The role of natural sorbents and piping production waste in the treatment of acid iron-containing waste water
- Authors: Bryukhov M.N.1, Ulrikh D.V.1, Lonzinger T.M.1, Denisov S.E.1
-
Affiliations:
- South Ural State University
- Issue: Vol 13, No 4 (2023)
- Pages: 11-19
- Section: WATER SUPPLY, SEWERAGE, CONSTRUCTION SYSTEMS FOR PROTECTION OF WATER RESOURCES
- URL: https://journals.eco-vector.com/2542-0151/article/view/611069
- DOI: https://doi.org/10.17673/Vestnik.2023.04.02
- ID: 611069
Cite item
Full Text
Abstract
In this article, we consider the sorption purification of production wastewater from pipe industry enterprises. We have presented and studied the potential sorbents from among natural materials and from piping production waste. The authors of this paper have studied the sorption capacity of the materials under consideration with regard to heavy metals from highly acidic iron-containing wastewater both in static and dynamic modes. The static-mode research has been conducted for various temperatures: 10°С, 20°С and 30°С. In the dynamic conditions, the filtrate flow rate equaled 0.3, 0.6 and 1.2 l/h. The authors have proven that a number of the examined materials can be used as sorbents or constituting elements of composite sorbents for the technology of wastewater treatment at pipe industry enterprises.
Full Text
Введение
Одной из главных экологических проблем современности является рост объёмов воды, потребляемых промышленными предприятиями, и увеличение стоков. Состав производственных сточных вод на предприятиях зависит от используемых технологий, состава и качества сырья. Поэтому не существует универсальных технологических решений. Существующие технологии зачастую многостадийны, весьма затратны, требуют применения большого количества химических реагентов, что приводит к вторичному загрязнению окружающей среды. Можно констатировать, что эта проблема актуальна для промышленности всего мира, поэтому исследования проводятся во всех странах [1–15].
Различные загрязнения, в том числе и тяжелые металлы, попадающие в окружающую среду со сточными водами, негативно воздействуют на водные экосистемы. Они оказывают влияние на биохимические, физиологические процессы в организме биологических объектов [16]. В воде тяжёлые металлы могут находиться в различных миграционных формах – растворенной, эмульгированной, сорбированной на взвешенных частицах и в донных отложениях в виде пленки на поверхности воды. Другим видом опасных загрязнителей сточной воды являются токсичные органические загрязнения. Воздействие этих загрязняющих веществ на экосистемы водоемов носит комплексный характер: изменяется физико-химический состав воды, его последствия проявляются на популяционном и биоценотическом уровнях. Скорость накопления поллютантов в результате техногенного загрязнения в водных экосистемах далеко опережает скорость их биодеградации естественным путем, а существующие технологии не всегда позволяют справляться с такими загрязнениями быстро и эффективно [17].
К настоящему времени разработано большое количество способов и материалов, позволяющих извлекать загрязнители из воды. Одним из традиционных и распространенных способов является сорбционный. Под сорбцией понимают поглощение газообразных или жидких веществ твердыми телами или жидкостями из окружающего их пространства. При ионном обмене происходит самопроизвольный процесс обмена ионов между сорбентом и сорбатом.
Несмотря на появление новых, часто более эффективных, способов (например, барометрический) сорбционные не уступают первенство по применению. Это объясняется их эффективностью с экологической и экономической точек зрения.
Одним из достоинств сорбционного способа является то, что в качестве исходного материала для получения сорбентов могут использоваться как природные материалы, так и отходы производства, составляющие весомую долю в общем объеме образующихся отходов, что, в свою очередь, позволяет решить важнейшую экологическую проблему – утилизацию отходов. В настоящее время накоплено большое количество промышленных отходов, которые могут рассматриваться как техногенные месторождения. Состав материалов в отходах имеет широкий спектр, поэтому они используются в различных областях промышленности. Отходы металлургической промышленности и машиностроения образуются из сырьевых материалов под воздействием высоких температур и химических реагентов, и их пористая структура с активированной поверхностью является предпосылкой для использования в качестве сырья при изготовлении сорбционных материалов для очистки сточных вод. Поэтому актуальным является исследование новых материалов для получения сорбентов на основе вторичных ресурсов, обладающих высокой эффективностью очистки воды от загрязнений и низкой стоимостью.
В настоящей статье рассматривается возможность применения материалов из природного сырья и отходов производств для очистки железосодержащих сточных вод предприятий трубной промышленности.
Целью данной работы является оценка сорбционной способности вышеперечисленных материалов при очистке железосодержащих производственных сточных вод предприятий трубной промышленности.
Объекты и методы исследования
Исследования взаимодействия в системе сорбент-сорбат проводили в лабораторных условиях методом ограниченного объёма при статической сорбции, когда поллютанты находились в жидкой фазе и приводились в контакт с неподвижным сорбентом. В статических условиях использовали соотношение твёрдое (сорбент) и жидкое (сорбат), равное 1:10. Температуру системы изменяли от 10 до 30 °С. Время экспозиции составляло до четырех недель. В динамическом режиме исследовали фильтрацию сточных вод на лабораторной установке. Максимальный расход фильтрата составлял 1,2 л/ч. Массу пробы в фильтрующей загрузке варьировали от 15 до 359 г.
В качестве сорбентов при проведении исследований использовали: уголь древесный, вспученный перлит, кирпич (пережог), глауконит (Каринское месторождение), торф верховой, каолин (Кыштымское месторождение), пеностекло, флюс электросварочного цеха и отходы прокатного производства.
Сорбатом в исследовании были кислые сточные воды трубного предприятия следующего состава, мг/л: Al – от 9,24 до 10,15; Co – от 0,2 до 0,23; Cr – от 4,26 до 5,01; Cu – от 0,54 до 0,48; Fe – от 207,22 до 296,76; Mn – 3,53; Ni от 2,47 до 2,66; P –0,17; Pb – от 0,49 до 0,5; Ti – 0,02; Zn – 12,09; рН – 2,16.
При проведении анализа состава сточной воды и фильтрата использовали атомно-эмиссионный спектрометр с индуктивно-связанной плазмой OPTIMA 2100DV «Perkin Elmer», США. В качестве фонового раствора использовали воду особой степени очистки, полученную на приборе «Simplicity UV» (Франция), рН-метр 150МИ.
Результаты и их обсуждение
Изучение эффективности сорбционного извлечения тяжёлых металлов в статических условиях исследованными сорбентами подтвердило зависимость количества извлечённых ионов от времени контакта фаз, рН раствора и температуры окружающей среды.
В таблице приведены усредненные экспериментальные данные, показывающие зависимость адсорбции катионов металлов от вида сорбента, времени контакта сорбента с сорбатом, температуры.
Эффективность очистки кислых сточных вод трубного предприятия в зависимости от температуры и времени контакта фаз в статическом режиме (усредненные значения)
Сорбент | Эффективность очистки, % | ||||||||
10 °С | 20 °С | 30 °С | |||||||
7 сут | 14 сут | 28 сут | 7 сут | 14 сут | 28 сут | 7 сут | 14 сут | 28 сут | |
Древесный уголь | 93,2 | 94,5 | 95,8 | 94,4 | 95,2 | 95,9 | 94,8 | 95,7 | 94,5 |
Вспученный перлит | 88,2 | 89,5 | 90,8 | 88,6 | 91,1 | 92,3 | 90,7 | 92,8 | 94,9 |
Кирпич (пережог) | 93,4 | 94,4 | 95,6 | 94,3 | 95,4 | 97,0 | 95,4 | 96,9 | 97,4 |
Глауконит | 86,4 | 93,4 | 93,1 | 94,1 | 94,7 | 94,9 | 94,4 | 94,3 | 94,4 |
Торф верховой | 94,3 | 95,6 | 96,1 | 95,4 | 96,7 | 97,4 | 96,0 | 97,5 | 98,1 |
Каолин | 88,7 | 91,5 | 91,4 | 89,7 | 91,3 | 92,8 | 91,9 | 91,6 | 91,8 |
Пеностекло | 83,9 | 86,7 | 88,7 | 86,5 | 89,9 | 91,4 | 87,6 | 89,1 | 92,9 |
Флюс электросварочного цеха | 95,9 | 98,3 | 95,1 | 97,0 | 98,3 | 97,7 | 98,2 | 98,3 | 97,8 |
Отходы прокатного производства | 71,0 | 79,5 | 81,0 | 72,5 | 82,3 | 81,0 | 81,5 | 83,1 | 84,0 |
Данные таблицы показывают, что наиболее эффективно ионы тяжёлых металлов из сточной воды удаляют сорбенты из природных материалов древесного угля и торфа верхового. Максимальная эффективность очистки для этих материалов составляет 95,9 и 98,1 % соответственно. На таком же высоком уровне находятся показатели эффективности очистки при использовании в качестве сорбента отходов производства: кирпича (пережог) – 97,4 % и флюса электросварочного цеха – 98,3 %. С увеличением температуры системы сорбент-сорбат и времени контакта фаз эффективность очистки повышается за исключением флюса электросварочного производства, для которого оптимальное время взаимодействия составляет 14 сут.
На рис. 1 приведены данные об изменении водородного показателя сорбата после контакта с сорбентами в зависимости от температуры системы сорбент-сорбат.
Рис. 1. Изменение рН в зависимости от времени контакта сорбента с сорбатом при температуре среды: а – 10 °С; б – 20 °С; в – 30 °С
Данные на рисунках показывают, что при использовании в качестве сорбентов каолина, вспученного перлита, глауконита водородный показатель системы не изменяется и находится в сильно кислой области. Верховой торф, кирпич (пережог), пеностекло и отходы прокатного производства при взаимодействии со сточной водой в течение 7 сут повышают водородный показатель системы до 3,8–4,8. Вода после очистки имеет кислую и слабокислую реакцию. Древесный уголь и флюс электросварочного цеха одновременно с сорбцией тяжёлых металлов нейтрализуют сточную воду. Через 7 сут водородный показатель в этих системах имеет значение 6 при температуре 10 °С и увеличивается до 6,84 при температуре 30 °С, что соответствует нейтральной среде.
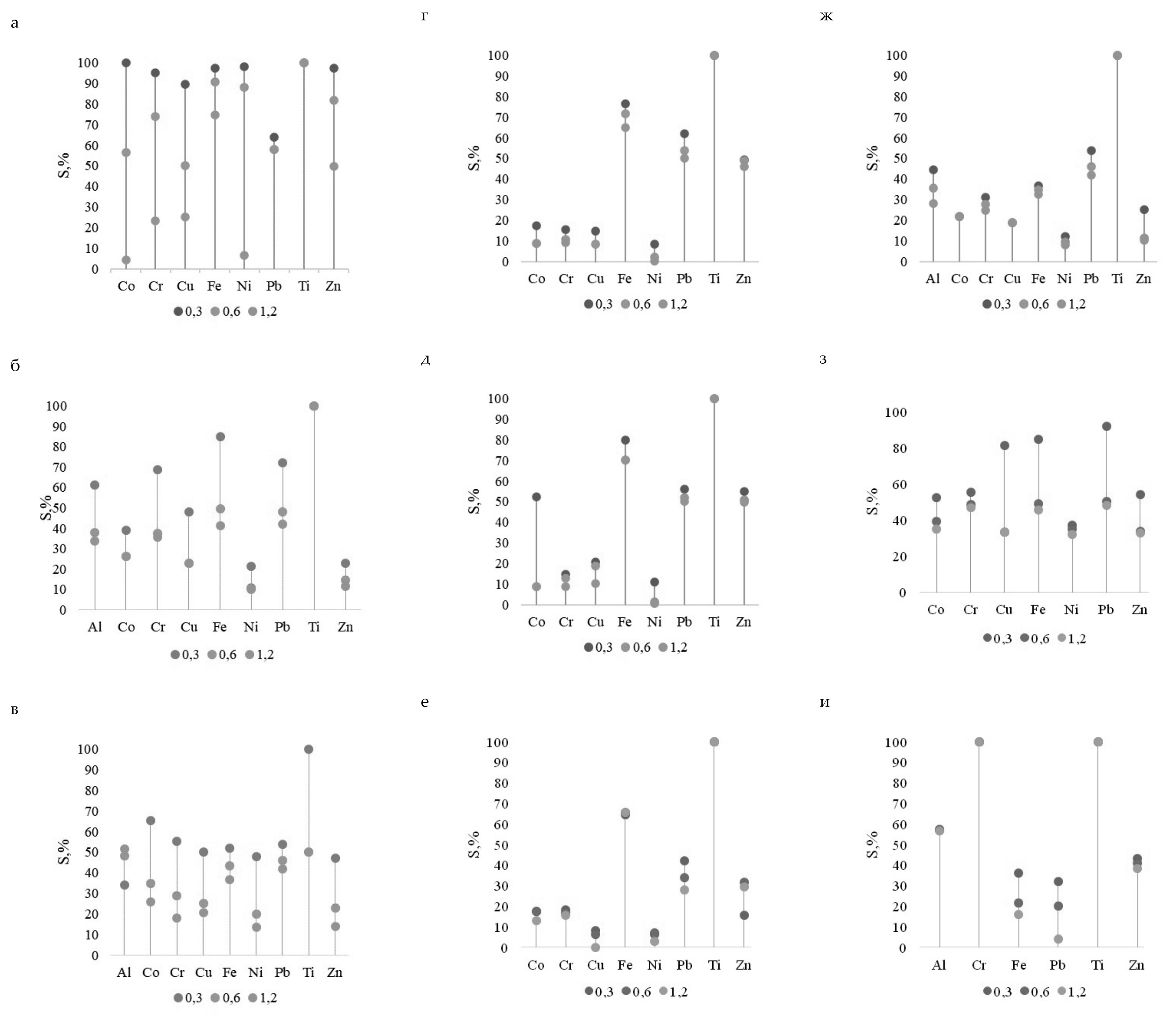
При динамическом режиме сорбционной очистки воды с техногенными загрязнениями важное значение имеет расход фильтрата. При проведении экспериментов использовали несколько скоростных режимов фильтрации сорбата через сорбент. Результаты исследований представлены на рис. 2.
Рис. 2. Эффективность извлечения поллютантов из сточных вод при динамическом режиме фильтрации: а – торфом верховым; б – древесным углем; в – вспученным перлитом; г – кирпичом (пережог); д – глауконитом; е – каолином; ж – пеностеклом; з – флюсом электросварочного цеха; и – отходами прокатного производства
Экспериментальные данные по эффективности извлечения поллютантов из сточных вод показывают, что при расходе фильтрата 0,3 л/ч степень очистки железосодержащих сточных вод и, соответственно, количество сорбированных катионов металлов единицей массы сорбента выше чем 1,2 л/ч.
При динамическом режиме лучшие результаты по эффективности очистки показывает использование в качестве сорбента природных материалов торфа верхового, древесного угля и глауконита. Флюс электросварочного цеха при низких расходах фильтрата позволяет получить эффективность очистки 55–90 %. Лучше всего флюс удаляет из стоков свинец, железо, медь. Наиболее низкую эффективность очистки показали кирпич (пережог) и пеностекло. Извлечение кобальта, хрома и меди для этих сорбентов не превышает 18–30 %.
Изменение рН сорбата в процессе сорбции в динамических условиях показано на рис. 3.
Рис. 3. Изменение рН в зависимости от времени контакта сорбента с сорбатом в динамическом режиме фильтрации
Полученные данные показывают, что рН сорбата при использовании в качестве сорбента торфа верхового увеличивается с 2,16 до 5,28 при расходе фильтрата 0,3 л/ч, с увеличением расхода показатель снизился до 2,63 при 1,2 л/ч. Отходы прокатного производства и флюс электросварочного цеха увеличивают рН сорбата после взаимодействия до 4,6 и 3,7 при низких расходах фильтрата. Пеностекло, глина, глауконит, вспученный перлит и древесный уголь практически не изменяют водородный показатель фильтрата, он остаётся в сильнокислой области.
Анализ полученных результатов позволяет сделать вывод, что для очистки сточных вод трубного производства эффективно использование в технологии сорбционной очистки флюса электросварочного цеха при статическом режиме наряду с известным материалом – древесным углем. Флюс электросварочного цеха одновременно с сорбцией тяжёлых металлов нейтрализует сточную воду. При динамическом режиме флюс электросварочного цеха позволяет получить эффективность очистки 55–90 %.
Проведённые исследования показали, что использование отходов производства в качестве сорбентов при очистке сильнокислых вод предприятий трубной промышленности является перспективным направлением. Дальнейшие исследования должны быть направлены на повышение эффективности сорбентов за счёт создания композитных структур с эффектом эмерджентности.
Заключение
Очистка от тяжёлых металлов кислых сточных вод предприятий трубной промышленности является сложной технологической задачей. Проведённые исследования показали, что её решение может быть достигнуто при использовании сорбционных технологий.
В качестве сорбентов при проведении исследований использовали известные материалы: уголь древесный, вспученный перлит, глауконит (Каринское месторождение), торф верховой, каолин (Кыштымское месторождение), пеностекло, а также отходы промышленного производства: кирпич (пережог), флюс электросварочного цеха, отходы прокатного производства.
Установлено, что наиболее эффективно ионы тяжёлых металлов из сточной воды удаляют сорбенты из природных материалов: древесного угля и торфа верхового. Максимальная эффективность очистки для этих материалов составляет 95,9 и 98,1 % соответственно. На этом же высоком уровне находятся показатели эффективности очистки при использовании в качестве сорбента отходов производства: кирпича (пережог) – 97,4 % и флюса электросварочного цеха – 98,3 %. С увеличением температуры системы сорбент-сорбат и времени контакта фаз эффективность очистки увеличивается.
Для кислых сточных вод обязательной технологической операцией является нейтрализация стоков. Водородный показатель воды должен быть в нейтральной области. При использовании в качестве сорбентов известных материалов (каолина, вспученного перлита, глауконита) водородный показатель системы не изменяется и находится в сильнокислой области. Верховой торф, кирпич (пережог), пеностекло и отходы прокатного производства при взаимодействии со сточной водой в течение 7 сут повышают водородный показатель системы до 3,8–4,8. Вода после очистки имеет кислую и слабокислую реакцию. Флюс электросварочного цеха одновременно с сорбцией тяжёлых металлов нейтрализует сточную воду. Через 7 сут водородный показатель имеет значение 6 при температуре 10 °С и увеличивается до 6,84 при температуре 30 °С, что соответствует нейтральной среде. Поэтому использование флюса в качестве сорбента приводит к снижению затрат на очистку воды.
При динамическом режиме лучшие результаты по эффективности очистки показывает использование в качестве сорбента природных материалов: торфа верхового, древесного угля и глауконита. Флюс электросварочного цеха при низких расходах фильтрата позволяет получить эффективность очистки 55–90 %. Лучше всего флюс удаляет из стоков свинец, железо, медь. Наиболее низкую эффективность очистки показали кирпич (пережог) и пеностекло. Извлечение кобальта, хрома и меди для этих сорбентов не превышает 18–30 %.
Экспериментальными исследованиями доказано, что исследованные отходы сварочного производства могут быть использованы в качестве сорбента или составляющей композитного сорбента для извлечения тяжелых металлов из кислых сточных вод трубного производства. Технология может быть реализована как путем внесения сорбентов в сточные воды с последующим отделением, так и в динамических условиях путем фильтрации через слой сорбционного материала.
About the authors
Mikhail N. Bryukhov
South Ural State University
Email: briukhovmn@susu.ru
Postgraduate student, Deputy Director of the Institute of Architecture and Civil Engineering, Research Associate of the Urban Planning, Engineering Networks and Systems Chair
Russian Federation, 454080, Chelyabinsk, V.I. Lenin pr., 76Dmitrii V. Ulrikh
South Ural State University
Email: ulrikhdv@susu.ru
Doctor of Engineering Science, Associate Professor, Director of the Institute of Architecture and Civil Engineering, Head of the Urban Planning, Engineering Networks and Systems Chair
Russian Federation, 454080, Chelyabinsk, V.I. Lenin pr., 76Tatiana M. Lonzinger
South Ural State University
Email: lonzingertm@susu.ru
PhD in of Engineering Sciences, Associate Professor, Research Associate of the Materials Science and Physical Chemistry of Materials Chair
Russian Federation, 454080, Chelyabinsk, V.I. Lenin pr., 76Sergey E. Denisov
South Ural State University
Author for correspondence.
Email: denisovse@susu.ru
Doctor of Engineering Science, Professor, Professor of the Urban Planning, Engineering Networks and Systems Chair
Russian Federation, 454080, Chelyabinsk, V.I. Lenin pr., 76References
- Yermolin Yu.A., Alekseev M.I. Industrial wastewater treatment as a controlled process. Voda i jekologija: problemy i reshenija [Water and Ecology: Challenges and Solutions], 2017, no. 2(70). Available at: https://cyberleninka.ru/article/n/promyshlennaya-ochistka-stochnyh-vod-kak-upravlyaemyy-protsess (Accessed 14 June 2023).
- Alekseev M.I., Shotina K.V., Moiges O.V. Optimization of the phosphorus removal process with the use of waste water treatment technology with increased doses of active sludge. Doklady 66-j nauchnoj konferencii SPbGASU. Ch. II [Reports of the 66th Scientific Conference of St. Petersburg GASU. PART II]. St. Petersburg, 2009, pp. 8–12. (In Russian).
- Ksenofontov B.S., Kozodaev A.S., Taranov R.A., Vinogradov M.S. Flotocombine for wastewater treatment. Kadry innovacionnogo razvitija [Innovative Development Cadres], 2022, no.2, pp. 49–57. (in Russian)
- Ksenofontov B.S., Kozodaev A.S., Taranov R.A., Vinogradov M.S., Senik E.V. Intensification of wastewater treatment of machine-building plants using reagent compositions. Bezopasnost’ zhiznedejatel’nosti [Health and Safety], 2020, no.8, pp. 16–19. (in Russian)
- Ksenofontov B.S., Kozodaev A.S., Taranov R.A., Voropaeva A.A., Vinogradov M.S., Senik E.V. Surface wastewater treatment using natural phytosystems. Bezopasnost’ zhiznedejatel’nosti [Health and Safety], 2016, no. 7, pp. 30–34. (in Russian)
- Ksenofontov B.S., Taranov R.A., Kozodaev A.S., Voropaeva A.A., Vinogradov M.S., Senik E.V. Waste water treatment of meat processing plant. Bezopasnost’ zhiznedejatel’nosti [Health and Safety], 2015, no. 9, pp. 23–27. (in Russian)
- Gubanov L.N. Treatment of poultry wastewater using biomembrane technologies. Privolzhskij nauchnyj zhurnal [Volga Scientific Journal], 2010, no. 4, pp. 194–201. (in Russian)
- Aghalari Z., Dahms HU., Sillanpää M. Effectiveness of wastewater treatment systems in removing microbial agents: a systematic review. Global Health. 2020. doi: 10.1186/s12992-020-0546-y
- Kesari K.K., Soni R., Jamal Q.M.S. Wastewater Treatment and Reuse: a Review of its Applications and Health Implications. Water Air Soil Pollut. 2021. doi: 10.1007/s11270-021-05154-8
- Bonetta S., Pignata C., Gasparro E. Impact of wastewater treatment plants on microbiological contamination for evaluating the risks of wastewater reuse. Environ Sci Eur. 2022). doi: 10.1186/s12302-022-00597-0
- Belenova S.V., Vigdorovich V.I., Shel N.V., Tsygankova L.E. Sorption capacity of natural sorbents. Vestnik rossijskih universitetov. Matematika [Bulletin of Russian universities. Mathematics], 2015, no. 2. Available at: https://cyberleninka.ru/article/n/sorbtsionnaya-sposobnost-prirodnyh-sorbentov (accessed 18 July 2023).
- Borisova V.Yu., Zavalyuev V.E., Kondakova N.V., Khayserova L.Ya. Analysis of sorption properties of materials of natural and industrial origin. Fundamental’nye issledovanija [Basic Researches], 2016, no. 9–2, pp. 233–237. (in Russian)
- Rashid R., Shafiq I., Akhter P. A state-of-the-art review on wastewater treatment techniques: the effectiveness of adsorption method. Environ Sci Pollut Res. 2021. doi: 10.1007/s11356-021-12395-x
- Garba Z.N., Abdullahi A.K., Haruna A. Risk assessment and the adsorptive removal of some pesticides from synthetic wastewater: a review. Beni-Suef Univ J Basic Appl Sci. 2021. doi: 10.1186/s43088-021-00109-8
- Kosaiyakanon C., & Kungsanant S. Adsorption of Reactive Dyes from Wastewater Using Cationic Surfactant-modified Coffee Husk Biochar. Environment and Natural Resources Journal. 2019. doi: 10.32526/ennrj.18.1.2020.03
- Ware J. Problemy zagrjaznenija okruzhajushhej sredy i toksikologii [Environmental Pollution and Toxicology Issues]. Moscow, Mir, 1993. 192 p.
- Klimov E.S., Buzaeva M.V. Prirodnye sorbenty i kompleksony v ochistke stochnyh vod [Natural sorbents and complexes in wastewater treatment]. Ulyanovsk, UlSTU, 2011. 201 p.
Supplementary files






