Mathematical modeling of autocompensation devices
- Autores: Katkova V.P.1, Vyakhirev V.A.2, Krintal A.N.2
-
Afiliações:
- Military unit 58133-5
- Siberian Federal University
- Edição: Volume 24, Nº 4 (2023)
- Páginas: 652-662
- Seção: Section 1. Computer Science, Computer Engineering and Management
- ##submission.datePublished##: 15.12.2023
- URL: https://journals.eco-vector.com/2712-8970/article/view/625646
- DOI: https://doi.org/10.31772/2712-8970-2023-24-4-652-662
- ID: 625646
Citar
Resumo
The article is devoted to the order of development and description of mathematical models of automatic compensation devices of all-round radar stations. The development of algorithms for spatial processing of signals in radar systems with phased antenna arrays is an important stage in the design of radar stations. This article will consider the procedure for creating mathematical models of automatic compensation devices that differ in implementation methods, namely: the number of compensation channels, the position of the main and compensation (additional) channels of the radar station (stationary or dynamic), the amplitude-phase distribution of the main and additional antennas, the representation phased antenna array, algorithms for finding the weight vector. The adequacy of the operation of the models was verified by the method of computational experiment and the results are comparable with the implemented automatic compensation devices in radar stations. The results of the computational experiment, presented in the form of graphs of the signal at the output of the automatic compensation device, as well as the passage of the matched filter, show how effective the algorithm for calculating the weight vector, allow you to visually, quickly and economically compare the efficiency of the automatic compensation devices, depending on the method of their implementation. The article discusses the algorithm for the direct formation of the weight vector and the algorithm for the formation of the weight vector through the inverse correlation whitening matrix. Mathematical models of automatic compensation devices and the results of a computational experiment can be used to train future specialists who develop and operate radar stations.
Texto integral
Introduction
The issue of detecting air objects and accurately determining their characteristics has been and remains significant [1]. Radar stations (RS) of all-round coverage, designed to deal with this issue, perform information tasks under the conditions of exposure to external interference. Interference sources conceal or imitate signals and make it difficult to extract useful information. A significant influence on the detection and correct determination of the plane coordinates of an airborne object is exerted by response pulse interference (RPI) and active noise interference (ANI) [2].
The impact on the operation of ANI RS is currently caused by the rapid development of methods and techniques of radio countermeasures, as well as a variety of types of intentional radio interference that reduce the efficiency of isolating useful signals [3]. RPI negatively affects the quality of reception of the useful signal, affecting the side lobes of the antenna pattern of the main channel. That is why one of the most important tasks in radar is the development of devices designed to compensate for various noise and interference when receiving a useful signal [4]. To solve this problem, radars use automatic compensation systems that implement algorithms for ANI compensation and RPI suppression along the side lobes of the main channel antenna radiation pattern.
Mathematical modeling is a powerful tool for studying complex technical systems, such as automatic interference compensation systems, which has got a number of advantages over other research methods [5]. The development of various mathematical models of algorithms and systems is currently an urgent task [6].
The purpose of this work is to consider the procedure for modeling the autocompensator and the response suppression algorithm adopted by the side lobes of the main channel antenna radiation pattern.
The automatic compensator (AC) is designed to reduce the influence of ANI affecting the receiving channel of the radar. The main idea of side-lobe ANI compensation is to add in antiphase the signals received by the antenna of the main channel with signals from additional channels, multiplied by a weighting factor. With an accurate and fast calculated weight coefficient, ANI is successfully suppressed without significantly weakening the useful signal [7]. To successfully suppress ANI, accurate and fast calculation of the weighting coefficient vector is necessary.
The algorithm for suppressing RPI based on the side lobes of the main channel radiation pattern consists of subtracting the signals received by the additional antenna from the signals of the main antenna. In this case, the level of signals received by the additional antenna in the direction of the side lobes of the antenna pattern of the main channel exceeds the signals received by the main antenna in the direction of the main lobe.
The procedure for creating a mathematical model of autocompensation devices
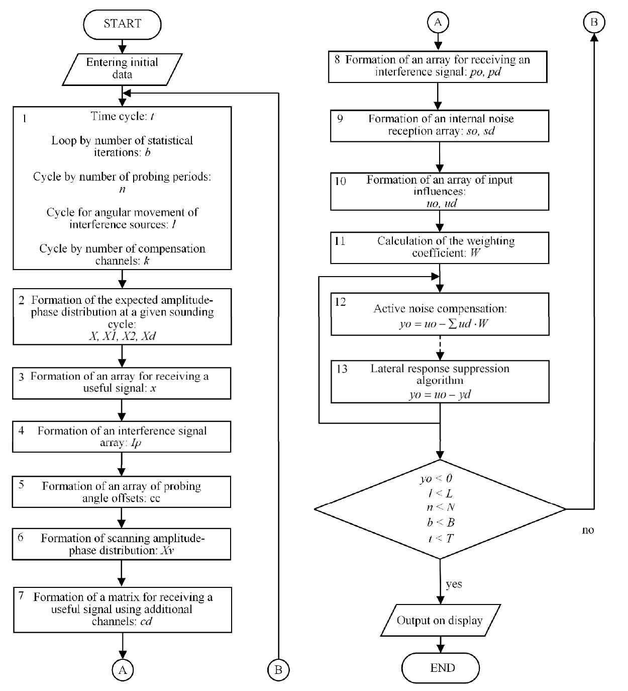
Fig. 1 presents the block diagram of the autocompensation system.
To start modeling auto-compensation systems, it is necessary to set the initial data, as well as the cycles indicated by block 1 in Fig. 1.
Modeling of the autocompensation system begins with the formation of amplitude-phase distributions of the antennae of the main and compensation channels (block 2 in Fig. 1). The amplitude-phase distribution of the main channel antenna, depending on the type of main channel antenna, is formed according to the expression [8]
(1)
where – sequence number of the antenna element of the main channel array; – quantity of non-directional antenna array elements; – sequence number of the angular parameter of interference sources; – reference number of the angular parameter; – component of the amplitude-phase distribution of the antenna depending on the type of antenna.
The formation of an array of amplitude-phase distribution of compensation channels is carried out based on the expression
where – sequence number of the antenna element of the compensation channel array, – quantity of of non-directional elements of the compensation channel antenna array, – coefficient of normalization of the antenna radiation pattern by azimuth.
Further, an array of useful reception (x) is formed (block 3 in Fig. 1) [9]
where А – useful signal amplitude; а – direction of the useful signal arrival; – signal frequency; – initial signal phase; – inter-period signal phase shift.
The amplitude of the useful signal can be constant, rapidly or slowly fluctuating due to one of the known laws [10].
Formation of an interference signal array (Ip) (block 4 in Fig. 1)
where – interference intensity; – sequence number of the sounding period; – sequence number of time reference.
Next, the rotation of the main antenna is simulated, that is, the displacement array is formed (block 5 in Fig 1),
(2)
where аа – antenna rotation step during the sounding period.
Multiplying (1) and (2) gives the scanning result (nc).
Based on the scanning expression, an array of scanning amplitude-phase distribution (Xv) is formed (block 6 in Fig. 1)
The notation indicates that the values of the matrix column vector are considered.
Modeling the rotation of antennas of additional channels depends on the radar stations. Their position can be stationary, or the compensation channels can rotate along with the main channel antenna. The formation of the amplitude-phase distribution (APD) for each compensation channel during their rotation (this article provides an example for two compensation channels) is carried out according to the expressions [11; 12]
where – correction for the separation of antenna electrical centers.
Based on the obtained amplitude-phase distributions for each channel, the amplitude-phase distribution of the system of additional antennae is formed:
where Т – transposition operation.
Further, an array is formed for receiving the useful signal by compensation channels according to the expression (block 7 in Fig. 1)
where Yc – amplitude-phase multiplier for the received useful signal by additional channels; – sequence number of an additional channel.
Taking into account the errors in the amplitude-phase distribution of the antenna caused by various components and the movement of the antenna of the main channel, resulting in the formation of an interference matrix of the main and additional channels (po, pd) (block 8 in Fig. 1),
where – direction of the interfering signal arrival.
where – amplitude-phase multiplier for the received interference signal of additional channels.
The internal noise matrix of the main channel so is formed according to the expression (block 9 in Fig. 1)
(3)
where и – random amplitude and phase of internal noise, respectively, are formed in a similar way to and . The noise matrix of the additional channel is formed similarly (3).
From arrays of useful signal, interference and self-noise, an additive mixture of input influences arriving at the input of the antennae of the main and compensation channels (uo, ud) is formed (block 10 in Fig. 1), which is a mixture of noise recalculated to the input of the antenna array, useful signal and interference. In the case of rotation of the compensation channels, expression (4) will take a different form (5)
(4)
(5)
where – additive mixture of input influences arriving at the input of the antennas of two compensation channels, formed similarly to .
When forming a flat antenna array, the number of array elements in the а (M1) plane, the number of array elements in the b (M2) plane, the direction of the useful signal source in the a (а) plane, the direction of the useful signal source in the b (b) plane will be added to the initial data; quantitative parameter reading in а (LL)plane, quantitative parameter reading in plane b (KK), as well as errors in the positions of elements in а, b (r1, r2) plane, random component to the amplitude of the useful signal (AA).
An array of errors is formed caused by the delay in the arrival of the useful signal due to the location of the elements normal to the antenna (r3).
Then an array of useful signal (x) is formed
Next, an array of the random component of the signal amplitude (An) is formed.
Further, an array of signal distribution in the time domain is formed, taking into account the random amplitude component (xt)
where – frequency multiplier; – amplitude of a useful signal with a random component.
Expressions for the formation of the amplitude-phase distribution for each of the planes will take the following form in plane a (X1):
(6)
For plane b, expression (6) will take a similar form, with the exception of the components M1, r1, L, which will be replaced by М2, r2, K similar to them.
Then we set the direction of arrival of the interference signal in plane a (N1), the direction of arrival of the useful signal in plane b (N2), and the number of counts in the direction of arrival of the interference signal (r).
Based on N1 and N2, a matrix of directions of interference sources is formed for two planes (np)
There are many methods for finding the weight vector. We consider some of them, namely: the direct formation of a weight coefficient vector and the formation of a weight coefficient vector through an inverse correlation re-whitening matrix.
In practice, as a rule, the ANI parameters and spatial correlation matrix are unknown. Moreover, they change in time due to the movement of the noise sources and the radar space survey. Therefore, it is not possible to protect the main radar channel with pre-selected fixed parameters [13; 14].
That is why the ability to adapt to a constantly changing interference environment is of great importance for auto-compensation systems. The most important parameter of the quality of adaptive systems is their speed [14].
The performance of the auto-compensation system largely depends on the speed of calculating the weight coefficient vector. The additive mixture of useful signal and noise is multiplied by a vector of weighting coefficients and the summation of the signal coming from the main channel and the signals received by additional channels and multiplied by the vector of weighting coefficients occurs. At the output of the auto-compensator we receive a signal with compensated ANI. Based on this signal, the vector of weighting coefficients is calculated again, which ensures an increase in the signal/(noise + interference) ratio.
Direct formation of the weight coefficient vector is carried out due to the expression (block 11 in Fig. 1) [15]
(7)
where – reaction coefficient; – number of time counts; – complex conjugation operation.
Expression (7) is applicable for the case when the main channel antenna rotation is disabled. When rotation is enabled, expression (7) will take the following form:
where – the result of the difference between the signals of the main and compensation channels.
The algorithm for directly finding the weight coefficient vector (W) is in the summation over time of the product of the reaction coefficient in the previous sounding period by the additive mixture of input influences arriving at the input of the antennae of additional channels and the expected complex conjugate amplitude-phase distribution of additional channels.
Forming the weight coefficient vector through the inverse correlation whitening matrix is carried out according to the expression [10]:
(8)
where – quantitative counting of the direction of arrival of the useful signal.
When rotation is enabled, expression (8) will take the following form:
(9)
where I – identity matrix; .
At the second and subsequent sounding periods, expression (9) will take the following form:
.
Unlike the algorithm for directly finding the weight coefficient vector, the correlation matrix of noise is estimated.
After calculating the weight coefficient vector (W) at the zero iteration step, the array of input influences is multiplied by the weight coefficient vector (W), which is calculated depending on the algorithm used. It is calculated in such a way that after summing the signals coming from the compensation channels, ANI compensation occurs (block 12 in Fig. 1)
Suppression of RPI occurs according to the algorithm (block 13 in Fig. 1)
.
If the sum of the values of the signals arriving at the antennas of the compensation channels is greater than the signal arriving at the main channel, then we can assume that. Therefore, RPI is suppressed.
Simulation results
The simulation results are presented in the form of graphs. Figure 2 demonstrates the simulation result with the autocompensator disabled. There is a lack of useful signal. It should be taken into account that Fig. 2 and 3 reflect the amplitude of the additive mixture of the useful signal, interference and intrinsic noise is normalized to the standard deviation of the noise.
Figure 3 presents a graph of the signal at the output of the autocompensator and after passing through a matched filter for two algorithms for finding the weight coefficient vector. From the results of the computational experiment, we can conclude that the algorithm for finding the weight coefficient vector through the inverse correlation whitening matrix compensates for ANI faster.
Рис. 3. График сигнала: а – на выходе автокомпенсатора; б – после прохождения согласованного фильтра для двух алгоритмов.
1 – алгоритм непосредственного формирования вектора весового коэффициента; 2 – алгоритм вычисления вектора весового коэффициента через обратную корреляционную переобеляющую матрицу
Fig. 3. The graph of the signal: a – at the output of the automatic compensation devices; b – the graph of the signal after passing the matched filter for two algorithms.
In 1 – the algorithm for the direct formation of the vector of the weighting coefficient; in 2 – the algorithm for calculating the vector of the weighting coefficient through the inverse correlation re-whitewashing matrix
Conclusion
The article discusses the mathematical model of the autocompensator and the algorithm for suppressing RPI along the side lobes. The results of computational experiments are presented in the form of graphs. The developed model makes it possible to conduct computational experiments depending on:
– from the selected adaptation algorithms to interference signals according to the criteria: maximum signal-to-noise ratio and speed of adaptation to interference;
– operation of the main antenna rotation system: rotation disabled or rotation enabled;
– position of compensation channels (dynamic or stationary);
– algorithm implemented in the radar for calculating the weight coefficient vector.
A mathematical model of an auto-compensator and an algorithm for suppressing RPI along the side lobes of the radiation pattern of the main channel antenna allows to better understand the principle of operation of auto-compensation devices and therefore can be used to train future specialists operating radars.
Sobre autores
Vera Katkova
Military unit 58133-5
Autor responsável pela correspondência
Email: Lesoedova.2011@mail.ru
Engineer
Rússia, Altai Territory, Biysk, 659300Viktor Vyakhirev
Siberian Federal University
Email: wyakhirev@yandex.ru
Cand. Sc., Associate Professor, Professor of the Military Training Center, Military Engineering Institute
Rússia, 13a, Academgorodok St., Krasnoyarsk, 660036Andrey Krintal
Siberian Federal University
Email: Andrey-krintal@yandex.ru
Student, Military Engineering Institute
Rússia, 13a, Academgorodok St., Krasnoyarsk, 660036Bibliografia
- Sung Kh. V., Trung K. N., Fung B. N., Kuang Kh. D. [Synthesis of a generalized algorithm for processing and generating data on reflected signals from simple targets]. Izv. vuzov Rossii. Radioelektronika. 2023, Vol. 26, No. 1, P. 44–57. doi: 10.32603/1993-8985-2023-26-1-44-57 (In Russ.).
- Ryabukha V. P., Semenyaka A. V., Katyushin E. A. [Mathematical models of cross-correlated and uncorrelated Gaussian noise interference from external sources]. Izv. Vuzov. Radioelektronika. 2021, Vol. 64. No. 3, P. 172–180. doi: 10.20535/S0021347021030043 (In Russ.).
- Shirman Ya. D, Manzhos V. N. Teoriya i tekhnika obrabotki radiolokatsionnoy informatsii na fone pomekh [Theory and technique of processing radar information against the background of interference]. Moscow, Radio i svyaz' Publ., 1981, 416 p.
- Chukhlomin I. E., Fayzulin N. A., Pavlik V. V. [Analysis of interperiod processing under non-stationary influence of passive Gaussian noise]. Vestnik Yuzhno-Ural'skogo gosudarstvennogo universiteta. Seriya: komp'yuternye tekhnologii, avtomaticheskoe upravlenie i radioelektronika. 2020, No. 20, P. 79–88. doi: 10.14529/ctcr200108 (In Russ.).
- Shennon R. Imitatsionnoe modelirovanie sistem – iskusstvo i nauka [Simulation modeling of systems – art and science]. Moscow, Mir Publ., 1978, 411 p.
- Dyatko A. A. [Modeling passive interference in the form of reflections from clouds of dipole reflectors]. Informatsionnye tekhnologii : materialy 86-y nauchno-tekhnicheskoy konferentsii professorsko-prepodavatel'skogo sostava, nauchnykh sotrudnikov i aspirantov [Information technologies: materials of the 86th scientific and technical conference of faculty, researchers and graduate students]. Minsk, 2022, P. 115–117 (In Russ.).
- Elagina K. A. Adaptivnye algoritmy obnaruzheniya i razresheniya ChM signalov v RLS obzora pri slozhnom pomekhovom vozdeystvii [Adaptive algorithms for detecting and resolving FM signals in surveillance radar under complex interference]. Krasnoyarsk, 2017, 157 p.
- Botov M. I., Vyakhirev V.A. Osnovy teorii radiolokatsionnykh sistem i kompleksov [Fundamentals of the theory of radar systems and complexes]. Krasnoyarsk, Sibirskiy federal'nyy universitet, 2013, 530 p.
- Borodin M. A. [Modeling the form of the echo signal of a radio altimeter]. Izvestiya vuzov Rossii. Radioelektronika. 2022, Vol. 25, No. 4, P. 52–62. doi: 10.32603/1993-8985-2022-25-4-52-62 (In Russ.).
- Gromov Yu. Yu., Karpov I. G., Ishchuk I. N., Minin Yu. V., Ivanov O. G., Tyutyunnik V. M. Modelirovanie informatsionnykh sistem na osnove zakonov raspredeleniya sluchaynykh velichin [Modeling of information systems based on the laws of distribution of random variables]. Tambov, Nobelistika Publ., 2019, 202 p.
- Vyakhirev V. A., Lesoedova V. P., Soboleva M. A. Matematicheskaya model' vrashcheniya antenny osnovnogo kanala RLS [Mathematical model of rotation of the antenna of the main channel of the radar]. Certificate of state registration of the computer program RF, No. 2021665483, 2021.
- Vyakhirev V. A., Katkova V. P., Krintal' A.N. Matematicheskaya model' dvukhkanal'nogo avtokompensatora RLS s raznesennym polozheniem kompensatsionnykh kanalov [Mathematical model of a two-channel auto-compensator radar with a spaced position of compensation channels]. Certificate of state registration of the computer program RF, No. 2022661902, 2022.
- Ryabukha V. P. [Adaptive systems for protecting radar from noise interference. 1. Correlation autocompensators based on stochastic gradient adaptation algorithms]. Prikladnaya radioelektronika. 2016, Vol. 15, No. 1, P. 11–25 (In Russ.).
- Ryabukha V. P., Semyanika A. V., Katyushin E. A., Atamanskiy D. V. [Protection of coherent-pulse radars from combined interference. 3. Digital adaptive system for sequential protection of the radar of a program review from combined interference based on an active notch filter]. Izvestiya vysshikh uchebnykh zavedeniy Rossii. Radioelektronika. 2022, Vol. 65, No. 2, P. 84–94. doi: 10.20535/S0021347022020029 (In Russ.).
- Vyakhirev V. A., Katkova V. P. Matematicheskaya model' algoritma otsenki pereobelyayushchey korrelyatsionnoy matritsy pomekh [Mathematical model of the algorithm for estimating the whitening correlation matrix of interference]. Certificate of state registration of the computer program RF, No. 2022615816, 2022.
Arquivos suplementares
