Magnetoimpedance in thulium manganese chalcogenide
- Authors: Kharkov A.M.1, Sitnikov M.N.1, Aplesnin S.S.1
-
Affiliations:
- Reshetnev Siberian State University of Science and Technology
- Issue: Vol 25, No 4 (2024)
- Pages: 531-538
- Section: Section 3. Technological Processes and Materials
- Published: 15.12.2024
- URL: https://journals.eco-vector.com/2712-8970/article/view/646601
- DOI: https://doi.org/10.31772/2712-8970-2024-25-4-531-538
- ID: 646601
Cite item
Abstract
Control of transport characteristics under the influence of a magnetic field is promising from the point of view of creating magnetic field sensors resistant to radiation. The impedance and its components in thulium manganese chalcogenide in the frequency range of 102–106 Hz are studied. The temperature range with a prevailing contribution of the reactive and active parts of the impedance is found. The impedance components are described in the Debye model. When manganese is replaced by thulium ions, the frequencies of the maxima of the imaginary component of the impedance shift toward high frequencies in manganese selenide by two orders of magnitude. With an increase in the concentration of substitution by thulium ions in selenides, two relaxation times are found, compared with sulfides. The activation nature of the relaxation time, the activation energy from the concentration of thulium ions are found. An increase in impedance in a magnetic field in the region of low concentrations and a change in the sign of the impedance with temperature for high concentrations are established. Magnetoimpedance in chalcogenides passes through a maximum when heating the samples. The increase in impedance in a magnetic field is due to a change in the diagonal component of the permittivity in a magnetic field, which is proportional to the conductivity. A positive value of magnetoimpedance is described in the model of an electrically inhomogeneous medium. From the impedance, information can be obtained about the electrical inhomogeneity of the material.
Keywords
Full Text
1. Introduction
The control of transport characteristics in semiconductors under the action of an external magnetic field is of interest from both fundamental and practical points of view [1-4]. In semiconductors with inhomogeneous electric charge distribution, the transport characteristics depend on the degree of inhomogeneity [5-8]. In the spectrum of electronic excitations in the forbidden zone, a finite electron density at the chemopotential level is formed as a result of charge localisation. At weak doping, the electron wave function remains localised. As the substitution concentration increases, delocalised states are formed in the centre of the zone and at some critical value an infinite cluster appears, where the electron wave functions are represented as plane waves propagating throughout the crystal [9; 10].
The electrical heterogeneity can be controlled by fluctuations in valence, concentration and temperature [11-13]. For example, the thulium ion reveals a trivalent state in TmS [14; 15], an intermediate valence state in TmSe [16] and a divalent state in TmTe [17]. The electronic configuration of the Tm2+δ ion is chalcogen dependent. Therefore, the substitution of manganese ion in MnS and MnSe chalcogenides with thulium ions will lead to different electron delocalisation energies. The introduction of non-stoichiometry into the TmSe system favours an increase in the valence of thulium ions to Tm3+.
The aim of the work is to reveal the influence of chalcogen ions on the relaxation time of current carriers, impedance characteristics and their change in a magnetic field.
2. Effect of chalcogen ion on the frequency dependence of impedance
TmxMn1–xS solid solutions were synthesised by flux method from polycrystalline manganese sulphide and thulium monosulphide [18]. Samples (MnSe)1-x(Tm0,76Se)x were obtained by solid-phase reaction method in vacuum quartz ampoules in a single-zone resistivity furnace. The detailed synthesis procedure is described in [19]. The X-ray diffraction study of chalcogenides gives an X-ray diagram corresponding to the NaCl-type FCC lattice.
Impedance, impedance components respond to changes in electronic structure and local lattice deformation, which change the electron density distribution function. Determination of the relaxation time of current carriers is an important characteristic for determining the mechanism of current carrier dissipation. Relaxation can be of both activation and non-activation type [20].
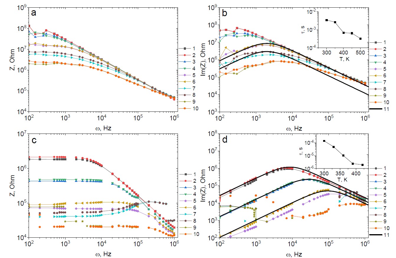
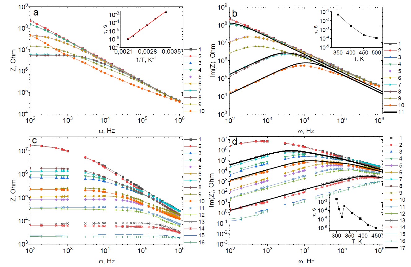
Relaxation of current carriers at frequencies higher than 1 kHz is manifested at temperatures above room temperature, so the frequency dependence of impedance without field and in a magnetic field can be measured at temperatures above room temperature. Figure 1 shows the frequency dependence of impedance Z(ω) and Im(Z(ω)) for Tm0,05Mn0,95S and (MnSe)1–x(Tm0,76Se)x. When manganese is substituted by thulium ions, the frequencies of the Im(Z(ω)) maxima shift towards the high frequencies in manganese selenide by two orders of magnitude. Regardless of the chalcogen ion, the relaxation time changes dramatically in the vicinity of 400 K (insets in Fig. 1). Below T = 400 K in the system there is one relaxation time in the frequency region 102–106 Hz and the impedance components are described in the Debye model:
(1)
where τ is the relaxation time of current carriers; B is a parameter. A spectrum of relaxation times appears in the system above 420 K. The relaxation time depends on temperature τ = τ0·exp(Eg/T) exponentially with activation energy Eg = 0,47 eV in (MnSe)1–x(Tm0,76Se)x for x = 0.05.
Рис. 1. Частотные зависимости импеданса Z (a, c) и мнимой части импеданса (b, d) для образцов Tm0,05Mn0,95S (a, b), измеренные в нулевом магнитном поле (1, 3, 5, 7, 9) и в поле 8 кЭ (2, 4, 6, 8, 10) при Т = 300 (1, 2), 350 (3, 4), 400 (5, 6), 450 (7, 8), 500 К (9, 10), и для образцов Tm0,04Mn0,95Se (c, d), измеренные в нулевом магнитном поле (1, 3, 5, 7, 9) и в поле 12 кЭ (2, 4, 6, 8, 10) при Т = 300 (1, 2), 330 (3, 4), 360 (5, 6), 390 (7, 8), 420 К (9, 10). Вставки: температурные зависимости времени релаксации τ. Результаты эксперимента описаны в рамках модели Дебая (сплошные линии 11)
Fig. 1. Frequency dependences of impedance Z (a, c) and imaginary part of impedance (b, d) for Tm0.05Mn0.95S samples (a, b) measured in zero magnetic field (1, 3, 5, 7, 9) and in a field of 8 kOe (2, 4, 6, 8, 10) at T = 300 (1, 2), 350 (3, 4), 400 (5, 6), 450 (7, 8), 500 K (9, 10) and for Tm0.04Mn0.95Se samples (c, d) measured in zero magnetic field (1, 3, 5, 7, 9) and in a field of 12 kOe (2, 4, 6, 8, 10) at T = 300 (1, 2), 330 (3, 4), 360 (5, 6), 390 (7, 8), 420 K (9, 10). Inserts: temperature dependences of the relaxation time τ. The experimental results are described within the Debye model (solid lines 11)
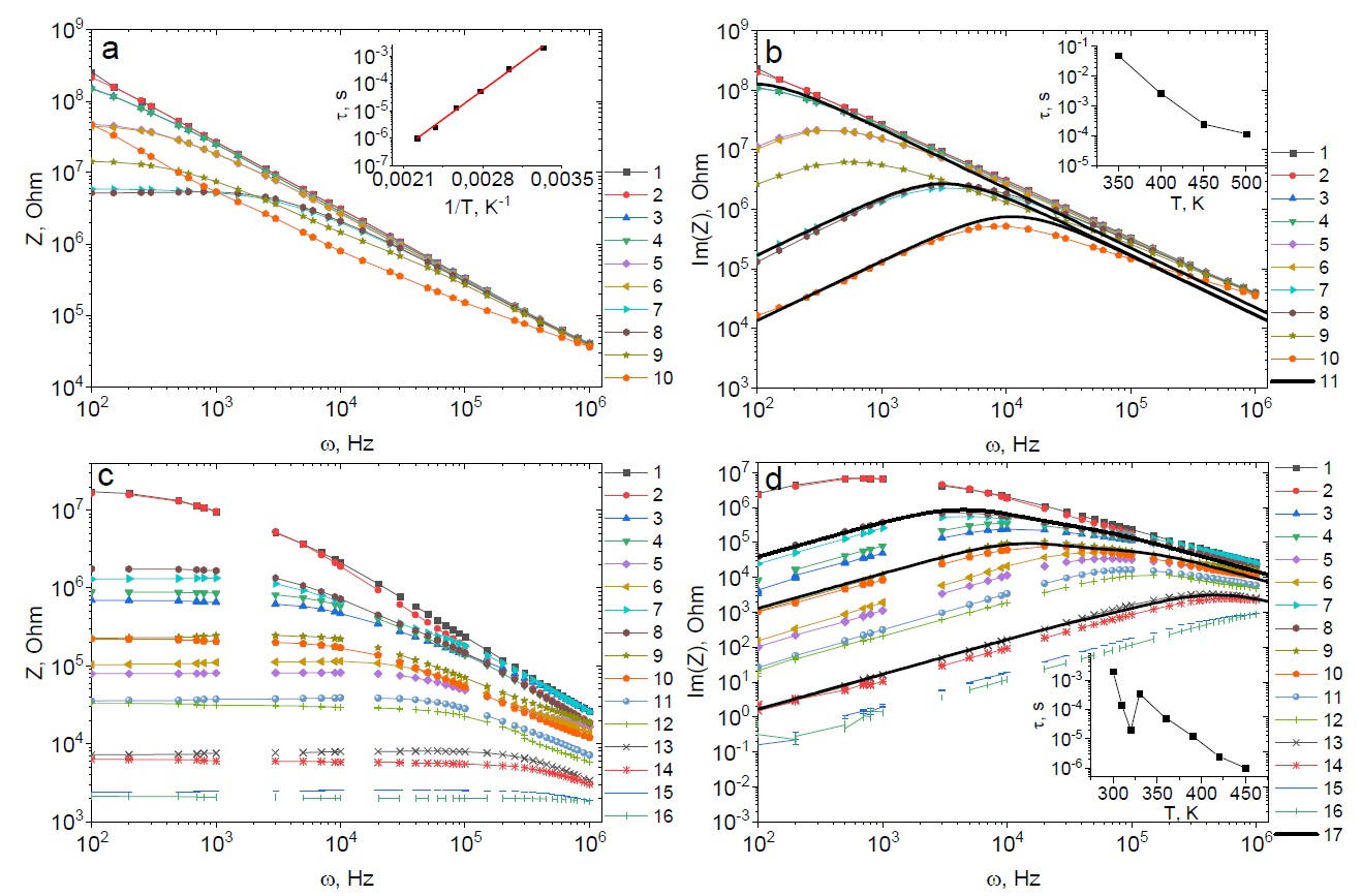
The impedance components from frequency in Tm0,1Mn0,9S (Fig. 2, a) can be described in the Debye model with a single relaxation time, which has an activation form up to T = 450 K with activation energy Eg = 0.72 eV (insert in Fig. 2, b). In (MnSe)1–x(Tm0,76Se)x with x = 0.1 Im(Z(ω)) is well described in the Debye model:
(2)
with two relaxation times (Fig. 2, c) and with activation energy Eg = 0.6 eV for τ1 smaller than in Tm0,1Mn0,9S.
Рис. 2. Частотные зависимости импеданса Z (a, c) и мнимой части импеданса (b, d) для образцов Tm0,1Mn0,9S (a, b), измеренные в нулевом магнитном поле (1, 3, 5, 7, 9) и в поле 8 кЭ (2, 4, 6, 8, 10) при Т = 300 (1, 2), 350 (3, 4), 400 (5, 6), 450 (7, 8), 500 К (9, 10), и для образцов Tm0,08Mn0,9Se (c, d), измеренные в нулевом магнитном поле (1, 3, 5, 7, 9, 11, 13, 15) и в поле 12 кЭ (2, 4, 6, 8, 10, 12, 14, 16) при Т = 300 (1, 2), 310 (3, 4), 320 (5, 6), 330 (7, 8), 360 (9, 10), 390 (11, 12), 420 (13, 14), 450 К (15, 16). Вставки: температурные зависимости времени релаксации τ. Результаты эксперимента описаны в рамках модели Дебая (сплошные линии 11, 17)
Fig. 2. Frequency dependences of impedance Z (a, c) and imaginary part of impedance (b, d) for Tm0.1Mn0.9S samples (a, b) measured in zero magnetic field (1, 3, 5, 7, 9) and in a field of 8 kOe (2, 4, 6, 8, 10) at T = 300 (1, 2), 350 (3, 4), 400 (5, 6), 450 (7, 8), 500 K (9, 10) and for Tm0.08Mn0.9Se samples (c, d) measured in zero magnetic field (1, 3, 5, 7, 9, 11, 13, 15) and in a field of 12 kOe (2, 4, 6, 8, 10, 12, 14, 16) at T = 300 (1, 2), 310 (3, 4), 320 (5, 6), 330 (7, 8), 360 (9, 10), 390 (11, 12), 420 (13, 14), 450 K (15, 16). Inserts: temperature dependences of the relaxation time τ. The experimental results are described within the Debye model (solid lines 11, 17)
3. Magnetoimpedance
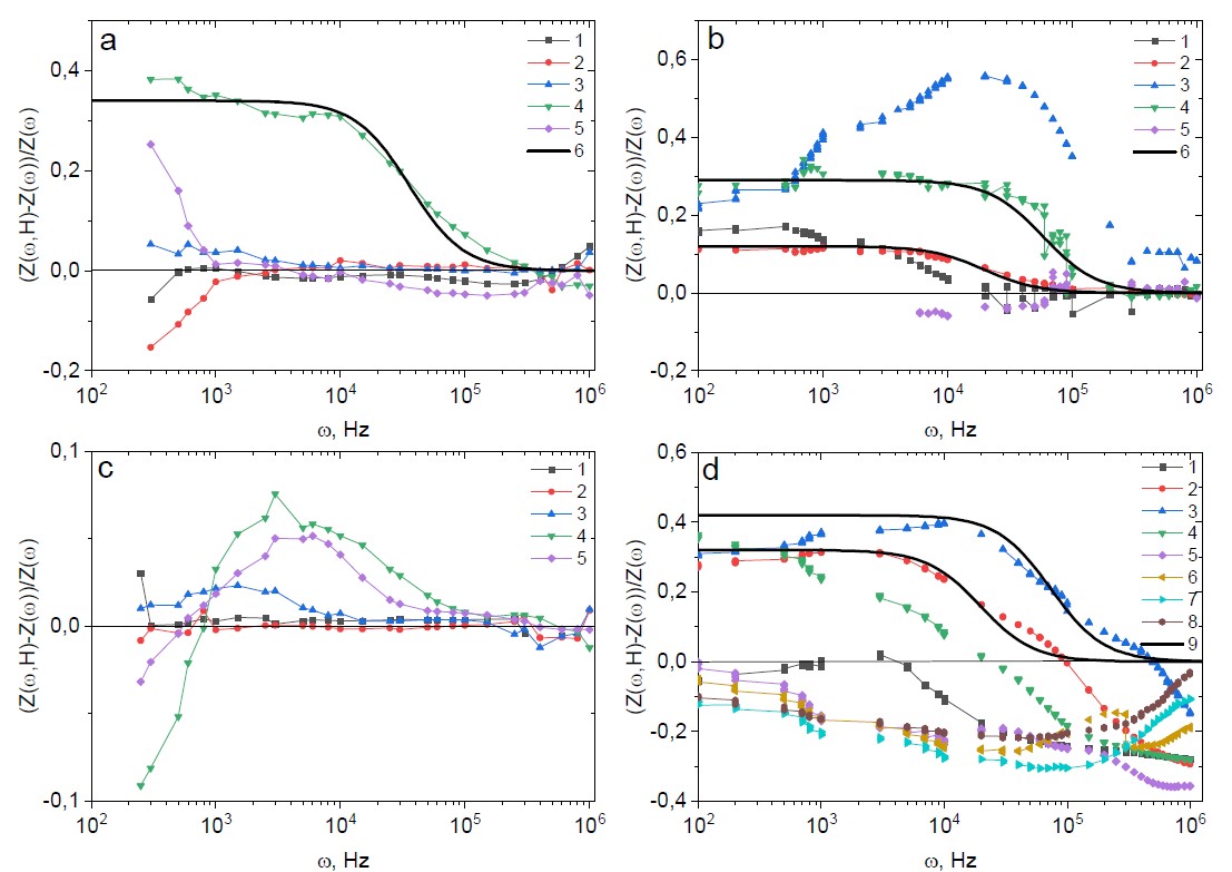
The impedance depends on the magnetic field and the chalcogen ion. Fig. 3 shows the changes in impedance in a magnetic field calculated by the formula
∆Z = (Z(ω, H) – Z(ω, H = 0)) / Z(ω, H = 0)), (3)
where Z(ω,H) is the impedance in the magnetic field and without field for Z(ω, H = 0). For substitution concentrations x < 0.05, the impedance increases in the magnetic field and the magnetoimpedance reaches a maximum of ∆Z = 0.35 at T = 450 K for samples Tm0,05Mn0,95S and ∆Z = 0.56 at T = 360 K. With increasing concentration, the change of impedance in the magnetic field decreases. When heated, the magnetoimpedance changes sign in frequency and temperature (Fig. 3, c, d).
The impedance in chalcogenides increases in the magnetic field and passes through a maximum when the samples are heated. The increase in impedance is due to the change in the diagonal component of the dielectric permittivity in the magnetic field, which is proportional to the conductivity σ(ω) = iωε, impedance Z2 = 1/σ2 + 1 / (ωC)2 ≈ 1/ε2. In an electrically inhomogeneous medium, the longitudinal component of the dielectric permittivity has the form [21; 22]:
(4)
where β = μH, μ is mobility, τ = RC. Relative change of impedance [23]
(5)
and its component is satisfactorily described by this function in the region of small concentrations (Fig. 3). As a result, from the impedance it is possible to obtain information about the electrical non-homogeneity [24] and dielectric permittivity in the medium [25; 26].
Рис. 3. Магнитоимпеданс в магнитном поле H = 8 кЭ при температурах T = 300 (1), 350 (2), 400 (3), 450 (4), 500К (5) для образцов Tm0,05Mn0,95S (a); в магнитном поле H = 12 кЭ при температурах T = 300 (1), 330 (2), 360 (3), 390 (4), 420 К (5) для Tm0,04Mn0,95Sе (b); в магнитном поле H = 8 кЭ при температурах T = 300 (1), 350 (2), 400 (3), 450 (4), 550 К (5) для образцов Tm0,1Mn0,9S (c); в магнитном поле H = 12 кЭ при температурах T = 300 (1), 310 (2), 320 (3), 330 (4), 360 (5), 390 (6), 420 (7), 450 К (8) для Tm0,08Mn0,9Sе (d). Результаты эксперимента описаны формулой (5) (сплошные линии 6, 9)
Fig. 3. Magnetoimpedance in a magnetic field of H = 8 kOe at temperatures T = 300 (1), 350 (2), 400 (3), 450 (4), 500 K (5) for Tm0.05Mn0.95S samples (a); in a magnetic field of H = 12 kOe at temperatures T = 300 (1), 330 (2), 360 (3), 390 (4), 420 K (5) for Tm0.04Mn0.95Se (b); in a magnetic field of H = 8 kOe at temperatures T = 300 (1), 350 (2), 400 (3), 450 (4), 550 K (5) for Tm0.1Mn0.9S samples (c); in a magnetic field H = 12 kOe at temperatures T = 300 (1), 310 (2), 320 (3), 330 (4), 360 (5), 390 (6), 420 (7), 450 K (8) for Tm0.08Mn0.9Sе (d). The experimental results are described by formula (5) (solid lines 6, 9)
4. Conclusion
In (MnSe)1–x(Tm0,76Se)x the prevalence of the reactive part of impedance is found, in the sulfide Tm0,05Mn0,95S the real part of impedance predominates. With increasing concentration of manganese substitution by tulium, the impedance and its components increase by an order of magnitude. Charge ordering may be formed and the capacitance increases by two orders of magnitude. Relaxation of charge carriers is described in the Debye model. The activation character of relaxation time and activation energy are found. For small concentrations, the impedance increases in magnetic field in chalcogenides. With increasing concentration, the magnetoimpedance changes sign in frequency and temperature. The increase of impedance in the field is caused by the decrease of dielectric permittivity in the magnetic field.
Благодарности
Работа поддержана Российским научным фондом, Правительством Красноярского края и проектом Красноярского научного фонда № 23-22-10016.
Acknowledgements
The study was supported by a grant from the Russian Science Foundation No. 23-22-10016, the Krasnoyarsk Regional Science Foundation.
About the authors
Anton M. Kharkov
Reshetnev Siberian State University of Science and Technology
Author for correspondence.
Email: khark.anton@mail.ru
ORCID iD: 0000-0003-0954-9094
Cand. Sc., Associate Professor of the Department of Physics
Russian Federation, 31, Krasnoyarskii rabochii prospekt, Krasnoyarsk, 660037Maksim N. Sitnikov
Reshetnev Siberian State University of Science and Technology
Email: kineru@mail.ru
ORCID iD: 0000-0001-7163-1801
Cand. Sc., Associate Professor of the Department of Physics
Russian Federation, 31, Krasnoyarskii rabochii prospekt, Krasnoyarsk, 660037Sergey S. Aplesnin
Reshetnev Siberian State University of Science and Technology
Email: aplesnin@sibsau.ru
ORCID iD: 0000-0001-6176-4248
Dr. Sc., Professor
Russian Federation, 31, Krasnoyarskii rabochii prospekt, Krasnoyarsk, 660037References
- Fowler D., Hardwick D. P. A., Patanè A. et al. Magnetic-field-induced miniband conduction in semiconductor superlattices. Phys. Rev. B 2007, Vol. 76. P, 245303.
- Hod O., Baer R., Rabani E. Magnetoresistance of nanoscale molecular devices based on Aharonov–Bohm interferometry. J. Phys.: Cond. Matt. 2008, Vol. 20, P. 383201.
- Musiienko A., Yang F., Gries T. W. et al. Resolving electron and hole transport properties in semiconductor materials by constant light-induced magneto transport. Nat. Comm. 2024, Vol. 15, P. 316.
- Senanayak S. P., Dey K., Shivanna R. et al. Charge transport in mixed metal halide perovskite semiconductors. Nat. Mater. 2023, Vol. 22, P. 216–224.
- Hu J., Rosenbaum T. F., Betts J. B. Current Jets, Disorder, and Linear Magnetoresistance in the Silver Chalcogenides. Phys. Rev. Lett. 2005, Vol. 95, P. 186603.
- Aplesnin S. S., Kharkov A. M., Sitnikov M. N. Regulation of the thermopower and ultrasound by magnetic field in manganese sulfide doped with variable-valence ions. Eur. Phys. J. Plus 2024, Vol. 139, P. 247.
- Aplesnin S. S., Sitnikov M. N., Romanova O. B. et al. Electrosound and asymmetry of the I‒V characteristic induced by ultrasound in the ReхMn1‒хS (Re = Tm, Yb). Eur. Phys. J. Plus. 2022, Vol. 137, P. 226.
- Aplesnin S. S., Sitnikov M. N. [Magnetotransport effects in the paramagnetic state in GdxMn1−xS]. Letters to JETP. 2014, Vol. 100, Is. 2, P. 104–110 (In Russ.).
- Evers F., Mirlin A. D. Anderson transitions. Rev. Mod. Phys. 2008, Vol. 80, P. 1355.
- Nakayama T., Yakubo K. Anderson Transition. Fract. Conc. Cond. Matt. Phys. 2003, Vol. 140, P. 115–147.
- Reim W., Wachter P. First Observation of a Magnetic-Exchange–Induced Valence Transition. Phys. Rev. Lett. 1985, Vol. 55, P. 871.
- Kaldis E., Fritzler B. Valence and phase instabilities in TmSe crystals. Prog. Sol. St. Chem. 1982, Vol. 14, P. 95–139.
- Strange P., Svane A., Temmerman W. M., et al. Understanding the valency of rare earths from first-principles theory. Nature 1999, Vol. 399, P. 756.
- Wachter P. Handbook on the Physics and Chemistry of Rare Earths. Phys. Rev. B 1989, P. 132.
- Reim W., Wachter P. First Observation of a Magnetic-Exchange–Induced Valence Transition. Phys. Rev. Lett. 1985, Vol. 55, P. 871.
- Derr J., Knebel G., Lapertot G. et al. Valence and magnetic ordering in intermediate valence compounds: TmSe versus SmB6. J. Phys.: Cond. Matt. 2006, Vol. 18, P. 2089.
- Udod L. V., Aplesnin S. S., Sitnikov M. N. et al. Magnetodielectric effect and spin state of iron ions in iron-substituted bismuth pyrostannate. Eur. Phys. J. Plus 2020, Vol. 135, P. 776.
- Romanova O. B., Ryabinkina L. I., Sokolov V. V. et al. Magnetic properties and the metal-insulator transition in GdxMn1-xS solid solutions. Sol. St. Comm. 2010, Vol. 150, P. 602–604.
- Romanova O. B., Aplesnin S. S., Sitnikov M. N. et al. Structural and electronic transitions in thulium-substituted manganese selenide. Ceram. Int. 2022, Vol. 48, Is. 20, P. 29822–29828.
- Romanova O. B., Aplesnin S. S., Sitnikov M. N., et al. Magnetoresistance and magnetoimpedance in holmium manganese sulfides. Appl. Phys. A. 2022, Vol. 128, P. 124.
- Parish M. M., Littlewood P. B. Magnetocapacitance in Nonmagnetic Composite Media. Phys. Rev. Lett. 2008, Vol. 101, P. 166602.
- Aplesnin S. S., Sitnikov M. N., Kharkov A. M., Abdelbaki H. Effect of the Electrical Inhomogeneity on the Magnetocapacitance Sign Change in the HoxMn1‒xS Semiconductors upon Temperature and Frequency Variation. J. Mater. Sci.: Mater. Electron. 2023, Vol. 34, P. 284.
- Aplesnin S. S., Kharkov A. M., Sitnikov M. N. [Turning of activation energy and magnetoimpedance by alternating current frequency in manganese sulfide with partial substitution by samarium ions]. FTT. 2023, Vol. 65, Is. 11, P. 1882–1888 (In Russ.).
- Aplesnin S. S., Sitnikov M. N., Kharkov A. M. et al. Influence of induced electrical polarization on the magnetoresistance and magnetoimpedance in the spin-disordered TmxMn1–xS solid solution. Phys. Stat. Sol. B 2019, Vol. 256, P. 1900043.
- Petrovsky V., Manohar A., Dogan F. Dielectric constant of particles determined by impedance spectroscopy. J. Appl. Phys. 2006, Vol. 100, P. 014102.
- Gonzalez J. R., Sinclair D. C., West A. R. Impedance and Dielectric Spectroscopy of Functional Materials: A Critical Evaluation of the Two Techniques. J. Electrochem. Soc. 2023, Vol. 170, No. 11, P. 6504.
Supplementary files





