Problematic issues of application of methods of accelerated radiation testing of ECB
- Autores: Avdyushkin S.A.1, Maximov I.A.1, Kochura S.G.1
-
Afiliações:
- Joint-Stock Company “Academician M. F. Reshetnev “Information Satellite Systems”
- Edição: Volume 24, Nº 2 (2023)
- Páginas: 280-290
- Seção: Section 2. Aviation and Space Technology
- ##submission.datePublished##: 20.06.2023
- URL: https://journals.eco-vector.com/2712-8970/article/view/523254
- DOI: https://doi.org/10.31772/2712-8970-2023-24-2-280-290
- ID: 523254
Citar
Texto integral
Resumo
In this paper, an analysis of existing domestic and foreign regulatory documents regulating the conduct of radiation tests of EEE-part to determine resistance to dose effects is carried out. Ionizing radiation from outer space is one of the most important operational factors affecting the performance of on-board equipment, as a result, determining the duration of the active existence. This largely determines the relevance of the topic of radiation effects in electronic equipment materials, radiation-induced degradation of semiconductor devices and integrated circuits, and determining the reliability and radiation resistance of on-board equipment under the influence of the ionizing radiation from outer space. Conducting radiation tests of EEE-part (total dose effects) is an integral part of the process of ensuring radiation resistance of on-board electronic equipment and the spacecraft as a whole. The paper identifies and shows the existing risks of the developer of the on-board equipment and the spacecraft as a whole while ensuring the radiation resistance of the equipment and the guaranteed fulfillment of the target task of the spacecraft during the entire period of active lifetime.
Palavras-chave
Texto integral
Введение
Определение радиационной стойкости ЭКБ, комплектующей бортовую радиоэлектронную аппаратуру (БРЭА), является неотъемлемой частью процесса обеспечения радиационной стойкости космического аппарата. Из широкого набора методов проведения радиационных испытаний на различных моделирующих и имитационных установках необходимо выбрать оптимальный метод. Однако выбор оптимального метода испытаний является нетривиальной задачей и всегда представляет собой компромисс между достоверностью, точностью, длительностью проведения испытаний и стоимостью работ.
Нормативные документы, определяющие методы проведения радиационных испытаний
По данным работы [1], на настоящий момент в РФ имеется большое количество действующих нормативных документов [2–11] (табл. 1, в которую также включены зарубежные нормативные документы), которые содержат методы и методики проведения испытаний ЭКБ на воздействие ионизирующего излучения (определения радиационной стойкости ЭКБ).
В зарубежной практике на сегодняшний момент наибольшее применение получили три документа, определяющие методы проведения испытаний ЭКБ на радиационную стойкость:
- MIL-STD-883 TM 1019;
- ESA ESCC Basic Specification 22900;
- ASTM F
С одной стороны, разнообразие методов должно позволить проводить необходимые испытания наиболее удобным и менее затратным способом, с другой стороны, применительно, к обеспечению радиационной стойкости космической техники не все методы являются приемлемыми с учётом специфики разработки и изготовления космических аппаратов.
Нормативные документы и методы (методики) испытаний
Нормативный документ | Метод (методика) | Применимость (технология изготовления ЭКБ) |
134-1034-2012 (Изм. 1). Методы испытаний и оценки стойкости бортовой радиоэлектронной аппаратуры космических аппаратов к воздействию электронного и протонного излучений космического пространства по дозовым эффектам | Метод 1 | МОП (структура металл-окисел-полупроводник), КМОП (комплементарная структура металл-окисел-полупроводник) |
Метод 2 | Биполярная | |
Метод 3 | Биполярная | |
Метод 4 | Биполярная; гибридная, структуры на одном кристалле (биполярная, БиКМОП (смешанная биполярная и КМОП структура) и КМОП) | |
Метод 5 | МОП, КНИ (кремний на изоляторе), КМОП, интегральные схемы (ИС), не содержащие биполярных структур | |
РД В 319.03.37-2000. Инженерные методы ускоренных испытаний на стойкость к воздействию протонного и электронного излучений космического пространства | Схема испытаний № 1 | Универсальная |
Схема испытаний № 2 | Универсальная | |
Расчетный | Биполярная, МОП, КМОП | |
Расчетно-экспериментальный метод «циклическое облучение – отжиг» | ИС и ПП (полупроводниковые приборы) МОП, КМОП | |
Расчётно-экспериментальный метод «облучение – релаксация» | Биполярные и МОП/КМОП ИС, для МОП ИС имеет ограниченное применение | |
РД134-0196-2011. Типовая методика контроля стойкости к ионизирующим излучениям космического пространства в части дозовых эффектов, отбора и отбраковки биполярных электрорадиоизделий | Определительные испытания с тестом на наличие эффекта низкой интенсивности | Биполярная, БиКМОП, БиМОП, гибридная |
Квалификационные испытания | Биполярная, БиКМОП, БиМОП, гибридная | |
ЦДТКТ1.027.006-2013. Типовая методика испытаний ИЭТ на стойкость к ионизационным дозовым эффектам (гамма-излучение) | Методика испытаний изделий электронной техники (ИЭТ) на стойкость к ионизационным дозовым эффектам (гамма-излучение) | Универсальный |
ЦДТКТ1.027.007-2013. Базовая методика испытаний ИЭТ на стойкость к воздействиям электронного и протонного излучений космического пространства по дозовым эффектам на основе совместного использования источников гамма- и рентгеновского излучений | Методика проведения испытаний с использованием рентгеновского излучения с применением метода калибровки на гамма-установке | ИС и ПП биполярной, КМОП, КНИ, КНС (кремний на сапфире), твердотельная СВЧ-электроника, гетероструктуры (SiC, SiGe, GaAs, InP) |
ЦДКТ1.027.009-2013. Типовая методика испытаний ИЭТ на стойкость к ионизационным дозовым эффектам с учетом низкой интенсивности | Схема испытаний № 1 | МОП, КМОП |
Схема испытаний № 2 | МОП, КМОП | |
Схема испытаний № 3 | МОП, КМОП | |
Типовая методика ЦДКТ1.027.008-2013 | Типовая методика испытаний ИЭТ на стойкость к дозовым эффектам с использованием ускорителей электронов | Не оговорено |
MIL-STD-883 TM 1019 Ionizing Radiation (Total Dose) Test Procedure | Базовый метод испытаний | Универсальный |
Испытания МОП, КМОП устройств при низкой интенсивности | МОП, КМОП | |
Испытания на наличие ELDRS (Enhanced Low Dose Rate Sensitivity) | Биполярные, БиМОП, БиКМОП | |
Испытание компонентов с ELDRS | Биполярные, БиМОП, БиКМОП | |
ESA ESCC Basic Specification No 22900 | Базовая методика | Универсальная |
ASTM F1892 Standard Guide for Ionizing Radiation (Total Dose) Effects Testing of Semiconductor Devices | Стандартные испытания МОП-компонентов | МОП, КМОП ПП и ИС |
Характеризационные испытания биполярных компонентов категории B и неопознанной категории | Биполярные, БиМОП, БиКМОП | |
Характеризационные испытания биполярных компонентов категории B для установления условий проведения ускоренных испытаний | Биполярные, БиМОП, БиКМОП | |
Испытания на наличие ELDRS (скриннинг-тест) | Биполярные, БиМОП, БиКМОП | |
Методы ускоренных испытаний | Биполярные, БиМОП, БиКМОП |
Проблемные вопросы использования ускоренных методов радиационных испытаний
Среди имеющихся методик испытаний есть как методики определительных испытаний (многократное пошаговое облучение с периодическим расширенным или непрерывным контролем параметров-критериев годности (ПКГ)), так и контрольных испытаний. Однако для оценки остаточного радиационного ресурса ЭКБ и решения задачи, поставленной перед разработчиками космического аппарата (КА) и бортовой аппаратуры (БА) космического назначения, контрольные испытания практически неприменимы из-за возможности получения отрицательного результата, при этом фактический уровень стойкости партии ЭКБ останется неизвестным. Партию ЭКБ будет необходимо заменить (повторить закупочные процедуры без гарантии повторного отказа) либо прести дополнительные испытания по определению уровня радиационной стойкости и последующей комплектации БА с установкой дополнительной защиты, как локальной, так и путём увеличения толщины корпуса.
При определении радиационной стойкости компонентов (планировании испытаний), необходимо учитывать следующие нюансы:
- чувствительность некоторых компонентов (классов и групп компонентов) к возникновению эффекта повышенной чувствительности к низкой интенсивности излучения – ELDRS;
- существующий разброс по уровню стойкости компонентов от партии к партии и внутри партии.
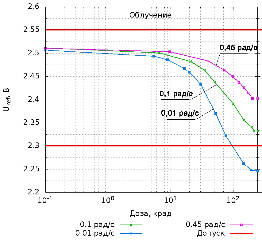
Некоторые компоненты биполярной технологии проявляют повышенную чувствительность к низкоинтенсивному излучению, так называемый эффект ELDRS. На рис. 1 представлены результаты исследования чувствительности ИС 1230ЕР1Т к ионизирующему излучению (ИИ) различной интенсивности [12].
Рис. 1. Зависимость изменения опорного напряжения ИС 1230ЕР1Т при облучении с различной мощностью дозы
Fig. 1. Dependence of the change in the reference voltage of the IC 1230ER1T during training with different dose rates
По результатам проведенных исследований видно, как уровень радиационной стойкости компонента зависит от мощности дозы ионизирующего излучения, выбранной для проведения испытаний. В случае если при обеспечении радиационной стойкости для проведения испытаний был выбран метод с использованием высокой или даже средней мощности дозы (выше 0,45 рад(Si)/с) и полученный уровень стойкости компонента использовался для обеспечения стойкости всего прибора, то в реальных условиях космического пространства (КП), для которого характерно низкоинтенсивное излучение (значительно ниже 0,01 рад(Si)/с), такой «неправильно» определенный уровень стойкости приведёт к отказу аппаратуры.
Другой проблемой при обеспечении радиационной стойкости КА, которую необходимо учитывать при планировании радиационных испытаний является разброс по стойкости ЭКБ как внутри партии, вплоть до выявления отдельных образцов в выборке с аномально низкой стойкостью, так и от партии к партии.
Рис. 2. Зависимость опорного напряжения Uref ОСМ Н142ЕН19 от уровня поглощенной дозы для партий с различными датами изготовления
Fig. 2. Dependence of the reference voltage Uref of the OSM N142EN19 on the level of total dose for batches with different dates of manufacture
На рис. 2 приведены результаты исследования радиационной стойкости различных партий источника опорного напряжения Н142ЕН19 [13]. Достаточно хорошо видно, как меняется радиационный отклик партий, выпущенных в разное время, в течение 3,5 лет. Стоит отметить, что в данном случае стойкость компонента увеличивалась, что предположительно связанос устранением нарушений в технологическом цикле либо изменением самого технологического цикла производства, однако предсказать подобные изменения в стойкости различных партий невозможно. Также на настоящий момент нет достоверных сведений, как подобная вариативность стойкости различных партий влияет на чувствительность компонентов к ELDRS. Так, например, стандарт ASTM F1892 допускает, что при чувствительности к ELDRS наблюдается разброс в радиационном отклике у партий с различными датами изготовления (см. Примечание 10 к п. 8.1.2.2 стандарта).
Учитывая вышесказанное, определение радиационной стойкости ЭКБ является нетривиальной задачей, в том числе и по причине доступности множества методов проведения испытаний. Необходимо отметить, что выделение из методов испытаний группы «ускоренных» методов является условным и определяется только отношением используемой мощности дозы к принятой во многих стандартах низкой мощности дозы, равной 0,01 рад(Si)/с.
Во многих ускоренных методах в качестве «ускоряющего» фактора используется либо сложная схема испытаний, отработанная на ограниченном количестве экспериментальных данных, либо повышенная температура образцов при проведении облучения.
К основным недостаткам этих методов можно отнести следующие:
а) метод ускоренных испытаний при моделировании воздействия низкоинтенсивного ИИ КП, использующий повышенные температуры облучения, который обосновывается ограниченным набором экспериментальных наблюдений, например, РД134-0196-2011, где это указано непосредственно. Несмотря на то, что облучение при повышенной температуре рассматривается в качестве основного ускоряющего фактора, его практическая реализация на уровне универсальной методики или стандарта испытаний затруднена рядом экспериментальных фактов:
- облучение при повышенных температурах и высоких интенсивностях не дает результата, полностью эквивалентного воздействию излучений низкой интенсивности, что требует проводить дополнительное облучение ЭКБ или вводить коэффициенты запаса;
- температуры облучения, дающие максимальный эффект моделирования воздействия излучений низкой интенсивности, могут находиться вне допустимого рабочего диапазона температур в соответствии со спецификацией или ТУ на изделие. Необходимо учитывать также, что использование температуры при облучении выше +90 °С может привести к началу отжига дефектов;
- оптимальное соотношение температуры и мощности дозы ИИ зависит от конкретного ЭКБ и требуемой дозы облучения и может быть установлено только путем предварительных испытаний;
б) не всегда возможно обоснованно предсказать, имеет ли место эффект ELDRS в данном биполярном компоненте по данному конкретному параметру или он отсутствует.
Рис. 3. Относительное изменение параметра Iут.вых оптоэлектронного коммутатора 249КП15БР при облучении низкоинтенсивным ИИ 0,01 рад/с в нормальных условиях и при высокой интенсивности и температуре 100 °С
Fig. 3. Relative change in the Iut.vyh parameter of an optoelectronic coupler 249KP15BR when irradiated low dose rate ionizing radiation 0,01 rad/s under normal conditions and at a high dose rate and temperature 100 °C
На рис. 3 приведено сравнение радиационного отклика критериального параметра «ток утечки на выходе Iут.вых.» в процентах от первоначального значения при испытаниях с облучением при низкой интенсивности (что соответствует методу № 2 ОСТ134-1034) и проведении испытаний ускоренным методом (метод №3 ОСТ134-1034) при повышенной температуре (T=100°С) и высокой интенсивности излучения. Испытания были проведены на выборках компонентов из партий с датами изготовления 2018.29 (7 образцов) – испытания при низкоинтенсивном облучении и 2018.48 (2 образца) и 2019.38 (3 образца) – испытания при повышенной температуре. Для соответствия масштаба, уровни набранной поглощенной дозы при ускоренных испытаниях были разделены на коэффициент 1,5, увеличивающий норму испытаний в соответствии с методом № 3.
Проведенное экспериментальное исследование явно показывает неприменимость ускоренного метода испытаний (при повышенной температуре) для космических условий применения. В данном конкретном случае при ускоренных испытаниях образцы сохраняли работоспособность вплоть до доз, в 5 раз превышающих дозы отказа компонентов при низкоинтенсивном облучении.
Однако стоит отметить что, на настоящий момент метод ускоренных испытаний при повышенной температуре (метод № 3 ОСТ134-1034) получил чрезвычайно широкое применение при определении уровня стойкости партий ЭКБ, предназначенных для космического применения, поскольку он:
Другой проблемой является наличие в нормативной базе методов испытаний со сложной реализацией, применение которых может приводить к непредсказуемым результатам. Такими методами, например, являются расчетно-экспериментальные методы «циклическое облучение – отжиг» и «облучение – релаксация» РД В 319.03.37-2000 (см. табл. 1), которые крайне сложны к практическому применению по следующим причинам:
Таким образом, методы «циклическое облучение – отжиг» и «облучение – релаксация» не рекомендуется использовать для определения уровня радиационной стойкости партий ЭКБ, предназначенных для комплектации БА КА.
Кроме того, методы ускоренных испытаний, где требуется проведение разделения выборки на несколько групп образцов, и проведение испытаний с использованием нескольких (разных) моделирующих установок то же не могут быть рекомендованы к использованию при обеспечении радиационной стойкости космической техники.
Например, схема испытаний № 3 ЦДТКТ1.027.009-2013 предписывает разбиение выборки образцов на две контрольные группы и проведение облучения при различных интенсивностях, что ведет к применению при проведении испытаний 2-х моделирующих установок. Сама процедура испытаний чрезвычайно усложнена и не позволяет обеспечить проведение испытаний большого количества компонентов. Также метод требует введения дополнительного переоблучение до дозы 3×DТР, что во многих случаях будет давать консервативную оценку стойкости.
Базовая методика ЦДТКТ1.027.007-2013 регламентирует проведение испытаний ЭКБ на стойкость к воздействиям электронного и протонного излучений космического пространства по дозовым эффектам на основе совместного использования источников гамма- и рентгеновского излучений.
Испытания проводятся в два этапа: на гамма- и рентгеновской установке, что относится к минусам данной методики, но основным недостатком является то, что на заключительной стадии испытаний, при оценке применимости коэффициента калибровки к полному набору параметров-критериев, результаты измерения какого-либо параметра могут не удовлетворять критерию однородности, тогда для данного параметра нельзя применять коэффициент калибровки, определяемый в процессе испытаний. В таком случае, результаты измерения значения параметра-критерия для образцов, облучавшихся на рентгеновском имитаторе, будут носить справочный характер и не рассматриваются при оценке соответствия изделия заданным требованиям, при этом нормы испытаний будут значительно увеличены в связи со значительным сокращением количества образцов, что приведет к уменьшению уровня стойкости, полученному по результатам испытаний.
К недостаткам методики также необходимо отнести то, что калибровка проводится только по одному параметру, а также необходимо наличие протяженного монотонного участка зависимости чувствительного (калибровочного) параметра, а также необходимость специальной подготовки изделий для испытаний – декапсуляция, лазерное фрезерование. В целом методика подходит для проведения испытаний при небольшом объеме и в редких случаях, когда при испытаниях на гамма-установке нет возможности осуществить полный контроль электрических параметров.
Важно отметить, что методы, где подразумевается разделение выборки на группы, которые испытываются независимо друг от друга, подвержены ошибкам вследствие разброса стойкости образцов внутри партии (выборки). В случае отказа при испытаниях отдельных образцов, в зависимости от попадания их в одну либо другую группу, результат испытаний может быть отрицательным либо будет приводить к неопределенности в интерпретации результатов.
Зарубежные стандарты (MIL-STD-883 TM1019, ASTM F1892) отличаются своим консервативным подходом к ускоренным методам испытаний (например, с использованием высокой температуры и интенсивности излучения). Такие методы допускаются к применению только после того, как будет показано, что они дают аналогичные (или более консервативные результаты) по сравнению с испытаниями при низкоинтенсивном облучении.
На основании вышеизложенного необходимо сделать следующие выводы:
- Не все существующие методы ускоренных радиационных испытаний, регламентированные к применению при обеспечении радиационной стойкости космической техники в ГК «Роскосмос», могут быть рекомендованы к использованию как минимум без каких-либо дополнительных процедур.
- Существующее разнообразие в РФ нормативных документов и методов (методик) радиационных испытаний, которые ими регламентируются, не является достоинством. При недостаточной компетенции и опыте кадров, это разнообразие методов может привести к неопределенностям при проведении испытаний и, в худшем случае, отказам космической техники.
- В РФ отсутствует единый нормативный документ, содержащий руководство по выбору и применению методов радиационных испытаний ЭКБ и включающий сами методы.
- Зарубежные стандарты крайне консервативны к применению широко используемых в РФ методов ускоренных испытаний, их не допускается применять без предварительной верификации на конкретном типе компонентов.
Заключение
В заключение, на основании проведенной работы для повышения надежности и радиационной стойкости космической техники, можно рекомендовать следующие шаги:
- Разработка единого нормативного документа, содержащего руководство по выбору и применению методов радиационных испытаний ЭКБ, включающего сами методы. Как наиболее близкий аналог единого документа можно рассматривать зарубежный стандарт ASTM F
- Изменение подхода к выбору и применению методов ускоренных испытаний. Применение таких методов допускается только после проведения определительных испытаний для конкретных типов ЭКБ (либо технологически идентичной серии ЭКБ) с определением режимов и параметров ускоренного метода испытаний.
- Исключение из практики использования устаревших, а также трудно реализуемых методов, в результате испытаний по которым возможно получение неопределенного результата (например, из состава РД В 319.03.37-2000). На настоящий момент допустимость их применения регламентирована ОСТ134-1034-2012.
- Для некоторых методов, используемых для определения радиационной стойкости ЭКБ к ИИ КП с учетом низкой интенсивности излучения и где облучение компонентов при испытаниях проводится с использованием мощности дозы ≤ 0,01 рад(Si)/с, требуется дополнительное исследование необходимости использования переоблучения (обычно с коэффициентом 1,5), что приводит к значительному увеличению продолжительности испытаний (увеличению их стоимости) и занижению полученного результата.
Sobre autores
Sergey Avdyushkin
Joint-Stock Company “Academician M. F. Reshetnev “Information Satellite Systems”
Autor responsável pela correspondência
Email: avdyushkin@iss-reshetnev.ru
head of the group
Rússia, 52, Lenin St., Zheleznogorsk, Krasnoyarsk region, 662972Igor Maximov
Joint-Stock Company “Academician M. F. Reshetnev “Information Satellite Systems”
Email: mia@iss-reshetnev.ru
Dr. Sc., head of department
Rússia, 52, Lenin St., Zheleznogorsk, Krasnoyarsk region, 662972Sergey Kochura
Joint-Stock Company “Academician M. F. Reshetnev “Information Satellite Systems”
Email: kochura@iss-reshetnev.ru
Dr. Sc., head of department
Rússia, 52, Lenin St., Zheleznogorsk, Krasnoyarsk region, 662972Bibliografia
- Maksimov I. A., Avdyushkin S. A. [Adaptation of methods for evaluating the residual life of EEE-parts under the influence of ionizing radiation from outer space]. Otchet o nauchno-issledovatel'skoi rabote. Zheleznogorsk, 2022, 144p.
- OST134-1034-2012. Metody ispytaniy i otsenki stoykosti bortovoy radioelektronnoy apparatury kosmicheskikh apparatov k vozdeystviyu elektronnogo i protonnogo izlucheniy kosmicheskogo prostranstva po dozovym effektam [OST134-1034-2012. Methods of testing and evaluation of the resistance of on-board electronic equipment of spacecraft to the effects of electronic and pleasant radiation of outer space]. Moscow, TsNII Mashinostroeniya Publ., 2022, 58 p.
- RD V 319.03.37-2000. Inzhenernye metody uskorennykh ispytaniy na stoykost' k vozdeystviyu protonnogo i elektronnogo izlucheniy kosmicheskogo prostranstva [RD V 319.03.37-2000. Engineering methods of accelerated tests for resistance to the effects of electron and proton radiation of outer space]. Moscow, 2000, 30 p.
- RD134-0196-2011. Tipovaya metodika kontrolya stoykosti k ioniziruyushchim izlucheniyam kosmicheskogo prostranstva v chasti dozovykh effektov, otbora i otbrakovki bipolyarnykh elektroradioizdeliy [RD134-0196-2011. Standard method for monitoring the resistance to ionizing radiation of outer space in terms of dose effects, selection and rejection of bipolar EEE-part]. Moscow, 2012, 40 p.
- TsDKT1.027.006-2013. Tipovaya metodika ispytaniy IET na stoykost' k ionizatsionnym dozovym effektam (gamma-izluchenie) [TsDKT1.027.006-2013. Standard procedure for testing EEE-part for resistance to ionization dose effects (gamma radiation)]. Moscow, 2013, 12 p.
- TsDKT1.027.007-2013. Bazovaya metodika ispytaniy IET na stoykost' k vozdeystviyam elektronnogo i protonnogo izlucheniy kosmicheskogo prostranstva po dozovym effektam na osnove sovmestnogo ispol'zovaniya istochnikov gamma- i rentgenovskogo izlucheniy [TsDKT1.027.007-2013. Base method for testing EEE-part for resistance to the effects of electron and proton radiation of outer space in terms of dose effects based on the joint use of gamma and x-ray sources]. Moscow, 2013, 18 p.
- TsDKT1.027.008-2013. Tipovaya metodika ispytaniy IET na stoykost' k dozovym effektam s ispol'zovaniem uskoriteley elektronov [TsDKT1.027.008-2013. Standard procedure for testing EEE-part for total dose hardness using electron accelerators]. Moscow, 2013. 11 p.
- TsDKT1.027.009-2013. Tipovaya metodika ispytaniy IET na stoykost' k ionizatsionnym dozovym effektam s uchetom nizkoy intensivnosti [TsDKT1.027.009-2013. Standard procedure for testing EEE-part for total dose hardness taking into account low dose rates]. Moscow, 2013. 21 p.
- ESA ESCC Basic Specification No 22900. Total dose steady-state irradiation test method. Geneve. ESA. 2016. 22 p.
- ASTM F1892. Standard Guide for Ionizing Radiation (Total Dose) Effects Testing of Semiconductor Devices. West Conshohocken, ASTM, 2012, 41 p.
- MIL-STD-883.Test method standard. Microcircuits. Department Of Defense. 2010, 729 p.
- Kas'kov T. N., Rubanov P. V., Okuntsov M. I. et al. [ELDRS effect in the electronic component base of domestic production and methods]. Voprosy atomnoi nauki i tekhniki. Seriya: Fizika radiatsionnogo vozdeistviya na radioelektronnuyu apparaturu. 2013, No 3, P. 14–17 (In Russ.).
- Avdyushkin S. A., Maksimov I. A., Ivanov V. V. et al. [Fluctuations in the level of radiation resistance of various batches of the reference voltage source OSM N142EN19]. Voprosy atomnoi nauki i tekhniki. Seriya: Fizika radiatsionnogo vozdeistviya na radioelektronnuyu apparaturu. 2014, No. 3, P. 22–24 (In Russ.).
- Aganyan T. M., Astvatsatur'yan E. R., Skorobogatov P. K. Radiatsionnye effekty v integral'nykh mikroskhemakh [Radiation effects in integrated circuits]. Moscow, Energoatomizdat Publ., 1988, 250 p. (In Russ.).
Arquivos suplementares






