | CGACTACAGTTAGGGGGCAC | CCATGGCAGTCATCCAGTCT | 95 | NM_001127233.1 | 
| Bcl2 | TCACCCCTGGTGGACAACAT | TTCCACAAAGGCATCCCAGC | 102 | NM_009741.5 | 
| Bax | CCCGAGCTGATCAGAACCAT | GAGGCCTTCCCAGCCAC | 96 | NM_007527.3 | 
| Vegfa (VEGF-A) | GGGCCTCCGAAACCATGAA | TGCAGCCTGGGACCACTTG | 95 | NM_001025250.3 | 
| Flt-1 (VEGFR-1) | CCCATCGGCAGACCAATACA | CGGTGCAGTTGAGGACAAGA | 96 | NM_001363135.1 | 
| Hif-1a | AGAACAACTTGAGCTGGCGT | TGGAGGTGAACTAGGCTCTGT | 103 | NM_001092957.1 | 
| Nos2 (iNOS) | GCTCTAGTGAAGCAAAGCCCA | GGGATTCTGGAACATTCTGTGC | 103 | NM_001313921.1 | 
| Icam-1 | CTCCGGACTTTCGATCTTCCA | CCTTCCAGGGAGCAAAACAAC | 98 | NM_010493.3 | 
| Vcam-1 | TACTGTTTGCAGTCTCTCAAGC | CGTAGTGCTGCAAGTGAGGG | 101 | NM_011693.3 | 
| Sele (E-selectin) | GGGAAGAAGACTGTCCTAGCC | AGGGGAGCTGGCTTCCTAAG | 96 | XM_006496715.3 | 
| Gapdh | GGGTCCCAGCTTAGGTTCATC | CCCAATACGGCCAAATCCGT | 100 | NM_001289726.1 | 
Study of effect of aortic ring preparations on vascular endothelium
For the experiment, the following experimental groups were formed (n=8 animals per group):
1) Wildtype mice;
2) Polgmut/mut/Cdh5-CRE mice;
3) Polgmut/mut/Cdh5-CRE mice treated with pHBSP 20 μg/kg;
4) Polgmut/mut/Cdh5-CRE mice treated with EP-11-1 20 μg/kg;
5) Polgmut/mut/Cdh5-CRE mice treated with EP-11-2 20 μg/kg;
6) Polgmut/mut/Cdh5-CRE mice treated with EP-11-3 20 μg/kg.
The compounds under study – innovative peptides with laboratory codes EP-11-1, EP-11-2, EP-11-3 – were administered intraperitoneally at the indicated doses for 7 days. On the 8th day from the beginning of the experiment, the experimental animals were anesthetized using the intraperitoneal injection of chloral hydrate at the dose of 300 mg/kg. Further on, in anesthetized mice, the thorax was opened to remove the thoracic aorta. The thoracic aorta was placed in a modified ice-cold Krebs Hanseleit solution (118 mM NaCl, 4.7 mM KCl, 1.2 mM Na2PO4, 0.5 mM MgCl2, 1.12 mM CaCl2, 25 mM NaHCO3 0.03 mM EDTA, 11 mM glucose) with pH 7.4. The aorta was carefully removed from the surrounding adipose and connective tissue and cut into short 2 mm transverse segments. The aortic rings were suspended in an organ bath (Biopac Bas System Station, Biopac systems, USA) containing 10 ml of a K-H solution maintained at 37° C, and 95% O2 and 5% CO2 were bubbled between two parallel stainless steel hooks. The isometric tension during the experiments was measured and recorded using the Biopac Systems USA software and hardware complex. The data acquisition and processing were performed using the Biopac Icq 4.2 software. Each aortic segment had been gradually stretched to an initial tension of 0.8 g and allowed to equilibrate in a standard 10 ml organ bath for 60 minutes prior to the experiment. After the scales equilibration, the segments were first contracted with 60 mM KCl to induce their contractile response and achieve a reproducible maximum contractile response, then they were washed with Krebs-Hanseleit solution three times to restore the tension to the basal level. The response of the aortic segments contraction to the submaximal concentration of phenylephrine (1 μmol/L) was induced 30 min after the restoration of the basal level. On the plateau of the epinephrine-induced contraction, the tests for endothelium-dependent and endothelium-independent vasodilation were performed. Acetylcholine (10-9-105 M) was cumulatively added to the aortic bath as an agent causing endothelium-dependent vasodilation, and sodium nitroprusside (10-9–10-5 M) was added as an agent causing endothelium-independent vasodilation. Sensitivity was defined as a relaxation percentage of the baseline value obtained at the epinephrine administration plateau.
Statistical processing
Statistical processing was performed using the Statistics 10.0 software. The obtained data were checked for the normality of distribution using the Shapiro-Wilk test and the Spiegelhalter test (the normtest library), the assessment of the equality of variances – using the Leuven test (the lawstat library). Depending on the type of the feature distribution and the equality of variances, the significance of the results obtained was assessed using a parametric (ANOVA) or nonparametric (the Kruskal-Wallis test) one-way analysis of variance. The unpaired Student’s t-test was used as a post-hoc analysis to identify differences in intergroup comparisons, or the Mann-Whitney test, respectively, with the Benjamini-Hochberg correction for a multiple hypothesis testing. The results were considered significant at p≤0.05.
RESULTS
Macroscopic evaluation of plaque size
In accordance with the experiment design, a macroscopic assessment of the balloon injury-induced plaque in wildtype (intact group) and Polgmut/mut/Cdh5-CRE animals (the control group) was carried out. It was found out that in the control group of Polgmut/mut/Cdh5-CRE animals, lipid deposits serving a marker of atherosclerosis, were visualized in all preparations stained with Oil Red O. That resulted in an increase in the size of the plaque in the control group by more than 11 times. Against the background of the test peptides, when processing the data obtained in the assessment of the plaque size in the animals with the Polgmut/mut/Cdh5-CRE genotype, no statistically significant change in the plaque size was found out (Fig. 1).
Figure 1 – Atherosclerotic plaque size in groups of wildtype and Polgmut/mut/Cdh5-CRE animals against the background of studied peptides use
Note: the “+” sign on the graph shows the arithmetic mean for each experimental group
Quantitative PCR
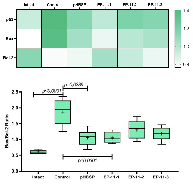
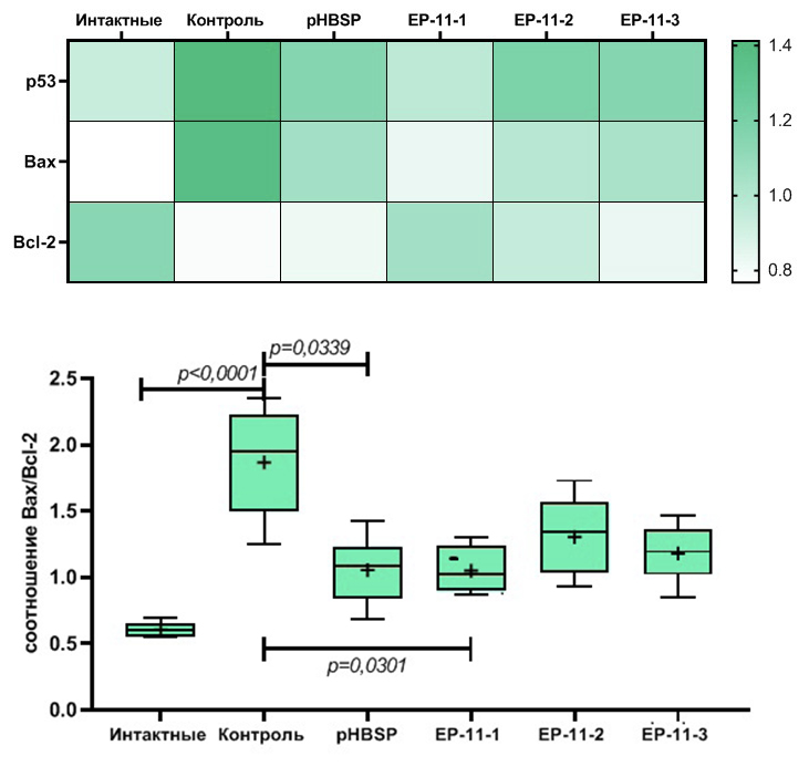
In addition to the macroscopic plaque assessment, a molecular biological analysis of atherosclerotic plaque tissue after the balloon-induced injury was performed in all experimental groups. Fig. 2 shows that against the background of balloon injury modeling, in the animals with the Polgmut/mut/Cdh5-CRE genotype, the expression of the markers of programmed cell death p53 and Bax is to a significant degree increased and the expression of the antiapoptic marker Bcl-2 is decreased. As the heat map presented in Figure 2A shows, peptides EP-11-1 and EP-11-2 statistically significantly compared with the control group of animals (p<0.05), reduce the expression of pro-apoptotic factors p-53 and Bax, as well as increase the expression of anti-apoptotic factor Bcl-2 (p <0.05). The most effective in terms of changing the expression of apoptosis factors was EP-11-1 – the expression values of the p53, Bax and Bcl-2 genes did not differ from those in the control group (Fig. 2A).
Figure 2 – Influence of test drugs on relative expression of apoptosis markers (2A) and Bax/Bcl-2 ratio (2B)
Note: the + sign on the graph shows the arithmetic mean for each experimental group
Fig. 2B shows the Bax/Bcl-2 ratio characterizing the integral pro-apoptotic orientation of the cell; the higher it is the more pronounced the activation of programmed cell death cascades. The figure shows that in the animals with the genotype Polgmut/mut/Cdh5-CRE, the Bax/Bcl-2 ratio is significantly increased, and the introduction of a compound with the laboratory code EP-11-1 and the initial peptide pHBSP statistically significantly reduce the Bax/Bcl-2 ratio (Fig. 2B).
The study of the expression of the inflammatory markers group showed a significantly increased expression of iNOS, Icam-1, Vcam-1, and E-selektin in the control group of the animals with the Polgmut/mut/Cdh5-CRE genotype (Fig. 3). The test compounds with laboratory codes EP-11-1, EP-11-2, and EP-11-3, reduced the increased expression of the inflammatory genes iNos, Icam-1, Vcam-1 and E-selectin more effectively than the initial peptide pHBSP. The most pronounced effect was obtained in the group with the use of EP-11-1 (Fig. 3).
Figure 3 – Influence of test compounds on inflammatory markers relative expression
In addition, the test compounds with laboratory codes EP-11-1, EP-11-2, EP-11-3 were more effective in reducing the expression of the factors associated with angiogenesis than the original peptide pHBSP (Fig. 4). As in the previous series, EP-11-1 was the most effective in this test (Fig. 4).
Figure 4 – Influence of test compounds on relative expression of related to angiogenesis factors
Assessment of vascular endothelium functioning on preparations of isolated aortic rings
The effect of the compounds on the vascular endothelium functioning, was carried out on isolated segments of the thoracic aorta of Polgmut/mut/Cdh5-CRE mice, kept on western diet. The endothelial function was assessed by performing endothelial-dependent vasodilation in response to ACh. As Fig. 5 shows, acetylcholine-induced endothelial-dependent vasodilation was significantly reduced in Polgmut/mut/Cdh5-CRE mice. Notably, the impairment of endothelial-dependent vasodilation caused by ACh in Polgmut/mut/Cdh5-CRE mice, was restored after the peptide EP-11-1 administration. The degree of the aortic segments relaxation upon administration of ACh at the concentrations of 10-6M, 10-5M and 10-4M in this group, was significantly higher in comparison to the control group (Fig. 5). The administration of the original peptide pHBSP also led to an increase in vascular relaxation in response to the administration of ACh at the concentrations of 10-5M and 10-4M. The administration of peptides EP-11-2 and EP-11-3 did not significantly affect the response degree of the vascular segment to ACh (Fig. 5).
Figure 5 – Results of a test with endothelial-dependent vasodilation in response to ACh on the isolated segments of thoracic aortas of the Polgmut/mut/Cdh5-CRE mice
Note: # – at p <0.05 in comparison with the untreated group
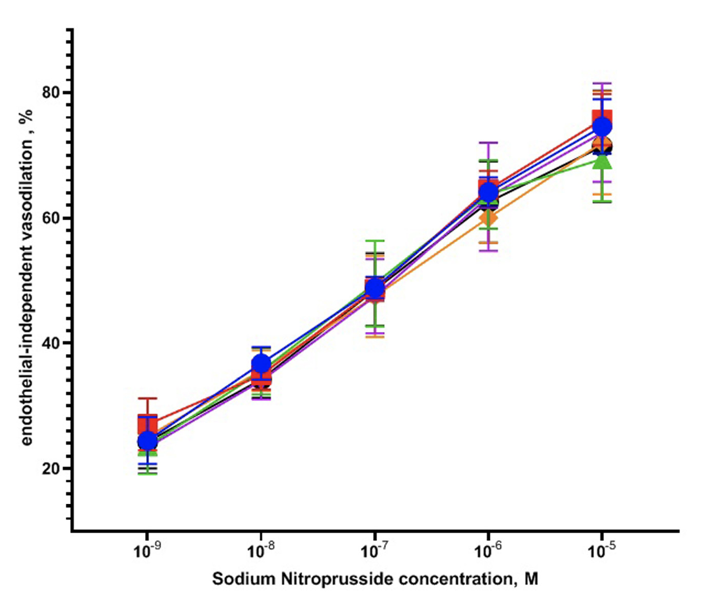
At the same time, the assessment of endothelium-independent vasodilation in response to SN did not reveal statistically significant differences between the experimental groups (Fig. 6).
Figure 6 – Results of endothelial-independent vasodilation test in response to SN on isolated segments of thoracic aortas of Polgmut/mut/Cdh5-CRE mice
DISCUSSION
The biological effects of recombinant EPO are wide and multifaceted, and much attention of researchers was attracted by its non-hematopoietic effects. In particular, the authors were interested in atheroprotective and endothelial protective effects. In vivo studies have shown that EPO reduces the manifestations of an ischemia/reperfusion damage to cardiomyocytes, which is partially explained by an increase in NO production and an acute response to an increase in hematocrit. The same study reported that the EPO-mediated eNOS activation is associated with PI3K signaling, while the EPO-associated reduction in cardiomyocyte ischemia is not observed in the mice with the eNos -/- genotype [23]. It is assumed that the erythropoietin-induced NO production by endotheliocytes is mediated primarily by the induction and activation of eNOS, especially at a reduced oxygen content [24, 25]. In addition, the mice with ectopic transgenic EPO expression showed an increased eNOS activity and increased plasma NO levels, which prevent cardiovascular diseases such as hypertension and thrombosis, while the inhibition of NO synthase leads to cardiovascular diseases and deaths [3].
In terms of the known limitation of the recombinant EPO use in erythropoietic doses, the problem of finding new derivatives of tissue protective EPO with lack of hematopoietic properties, is relevant in modern medicine and pharmacology. The peptides that are agonists of the EPOR/CD131 heteroreceptor, trigger EPO-associated cytoprotective cascades, but do not have an erythropoietic effect. The previous studies have demonstrated that a peptide imitating the spatial structure of the erythropoietin B chain pHBSP, has a pronounced endothelial protective effect in modeling L-NAME-induced endothelial dysfunction in rats [26, 27]. However, in this study, a prothrombotic effect of pHBSP has also been shown. In view of the above, the need for further modifications of this molecule is obvious. In our opinion, the pHBSP modification to improve its pharmacokinetic and pharmacodynamic parameters may become a further promising development of pharmacotherapy for cardiovascular diseases based on short-chain peptides [28].
The search for such compounds can be solved in several ways, including the attachment of amino acid motifs with anticoagulant properties to the amino acid sequence or by searching for groups of related peptides of the original compound using the BLAST program. At the first stage of the study, an attempt to enrich the original pHBSP molecule by adding tripeptide motifs RGD, KGD, and PGP, having antiaggregant effect, was made. As a result, fundamentally new compounds that combine cytoprotective [29] and antiplatelet effects, were obtained [30]. It has also been shown that the EPO-based peptides are able to improve the functional state of the vascular wall against the background of atherosclerotic lesions and can ameliorate the pathobiological processes associated with a mitochondrial dysfunction. In addition, the studied peptides have a pronounced endothelial protective effect against the background of in vitro modeling of oxidative stress [20].
In this research, the pharmacological activity of 3 peptides that mimic the spatial structure of the EPO a-helix (EP-11-1 (UEHLERALNSS), EP-11-2. (UEQLERALNCS), EP-11-3 (UEQLERALNTS)), obtained by searching for groups of related peptides to the pHBSP molecule using the BLAST program, has been studied.
For the study, a line of animals with an endothelial-specific expression of the mutant Polg gene, was selected. Polymerase gamma is an enzyme that plays a key role in mitochondrial DNA replication. The pathology of this enzyme leads to the inclusion of “wrong” nucleotides without a subsequent correction, which causes a mitochondrial dysfunction with a subsequent increase in the production of active radicals and a cell damage. Homozygous animals with the systemic Polg mutation do not survive; therefore, in this work, the endothelial specific expression of an inducible transgene was used [20].
In the presented model, atherosclerosis is associated with a traumatic effect on the vessel against the background of damage to endothelial cells due to the mitochondrial dysfunction. The study of an atheroprotective activity showed that the studied peptides, as well as the original peptide pHBSP, did not significantly ameliorate the histological structure and size of the atherosclerotic plaque in the pathology model. The maximum reduction in the size of the atherosclerotic plaque, was established in the group of the animals treated with EP-11-1, which, however, was not statistically significant. Perhaps, in the further studies the effect of drugs on the histological structure and size of atherosclerotic plaques should be assessed in a model of atherogenesis that is not associated with a physical damage to the endothelium.
Using a molecular biological analysis of plaque samples, it was found out that the studied peptides EP-11-1 and EP-11-2 significantly reduced the expression of the pro-apoptotic factors p-53 and Bax, and also increased the expression of the anti-apoptotic factor Bcl-2. When calculating the ratio of Bax to Bcl-2 expression, it was found out that in the animals with the Polgmut/mut/Cdh5-CRE genotype, the Bax/Bcl-2 ratio statistically significantly increased by more than 3 times. In addition, the introduction of a compound with a laboratory code EP-11-1 and the original peptide pHBSP statistically significantly reduced the Bax/Bcl-2 ratio by 57.2 and 56.4%, respectively. These findings are consistent with other studies showing that the administration of EPO for 10 weeks considerably decreases the Bax/Bcl-2 protein ratio in the aortic tissue of apolipoprotein E deficient mice fed a high-fat diet [31]. Along with the anti-apoptotic effect, the studied compounds with laboratory codes EP-11-1, EP-11-2, and EP-11-3 were more effective than the original peptide, pHBSP, in terms of the decrease of the iNos, Icam-1, Vcam-1 and E-selectin expression. At the same time, the maximum efficiency was found in the group of the animals that received the peptide with the laboratory code EP-11-1. The anti-inflammatory effect of EPO and its derivatives is widely known and has been studied [32], and this study confirmed the retention of this type of activity in derivatives that mimic the erythropoietin B chain.
The study of the peptides pharmacological effect of on isolated segments of the pulmonary aorta in Polgmut/mut/Cdh5-CRE mice showed that the endothelium-dependent vasodilation induced by Ach, was significantly reduced (70.78% at the acetycholine concentration 10-4 М) compared to intact wild-type mice (49.2% at the acetycholine concentration 10-4 М). The use of peptide EP-11-1 led to the restoration of endothelium-dependent vasodilation induced by ACh at concentrations 10-6М, 10-5М и 10-4М in mice with endothelial specific overexpression of the mutant gene Polg. The administration of the original pHBSP peptide also led to an increase in the vascular relaxation in response to the administration of ACh at concentrations 10-5М и 10-4М. The introduction of peptides with laboratory codes of another leader compound EP-11-2 and EP-11-3, did not statistically significantly affect the degree of response of the vascular segment to ACh. Noteworthy, no changes in the response of endothelium to independent vasodilation in any of the experimental groups were found. This fact confirms that in this study, the tissue protective effect of the peptides is in the normalization of the function of the vascular endothelium which determines the pronounced endothelial protective activity of these compounds.
CONCLUSION
At the first stage of the search for new EPO derivatives with tissue protective properties without manifesting a hematopoietic activity, the original pHBSP peptide was enriched by adding tripeptide motifs RGD, KGD, and PGP. The resulting compounds combined cytoprotective and antiplatelet effects, had an endothelial protective activity, and were able to attenuate atherosclerotic lesions. In the present study, the second pool of compounds – derivatives of the pHBSP peptide with laboratory codes EP-11-1 (UEHLERALNSS), EP-11-2. (UEQLERALNCS), EP-11-3 (UEQLERALNTS), obtained by BLAST-searching for groups of related to pHBSP peptides, was tested. In the study carried out on a mouse model of the endotheliospecific expression of the mutant Polg gene, it has been shown that the most active compound with laboratory code EP-11-1 has a more pronounced atheroprotective and endothelial protective activity than the original peptide pHBSP.
The results of this study, in combination with the previously obtained data characterizing the pharmacological activity of pHBSP derivatives containing RGD, KGD, and PGP, prove the effectiveness of this approach and reveal the prospects for further search for new EPO-derived nonhematopoietic peptides with tissue protective properties
FUNDING
The study was supported by the grant of the President of the Russian Federation MD-757.2020.7 and the RFBR grant project No. 19-34-90073.
CONFLICT OF INTEREST
The authors declare no conflict of interest.
AUTHORS’ CONTRIBUTION
Mikhail V. Korokin – main idea, study planning, study conducting, statistical proceeding, article writing; Marina V. Kubekina – preparation of experimental animals, extraction of RNA, reverse transcription, analysis of the expression of targeted genes; Alexey V. Deykin – RNA extraction, reverse transcription, analysis of the expression of targeted genes; Oleg V. Antsiferov – observation, care and handling of animals, drugs administration, research of pharmacological activity; Vladimir M. Pokrovskii – observation, care and handling of animals, drugs administration, research of pharmacological activity; Liliya V. Korokina – statistical processing, development of research design; Pobeda A.S. – statistical processing, article writing, references formalization; Valeria A. Soldatova – observation, care and handling of animals, drugs administration, research of pharmacological activity; Natalia L. Kartashkina – reverse transcription, analysis of the expression of targeted genes; Elena V. Kuzubova – observation, care and handling of animals, drugs administration, research of pharmacological activity; Alexandra I. Radchenko – observation, care and handling of animals, drugs administration, research of pharmacological activity; Mikhail V. Pokrovskii – research planning, management of experimental work, quality assurance.
作者简介
Mikhail Korokin
Belgorod State National Research University
							编辑信件的主要联系方式.
							Email: mkorokin@mail.ru
				                	ORCID iD: 0000-0001-5402-0697
				                																			                								
Doctor of Sciences (Medicine), Associate Professor, Head of the Laboratory of the Pharmacology of Living Systems Research Institute
俄罗斯联邦, 85, Pobedа Str., Belgorod, Russia, 308015Marina Kubekina
Institute of Gene Biology, Russian Academy of Sciences
														Email: kubekina@genebiology.ru
				                	ORCID iD: 0000-0002-8834-1111
				                																			                								
Postgraduate Student, Junior Researcher
俄罗斯联邦, Bldg. 5, 34, Vavilov Str., Moscow, Russia, 119334Alexey Deykin
Belgorod State National Research University; Institute of Gene Biology, Russian Academy of Sciences
														Email: alexei@deikin.ru
				                	ORCID iD: 0000-0001-9960-0863
				                																			                								
Candidate of Sciences (Biology)
俄罗斯联邦, 85, Pobedа Str., Belgorod, Russia, 308015; Bldg. 5, 34, Vavilov Str., Moscow, Russia, 119334Oleg Antsiferov
Belgorod State National Research University
														Email: antsiferov@bsu.edu.ru
				                	ORCID iD: 0000-0001-6439-2419
				                																			                								
Senior Lecturer of the Departament of Faculty Therapy
俄罗斯联邦, 85, Pobedа Str., Belgorod, Russia, 308015Vladimir Pokrovskii
Belgorod State National Research University
														Email: vmpokrovsky@yandex.ru
				                	ORCID iD: 0000-0003-3138-2075
				                																			                								
6th year student
俄罗斯联邦, 85, Pobedа Str., Belgorod, Russia, 308015Liliya Korokina
Belgorod State National Research University
														Email: korokina@mail.ru
				                	ORCID iD: 0000-0002-4115-1564
				                																			                								
Candidate of Sciences (Medicine), Associate Professor, Associate Professor of the Department of Pharmacology
俄罗斯联邦, 85, Pobedа Str., Belgorod, Russia, 308015Natalia Kartashkina
First Moscow State Medical University named after I. M. Sechenov (Sechenov University)
														Email: kartashkuna_n_l@staff.sechenov.ru
				                	ORCID iD: 0000-0003-4648-9027
				                																			                								
Candidate of Sciences (Medicine), Associate Professor of the Department of histology, cytology and embryology
俄罗斯联邦, Bldg. 2, 8, Trubetskaya str., Moscow, Russia, 119991Valeria Soldatova
Belgorod State National Research University
														Email: lorsoldatova@gmail.com
				                	ORCID iD: 0000-0001-6637-1654
				                																			                								
Postgraduate student of the Department of Pharmacology
俄罗斯联邦, 85, Pobedа Str., Belgorod, Russia, 308015Elena Kuzubova
Belgorod State National Research University
														Email: 1015artek1015@mail.ru
				                	ORCID iD: 0000-0003-2425-5027
				                																			                								
Postgraduate student of the Department of Pharmacology and Clinical Pharmacology
俄罗斯联邦, 85, Pobedа Str., Belgorod, Russia, 308015Alexandra Radchenko
Belgorod State National Research University
														Email: sandrinkaradchenko@gmail.com
				                	ORCID iD: 0000-0002-4554-2116
				                																			                								
Postgraduate student of the Department of Pharmacology and Clinical Pharmacology
俄罗斯联邦, 85, Pobedа Str., Belgorod, Russia, 308015Mikhail Pokrovskii
Belgorod State National Research University
														Email: pokrovskii@bsu.edu.ru
				                	ORCID iD: 0000-0002-1493-3376
				                																			                								
Doctor of Sciences (Medicine), Professor, Head of the Department of Pharmacology and Clinical Pharmacology
俄罗斯联邦, 85, Pobedа Str., Belgorod, Russia, 308015参考
- Jelkmann W. Erythropoietin after a century of research: younger than ever. Eur J Haematol. 2007 Mar;78(3):183–205. doi: 10.1111/j.1600-0609.2007.00818.x.
- Heikal L, Ghezzi P, Mengozzi M, Stelmaszczuk B, Feelisch M, Ferns GA. Erythropoietin and a nonerythropoietic peptide analog promote aortic endothelial cell repair under hypoxic conditions: role of nitric oxide. Hypoxia (Auckl). 2016 Aug 16;4:121–133. doi: 10.2147/HP.S104377.
- Zhang Y, Wang L, Dey S, Alnaeeli M, Suresh S, Rogers H, Teng R, Noguchi CT. Erythropoietin Action in Stress Response, Tissue Maintenance and Metabolism. International Journal of Molecular Sciences. 2014; 15(6):10296–10333. doi: 10.3390/ijms150610296.
- Wu H, Liu X, Jaenisch R, Lodish HF. Generation of committed erythroid BFU-E and CFU-E progenitors does not require erythropoietin or the erythropoietin receptor. Cell. 1995 Oct 6;83(1):59–67. doi: 10.1016/0092-8674(95)90234-1.
- Lin CS, Lim SK, D’Agati V, Costantini F. Differential effects of an erythropoietin receptor gene disruption on primitive and definitive erythropoiesis. Genes Dev. 1996 Jan 15;10(2):154–64. doi: 10.1101/gad.10.2.154.
- Ueba H, Shiomi M, Brines M, Yamin M, Kobayashi T, Ako J, Momomura S, Cerami A, Kawakami M. Suppression of coronary atherosclerosis by helix B surface Peptide, a nonerythropoietic, tissue-protective compound derived from erythropoietin. Mol Med. 2013 Jul 24;19(1):195–202. doi: 10.2119/molmed.2013.00037.
- Lu KY, Ching LC, Su KH, Yu YB, Kou YR, Hsiao SH, Huang YC, Chen CY, Cheng LC, Pan CC, Lee TS. Erythropoietin suppresses the formation of macrophage foam cells: role of liver X receptor alpha. Circulation. 2010 Apr 27;121(16):1828–37. doi: 10.1161/CIRCULATIONAHA.109.876839.
- Haine L, Yegen CH, Marchant D, Richalet JP, Boncoeur E, Voituron N. Cytoprotective effects of erythropoietin: What about the lung? Biomedicine & Pharmacotherapy. 2021;139:111547. doi: 10.1016/j.biopha.2021.111547.
- Brines M, Grasso G, Fiordaliso F, Sfacteria A, Ghezzi P, Fratelli M, Latini R, Xie QW, Smart J, Su-Rick CJ, Pobre E, Diaz D, Gomez D, Hand C, Coleman T, Cerami A. Erythropoietin mediates tissue protection through an erythropoietin and common beta-subunit heteroreceptor. Proc Natl Acad Sci USA. 2004 Oct 12;101(41):14907–12. doi: 10.1073/pnas.0406491101.
- Brines M, Grasso G, Fiordaliso F, Sfacteria A, Ghezzi P, Fratelli M, Latini R, Xie QW, Smart J, Su-Rick CJ, Pobre E, Diaz D, Gomez D, Hand C, Coleman T, Cerami A. Erythropoietin mediates tissue protection through an erythropoietin and common beta-subunit heteroreceptor. Proceedings of the National Academy of Sciences USA. 2001;101(41): 14907–12. doi: 10.1073/pnas.0406491101.
- Anagnostou A, Lee ES, Kessimian N, Levinson R, Steiner M. Erythropoietin has a mitogenic and positive chemotactic effect on endothelial cells. Proceedings of the National Academy of Sciences USA. 1990;87: 5978–82. doi: 10.1073/pnas.87.15.5978.
- Hou J, Wang S, Shang YC, Chong ZZ, Maiese K. Erythropoietin employs cell longevity pathways of SIRT1 to foster endothelial vascular integrity during oxidant stress. Curr Neurovasc Res. 2011 Aug 1;8(3):220–35. doi: 10.2174/156720211796558069.
- Beleslin-Čokić BB, Cokić VP, Wang L, Piknova B, Teng R, Schechter AN, Noguchi CT. Erythropoietin and hypoxia increase erythropoietin receptor and nitric oxide levels in lung microvascular endothelial cells. Cytokine. 2011 May;54(2):129–35. doi: 10.1016/j.cyto.2011.01.015.
- Kanagy NL, Perrine MF, Cheung DK, Walker BR. Erythropoietin administration in vivo increases vascular nitric oxide synthase expression. J Cardiovasc Pharmacol. 2003 Oct;42(4):527–33. doi: 10.1097/00005344-200310000-00011.
- Corwin HL, Gettinger A, Fabian TC, May A, Pearl RG, Heard S, An R, Bowers PJ, Burton P, Klausner MA, Corwin MJ; EPO Critical Care Trials Group. Efficacy and safety of epoetin alfa in critically ill patients. N Engl J Med. 2007 Sep 6;357(10):965–76. doi: 10.1056/NEJMoa071533.
- Brines M, Patel NS, Villa P, Brines C, Mennini T, De Paola M, Erbayraktar Z, Erbayraktar S, Sepodes B, Thiemermann C, Ghezzi P, Yamin M, Hand CC, Xie QW, Coleman T, Cerami A. Nonerythropoietic, tissue-protective peptides derived from the tertiary structure of erythropoietin. Proc Natl Acad Sci USA. 2008 Aug 5;105(31):10925–30. doi: 10.1073/pnas.0805594105.
- Erbayraktar Z, Erbayraktar S, Yilmaz O, Cerami A, Coleman T, Brines M. Nonerythropoietic tissue protective compounds are highly effective facilitators of wound healing. Molecular Medicine. 2009;15: 235–241. doi: 10.2119/molmed.2009.00051.
- Ueba H, Brines M, Yamin M, Umemoto T, Ako J, Momomura S, Cerami A, Kawakami M. Cardioprotection by a nonerythropoietic, tissue-protective peptide mimicking the 3D structure of erythropoietin. Proceedings of the National Academy of Sciences USA. 2010;107:14357–62. doi: 10.1073/pnas.1003019107.
- Ahmet I, Tae HJ, Juhaszova M, Riordon DR, Boheler KR, Sollott SJ, Brines M, Cerami A, Lakatta EG, Talan MI. A small nonerythropoietic helix B surface peptide based upon erythropoietin structure is cardioprotective against ischemic myocardial damage. Mol Med. 2011 Mar–Apr;17(3–4):194–200. doi: 10.2119/molmed.2010.00235.
- Puchenkova OA, Nadezhdin SV, Soldatov VO, Zhuchenko MA, Korshunova DS, Kubekina MV, Korshunov EN, Korokina LV, Golubinskaya PA, Kulikov AL, Gureev VV, Pokrovskiy VM, Patrakhanov EA, Lebedev PR, Denisyuk TA, Belyaeva VS, Movchan EA, Lepetukha EI, Pokrovskiy MV. Study of antiatherosclerotic and endothelioprotective activity of peptide agonists of EpoR/CD131 heteroreceptor. Pharmacy & Pharmacology. 2020;8(2):100–111. doi: 10.19163/2307-9266-2020-8-2-100-111.
- Stubbendorff M, Hua X, Deuse T, Ali Z, Reichenspurner H, Maegdefessel L, Robbins RC, Schrepfer S. Inducing myointimal hyperplasia versus atherosclerosis in mice: an introduction of two valid models. J Vis Exp. 2014 May 14;(87):51459. doi: 10.3791/51459.
- Tediashvili G, Wang D, Reichenspurner H, Deuse T, Schrepfer S. Balloon-based Injury to Induce Myointimal Hyperplasia in the Mouse Abdominal Aorta. J Vis Exp. 2018 Feb 7;(132):56477. doi: 10.3791/56477.
- Teng R, Calvert JW, Sibmooh N, Piknova B, Suzuki N, Sun J, Martinez K, Yamamoto M, Schechter AN, Lefer DJ, Noguchi CT. Acute erythropoietin cardioprotection is mediated by endothelial response. Basic Res Cardiol. 2011 May;106(3):343–54. doi: 10.1007/s00395-011-0158-z.
- Yasuda H, Iwata Y, Nakajima S, Furuichi K, Miyake T, Sakai N, Kitajima S, Toyama T, Shinozaki Y, Sagara A, Miyagawa T, Hara A, Shimizu M, Kamikawa Y, Sato K, Oshima M, Yoneda-Nakagawa S, Kaneko S, Wada T. Erythropoietin signal protected human umbilical vein endothelial cells from high glucose-induced injury. Nephrology (Carlton). 2019 Jul;24(7):767–774. doi: 10.1111/nep.13518.
- Beleslin-Cokic BB, Cokic VP, Yu X, Weksler BB, Schechter AN, Noguchi CT. Erythropoietin and hypoxia stimulate erythropoietin receptor and nitric oxide production by endothelial cells. Blood. 2004 Oct 1;104(7):2073–80. doi: 10.1182/blood-2004-02-0744.
- Korokin MV, Soldatov VO, Tietze AA, Golubev MV, Belykh AE, Kubekina MV, Puchenkova OA, Denisyuk TA, Gureyev VV, Pokrovskaya TG, Gudyrev OS, Zhuchenko MA, Zatolokina MA, Pokrovskiy MV. 11-amino acid peptide imitating the structure of erythropoietin α-helix b improves endothelial function, but stimulates thrombosis in rats. Pharmacy & Pharmacology. 2019;7(6):312–320. doi: 10.19163/2307-9266-2019-7-6-312-320.
- Shokrzadeh M, Etebari M, Ghassemi-Barghi N. An engineered non-erythropoietic erythropoietin-derived peptide, ARA290, attenuates doxorubicin induced genotoxicity and oxidative stress. Toxicol In Vitro. 2020 Aug;66:104864. doi: 10.1016/j.tiv.2020.104864.
- Belyaeva VS, Stepenko YuV, Lyubimov II, Kulikov AL, Tietze AA, Kochkarova IS, Martynova OV, Pokopeyko ON, Kru-pen’kina LA, Nagikh AS, Pokrovskiy VM, Patrakhanov EA, Belashova AV, Lebedev PR, Gureeva AV. Non-hematopoietic erythropoietin-derived peptides for atheroprotection and treatment of cardiovascular diseases. Research Results in Pharmacology. 2020;6(3): 75–86. doi: 10.3897/rrpharmacology.6.58891.
- Golubev IV, Gureev VV, Korokin MV, Zatolokina MA, Avdeeva EV, Gureeva AV, Rozhkov IS, Serdyuk EA, Soldatova VA Preclinical study of innovative peptides mimicking the tertiary structure of the α-helix B of erythropoietin. Research Results in Pharmacology. 2020;6(2):85–96. doi: 10.3897/rrpharmacology.6.55385.
- Golubev IV, Gureev VV, Korokina LV, Gudyrev OS, Pokrovskaia TG, Pokopeiko ON, Pokrovskii VM, Artyushkova EB, Korokin MV. The anti-aggregation activity of new 11-amino acid of erythropoietin derivate containing tripeptide motifs. Archivos venezolanos de farmacología y terapéutica. 2020;39(5):588–91. doi: 10.5281/zenodo.4264989.
- Warren JS, Zhao Y, Yung R, Desai A. Recombinant human erythropoietin suppresses endothelial cell apoptosis and reduces the ratio of Bax to Bcl-2 proteins in the aortas of apolipoprotein E-deficient mice. J Cardiovasc Pharmacol. 2011 Apr;57(4):424–33. doi: 10.1097/FJC.0b013e31820d92fd.
- Nairz M, Sonnweber T, Schroll A, Theurl I, Weiss G. The pleiotropic effects of erythropoietin in infection and inflammation. Microbes Infect. 2012 Mar;14(3):238–46. doi: 10.1016/j.micinf.2011.10.005.
补充文件
 
				
			 
						 
						 
					








