Effect of the insulin on the apolipoprotein a-i gene expression in human macrophages
- Authors: Nekrasova E.V.1, Danko K.V.2, Shavva V.S.1, Dizhe E.B.1, Oleinikova G.N.1, Orlov S.V.1,2
- 
							Affiliations: 
							- Institute of Experimental Medicine
- Saint Petersburg State University
 
- Issue: Vol 20, No 1 (2020)
- Pages: 65-74
- Section: Original research
- Published: 22.06.2020
- URL: https://journals.eco-vector.com/MAJ/article/view/16437
- DOI: https://doi.org/10.17816/MAJ16437
- ID: 16437
Cite item
Abstract
The aim of the article — to study the effect of insulin on apolipoprotein A-I gene expression level in human macrophages and to reveal the main signal cascades which take part in the insulin-mediated regulation of apolipoprotein A-I gene.
Materials and methods. The experiments were carried out on the macrophages differentiated from acute monocytic leukemia cell line THP-1 and on the macrophages differentiated from the monocytes isolated from peripheral human blood. The analysis of apoA-I gene expression was performed by RealTime RT-PCR (on the mRNA level) and by flow cytofluorometry. To study the signalling cascades which take part in the insulin-mediated regulation of apoA-I gene the inhibitory analysis was used.
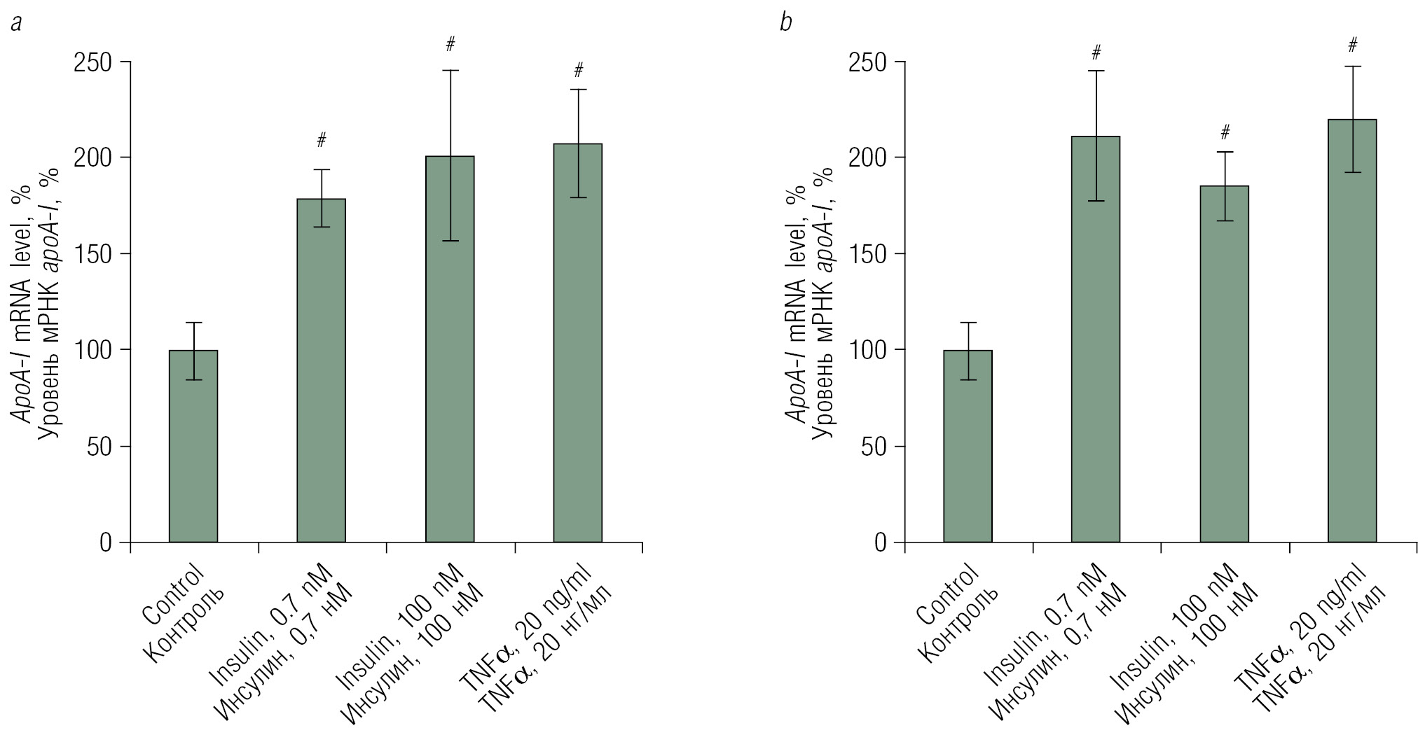
Results. Insulin induces the human apoA-I gene transcription in macrophages, but decreases the level of the ApoA-I protein which binds to outer cytoplasmic membrane of macrophages. The insulin-mediated transcription of apoA-I gene depends on PI3K-AKT signal cascade and transcription factors NF-κB and LXRs.
Conclusions. Taking into account our previous data it is plausible to conclude that the elevation of ApoA-I mRNA in human macrophages after insulin treatment leads to an increase of the amplitude of macrophages anti-inflammatory response, which consists in a sharp rise in the level of surface ApoA-I in macrophages under the some proinflammatory stimuli (TNFα, LPS).
Keywords
Full Text
 
												
	                        About the authors
Ekaterina V. Nekrasova
Institute of Experimental Medicine
														Email: nekrasova@iem.sp.ru
				                					                																			                								
scientist, Department of Biochemistry
Russian Federation, Saint PetersburgKaterina V. Danko
Saint Petersburg State University
														Email: danko@iem.sp.ru
				                					                																			                								
student, Biological faculty, department of Biochemistry
Kazakhstan, Saint PetersburgVladimir S. Shavva
Institute of Experimental Medicine
														Email: shavva@iem.sp.ru
				                					                	SPIN-code: 5428-6800
																		                								
PhD, senior scientist, Department of Biochemistry
Russian Federation, Saint PetersburgElla B. Dizhe
Institute of Experimental Medicine
														Email: dizhe@iem.sp.ru
				                					                																			                								
PhD, leading scientist, Department of Biochemistry
Russian Federation, Saint PetersburgGalina N. Oleinikova
Institute of Experimental Medicine
														Email: galina@iem.sp.ru
				                					                																			                								
technical assistant, Department of Biochemistry
Russian Federation, Saint PetersburgSergey V. Orlov
Institute of Experimental Medicine; Saint Petersburg State University
							Author for correspondence.
							Email: serge@iem.sp.ru
				                	ORCID iD: 0000-0002-3134-1989
				                	SPIN-code: 1690-8110
							Scopus Author ID: 7201920413
							ResearcherId: N-6823-2014
				                								
PhD, senior scientist, department of Biochemistry (IEM); associate professor, Biological faculty, department of Embryology (SpbSU).
Russian Federation, Saint PetersburgReferences
- Hopkins PN. Molecular biology of atherosclerosis. Physiol Rev. 2013;93(3):1317-1542. https://doi.org/10.1152/physrev.00004.2012.
- Никифорова А.А., Хейфиц Г.М., Алкснис Е.Г., и др. Акцепция холестерина из мембран эритроцитов подфракцией ЛПВП2b и роль лецитин-холестерин-ацилтрансферазы в этом процессе // Биохимия. – 1988. – Т. 53. – № 7-12. – С. 1334–1338. [Nikiforova AA, Kheifits GM, Alksnis EG, Parfenova NS, Klimov AN. Aktseptsiya kholesterina iz membran eritrotsitov podfraktsiey LPVP2b i rol’ letsitin-kholesterin-atsiltransferazy v etom protsesse. Biokhimiia. 1988,53(7-12):1334-1338. (In Russ.)]
- Shah PK, Kaul S, Nilsson J, Cercek B. Exploiting the vascular protective effects of high-density lipoprotein and its apolipoproteins: an idea whose time for testing is coming, part II. Circulation. 2001;104(20):2498-2502. https://doi.org/10.1161/hc4501.098468.
- Hyka N, Dayer JM, Modoux C, et al. Apolipoprotein A-I inhibits the production of interleukin-1beta and tumor necrosis factor-alpha by blocking contact-mediated activation of monocytes by T lymphocytes. Blood. 2001;97(8):2381-2389. https://doi.org/10.1182/blood.v97.8.2381.
- Burger D, Dayer J-M. High-density lipoprotein-associated apolipoprotein A-I: the missing link between infection and chronic inflammation? Autoimmun Rev. 2002;1(1-2): 111-117. https://doi.org/10.1016/s1568-9972(01)00018-0.
- Wadham C, Albanese N, Roberts J, et al. High-density lipoproteins neutralize C-reactive protein proinflammatory activity. Circulation. 2004;109(17):2116-2122. https://doi.org/10.1161/01.CIR.0000127419.45975.26.
- Haas MJ, Horani M, Mreyoud A, et al. Suppression of apolipoprotein AI gene expression in HepG2 cells by TNF alpha and IL-1beta. Biochim Biophys Acta. 2003;1623(2-3):120-128. https://doi.org/10.1016/j.bbagen.2003.08.004.
- Mogilenko DA, Dizhe EB, Shavva VS, et al. Role of the nuclear receptors HNF4 alpha, PPAR alpha, and LXRs in the TNF alpha-mediated inhibition of human apolipoprotein A-I gene expression in HepG2 cells. Biochemistry. 2009;48(50):11950-11960. https://doi.org/10.1021/bi9015742.
- Orlov SV, Mogilenko DA, Shavva VS, et al. Effect of TNFalpha on activities of different promoters of human apolipoprotein A-I gene. Biochem Biophys Res Commun. 2010;398(2):224-230. https://doi.org/10.1016/j.bbrc. 2010.06.064.
- Connelly MA, Williams DL. SR-BI and HDL cholesteryl ester metabolism. Endocr Res. 2004;30(4):697-703. https://doi.org/10.1081/erc-200043979.
- Lewis GF, Rader DJ. New insights into the regulation of HDL metabolism and reverse cholesterol transport. Circ Res. 2005;96(12):1221-1232. https://doi.org/10.1161/01.RES.0000170946.56981.5c.
- Higuchi K, Law SW, Hoeg JM, et al. Tissue-specific expression of apolipoprotein A-I (apoA-I) is regulated by the 5’-flanking region of the human apoA-I gene. J Biol Chem. 1988;263(34):18530-18536.
- Mogilenko DA, Orlov SV, Trulioff AS, et al. Endogenous apolipoprotein A-I stabilizes ATP-binding cassette transporter A1 and modulates Toll-like receptor 4 signaling in human macrophages. FASEB J. 2012;26(5):2019-2030. https://doi.org/10.1096/fj.11-193946.
- Shavva VS, Mogilenko DA, Nekrasova EV, et al. Tumor necrosis factor alpha stimulates endogenous apolipoprotein A-I expression and secretion by human monocytes and macrophages: role of MAP-kinases, NF-kappaB, and nuclear receptors PPARalpha and LXRs. Mol Cell Biochem. 2018;448(1-2):211-223. https://doi.org/10.1007/s11010-018-3327-7.
- Богомолова А.М., Шавва В.С., Никитин А.А., и др. Гипоксия как фактор регуляции экспрессии генов apoA-1, ABCA1 и компонента комплемента C3 в макрофагах человека // Биохимия. – 2019. – Т. 84. – № 5. – С. 692–703. [Bogomolova AM, Shavva VS, Nikitin AA, et al. Hypoxia as a factor involved in the regulation of the apoA-1, ABCA1, and complement C3 gene expression in human macrophages. Biokhimiia. 2019;84(5):692-703. (In Russ.)]. https://doi.org/10.1134/S0320972519050075.
- Huuskonen J, Vishnu M, Chau P, et al. Liver X receptor inhibits the synthesis and secretion of apolipoprotein A1 by human liver-derived cells. Biochemistry. 2006;45(50):15068-15074. https://doi.org/10.1021/bi061378y.
- Shavva VS, Bogomolova AM, Nikitin AA, et al. Insulin-mediated downregulation of apolipoprotein A-I gene in human hepatoma cell line HepG2: the role of interaction between FOXO1 and LXRbeta transcription factors. J Cell Biochem. 2017;118(2):382-396. https://doi.org/10.1002/jcb.25651.
- Shavva VS, Bogomolova AM, Nikitin AA, et al. FOXO1 and LXRalpha downregulate the apolipoprotein A-I gene expression during hydrogen peroxide-induced oxidative stress in HepG2 cells. Cell Stress Chaperones. 2017;22(1):123-134. https://doi.org/10.1007/s12192-016-0749-6.
- Donath MY, Shoelson SE. Type 2 diabetes as an inflammatory disease. Nat Rev Immunol. 2011;11(2):98-107. https://doi.org/10.1038/nri2925.
- Bansilal S, Farkouh ME, Fuster V. Role of insulin resistance and hyperglycemia in the development of atherosclerosis. Am J Cardiol. 2007;99(4A):6B-14B. https://doi.org/10.1016/j.amjcard.2006.11.002.
- Fuentes L, Roszer T, Ricote M. Inflammatory mediators and insulin resistance in obesity: role of nuclear receptor signaling in macrophages. Mediators Inflamm. 2010;2010:219583. https://doi.org/10.1155/2010/219583.
- Olefsky JM, Glass CK. Macrophages, inflammation, and insulin resistance. Annu Rev Physiol. 2010;72:219-246. https://doi.org/10.1146/annurev-physiol-021909-135846.
- Fan W, Morinaga H, Kim JJ, et al. FoxO1 regulates Tlr4 inflammatory pathway signalling in macrophages. EMBO J. 2010;29(24):4223-4236. https://doi.org/10.1038/emboj. 2010.268.
- Miao H, Zhang Y, Lu Z, et al. FOXO1 involvement in insulin resistance-related pro-inflammatory cytokine production in hepatocytes. Inflamm Res. 2012;61(4):349-358. https://doi.org/10.1007/s00011-011-0417-3.
- Su D, Coudriet GM, Hyun Kim D, et al. FoxO1 links insulin resistance to proinflammatory cytokine IL-1beta production in macrophages. Diabetes. 2009;58(11):2624-2633. https://doi.org/10.2337/db09-0232.
- Iida KT, Shimano H, Kawakami Y, et al. Insulin up-regulates tumor necrosis factor-alpha production in macrophages through an extracellular-regulated kinase-dependent pathway. J Biol Chem. 2001;276(35):32531-32537. https://doi.org/10.1074/jbc.M009894200.
- Park YM, S RK, J AM, Silverstein RL. Insulin promotes macrophage foam cell formation: potential implications in diabetes-related atherosclerosis. Lab Invest. 2012;92(8):1171-1180. https://doi.org/10.1038/labinvest.2012.74.
- Tedla N, Glaros EN, Brunk UT, et al. Heterogeneous expression of apolipoprotein-E by human macrophages. Immunology. 2004;113(3):338-347. https://doi.org/10.1111/j.1365-2567.2004.01972.x.
- Bennett S, Breit SN. Variables in the isolation and culture of human monocytes that are of particular relevance to studies of HIV. J Leukoc Biol. 1994;56(3):236-240. https://doi.org/10.1002/jlb.56.3.236.
- Shavva VS, Mogilenko DA, Bogomolova AM, et al. PPARgamma represses apolipoprotein A-I gene but impedes TNFalpha-mediated ApoA-I downregulation in HepG2 Cells. J Cell Biochem. 2016;117(9):2010-2022. https://doi.org/10.1002/jcb.25498.
- Mogilenko DA, Kudriavtsev IV, Shavva VS, et al. Peroxisome proliferator-activated receptor alpha positively regulates complement C3 expression but inhibits tumor necrosis factor alpha-mediated activation of C3 gene in mammalian hepatic-derived cells. J Biol Chem. 2013;288(3):1726-1738. https://doi.org/10.1074/jbc.M112.437525.
- Cuthbert C, Wang Z, Zhang X, Tam SP. Regulation of human apolipoprotein A-I gene expression by gramoxone. J Biol Chem. 1997;272(23):14954-14960. https://doi.org/ 10.1074/jbc.272.23.14954.
- Haas MJ, Horani MH, Wong NC, Mooradian AD. Induction of the apolipoprotein AI promoter by Sp1 is repressed by saturated fatty acids. Metabolism. 2004;53(10):1342-1348. https://doi.org/10.1016/j.metabol.2004.05.011.
- Morishima A, Ohkubo N, Maeda N, et al. NFkappaB regulates plasma apolipoprotein A-I and high density lipoprotein cholesterol through inhibition of peroxisome proliferator-activated receptor alpha. J Biol Chem. 2003;278(40):38188-38193. https://doi.org/10.1074/jbc.M306336200.
- Nikolaidou-Neokosmidou V, Zannis VI, Kardassis D. Inhibition of hepatocyte nuclear factor 4 transcriptional activity by the nuclear factor kappaB pathway. Biochem J. 2006;398(3):439-450. https://doi.org/10.1042/ BJ20060169.
Supplementary files
 
				
			 
					 
						 
									
 
  
  
  Email this article
			Email this article 
 Open Access
		                                Open Access Access granted
						Access granted





 СМИ зарегистрировано Федеральной службой по надзору в сфере связи, информационных технологий и массовых коммуникаций (Роскомнадзор).
 СМИ зарегистрировано Федеральной службой по надзору в сфере связи, информационных технологий и массовых коммуникаций (Роскомнадзор).