Thermal emission and pyroelectric current in manganese chalcogenides
- Authors: Sitnikov M.N.1, Kharkov A.M1, Aplesnin S.S.1
-
Affiliations:
- Reshetnev Siberian State University of Science and Technology
- Issue: Vol 25, No 2 (2024)
- Pages: 264-271
- Section: Section 3. Technological Processes and Materials
- Published: 27.07.2024
- URL: https://journals.eco-vector.com/2712-8970/article/view/634637
- DOI: https://doi.org/10.31772/2712-8970-2024-25-2-264-271
- ID: 634637
Cite item
Abstract
Manganese chalcogenides, which are promising for the manufacture of thermoelements, are being studied. The current is measured in the temperature range of 80–500 K, in the absence of external voltage, which can be caused by a temperature gradient (thermopower), a change in electrical polarization (pyroelectric current), piezoelectric current (when the sample is deformed, a potential difference arises) or thermionic emission (thermal emission current) . Temperatures of current anomalies and their relationship with thermionic current and polarization current are found. A change in electrical polarization with temperature will cause a pyroelectric current. Compensation for excess electrical charge will result in local electrical polarization. Partial decompensation will cause the formation of an electric field in the sample. The critical temperatures for the disappearance of electric polarization were determined for different concentrations. In the region of concentration of thulium ions flowing through the lattice, the activation nature of the thermionic current was established and the activation energy was found. The pyroelectric current has a smaller value compared to the thermionic current. The current mechanism is determined by the emission of electrons from deep traps and the temperatures of the maximum thermionic current correlate with the temperatures at which IR absorption disappears. The electric current density and its value depend on the type of substituted rare earth element are calculated.
Full Text
Introduction
Electric energy storage devices are used in the aerospace industry. Rechargeable batteries and supercapacitors are mainly used [1–3]. To manufacture supercapacitors, it is necessary to use a material with a high dielectric constant, which depends on the electric polarization [4–8]. Semiconductors with migration and dipole polarization can be applied in capacitors [9–11]. Another aspect consists of alternative energy sources, the conversion of thermal energy into electrical energy [12–15].
Nonstoichiometric replacement of manganese ions with thulium forms electrically inhomogeneous states in the sample [16–17]. Hybridization of the wave functions of cations is accompanied by the participation of a chalcogen ion, which will lead to a charge gap. The excess charge on Tm3+ is compensated by the displacement of anions and free current carriers. Electric polarization with a p-n junction occurs at the interface between TmSe nanoregions. When phonons are absorbed by electrons in the region of the p-n junction, a thermionic current will arise.
As promising materials, we consider chalcogenides, a number of which are used for the manufacture of thermoelements [18–20]. We consider manganese chalcogenides substituted with 3d elements as current sources.
Pyroelectric current in thulium-substituted manganese selenide
A current in the absence of an external voltage can be caused by a temperature gradient (thermoEMF), a change in electrical polarization (pyroelectric current), the appearance of a potential difference when the sample is deformed (piezoelectric current), or thermionic emission (thermionic current).
Chalcogenides with variable valence have unique properties – transport, magnetic and thermoelectric [21–23]. A change in the valence of the ion changes the electronic structure and leads to lattice deformation [24]. Valence changes both with temperature and with increasing pressure [25]. Compensation for excess electrical charge will lead to local electrical polarization. Partial decompensation will cause the formation of an electric field in the sample and dipole polarization. A change in electric polarization with temperature will cause a pyroelectric current jp = (dP/dT) (dT/dt). The current in zero electric field has the form:
(1)
where σ – sample conductivity; Ein – internal electric field.
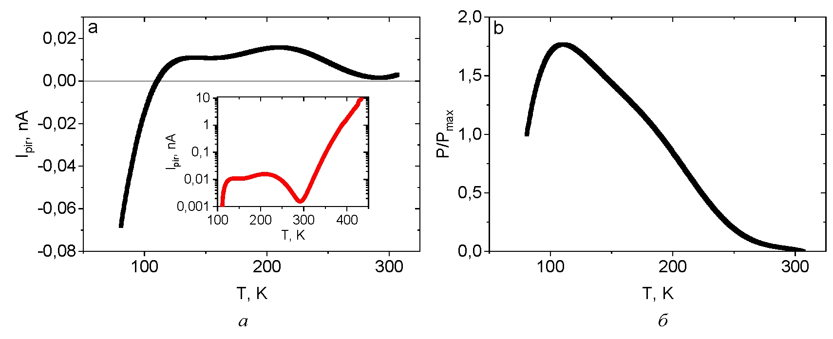
The current in zero electric field was measured on a 6517B/E electrometer and is presented in Fig. 1, a for Tm0,04Mn0,95Se. When heated, the current changes sign at 110 K from negative to positive. The current passes through a maximum at 220 K, reaches a minimum at 285 K, and increases sharply above room temperature. Integrating the current will give polarization P ~ , the relative value of which is shown in Fig. 1, b. Electric polarization in this sample disappears in the range of 220–240 K.
Рис. 1. Температурная зависимость пиротока (a) и относительное изменение поляризации (б) для Tm0,04Mn0,95Se. Вставка: Температурная зависимость пиротока для Tm0,04Mn0,95Se
Fig. 1. Temperature dependence of the pyrocurrent (a) and relative change in polarization (b) for Tm0.04Mn0.95Se. Inset: Temperature dependence of the pyrocurrent for Tm0.04Mn0.95Se
Let us highlight two temperature ranges up to 240 K, where the current is caused by a change in polarization and above this temperature a thermionic current appears.
With increasing concentration, the current exhibits a maximum at 480 K in Tm0,08Mn0,9Se, which is associated with electrical polarization (Fig. 2). It is possible to form dipole polarization at low temperatures, which disappears when heated and migration polarization appears. The pyroelectric current reaches a value of 10 nA, current density j = 0.2 μA/cm2.
Рис. 2. Температурная зависимость пиротока (a) и относительное изменение поляризации (б) для Tm0,08Mn0,9Se
Fig. 2. Temperature dependence of the pyrocurrent (a) and relative change in polarization (b) for Tm0.08Mn0.9Se
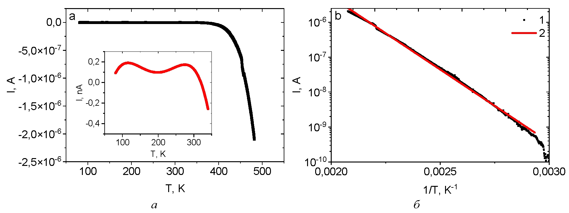
In the case of replacement of manganese ions with thulium in the concentration region where thulium ions flow through the lattice, the current changes sign above room temperature and has two small maxima at T = 110 and 280 K (Fig. 3).
Рис. 3. Температурная зависимость тока (a) и экспоненциальная зависимость тока от обратной температуры (б) для Tm0,2Mn0,8Se. Вставка: Температурная зависимость тока для Tm0,2Mn0,8Se
Fig. 3. Temperature dependence of the current (a) and exponential dependence of the current on the inverse temperature (b) for Tm0.2Mn0.8Se. Inset: Temperature dependence of the current for Tm0.2Mn0.8Se
At high temperatures, the current density is j = 0.05 mA/cm2. In the free electron gas model j = env, the electron concentration increases exponentially with heating n = n0exp(–∆E/T). The current is well described by the exponential dependence depicted in Fig. 3, b, with activation energy ∆E = 0.82 eV. The wave functions of electrons on thulium ions are interrupted and form an impurity subband. As a result of thermal fluctuations, electrons move from the impurity subband to the conduction band and an electric current appears in the electric field of defects.
Thermionic current in manganese sulfide substituted with thulium
Let us consider how the chalcogen anion affects the current in a zero field and what causes it. Fig. 4 shows the temperature dependence of the current for TmxMn1–xS solid solutions with x = 0.05; 0.15 in the temperature range 80–380 K. The maximum current value is achieved at temperatures of 320 K for x = 0.05 and 355 K for x = 0.15. These maxima are due to the emission of electrons from deep traps, and the temperatures of the thermionic current maxima correlate with the temperatures at which IR absorption disappears at the frequency ω1 = 3116 cm–1 [26].
Рис. 4. Температурная зависимость термоэмиссионного тока для образцов TmxMn1–xS с x = 0,05 (1); 0,15 (2)
Fig. 4. Temperature dependence of the thermionic current for samples TmxMn1–xS with x = 0.05 (1); 0.15 (2)
For a composition with x = 0.15, the sign of the thermoEMF changes at T = 350 K, which is possibly caused by an increase in the thermionic current. It is possible that at this temperature the dissociation of vibronic states formed by the strong interaction of electrons and vibration modes of the octahedron occurs.
The replacement of manganese by ions of variable valence causes local deformation of the lattice, which is accompanied by a change in the magnitude of the ion charge. How will the current change in a zero external electric field when replacing manganese with a rare earth ion with constant valence, for example, holmium. In Fig. 5 the current for Но0,1Mn0,9S is given. The current magnitude decreases compared to the current in TmxMn1–xS with x = 0.05; 0.15, there is an additional maximum at 205 K and a sharp peak at 348 K. Substitution with holmium enhances the electrical heterogeneity, the excess charge is compensated by holes and creates a charge density wave. As a result, a potential difference and an internal electric field Еin arise on the surface of the sample. A change in electrical polarization induces a pyrocurrent jp = dP/dt. The polarization obtained by integrating the current is shown in Fig. 5, b. When heated, P(T) has an anomaly at 200 K and disappears above T = 350 K.
Рис. 5. Температурная зависимость тока (a) и относительное изменение поляризации (б) для Но0,1Mn0,9S
Fig. 5. Temperature dependence of the current (a) and relative change in polarization (b) for Ho0.1Mn0.9S
Polarization occurs due to the displacement of sulfur ions from octahedral positions; the angle between the bonds of magnetic ions and the ligand changes, affecting the magnitude of the exchange field. As a result, this will cause a change in magnetic characteristics.
Conclusion
Anomalies in the temperature dependence of the current in a zero external field make it possible to distinguish the emission current and the pyrocurrent caused by electric polarization. A pyroelectric current was found in selenide solid solutions below the percolation concentration, as well as upon substitution with holmium ions. In manganese sulfides replaced by thulium, deep traps are formed, which are a source of thermionic current.
Acknowledgements
The study was supported by a grant from the Russian Science Foundation N 23-22-10016, the Krasnoyarsk Regional Science Foundation.
About the authors
Maksim N. Sitnikov
Reshetnev Siberian State University of Science and Technology
Email: kineru@mail.ru
Cand. Sc., Associate Professor of the Department of Physics
Russian Federation, 31, Krasnoyarskii rabochii prospekt, Krasnoyarsk, 660037Anton M Kharkov
Reshetnev Siberian State University of Science and Technology
Author for correspondence.
Email: khark.anton@mail.ru
Cand. Sc., Associate Professor of the Department of Physics
Russian Federation, 31, Krasnoyarskii rabochii prospekt, Krasnoyarsk, 660037Sergey S. Aplesnin
Reshetnev Siberian State University of Science and Technology
Email: aplesnin@sibsau.ru
Dr. Sc., Professor of the Department of Physics
Russian Federation, 31, Krasnoyarskii rabochii prospekt, Krasnoyarsk, 660037References
- Castro-Gutiérrez J., Celzard A., Fierro V. Energy Storage in Supercapacitors: Focus on TanninDerived Carbon Electrodes. Front. Mater. 2020, Vol. 7, P. 217.
- Bairi V. G., Nasini U. B. et al. Electrocatalytic and supercapacitor performance of phosphorous and nitrogen co-doped porous carbons synthesized from aminated tannins. Electrochim. Acta. 2015, Vol. 182, P. 987.
- Lim J. M., Jang Y. S. et al. Advances in high-voltage supercapacitors for energy storage systems: materials and electrolyte tailoring to implementation. Nanoscale Adv. 2023, Vol. 5, P. 615–626.
- Shi L., Yang R., Lu S. et al. Dielectric gels with ultra-high dielectric constant, low elastic modulus, and excellent transparency. NPG Asia Mater. 2018, Vol. 10, P. 821–826.
- Zhang Q. M. et al. An all-organic composite actuator material with a high dielectric constant. Nature 2002, Vol. 419, P. 284–287.
- Udod L. V. et al. Dielectric and electrical properties of polymorphic bismuth pyrostannate Bi2Sn2O7. Phys. Sol. St. 2014, Vol. 56, No. 7, P. 1315–1319.
- Udod L. V., Aplesnin S. S., Sitnikov M. N. et al. Magnetodielectric effect and spin state of iron ions in iron-substituted bismuth pyrostannate. Eur. Phys. J. Plus 2020, Vol. 135, P. 776.
- Aplesnin S. S., Sitnikov M. N., Kharkov A. M., Abdelbaki H. Effect of the Electrical Inhomogeneity on the Magnetocapacitance Sign Change in the HoxMn1‒xS Semiconductors upon Temperature and Frequency Variation. J. Mater. Sci.: Mater. Electron. 2023, Vol. 34, P. 284.
- Aplesnin S. S., Kharkov A. M., Filipson G. Yu. Magnetic capacitance in variable-valence manganese sulfides. Phys. Status Solidi B. 2020, Vol. 257, No. 5, P. 1900637.
- Aplesnin S. S., Udod L. V., Sitnikov M. N., Romanova O. B. Dielectric and transport properties, electric polarization at the sequential structural phase transitions in iron-substituted bismuth pyrostannate. Ceram. Int. 2021, Vol. 47, No. 2, P. 1704–1711.
- Gong C., Ding J. et al. Defect-induced dipole polarization engineering of electromagnetic wave absorbers: Insights and perspectives. Composites Part B: Engineering. 2023, Vol. 252, P. 110479.
- Udod L. V., Aplesnin S. S., Sitnikov M. N., Romanova O. B. [Study of the magnetoelectric effect and thermopower in composite iron-substituted bismuth pyrostatate Bi2(Sn0.7Fe0.3)2O7/Bi2Fe4O9]. FTT. 2023, Vol. 65, Is. 8, P. 1361–1367 (In Russ.).
- Aplesnin S. S., Kharkov A. M., Sitnikov M. N. Regulation of the thermopower and ultrasound by magnetic field in manganese sulfide doped with variable-valence ions. Eur. Phys. J. Plus. 2024, Vol. 139, P. 247.
- Zhu M., Ma D. et al. Ultralow thermal conductivity and high thermopower of a novel high- entropy (Sr0.2Ba0.2La0.2Eu0.2Pb0.2)Nb2O6 with tungsten bronze structure. J. Eur. Ceram. Soc. 2024, Vol. 44, Is. 4, P. 2198–2205.
- Acharya M., Jana S. S., Ranjan M., Maiti T. High performance (ZT>1) n-type oxide thermoelectric composites from earth abundant materials. Nano Energy. 2021, Vol. 84, P. 105905.
- Aplesnin S. S., Sitnikov M. N., Romanova O. B. et al. Electrosound and asymmetry of the I‒V characteristic induced by ultrasound in the ReхMn1‒хS (Re = Tm, Yb). Eur. Phys. J. Plus. 2022, Vol. 137, P. 226.
- Romanova O. B., Aplesnin S. S., Sitnikov M. N. et al. Structural and electronic transitions in thulium-substituted manganese selenide. Ceram. Int. 2022, Vol. 48, Is. 20, P. 29822–29828.
- Shtern M., Rogachev M. et al. Thermoelectric properties of efficient thermoelectric materials on the basis of bismuth and antimony chalcogenides for multisection thermoelements. J. All. Comp. 2021, Vol. 877, P. 160328.
- Tee S. Y., Ponsford D., Lay C. L. et al. Thermoelectric Silver-Based Chalcogenides. Adv Sci. 2022, Vol. 9, No. 36, P. 2204624.
- Bu Z., Zhang X., Hu Y. et al. A record thermoelectric efficiency in tellurium-free modules for low-grade waste heat recovery. Nat. Commun. 2022, Vol. 13, P. 237.
- Bakar A., Afaq A. et al. Insight into the structural, vibrational and thermodynamic properties of SmX (X = S, Se, Te) chalcogenides: First-principles investigations. Phys. B: Cond. Matt. 2020, Vol. 576, P. 411715.
- Jarrige I., Rueff J.-P., Shieh S. R. et al. Pressure-Induced Valence Anomaly in TmTe Probed by Resonant Inelastic X-Ray Scattering. Phys. Rev. Lett. 2008, Vol. 101, P. 127401.
- Lebègue S., Santi G., Svane A. et al. Electronic structure and spectroscopic properties of thulium monochalcogenides. Phys. Rev. B. 2005, Vol. 72, P. 245102.
- Avignon M., Ghatak S., Coey J. et al. Electronic configuration mixing in Sm1−xYxS. JMMM. 1976, Vol. 3, P. 88.
- Reim W., Wachter P. First Observation of a Magnetic-Exchange–Induced Valence Transition. Phys. Rev. Lett. 1985, Vol. 55, P. 871.
- Aplesnin S. S., Sitnikov M. N., Kharkov A. M. et al. Influence of induced electrical polarization on the magnetoresistance and magnetoimpedance in the spin-disordered TmxMn1–xS solid solution. Phys. Status Solidi B. 2019, Vol. 256, P. 1900043.
Supplementary files








