Influence of magnetic field on the dielectric characteristics in manganese sulfide substituted with thulium
- Authors: Kharkov A.M.1, Aplesnin S.S.1, Konovalov S.O.1, Pavlova A.N.1, Nikitinskiy O.S.1
-
Affiliations:
- Reshetnev Siberian State University of Science and Technolog
- Issue: Vol 24, No 1 (2023)
- Pages: 195-203
- Section: Section 3. Technological Processes and Materials
- Published:
- URL: https://journals.eco-vector.com/2712-8970/article/view/508738
- DOI: https://doi.org/10.31772/2712-8970-2023-24-1-195-203
- ID: 508738
Cite item
Full Text
Abstract
The properties of a solid solution of thulium-substituted manganese sulfide prepared by melting the initial pure samples of manganese sulfide and thulium sulfide are studied. X-ray diffraction analysis was carried out. The face-centered cubic lattice is determined, and the decrease in the intensity of the peaks is found. Dielectric permittivity was measured in the frequency range 102–106 Hz and temperatures 300-500 K in magnetic fields up to 12 kOe in TmxMn1–xS solid solutions (0 < x < 0,15). From the frequency dependence of the permittivity, the relaxation time and the relaxation mechanism of the dipole moments are found. The leakage current is excluded, and the contribution of migration polarization due to charges in the region with chemical phase separation is estimated. Die real and imaginary components of the permittivity of TmxMn1–xS samples are described in the Debye model. The maximum of the imaginary component of the permittivity shifts towards higher frequencies upon heating, and the relaxation time is described by the Arrhenius function. Dielectric losses are caused by electron-phonon interaction. The frequency of the crossover from Debye relaxation to relaxation conduction associated with the absorption and emission of phonons is found. Die crossover frequency increases as the sample is heated according to a power law. In a magnetic field, the permittivity decreases and the largest change of 2.5 % is achieved at T = 450 K. At other temperatures, the magnetocapacitance does not exceed 0.5 %. The shift of the maximum of the imaginary component of the permittivity to low frequencies in a magnetic field leads to a change in the sign of dielectric losses from positive to negative. A qualitative difference in ε(ω) is established in the vicinity of the concentration of thulium ion flow through the FCC lattice, where the permittivity is not described in the Debye model and there is no magnetocapacitance. The mechanism for reducing dielectric losses in a magnetic field is determined.
Keywords
Full Text
Введение
В космических аппаратах электроника функционирует в экстремальных условиях, где изменения температур происходят в интервале сотни градусов. Необходимо найти материалы, например, на основе мультиферроиков, которые смогут проявить стабильность работы в этих условиях.
Материалы, в которых проявляется взаимосвязь магнитных и электрических свойств [1-4], магнитоэлектрики и мультиферроики [5-8], представляют интерес как с фундаментальной, так и прикладной точек зрения. Особое внимание привлекают материалы, обнаруживающие магнитоэлектрические свойства в области комнатных и более высоких температур в связи с практическим применением в микроэлектронике для записи и хранения информации. К таким изученным материалам относится феррит висмута BiFeO3 [9-11]. Эффект гигантской магнитоемкости наблюдался в LuFe2O4 [12] при комнатной температуре и объясняется флуктуацией заряда с разной величиной спина в ионах Fe2+ и Fe3+ в результате снятия вырождения между двумя типами зарядового порядка внешним магнитным полем.
Магнитоемкость в электрически неоднородной среде может быть обусловлена эффектом Максвелла - Вагнера [13] в результате тензорного характера взаимодействия носителей тока с магнитным и электрическим полем и смешивания продольных и поперечных компонент проводимости. В модели магнитоемкость положительна при условии, что размер электрической неоднородности на порядок превышает длину свободного пробега электрона, время измерения 1/ω превышает время рассеяния и матрица является диэлектрической [14].
Как изменится магнитоемкость в электрически неоднородных полупроводниках с компенсацией заряда областей с химическим фазовым расслоением, остается неясным. В этом случае необходимо учитывать подвижность электронов и дырок, кулоновское взаимодействие и рекомбинацию зарядов. В твердых растворах TmxMn1–xS выше комнатной температуры обнаружен магнитоимпеданс, в частности, рост реактивного сопротивления в магнитном поле. Этот эффект может быть обусловлен изменением емкости и индуктивности образца под действием магнитного поля [15; 16].
Цель исследования - установить тип электрической поляризации, механизм релаксации, влияние магнитного поля на диэлектрические характеристики и диэлектрические потери при электронном допировании полупроводников в зависимости от размера электрической неоднородности, которая определяется концентрацией замещения разновалентных ионов.
Результаты и обсуждение
Твердые растворы TmxMn1–xS (0 < х < 0,15) приготовлены методом плавления исходных поли-кристаллических сульфидов марганца и сульфидов тулия [16]. Рентгеноструктурный анализ, выполненный на установке ДРОН-3, установил кубическую решетку типа NaCl. На рис. 1 представлена дифракционная картина твердого раствора TmхMn1–xS. С ростом концентрации замещения марганца ионами тулия интенсивность пиков уменьшается, что связано с некогерентным рассеянием.
Рис. 1. Рентгенограммы твердых растворов TmxMn1–xS для концентраций x = 0,05 (a), x = 0,1 (b)
Fig. 1. X-ray diffraction patterns of the TmxMn1–xS solid solutions for concentrations x = 0,05 (a), x = 0,1 (b).
Диэлектрическая проницаемость и диэлектрические потери определены из измерения емкости и тангенса угла потерь, измеренных на приборе АМ-3028, компонентный анализатор в диапазоне частот 102—10б Гц при температурах 300-500 К. Магнитоемкость образца определялась как
(1)
где C(H) - емкость образца, измеренного в магнитном поле H = 12 кЭ, приложенном параллельно пластинам конденсатора; C (0) - емкость без магнитного поля. Для исключения токов утечки между образцом и пластинами конденсатора помещалась слюда, толщиной несколько микрометров.
Из частотной зависимости диэлектрической проницаемости можно оценить время релаксации и механизм релаксации дипольных моментов [17-19]. Исключение тока утечки позволит оценить вклад миграционной поляризации, обусловленной зарядами в области с химическим фазовым расслоением и размером этой области при приближении к точке протекания ионов тулия по решетке.
На рис. 2 представлены частотные зависимости реальной и мнимой части диэлектрической проницаемости от температуры. На частотной зависимости s(ω) можно выделить две области частот: низкочастотную ω < ωc и высокочастотную ω < ωc. В низкочастотной области ε(ω) описывается соотношением Дебая с максимумом диэлектрических потерь:
(2)
(3)
где ε0 – высокочастотный вклад в проницаемость; χ0 – статическая восприимчивость диполей.
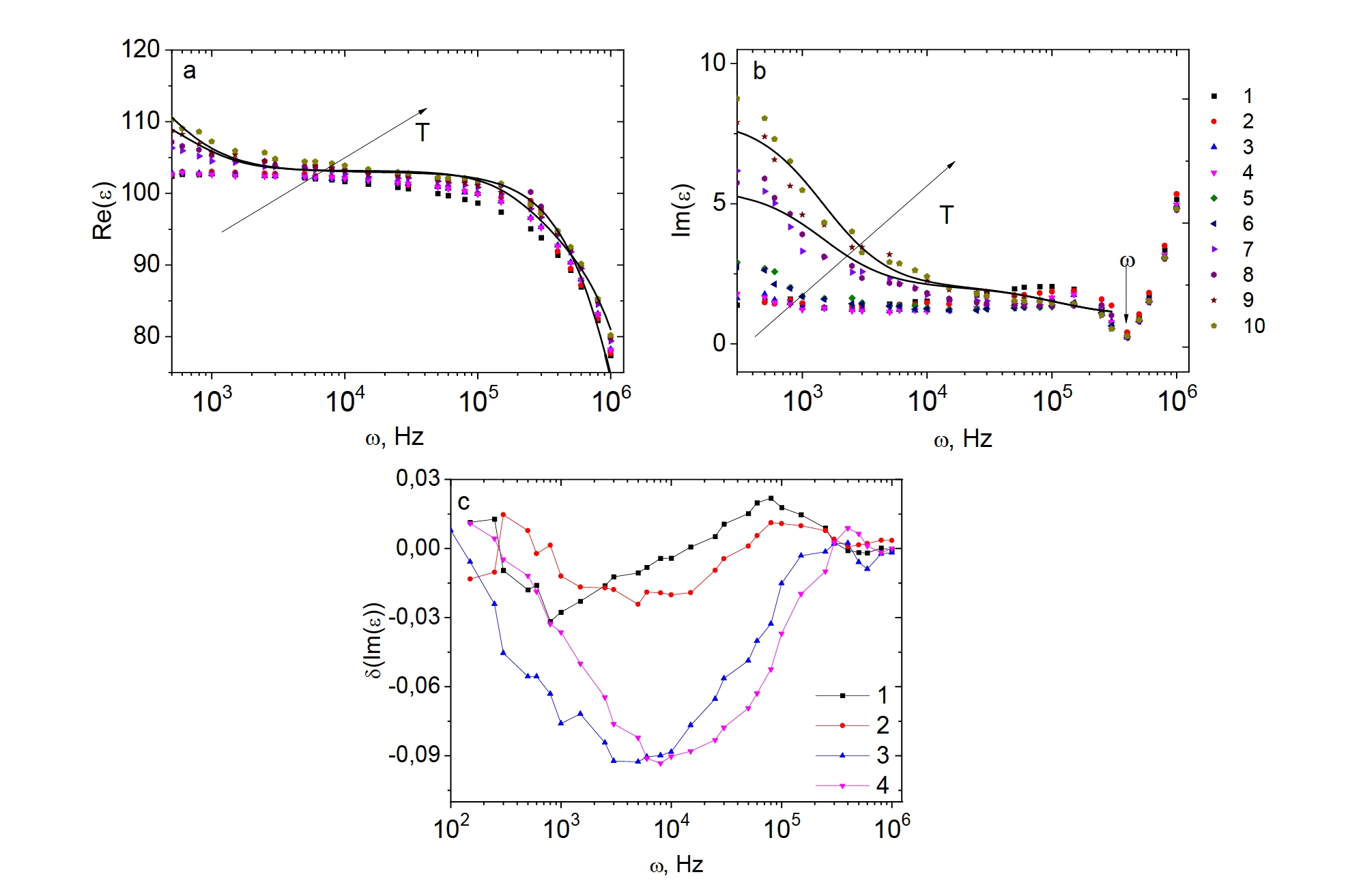
Максимум Im(ε(ω)) смещается в сторону высоких частот при нагревании и время релаксации, найденное из соотношения ωτc = 1, описывается функцией Аррениуса τ = τ0exp(ΔE/kT), где ΔE – энергия активации, ΔE = 0,55 эВ. В области высоких частот ω > ωc комплексная диэлектрическая проницаемость линейно зависит от частоты.
Рис. 2. Действительная Re(ε) (a) и мнимая Im(ε) (b) компоненты диэлектрической проницаемости образца Tm0.05Mn0.95S без поля H = 0 кЭ при температурах T = 300 (1), 350 (3), 400 (5), 450 (7), 500 (9) К и в магнитном поле H = 8 кЭ при температурах T = 300 (2), 350 (4), 400 (6), 450 (8), 500 (10) К на частоте ω. Диэлектрическая проницаемость в модели Дебая (сплошная линия) (a, b)
Fig. 2. The real Re(ε) (a) and imaginary Im(ε) (b) parts of the permittivity of the sample Tm0.05Mn0.95S without field H = 0 kOe at temperatures T = 300 (1), 350 (3), 400 (5), 450 (7), 500 (9) K and in magnetic field H = 8 kOe at temperatures T = 300 (2), 350 (4), 400 (6), 450 (8), 500 (10) K on the frequency ω. The permittivity in the Debye model (solid line) (a, b)
Диэлектрические потери вызваны электрон-фононным взаимодействием. Мнимая часть диэлектрической проницаемости связана с вещественной частью оптической проводимости ст соотношением Im(ε) = σ/ω. В неупорядоченных полупроводниках с прыжковым типом проводимости может реализоваться резонансный и релаксационный механизм проводимости. Если энергия кулоновского отталкивания электронов, расположенных на расстоянии R. меньше тепловой энергии e2/εR << kT , то превалирует релаксационная оптическая проводимость [20]:
, (4)
где а - радиус локализации электрона; g - электронная плотность состояний на уровне Ферми. В этом случае Im(ε) = Аω. Частота кроссовера ωс от Дебаевской релаксации к релаксационной проводимости, связанной с поглощением и испусканием фононов, обусловлена радиусом локализации электрона и электронной плотностью состояний g. Если предположить, что электрон локализован в области химического фазового расслоения, созданного ионами тулия, и радиус локализации не зависит от температуры, то рост ωс выше 400 К связан с увеличением элек-тронной плотности состоянии на уровне химпотенциала g ~ T2.
В магнитном поле время Дебаевской релаксации увеличивается, точка перегиба Re(ε) и максимум Im(ε) смещается в сторону низких частот. В результате диэлектрическая проницаемость уменьшается в магнитном поле при ωτ = 1 на 0,5, 2,4 и 3,3 % при T = 400, 450 и 500 K. Более существенные изменения обнаружены в тангенсе угла диэлектрических потерь, который зависит от активных потерь, в результате увеличения рассеяния электронов на локальных деформациях и фононах в области расположения ионов тулия. Диэлектрические потери возрастают на 14 и 36 % при T = 450 и 500 К и уменьшаются до 15 % в области низких частот при T = 350 и 400 K.
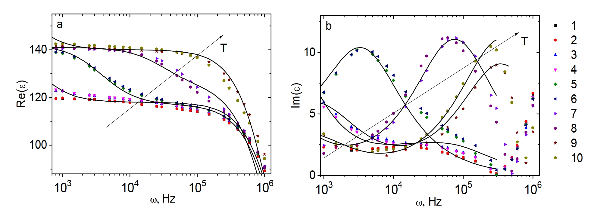
С ростом концентрации увеличивается радиус локализации электронов, связанных с ионами тулия. На рис. 3 изображены компоненты диэлектрической проницаемости образца TmxMn1–xS от частоты для концентрации x = 0,1. В этих образцах также реализуется Дебаевской и электрон-фононный механизм релаксации индуцированной электрической поляризации [21]. При нагревании максимум Im(e) смещается в область высоких частот. Энергия активации ΔE = 0,2 эВ (1550 см-1) в два раза меньше, чем для x = 0,05. Частота кроссовера, найденная из минимума Im(ε(ω)), растет при нагревании образца по степенному закону ωс ~ Т3/2.
Рис. 3. Действительная Re(ε) (a) и мнимая Im(ε) (b) компоненты диэлектрической проницаемости образца Tm0.1Mn0.9S без поля H = 0 кЭ при температурах T = 300 (1), 350 (3), 400 (5), 450 (7), 500 (9) К и в магнитном поле Н = 8 кЭ при температурах Т = 300 (2), 350 (4), 400 (6), 450 (8), 500 (10) К на частоте ω. Диэлектрическая проницаемость в модели Дебая (сплошная линия) (a, b)
Fig. 3. The real Re(ε) (a) and imaginary Im(ε) (b) parts of the permittivity of the sample Tm0.1Mn0.9S without field H = 0 kOe at temperatures T = 300 (1), 350 (3), 400 (5), 450 (7), 500 (9) K and in a magnetic field H = 8 kOe at temperatures T = 300 (2), 350 (4), 400 (6), 450 (8), 500 (10) K on the frequency ω. The permittivity in the Debye model (solid line) (a, b)
Возможно, это связано co смещением химпотенциала по температуре и увеличением электронной плотности g ~ T3/4. В магнитном поле диэлектрическая проницаемость уменьшается и наибольшее изменение Δε = 2,5 % достигается при T = 450 K. При остальных температурах магнитоемкость не превышает 0.5 %. Смещение максимума мнимой компоненты диэлектрической проницаемости к низким частотам в магнитном поле приводит к изменению знака диэлектрических потерь с положительного на отрицательное с δ(Im(ε)) = 0,024 до -0,08 при T = 450 K.
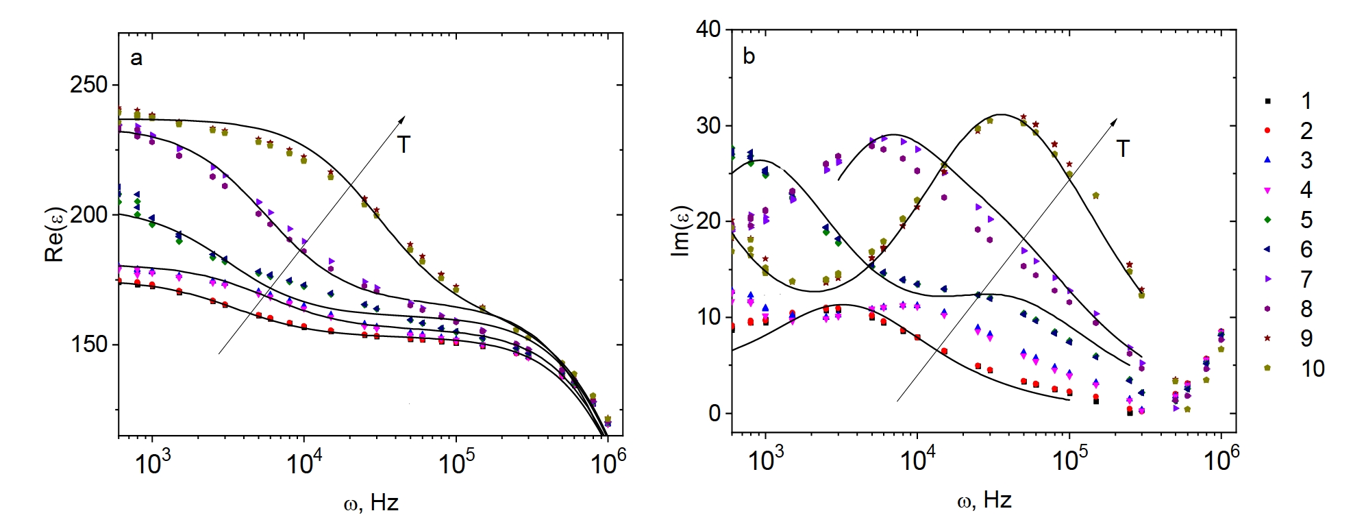
При приближении к концентрации протекания ионов тулия на ГЦК решетке хс = 0,17 [22] частотная зависимость ε(ω) качественно меняется (рис. 4). В интервале частот 102-106 Гц диэлектрическая проницаемость не описывается в модели Дебая. Протекание обменных связей Tm-Tm по решетке приводит к шунтированию обкладок конденсатора и отсутствию миграционной поляризации на границе раздела ионов Mn-Tm. Рост ε(ω) ниже 100 Гц вызван накоплением зарядов вблизи пластин конденсатора. Мнимая компонента диэлектрической проницаемости уменьшается в магнитном поле до 9 % при Т = 450 и 500 К в результате уменьшения проводимости σ(Н, ω) < σ(0, ω) (рис. 4, с).
Рис. 4. Действительная Re(ε) (a) и мнимая Im(ε) (b) компоненты диэлектрической проницаемости образца Tm0.15Mn0.85S без поля H = 0 кЭ при температурах T = 300 (1) , 350 (3), 400 (5), 450 (7), 500 (9) К и в магнитном поле Н = 8 кЭ при температурах Т = 300 (2), 350 (4), 400 (6), 450 (8), 500 (10) К на частоте ω. Диэлектрическая проницаемость в модели Дебая (сплошная линия) (a, b). Относительное изменение мнимой части диэлектрической проницаемости δ(Im(ε)) в магнитном поле H = 8 кЭ при температурах T = 350 (1), 400 (2), 450 (3), 500 (4) K в зависимости от частоты ω (с)
Fig. 4. The real Re(ε) (a) and imaginary Im(ε) (b) parts of the permittivity of the sample Tm0.15Mn0.85S without field H = 0 kOe at temperatures T = 300 K(1), 350 K(3), 400 K(5), 450 K(7), 500 K(9) and in magnetic field H = 8 kOe at temperatures T = 300 K(2), 350 K(4), 400 K(6), 450 K(8), 500 K(10) on the frequency ω. The permittivity in the Debye model (solid line) (a, b). The relative change of the imaginary part of the permittivity δ(Im(ε)) in magnetic field H = 8 kOe at temperatures T=350K(1), 400K(2), 450K(3), 500K (4) versus frequency ω (с)
Частота, при которой диэлектрическая проницаемость обусловлена релаксационной проводимостью за счет фононов, не зависит от температуры. Это связано с сохранением электронной плотности состояний на уровне химпотенциала при нагревании. Для концентрации х = 0,15 магнитоемкость отсутствует (∆ε < 0,005). Снижение диэлектрических потерь в магнитном поле вызвано уменьшением проводимости.
Заключение
Диэлектрическая проницаемость в интервале частот до одного мегагерца при электронном допировании в обусловлена миграционной поляризацией локализованных электронов и релаксационной проводимостью. В модели Дебая найдено время релаксации электрической поляризации, которая имеет активационный характер и описывается законом Аррениуса. В окрестности концентрации протекания ионов тулия по решетке исчезает вклад миграционной поляризации и диэлектрические характеристики обусловлены релаксационной проводимостью в области высоких частот, интервал которых не зависит от температуры. В магнитном поле диэлектрическая проницаемость уменьшается на несколько процентов и практически не меняется в образце с концентрацией вблизи концентрации протекания. Увеличение времени релаксации в магнитном поле приводит к сдвигу максимума диэлектрических потерь в область низких частот и смене знака диэлектрических потерь в магнитном поле по частоте. Найдена высокая индуктивность образца в магнитном поле.
About the authors
Anton M. Kharkov
Reshetnev Siberian State University of Science and Technolog
Author for correspondence.
Email: khark.anton@mail.ru
Cand. Sc., Associate Professor
Russian Federation, 31, Krasnoyarskii rabochii prospekt, Krasnoyarsk, 660037Sergey S. Aplesnin
Reshetnev Siberian State University of Science and Technolog
Email: aplesnin@sibsau.ru
Dr. Sc., Professor
Russian Federation, 31, Krasnoyarskii rabochii prospekt, Krasnoyarsk, 660037Stepan O. Konovalov
Reshetnev Siberian State University of Science and Technolog
Email: oleg@yandex.ru
post-graduate student
Russian Federation, 31, Krasnoyarskii rabochii prospekt, Krasnoyarsk, 660037Aleksandra N. Pavlova
Reshetnev Siberian State University of Science and Technolog
Email: sashely2008@rambler.ru
Cand. Sc., Senior Lecturer of the Department of Physics
Russian Federation, 31, Krasnoyarskii rabochii prospekt, Krasnoyarsk, 660037Oleg S. Nikitinskiy
Reshetnev Siberian State University of Science and Technolog
Email: onikitinsky@yandex.ru
student of the Institute of Informatics and Telecommunications
Russian Federation, 31, Krasnoyarskii rabochii prospekt, Krasnoyarsk, 660037References
- Aplesnin S. S., Udod L. V., Sitnikov M. N. et al. [Correlation of magnetic and transport properties with polymorphic transitions in bismuth pyrostannate Bi2(Sn1-xCrx)2O7], Solid State Physics. 2015, Vol. 57, Is. 8, P. 1590-1595 (In Russ.).
- Eerenstein W., Mathur N. D., Scott J. F. Multiferroic and magnetoelectric materials. Nature. 2006, Vol. 442, P. 759.
- Zeches R. J., Rossell M. D., Zhang J. X. et al. A Strain-Driven Morphotropic Phase Boundary in BiFeO3. Science. 2009, Vol. 326, P. 977.
- Aplesnin S. S., Ryabinkina L. I. Abramova G. M. et al. [Spin-dependent transport in a single crystal α-MnS. Solid State Physics. 2004, Vol. 46, No. 11, P. 2000-2005 (In Russ.).
- Petrakovsky G. A., Ryabinkina L. I., Velikanov D. A. et al. [Low-temperature electronic and magnetic transitions in an antiferromagnetic semiconductor Cr0.5Mn0.5S]. Solid State Physics. 1999, Vol. 41, No. 9, P. 1660-1664 (In Russ.).
- Aplesnin S. S., Bandurina O. N.. Ryabinkina L. L, Romanova O. B. et al. [The relationship of magnetic and electrical properties of chalcogenides MnSei.xTexJ. News of the Russian Academy of Sciences. Physical Series. 2010, Vol. 74. No. 5, P. 741-743 (In Russ.).
- Subramanian M. A., Toby B. H.. Ramirez A. P. et al. Colossal Magnetoresistance Without Mn3+/Mn4+ Double Exchange in the Stoichiometric Pyrochlore Tl2Mn2O7. Science. 1996, Vol. 273, P. 81.
- Spaldin A. N., Cheong S.-W., Ramesh R. Multiferroics: Past present and future. Phys. Today. 2010, Vol. 63, P. 38.
- Song J. F., Zhuang S. H., Martin M. et al. Interfacial-Strain Controlled Ferroelectricity in Self-Assembled BiFeO3 Nanostructures. Adv. Fund. Mater. 2021, Vol. 31. P. 2102311.
- Zhang C. C., Dai J. Q., Liang X. L. Enhanced ferroelectric properties of (Zn, Ti) equivalent codoped BiFeO3 films prepared via the sol-gel method. Ceram. Int. 2021. Vol. 47. P. 16776.
- Mumtaz F., Nasir S., Jaffari G. H. et al. Chemical pressure exerted by rare earth substitution in BiFeO3: Effect on crystal symmetry, band structure and magnetism. J. Alloy. Compd. 2021, Vol. 876, P.160178.
- Yamada Y., Kitsuda K., Nohdo S.. Ikeda N. Charge and spin ordering process in the mixed-valence system LuFe2O4: Charge ordering. Phys. Rev. В 2000, Vol. 62. P. 12167.
- Maxwell J. C. Treatise on Electricity and Magnetism. 3rd ed.. Dover, New York, 1991, P. 5-531.
- Parish M. M., Littlewood P. B. Magnetocapacitance in Nonmagnetic Composite Media. Phys. Rev. Lett. 2008, Vol. 101. P. 166602.
- Romanova O. B._ Aplesnin S. S., Sitnikov M. N., Udod L. V. [Magnetotransport effects and electron phase separation in manganese sulfides with electron-hole doping], ZhETF. 2021, Vol. 159, P. 1-14 (In Russ.). doi: 10.31857/S0044451021030000.
- Aplesnin S. S.. Sitnikov M. N., Kharkov A. M. et al. Influence of induced electrical polarization on the magnetoresistance and magnetoimpedance in the spin-disordered TmxMn1-xS solid solution. Phys. Status Solidi B. 2019, Vol. 256, P. 1900043. doi: 10.1002/pssb.201900043.
- Sawicki B.. Tomaszewicz E., Gron T. et al. Dipole relaxation process and giant dielectric permittivity in Eu3+-doped CdMoO4 single crystal. J. Materiomics. 2021, Vol. 7, No. 4, P. 845.
- Aplesnin S. S.. Masyugin A. N., Volochaev M. N.. Ishibashi T. Coexistence of the electric polarization and conductive current in the bismuth-neodymium ferrite garnet films. J Mater Sci: Mater Electron. 2021. Vol. 32, P. 3766-3781. Doi: https://doi.org/10.1007/sl0854-020-05121-9.
- Udod L. V., Aplesnin S. S.. Sitnikov M. N., Molokeev M. S. Dielectric and electrical properties of polymorphic bismuth pyrostannate Bi2Sn2O7. Phys. Sol. Stat. 2014, Vol. 56, No. 7, P. 1315.
- Efros A. L. On the theory of a.c. conduction in amorphous semiconductors and chalcogenide glasses. Philos. Mag. B. 1981, Vol. 43, P. 829.
- Aplesnin S. S. Nonadiabatic interaction of acoustic phonons with spins S = 1/2 in the two-dimensional Heisenberg model. ZhETF. 2003, Vol. 97, No. 5. P. 969.
- Osorio-Guillen J., Lany S., Barabash S. V., Zunger A. Magnetism without Magnetic Ions: Percolation, Exchange, and Formation Energies of Magnetism-Promoting Intrinsic Defects in CaO. Phys. Rev. Lett. 2006, Vol. 96. P. 107203.
Supplementary files







