О скорости впитывания невязкой жидкости в грунт
- Авторы: Бухман Н.С.1, Бухман Л.М.1
-
Учреждения:
- Самарский государственный технический университет
- Выпуск: Том 15, № 2 (2025)
- Страницы: 37-41
- Раздел: ВОДОСНАБЖЕНИЕ, КАНАЛИЗАЦИЯ, СТРОИТЕЛЬНЫЕ СИСТЕМЫ ОХРАНЫ ВОДНЫХ РЕСУРСОВ
- URL: https://journals.eco-vector.com/2542-0151/article/view/637128
- DOI: https://doi.org/10.17673/Vestnik.2025.02.05
- ID: 637128
Цитировать
Полный текст
Аннотация
Рассмотрено впитывание невязкой жидкости в пористый грунт. Показано, что даже в случае нулевой вязкости пористая среда оказывает некоторое сопротивление впитыванию жидкости, т. е. время впитывания невязкой жидкости в пористый грунт оказывается ненулевым в противоречии с теорией Дарси. Тем не менее в большинстве практически важных случаев время впитывания невязкой жидкости оказывается пренебрежимо малым в сравнении с теорией Дарси. Делается вывод о применимости теории Дарси для расчета впитывания жидкости в грунт.
Ключевые слова
Полный текст
Одним из важных и до сих пор недостаточно хорошо изученных источников загрязнения окружающей среды является фильтрация загрязненной воды и иных жидких загрязнений с поверхности грунта в его объем [1‒5]. Речь идет не только о впитывании жидкости, уже разлитой по поверхности грунта, но и о впитывании жидкости, падающей на грунт с некоторой высоты.
Общеизвестной теоретической основой для изучения фильтрации жидкостей в пористой среде является уравнение Дарси [6, 7], одним из недостатков которого является игнорирование инертности жидкости. В рамках этого уравнения предполагается, что в каждый момент времени имеет место равновесие между градиентом давления, силой тяжести и силой вязкого трения, действующей со стороны пористого грунта на просачивающуюся в пористом грунте жидкость. По существу, уравнение Дарси можно рассматривать как приближение вязкой безынерционной жидкости.
Ограниченность уравнения Дарси легко понять, рассмотрев в рамках этого уравнения фильтрацию жидкости с нулевой вязкостью. Для такой жидкости коэффициент фильтрации [6, 7] (k ‒ коэффициент проницаемости грунта, ρ и µ ‒ плотность и вязкость жидкости, g ‒ ускорение свободного падения) обращается в бесконечность и любая фильтрация (в том числе и инфильтрация жидкости в грунт) должна происходить мгновенно. Ясно, что этого не происходит.
Для выяснения вопроса о том, оказывает ли пористый грунт какое-либо сопротивление инфильтрации жидкости, не связанное с ее вязкостью, можно рассмотреть вопрос об инфильтрации невязкой жидкости в пористый грунт. Разумеется, любая реальная жидкость имеет и инертность, и вязкость. Тем не менее предварительное рассмотрение идеализированного случая жидкости с нулевой вязкостью является необходимой предварительной стадией для изучения общего случая вязкой и одновременно инертной жидкости.
В данной работе рассмотрена одномерная задача об инфильтрации в пористый грунт плоского слоя падающей на грунт невязкой жидкости.
Пусть на слой грунта с пористостью m с высоты hпад падает слой жидкости толщиной h0 (рис. 1). Очевидно, в момент контакта с грунтом (t = 0) его скорость будет равна и начнется инфильтрация в грунт. Обозначим h(t) ‒ толщину слоя жидкости на грунте, l(t) ‒ толщину слоя насыщенного жидкостью грунта, ‒ скорость движения верхней границы жидкости на грунте (она же – скорость фильтрации жидкости в грунте) в момент времени t (рис. 2). Из уравнения непрерывности очевидно, что
(1)
и что скорость движения жидкости в грунте равна u(t) / m.
Рис. 1. Геометрия задачи
Fig. 1. Geometry of the problem
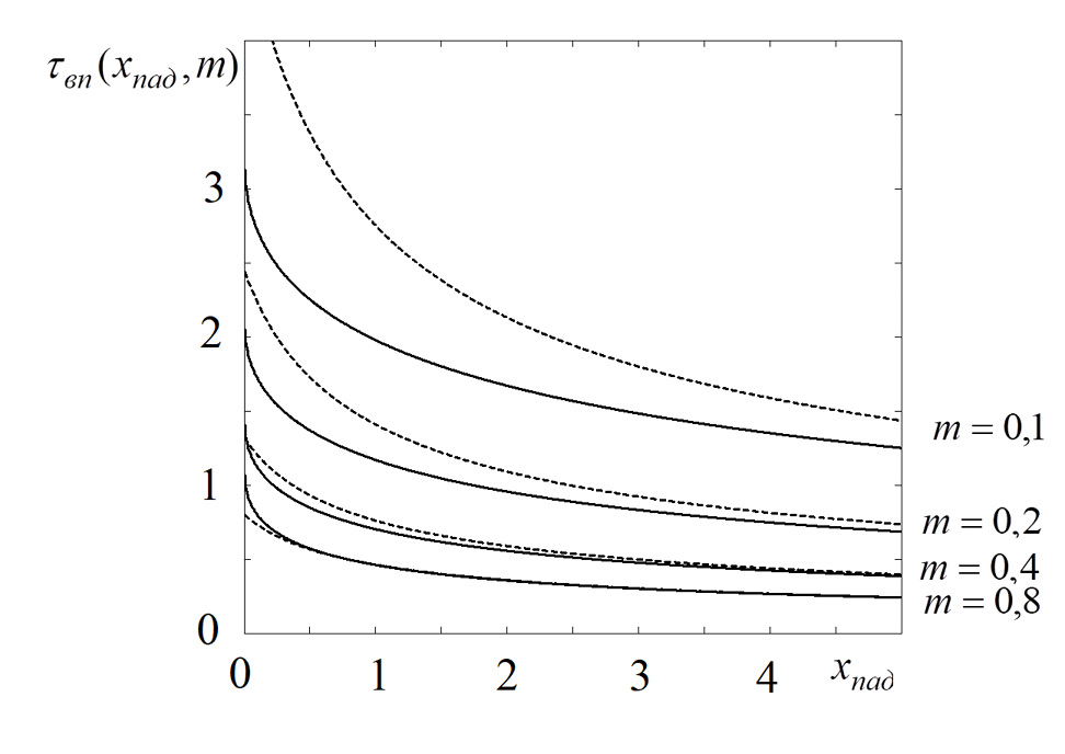
Рис. 2. Зависимость нормированного времени впитывания невязкой жидкости τвп(xпад, m) от нормированной высоты падения слоя жидкости xпад при различных значениях пористости среды m. Сплошной линией показаны результаты численного счета по формуле (6), штриховой – результаты приближенной аналитической формулы (7)
Fig. 2. Dependence of the normalized absorption time τвп(xпад, m) of an inviscid liquid on the normalized drop height of the liquid layer at different porosity values m of the medium. The solid line shows the results of the numerical calculation according to the formula (6), the dashed line shows the results of the approximate analytical formula (7)
Поскольку мы рассматриваем случай невязкой жидкости, суммарная (кинетическая +потенциальная) энергия слоя жидкости на грунте и в грунте постоянна и равна начальной энергии слоя жидкости. С ходом времени жидкость опускается, ее потенциальная энергия уменьшается, а кинетическая увеличивается. Поэтому «в среднем» скорость жидкости возрастает. Тем не менее, как будет показано ниже, пористая среда оказывает даже на невязкую жидкость некоторое тормозящее влияние. Действительно, с использованием закона сохранения энергии для скорости движения жидкости на грунте имеем
(1)
При h(t) → 0 (момент окончательного впитывания слоя)
(2)
Нетрудно заметить, что эта скорость меньше (при пористости среды меньше 1) той скорости, которую имела бы жидкость в случае свободного падения (при 100 %-й пористости среды). С другой стороны, в тот же самый момент времени скорость жидкости в порах среды
(3)
напротив, больше скорости свободно падающей жидкости.
Учитывая, что , нетрудно записать дифференциальное уравнение для временной зависимости толщины слоя жидкости на грунте
(4)
Учитывая, что в момент впитывания (tвп) h(t) = 0, для времени впитывания из (4) имеем
(5)
Введя безразмерное время впитывания и безразмерную толщину слоя жидкости x = h / h0, окончательно имеем
(6)
Графики зависимости функции τвп(xпад, m) от нормированной высоты падения xпад при m = 0,1; 0,2; 0,4; 0,8; приведены на рис. 2. Видно, что с ростом высоты падения жидкости время впитывания плавно снижается.
В предельном случае большой высоты падения (xпад >> 1) вместо (6) можно использовать приближенную формулу
(7)
Сравнение формулы (7) с результатами численного счета по формуле (6) также проведено на рис. 2. Видно, что при xпад > 2 приближенную формулу (7) можно использовать для оценок. Для ненормированного времени впитывания при xпад >> 1 из (7) следует
(8)
т. е. время впитывания прямо пропорционально исходной толщине слоя жидкости и обратно пропорционально квадратному корню высоты падения жидкости.
Для времени впитывания слоя жидкости, в начальный момент лежащего на грунте τвп(0, m), из (6) имеем
(9)
График функции τвп(0, m) в зависимости от пористости жидкости m приведен на рис. 3.
Рис. 3. Зависимость нормированного времени впитывания невязкой жидкости τвп(0, m) от пористости среды m . Сплошной линией показаны результаты численного счета по формуле (9), штриховой – результаты приближенной аналитической формулы (10)
Fig. 3. Dependence of the normalized absorption time τвп(0, m) of an inviscid liquid on the porosity m of the medium. The solid line shows the results of the numerical calculation according to the formula (9), the dashed line shows the results of the approximate analytical formula (10)
В предельном случае m → 0 имеем
(10)
Из рис. 3 видно, что для грубых оценок асимптотическая формула (10) может использоваться при любом значении пористости грунта.
Отметим, что функция τвп(0, m) зависит только от пористости грунта m и не зависит от толщины слоя жидкости. Поэтому время впитывания
(11)
зависит от исходной толщины слоя жидкости по закону квадратного корня, в отличие от линейной зависимости времени впитывания от глубины лужи в рамках закона Дарси [8, 9]:
(12)
где С ‒ коэффициент фильтрации или любых его «квазистационарных» обобщений (типа закона фильтрации Форхгеймера [6, 7]). Поэтому при достаточно малой исходной толщине слоя жидкости время впитывания в основном должно контролироваться динамическими эффектами, а при достаточно большой – вязкостью.
В таблице приведены расчеты времени впитывания 10-сантиметрового слоя воды в различные типы грунтов в соответствии с теорией Дарси [8, 9] и в соответствии с формулами (9),(11) для жидкости с нулевой вязкостью. Нетрудно заметить, что время впитывания невязкой жидкости гораздо меньше, чем время впитывания по теории Дарси.
Время впитывания в грунт воды из «стандартной лужи» глубиной 10 см
Time of water absorption into the ground from a “standard puddle” 10 cm deep
Тип грунта | Коэффициент фильтрации | Пористость | Время впитывания по теории Дарси | Время впитывания невязкой жидкости, с |
Щебень гранитный 40×70 мм | 0,01 | 0,46 | 6 с | 0,19 |
Щебень гранитный 20×40 мм | 0,004 | 0,452 | 16 с | 0,19 |
Щебень гранитный 5×20 мм | 1,80E-03 | 0,448 | 35 с | 0,19 |
Кварцевый песок 2–3 мм | 1,00E-03 | 0,3 | 1 мин 9 с | 0,23 |
Речной песок 1 мм | 5,10E-04 | 0,15 | 2 мин 33 с | 0,35 |
Супесь | 4,00E-06 | 0,6 | 4 ч 4 мин | 0,17 |
Суглинок | 2,20E-06 | 0,75 | 6 ч 55 мин | 0,16 |
Глина | 2,30E-08 | 0,5 | 741 ч | 0,18 |
Выводы: 1. Пористая среда с пористостью менее 100 % оказывает некоторое сопротивление впитыванию жидкости даже в том случае, когда вязкость жидкости равна 0 и по теории Дарси впитывание должно осуществляться мгновенно.
2. Для большинства практически важных грунтов основная часть сопротивления грунта впитыванию жидкости все-таки связана с ее вязкостью и потому может приближенно рассчитываться по теории Дарси.
Об авторах
Николай Сергеевич Бухман
Самарский государственный технический университет
Автор, ответственный за переписку.
Email: nik3141rambler@rambler.ru
доктор физико-математических наук, профессор, профессор кафедры физики, профессор кафедры строительной механики, инженерной геологии, оснований и фундаментов
Россия, 443001,г. Самара, Молодогвардейская ул., 194Любовь Михайловна Бухман
Самарский государственный технический университет
Email: liubov1967@list.ru
старший преподаватель кафедры строительной механики, инженерной геологии, оснований и фундаментов, преподаватель колледжа СамГТУ
Россия, 443001, г. Самара, Молодогвардейская ул., 244Список литературы
- Стрелков А.К., Теплых С.Ю., Горшкалев П.А., Саргсян А.М. Оценка экологического состояния технической полосы отвода // Путь и путевое хозяйство. 2014. № 3. С. 31‒34.
- Стрелков А.К., Теплых С.Ю., Горшкалев П.А., Саргсян А.М. Экологические аспекты воздействия поверхностных сточных вод с железнодорожных станций // Градостроительство и архитектура. 2013. № S4 (13). С. 83‒88.
- Стрелков А.К., Теплых С.Ю., Бухман Н.С., Саргсян А.М. Анализ и характеристика фильтрации поверхностного стока в балластной призме железнодорожного пути // Водоснабжение и санитарная техника. 2015. № 12. С. 63‒72
- Стрелков А.К., Теплых С.Ю., Горшкалев П.А. Влияние хозяйственной деятельности на качественный состав поверхностных водотоков // Водоснабжение и санитарная техника. 2014. № 8. С. 21–26.
- Стрелков А.К., Теплых С.Ю., Горшкалев П.А., Саргсян А.М. Современное состояние вопроса сбора и очистки поверхностного стока с железной дороги // Научное обозрение. 2014. № 4. С. 123–129.
- Леонтьев Н.Е. Основы теории фильтрации. М.: Изд-во Центра прикладных исследований при механико-математическом факультете МГУ, 2009. 88 с.
- Маскет М. Течение однородных жидкостей в пористой среде. Институт компьютерных исследований. Москва–Ижевск: НИЦ «Регулярная и хаотическая динамика», 2004. 628 с.
- Бухман Н.С., Теплых С.Ю., Бухман Л.М. Динамика впитывания жидких загрязнений в пористый грунт // Проблемы сбора, подготовки и транспорта нефти и нефтепродуктов. 2021. № 4 (132). С. 51‒59.
- Бухман Н.С., Теплых С.Ю., Бухман Л.М. О линейной зависимости времени впитывания скопления жидкости от высоты ее слоя на поверхности почвогрунта // Приволжский научный журнал. 2022. № 4 (64). С. 73‒78.
Дополнительные файлы






