急性缺血性中风嗜睡症患者大脑功能连接 的变化
- 作者: Trushina L.I.1,2, Ternovykh I.K.1, Filin Y.A.1, Alekseeva T.M.1, Efimtsev A.Y.1, Trufanov G.E.1
-
隶属关系:
- Almazov Research Center of the Ministry of Health of the Russian Federation
- Pskov Regional Clinical Hospital
- 期: 卷 43, 编号 3 (2024)
- 页面: 279-289
- 栏目: Original articles
- URL: https://journals.eco-vector.com/RMMArep/article/view/632516
- DOI: https://doi.org/10.17816/rmmar632516
- ID: 632516
如何引用文章
全文:
详细
现实意义。脑循环障碍与睡眠密不可分,因为睡眠障碍,包括嗜睡症,与心血管疾病密切相关,会增加中风的风险。有关睡眠障碍和急性缺血性中风患者大脑功能变化成像的研究工作非常有限,有待进一步发提高。
研究目的。通过在静息状态下进行功能性磁共振成像,确定急性缺血性中风患者嗜睡症的大脑功能连接性。
材料和方法。研究了40名患有急性缺血性中风和基于Almazov National Medical Research Center of the Ministry of Health of Russia的睡眠障碍的患者。所有患者都接受了神经系统检查、嗜睡、焦虑和抑郁评估。核磁共振成像在磁场感应强度为1.5T的断层扫描机上进行,采用标准方案和T1梯度回波3D MPRAGE和BOLD特殊脉冲序列。在静息状态下使用磁共振成像用于评估功能连接性。使用专门的CONN-TOOLBOX软件进行后处理,根据感兴趣区域的选择以适当的图形表示定量结果。
结果。在接受检查的患者中,23人被诊断为嗜睡症;其中8名患者被诊断为与睡眠呼吸暂停综合征相关的继发性嗜睡症。因此,在受检样本中,15名患者(34%)被确诊为中风后嗜睡症。未明确型中风和右侧病灶的患者表现出更高程度的嗜睡(p<0.05)。大脑静息态功能性磁共振成像显示,默认模式网络的主要节点与左侧颞极、小脑、左侧大脑中央皮层、左侧角回和右侧背侧注意力网络之间的功能连接发生了变化(P<0.05)。
结论。在急性缺血性中风和睡眠障碍患者中使用综合性的磁共振成像,包括结构和功能性核磁共振成像,可以检测结构变化和功能连接的变化,并确定这种病理学的神经成像标记。嗜睡是未明确型缺血性中风和右侧大脑半球病变患者的特征。
全文:
АКТУАЛЬНОСТЬ
Инсульт является важнейшей медико-социальной проблемой человечества, занимая второе место в ряду причин смертности и третье место среди причин инвалидизации населения во всем мире [1].
По прогнозу Wafa H.A. et al. (2020), ожидается увеличение распространенности инсульта в европейский странах примерно на 20–30 % в ближайшие 20–30 лет за счет старения населения и повышения показателей выживаемости [2].
Нарушения сна являются распространенным неврологическим осложнением в острой фазе инсульта [3]. Goodman M.O. et al. (2023) подтвердили связь чрезмерной дневной сонливости с развитием сердечно-сосудистых заболеваний, она же отрицательно влияет на функциональные исходы инсульта [4, 5].
По данным Harbison J. et al. (2002), пациенты с ишемическим инсультом могут страдать от нескольких типов нарушений сна и их проявление может зависеть от тяжести неврологического дефицита [6]. Наиболее частой вариацией нарушений сна у пациентов с острым ишемическим инсультом является наличие обструктивного апноэ во сне в сочетании с дневной сонливостью, усталостью и храпом [3]. Считается, что синдром обструктивного апноэ во сне способствует развитию чрезмерной дневной сонливости у пациентов, перенесших инсульт [7].
Постинсультная гиперсомния определяется как повышенная склонность ко сну с чрезмерной дневной сонливостью или продолжительным ночным сном после нарушения мозгового кровообращения. Гиперсомния может возникать вследствие дисфункции сети возбуждения мозга или нарушения сна в ночное время [8].
Распространенность гиперсомнии у пациентов, перенесших инсульт, колеблется от 1,1 до 27 % [9].
Патогенез развития гиперсомнии до сих пор является малоизученным процессом. По данным ряда авторов, у пациентов с гиперсомнией наблюдаются поражения таламуса, гипоталамуса и варолиева моста [10]. В некоторых исследованиях продемонстрирована связь гиперсомнии с повреждением восходящей ретикулярной активирующей системы, что может быть звеном патогенеза в развитии постинсультной гиперсомнии [11].
Нарушения сна все чаще ассоциируются с инсультом. Помимо того что они являются фактором риска, они также могут влиять на исход и выздоровление пациентов, перенесших инсульт [12]. Постинсультные нарушения сна также влияют на реабилитацию после инсульта и качество жизни, если их не лечить, нарушения сна могут способствовать рецидиву инсульта [9].
Цель исследования — определение изменений функциональных связей головного мозга у пациентов с гиперсомнией в острой стадии ишемического инсульта (ИИ).
МАТЕРИАЛЫ И МЕТОДЫ
Было выполнено исследование пациентов, обратившихся в приемное отделение ФГБУ «НМИЦ им. В.А. Алмазова» Минздрава России с подозрением на острый ишемический инсульт. В исследование были включены 40 пациентов с острым ишемическим инсультом, разделенных на две группы:
1-я группа — пациенты с гиперсомнией (23 чел.);
2-я группа — пациенты без нарушений сна (17 чел.).
Критериями включения в группу с гиперсомнией были: острый период ИИ любого генеза (по классификации TOAST); возраст старше 45 лет; неврологический дефицит, выявленный клинически и по шкале NIHSS от 3 до 16 баллов; отсутствие выраженной афазии, нарушающей восприятие информации и коммуникацию; стабильное состояние гемодинамики и дыхания; отсутствие противопоказаний к проведению магнитно-резонансной томографии (МРТ) головного мозга; подписанное информированное согласие; жалобы на повышенную дневную сонливость; подтвержденное методом полисомнографии нарушение сна в виде гиперсомнии. В исследование не были включены пациенты со значимой острой и хронической сопутствующей патологией, онкологическими заболеваниями, противопоказаниями к проведению МРТ.
В контрольную группу включены пациенты с аналогичными критериями, за исключением жалоб на нарушение цикла сон–бодрствование, при отсутствии критериев невключения в исследование (наличие тяжелых психических заболеваний, препятствующих участию в исследовании; наличие выраженных когнитивных расстройств, препятствующих участию в исследовании и соблюдению всех процедур; наличие тяжелых соматических заболеваний — онкологические заболевания, соматические заболевания в стадии декомпенсации или терминальной стадии, препятствующих участию в исследовании).
Исследование проходило в несколько этапов:
- Сбор анамнеза, клинических данных; изучение данных обследований; выполнение комбинированной МРТ.
- Оценка сонливости, тревоги и депрессии с помощью Эпвортской и Каролинской шкал сонливости, госпитальной шкалы тревоги и депрессии, модифицируемой шкалы депрессии Бэка, Берлинского опросника для выявления апноэ сна, заполнения дневника сна.
- Анализ данных МРТ с использованием специальных программ для статистического анализа больших нейровизуализационных данных.
Всем обследуемым была проведена комбинированная МРТ на томографе с силой индукции магнитного поля 1,5 Тл, которая включала традиционную МРТ в трех взаимно перпендикулярных плоскостях (режимы Т1-, Т2-, TIRM, MPRAGE), диффузионную МРТ для оценки коэффициента фракционной анизотропии в зоне патологических изменений и в референтной области. Для оценки функциональных связей головного мозга применялась методика функциональной МРТ головного мозга (на основе BOLD-сигнала) в состоянии покоя.
Сканирование в МР-томографе оказывало влияние на зрительную и слуховую рабочие сети головного мозга, однако, ввиду того что условия, в которые помещались пациенты для прохождения МРТ, были одинаковыми для всех, при постпроцессинге и статистической обработке данных функциональной МРТ в состоянии покоя этот эффект был практически полностью нивелирован.
Статистический анализ данных МРТ и сравнения с группой контроля для выявления изменений рабочей сети мозга и участков активации коры головного мозга на основании данных функциональной МРТ в покое проводился с применением пакетов MathLab 2018a, CONN v1.7.
Для анализа данных использовались программы IBS SPSS Statistics 26 (IBM, США) и MathLab 2018a.
Для обработки материалов использовали следующие математико-статистические процедуры: описательные статистики (минимум, максимум, медиана), критерий Колмогорова–Смирнова; для оценки нормальности распределения показателей в зависимости от характеристик данных (шкала переменной, количество значений и нормальность распределения) применяли: U-критерий Манна–Уитни и Хи-квадрат Пирсона для анализа демографических данных.
РЕЗУЛЬТАТЫ И ОБСУЖДЕНИЕ
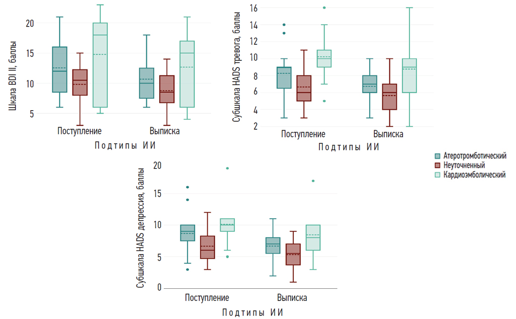
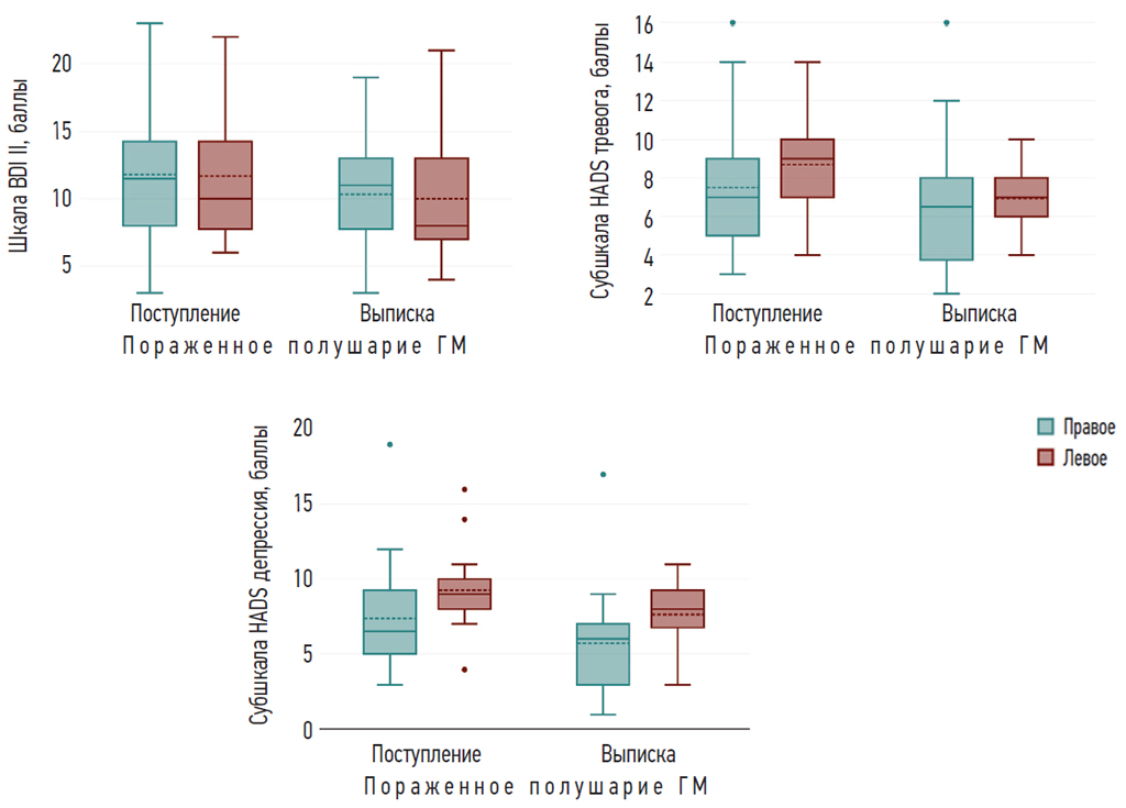
Среди обследованных пациентов у 23 на основании данных дневника сна, Эпвортской и Каролинской шкал сонливости была выявлена гиперсомноленция; из них у 8 пациентов по данным анамнеза и анализа Берлинского опросника была диагностирована вторичная гиперсомния, ассоциированная с синдромом апноэ во сне. Таким образом, в обследованной выборке постинсультная гиперсомноленция определялась у 15 больных (34 %). Анализ шкал Эпвортской и Каролинской шкал сонливости при поступлении и выписке, а также данных дневника сна в зависимости от подтипа и латерализации инсульта, показал, что пациенты с неуточненным подтипом инсульта и правосторонними очагами поражения демонстрировали большую степень сонливости (p < 0,05) (рис. 1, 2).
Рис. 1. Средние значения степени сонливости по Эпвортской и Каролинской шкалам в зависимости от подтипа ИИ
Fig. 1. Average values of the degree of sleepiness according to the ESS and KSS scales, depending on the subtype of ischemic stroke IS
Рис. 2. Средние значения степени сонливости по Эпвортской и Каролинской шкалам в зависимости от пораженного полушария головного мозга
Fig. 2. Average values of the degree of sleepiness according to the ESS and KSS scales, depending on the affected hemisphere of the brain
Согласно результатам проведенного корреляционного анализа, между Эпвортской и Каролинской шкалами сонливости существует высокая степень прямой связи (r = 0,9), при этом данные дневника сна с результатами этих шкал совпадают частично (r = 0,42 и 0,5 соответственно) (рис. 3).
Рис. 3. График корреляции, характеризующий степень взаимосвязи показателей сонливости по Эпвортской и Каролинской шкалам
Fig. 3. Correlation graph characterizing the degree of interrelation of sleepiness indicators on the ESS and KSS scales
Оценка зависимости уровня тревоги и депрессии (BDI II, HADS) от подтипа инсульта показала, что достоверно более низкая степень эмоциональных расстройств отмечалась у пациентов с неуточненным подтипом ИИ (p < 0,05) (рис. 4); а при сравнении с локализацией очага инсульта степень выраженности депрессии по шкале депрессии Бека II была сопоставимой для обоих полушарий, однако по данным HADS (субшкалы тревоги и депрессии) у «правополушарных» пациентов нарушения эмоционального спектра были представлены в меньшей степени (p < 0,05) (рис. 5). Статистически значимая связь выраженности тревоги и депрессии с объемом очага и количеством эпизодов инсульта не была выявлена.
Рис. 4. Средние значения степени выраженности тревоги, депрессии и усталости в зависимости от подтипа ИИ
Fig. 4. Average values of the severity of anxiety, depression and fatigue depending on the subtype of ischemic stroke IS
Рис. 5. Средние значения степени выраженности тревоги, депрессии и усталости в зависимости от пораженного полушария головного мозга
Fig. 5. Average values of the severity of anxiety, depression and fatigue depending on the affected hemisphere of the brain
В данном исследовании были проанализированы данные функциональной МРТ головного мозга в состоянии покоя 23 пациентов с острым ИИ и гиперсомнией в сравнении с данными 17 пациентов с острым ИИ без нарушений сна.
При кластерном анализе данных функциональной МРТ у пациентов I и II групп определялось усиление функциональных связей между задними отделами надкраевой извилины справа, височно-затылочной и веретенообразной извилинами слева; ослабление функциональных связей лобной коры и островка с латеральными зрительными отделами и нижним отделом латеральной затылочной коры справа; ослабление функциональных связей верхней лобной извилины с лобно-зрительной корой слева и медиальной лобной корой, подмозолистой извилиной, передними и задними отделами нижней височной извилины слева (рис. 6).
Рис. 6. Функциональные изменения головного мозга при кластерном анализе пациентов с острым ИИ
Fig. 6. Functional changes in the brain in the cluster analysis of patients with acute ischemic stroke
Межгрупповой анализ функциональной связности I и II групп проводился между основными узлами сети режима по умолчанию, к которым относятся медиальная префронтальная кора и задняя поясная извилина [13].
У пациентов с острым ИИ с гиперсомноленцией и без нее определяется усиление функциональных связей медиальной префронтальной коры с левым височным полюсом и червем мозжечка и ослабление коннективности с центральной корой головного мозга слева и правыми отделами мозжечка (рис. 7).
Рис. 7. Функциональные изменения головного мозга при межгрупповом анализе у пациентов I и II групп с медиальной префронтальной корой
Fig. 7. Functional changes in the brain in intergroup analysis in patients of groups I and II with medial prefrontal cortex
При анализе функциональной связности у пациентов с нарушениями и без нарушений сна в острой фазе ИИ с задней поясной извилиной было выявлено усиление коннективности с правыми отделами мозжечка и угловой извилиной слева, а ослабление коннективности выявлялось с дорсальной сетью внимания справа, к которой относится фронтальное поле зрения (рис. 8).
Рис. 8. Функциональные изменения головного мозга при межгрупповом анализе у пациентов I и II групп с задней поясной извилиной
Fig. 8. Functional changes in the brain in the intergroup analysis in patients of groups I and II with the posterior cingulate gyrus
Литературных источников, описывающих связь гиперсомноленции с подтипами ИИ, мы не обнаружили, поэтому полученные нами данные о том, что большая выраженность гиперсомноленции характерна для пациентов с неуточненным подтипом ИИ и поражением правого полушария головного мозга, представляются интересными и перспективными в отношении диагностики расстройств бодрствования у пациентов в остром периоде ИИ. При этом степень сонливости никак не зависела от объема очага и кратности инсульта. Особенностью нашей работы также является то, что в исследованиях по расстройствам сна при неврологических заболеваниях для диагностики гиперсомноленции используется только Эпвортская шкала сонливости или полисомнография; в то время как проведенное нами исследование включало комплексный анализ с использованием Эпвортской и Каролинской шкал сонливости и дневника сна.
Также по результатам исследования было установлено, что для пациентов с неуточненным подтипом ИИ и правосторонней локализацией инсульта характерна меньшая выраженность расстройств эмоционального спектра; при этом мы не обнаружили зависимости от объема очага поражения и кратности ИИ. В настоящее время взаимосвязь постинсультных тревожно-депрессивных расстройств с локализацией поражения головного мозга является предметом дискуссий. Считается, что для правополушарных очагов характерно развитие тревоги, а для левополушарных — сочетанного тревожно-депрессивного расстройства. Согласно нашим данным, у пациентов с наибольшей сонливостью степень выраженности тревоги и депрессии была значимо ниже. Исследований, посвященных корреляции тревожно-депрессивных расстройств и гиперсомноленции, мы не обнаружили.
В данной статье приведены результаты пилотного исследования функциональной МРТ в состоянии покоя у пациентов с острым ИИ и гиперсомноленцией в сравнении с пациентами, не страдающими нарушениями сна в острой фазе ИИ.
Выявленное в данном исследовании усиление коннективности между медиальной префронтальной корой и левым височным полюсом соотносится с данными Farisse J. et al. (2013), которые сообщали о возникновении гиперсомнии у пациентов с посттравматическим очаговым поражением левого височного полюса [14].
В то же время существуют данные о взаимосвязи активации височных полюсов у пациентов с депрессией. Так, Lévesque J. et al. (2003) исследовали способность к саморегуляции печали у пациенток с депрессией и здоровых женщин, в результате была выявлена активация височных полюсов, левых миндалины и островка, правой префронтальной коры [15]. В аналогичном исследовании у пациентов с депрессией Beauregard M. et al. (2006) была выявлена правосторонняя гиперактивность дорсальной части переднецингулярной коры, височного полюса, миндалины и островка во время произвольной регуляции настроения [16].
По результатам оценки уровня депрессии, который в данном исследовании определялся с помощью госпитальной шкалы депрессии и тревоги, у 61,4 % (27) пациентов были выявлены признаки депрессии, из них у 9 с легкими проявлениями, у 12 с умеренными и у 6 с тяжелыми. Что также можно соотнести с изменениями функциональной связности в левом височном полюсе и подтвердить ранее высказанное мнение о связи левополушарных инсультов с развитием тревожно-депрессивного расстройства.
Изменения функциональных связей мозжечка у пациентов с гиперсомнией и без нее наблюдались как с медиальной префронтальной, так и с задней поясной корой. Zhang H. et al. (2023) показали влияние мозжечка помимо моторных функций также на эмоциональное и когнитивное состояние пациентов, перенесших инсульт, с помощью изменения микросостояний электроэнцефалографии в состоянии покоя [17].
Анатомически выходные волокна мозжечка проецируются в различные области коры головного мозга, которые участвуют в обработке когнитивных и эмоциональных функций. Мозжечок рассматривается как центральный узел, который объединяет информацию от различных нервных путей для выполнения соответствующих функций [17]. Кроме того, мозжечок играет важную роль в функциональной реорганизации двигательных сетей у пациентов с инсультом, особенно в отношении функций походки и равновесия [18].
Gill J.S. and Sillitoe R.V. (2019) подтвердили, что любые сбои в мозжечковой нейронной сети могут широко влиять на эмоциональные, когнитивные и поведенческие изменения в мозге [19].
Связь изменений мозжечка у пациентов с ИИ была подтверждена в разных исследованиях. А именно было продемонстрировано, что при различных методиках стимуляции мозжечка у пациентов с ИИ наблюдалось улучшение моторных функций, таких как походка и равновесие, а также были показаны улучшение зрительно-моторного обучения и устойчивое улучшение в повторной адаптации недавно приобретенного навыка, визуально-пространственного пренебрежения и функции глотания [18, 20–22].
У пациентов с гиперсомнией при остром ИИ наблюдалось также ослабление функциональных связей между задней поясной корой и дорсальной сетью внимания справа. Что подтверждается также результатами кластерного анализа, который выявил изменения в височно-затылочной и веретенообразной извилинах слева, в лобной коре и островке с латеральными зрительными отделами, в верхней лобной извилине с лобно-зрительной корой слева и медиальной лобной корой. Перечисленные области мозга, по данным Markett S. et al. (2022), являются составляющими сети внимания, которые сходятся в дорсальной лобно-теменной и средне-поясно-островковой сетях [23].
Изменения функциональной связности в сети внимания рассматриваются как физиологический признак нарушения зрительно-пространственного восприятия [24].
С учетом того, что клиническая диагностика в 56 % случаев пропускает наличие нарушений зрительно-пространственного восприятия, а само наличие данной патологии имеет глубокие последствия для качества жизни после инсульта, является предиктором плохого функционального исхода и прогностическим показателем снижения функциональной независимости после инсульта, возможность ее диагностики при помощи функциональной МРТ способствует своевременному проведению реабилитации и повышает восстановление нейропластичности после инсульта [25–28].
В нашем исследовании было выявлено усиление коннективности задней поясной извилины с правыми отделами мозжечка и угловой извилиной слева. Zheng J.H. et al. (2023) на примере пациентов с болезнью Паркинсона и чрезмерной дневной сонливостью выявили снижение спонтанной нервной активности в левой угловой извилине и функциональной связности между левой угловой извилиной и мозжечком [29]. Полученные данные подтверждают взаимосвязь изменений функциональных связей в угловой извилине и мозжечке с вероятным развитием чрезмерной дневной сонливости.
Связь угловой извилины с развитием гиперсомнии нашла отражение в исследовании Huang Y.S. et al. (2016), в котором изучались функциональные изменения головного мозга у пациентов с нарколепсией I типа при помощи позитронно-эмиссионной томографии. У пациентов с нарколепсией наблюдался гипометаболизм в правой средней лобной и угловой извилинах и значительный гиперметаболизм в обонятельной доле, гиппокампе, парагиппокампе, миндалине, веретенообразной извилине, левой нижней теменной доле, левой верхней височной доле, полосатом теле, базальных ганглиях и таламусе, правом гипоталамусе и мосте [30].
ЗАКЛЮЧЕНИЕ
Инсульт и сон неразрывно связаны друг с другом, поскольку нарушения сна, включая нарушения дыхания во сне, парасомнии, двигательные расстройства, связанные со сном, бессонницу и гиперсомнию, тесно переплетаются с сопутствующими сердечно-сосудистыми заболеваниями и повышают риск инсульта.
В последние десятилетия методы нейровизуализации сыграли важную роль в понимании физиологии и патологии в медицине сна человека, однако в зарубежной литературе встречаются лишь единичные исследования, направленные на изучение нарушений сна у пациентов с ИИ, в основном при помощи позитронно-эмиссионной томографии и электроэнцефалографии.
Изменения коннективности в состоянии покоя между левым височным полюсом, угловой извилиной, мозжечком и дорсальной сетью внимания функционально связаны и являются нейровизуализационными маркерами гиперсомнии у пациентов с острым ИИ.
Данное исследование актуализирует проблему нарушений сна у пациентов с инсультом и открывает новые перспективы для разработки диагностических и терапевтических подходов, направленных на нейромодуляцию у пациентов с ИИ.
Таким образом, имеющиеся данные убедительно свидетельствуют о том, что выявление и устранение нарушений сна должны быть частью как первичной, так и вторичной профилактики инсульта. А ограниченные на данный момент нейровизуализационные данные необходимо пополнять новыми исследованиями для лучшей и своевременной диагностики, лечения и профилактики нарушений сна у пациентов с риском цереброваскулярных заболеваний.
ДОПОЛНИТЕЛЬНАЯ ИНФОРМАЦИЯ
Источник финансирования. Финансирование данной работы не проводилось.
Конфликт интересов. Авторы декларируют отсутствие явных и потенциальных конфликтов интересов, связанных с публикацией настоящей статьи.
Этическая экспертиза. Исследование проводилось в рамках диссертационной работы, одобренной Этическим комитетом ФГБУ «НМИЦ им. В.А. Алмазова», Выписка № 0411-21-01С из протокола заседания ЛЭК № 11-21-01С от 08.11.2021 г.
Участие авторов. Все авторы внесли существенный вклад в проведение исследования и написание статьи, прочли и одобрили направление рукописи на публикацию.
作者简介
Lidiya I. Trushina
Almazov Research Center of the Ministry of Health of the Russian Federation; Pskov Regional Clinical Hospital
Email: lidabondarenko@yandex.ru
ORCID iD: 0000-0001-6198-8583
SPIN 代码: 1003-8523
Researcher ID: KEI-5396-2024
俄罗斯联邦, St. Petersburg; Pskov
Ivan K. Ternovykh
Almazov Research Center of the Ministry of Health of the Russian Federation
Email: ternovykh_ik@almazovcentre.ru
ORCID iD: 0000-0002-0074-4021
SPIN 代码: 8208-9241
Scopus 作者 ID: 57217669261
Researcher ID: AAB-5284-2020
俄罗斯联邦, St. Petersburg
Yana A. Filin
Almazov Research Center of the Ministry of Health of the Russian Federation
编辑信件的主要联系方式.
Email: filin_yana@mail.ru
ORCID iD: 0009-0009-0778-6396
俄罗斯联邦, St. Petersburg
Tatyana M. Alekseeva
Almazov Research Center of the Ministry of Health of the Russian Federation
Email: alekseeva_tm@almazovcentre.ru
ORCID iD: 0000-0002-4441-1165
SPIN 代码: 3219-2846
Scopus 作者 ID: 57200808136
Researcher ID: S-8806-2017
MD, Dr. Sci. (Medicine), Professor
俄罗斯联邦, St. PetersburgAlexander Yu. Efimtsev
Almazov Research Center of the Ministry of Health of the Russian Federation
Email: atralf@mail.ru
ORCID iD: 0000-0003-2249-1405
SPIN 代码: 3459-2168
Scopus 作者 ID: 56807130100
Researcher ID: L-1124-2015
MD, Dr. Sci. (Medicine), Associate Professor at the Department
俄罗斯联邦, St. PetersburgGennady E. Trufanov
Almazov Research Center of the Ministry of Health of the Russian Federation
Email: trufanovge@mail.ru
ORCID iD: 0000-0002-1611-5000
SPIN 代码: 3139-3581
Scopus 作者 ID: 6602602324
Researcher ID: ABE-3366-2020
MD, Dr. Sci. (Medicine), Professor
俄罗斯联邦, St. Petersburg参考
- Saini V, Guada L, Yavagal DR. Global epidemiology of stroke and access to acute ischemic stroke interventions. Neurology. 2021;97(2):6–16. doi: 10.1212/WNL.0000000000012781
- Wafa HA, Wolfe CDA, Emmett E, et al. Burden of Stroke in Europe: Thirty-Year Projections of Incidence, Prevalence, Deaths, and Disability-Adjusted Life Years. Stroke. 2020;51(8):2418–2427. doi: 10.1161/STROKEAHA.120.029606
- Kojic B, Dostovic Z, Vidovic M, et al. Sleep Disorders in Acute Strok. Mater Sociomed. 2022;34(1):14–24. doi: 10.5455/msm.2022.33.14-24
- Goodman MO, Dashti HS, Lane JM, et al. Causal Association Between Subtypes of Excessive Daytime Sleepiness and Risk of Cardiovascular Diseases. J Am Heart Assoc. 2023;19(24):e030568. doi: 10.1161/JAHA.122.030568
- Baillieul S, Tamisier R, Gévaudan B, et al. Trajectories of self-reported daytime sleepiness post-ischemic stroke and transient ischemic attack: A propensity score matching study versus non-stroke patients. Eur Stroke J. 2024;9(2):451–459. doi: 10.1177/23969873241227751
- Harbison J, Ford G, Gibson G. Nasal continuous positive airway pressure for sleep apnoea following stroke. Eur Respir J. 2002;19(6):1216–1217; author reply 1217–1219. PMID: 12108881
- Chan W, Coutts SB, Hanly P. Sleep apnea in patients with transient ischemic attack and minor stroke: opportunity for risk reduction of recurrent stroke. Stroke. 2010;41(12):2973–2975. doi: 10.1161/STROKEAHA.110.596759
- Bassetti CL, Hermann DM. Sleep and stroke. Handb Clin Neurol. 2011;99:1051–1072. doi: 10.1016/B978-0-444-52007-4.00021-7
- Hepburn M, Bollu PC, French B, Sahota P. Sleep Medicine: Stroke and Sleep. Mo Med. 2018;115(6):527–532. PMID: 30643347
- Tezer FI, Pektezel MY, Gocmen R, Saygi S. Unusual presentation of hypothalamic hamartoma with hypersomnia in an adult patient. Epileptic Disord. 2014;16(3):366–369. doi: 10.1684/epd.2014.0669
- Jang SH, Chang CH, Jung YJ, Seo JP. Post-stroke hypersomnia. Int J Stroke. 2016;11(1):5–6. doi: 10.1177/1747493015607502
- Ferre A, Ribo M, Rodriguez-Luna D, et al. Strokes and their relationship with sleep and sleep disorders. Neurologia. 2013;28(2): 103–118. doi: 10.1016/j.nrl.2010.09.016
- Bukkieva T, Pospelova M, Efimtsev A, et al. Functional Network Connectivity Reveals the Brain Functional Alterations in Breast Cancer Survivors. J Clin Med. 2022;11(3):617. doi: 10.3390/jcm11030617
- Farisse J, Guedj E, Richieri R, et al. Left temporopolar impairment in a case of posttraumatic hypersomnia. J Head Trauma Rehabil. 2013;28(6):473–475. doi: 10.1097/HTR.0b013e3182803eda
- Levesque J, Eugene F, Joanette Y, et al. Neural circuitry underlying voluntary suppression of sadness. Biol Psychiatry. 2003;53(6):502–510. doi: 10.1016/s0006-3223(02)01817-6
- Beauregard M, Paquette V, Levesque J. Dysfunction in the neural circuitry of emotional self-regulation in major depressive disorder. Neuroreport. 2006;17(8):843–846. doi: 10.1097/01.wnr.0000220132.32091.9f
- Zhang H, Yang X, Yao L, et al. EEG microstates analysis after TMS in patients with subacute stroke during the resting state. Cereb Cortex. 2024;34(1):480. doi: 10.1093/cercor/bhad480
- Koch G, Bonnì S, Casula EP, et al. Effect of Cerebellar Stimulation on Gait and Balance Recovery in Patients With Hemiparetic Stroke: A Randomized Clinical Trial. JAMA Neurol. 2019;76(2):170–178. doi: 10.1001/jamaneurol.2018.3639
- Gill JS, Sillitoe RV. Functional Outcomes of Cerebellar Malformations. Front Cell Neurosci. 2019;13:441. doi: 10.3389/fncel.2019.00441
- Bonnì S, Motta C, Pellicciari MC, et al. Intermittent Cerebellar Theta Burst Stimulation Improves Visuo-motor Learning in Stroke Patients: a Pilot Study. Cerebellum. 2020;19(5):739–743. doi: 10.1007/s12311-020-01146-2
- Cao L, Fu W, Zhang Y, et al. Intermittent θ burst stimulation modulates resting-state functional connectivity in the attention network and promotes behavioral recovery in patients with visual spatial neglect. Neuroreport. 2016;27(17):1261–1265. doi: 10.1097/WNR.0000000000000689
- Rao J, Li F, Zhong L, et al. Bilateral Cerebellar Intermittent Theta Burst Stimulation Combined with Swallowing Speech Therapy for Dysphagia After Stroke: A Randomized, Double-Blind, Sham-Controlled, Clinical Trial. Neurorehabil Neural Repair. 2022;36(7): 437–448. doi: 10.1177/15459683221092995
- Markett S, Nothdurfter D, Focsa A, et al. Attention networks and the intrinsic network structure of the human brain. Hum Brain Mapp. 2022;43(4):1431–1448. doi: 10.1002/hbm.25734
- Ros T, Michela A, Mayer A, et al. Disruption of large-scale electrophysiological networks in stroke patients with visuospatial neglect. Netw Neurosci. 2022;6(1):69–89. doi: 10.1162/netn_a_00210
- Puig-Pijoan A, Giralt-Steinhauer E, Zabalza de Torres A, et al. Underdiagnosis of Unilateral Spatial Neglect in stroke unit. Acta Neurol Scand. 2018;138(5):441–446. doi: 10.1111/ane.12998
- Zhang Y, Ye L, Cao L, Song W. Resting-state electroencephalography changes in poststroke patients with visuospatial neglect. Front Neurosci. 2022;16:974712. doi: 10.3389/fnins.2022.974712
- Hammerbeck U, Gittins M, Vail A, et al. Spatial Neglect in Stroke: Identification, Disease Process and Association with Outcome During Inpatient Rehabilitation. Brain Sci. 2019;9(12):374. doi: 10.3390/brainsci9120374
- Doron N, Rand D. Is Unilateral Spatial Neglect Associated With Motor Recovery of the Affected Upper Extremity Poststroke? A Systematic Review. Neurorehabil Neural Repair. 2019;33(3):179–187. doi: 10.1177/1545968319832606
- Zheng JH, Ma JJ, Sun WH, et al. Excessive Daytime Sleepiness in Parkinson’s Disease is Related to Functional Abnormalities in the Left Angular Gyrus. Clin Neuroradiol. 2023;33(1):121–127. doi: 10.1007/s00062-022-01190-x
- Huang YS, Liu FY, Lin CY, et bal. Brain imaging and cognition in young narcoleptic patients. Sleep Med. 2016;24:137–144. doi: 10.1016/j.sleep.2015.11.023
补充文件











