Взаимодействие генов резистентности к акарицидам различных химических классов в дочернем поколении дигетерозиготных самок обыкновенного паутинного клеща
- Авторы: Сундуков О.В.1, Тулаева И.А.1
-
Учреждения:
- ФГБНУ «Всероссийский научно-исследовательский институт защиты растений»
- Выпуск: Том 17, № 2 (2019)
- Страницы: 63-68
- Раздел: Генетическая токсикология
- Статья получена: 05.10.2018
- Статья одобрена: 31.01.2019
- Статья опубликована: 15.06.2019
- URL: https://journals.eco-vector.com/ecolgenet/article/view/10266
- DOI: https://doi.org/10.17816/ecogen17263-68
- ID: 10266
Цитировать
Аннотация
Гомозиготные по генам резистентности к отдельным акарицидам линии обыкновенного паутинного клеща были выделены дизруптивным отбором при обработках семей отдельных самок диагностическими концентрациями малатиона, бифентрина, бромпропилата и абамектина. Скрещиванием клещей этих линий получены дигетерозиготные самки с генами резистентности к малатиону и одному из трех других акарицидов, а также семьи их дочернего поколения. Самок трех таких генотипов сопоставляли по количественным показателям проявления признака резистентности при тестировании клещей диагностическими концентрациями акарицидов, гены резистентности к которым присутствовали в геноме. Дочернее поколение дигетерозиготных самок не отличалось от родительских особей по токсикологическим показателям взаимодействующих генов резистентности.
Ключевые слова
Полный текст
ВВЕДЕНИЕ
Эволюционные изменения, происходящие в популяциях членистоногих после обработки сельскохозяйственных культур инсектоакарицидами, по сложившимся представлениям, заключаются в увеличении количества особей с геном резистентности к применявшимся токсикантам. Следующую обработку на защищаемой от вредителей культуре рекомендуют поэтому проводить инсектоакарицидом другого химического класса, к которому в популяции еще не отобрались особи с генами резистентности. С начала применения химических средств защиты растений вследствие таких представлений были синтезированы и применялись на практике инсектоакарициды 55 химических классов [1]. Считается также, что чередование химических обработок соединениями различных химических классов против вредителей приводит к увеличению в их популяциях аддитивно мультиустойчивых к использовавшимся пестицидам генотипов. В экспериментах, проведенных с генотипами обыкновенного паутинного клеща, отселектированными по признаку наличия генов резистентности к акарицидам различных химических классов, были получены диаметрально противоположные результаты. У клещей с аллелями резистентности к акарицидам двух различных химических классов экспрессию гена резистентности к действующему токсиканту подавлял совмещенный с ним в геноме другой ген резистентности [2]. Количественные показатели проявляющегося эпистатического эффекта при взаимодействии генов резистентности к акарицидам различных химических классов были использованы для выявления наследственных изменений у клещей дочернего поколения дигетерозиготных самок. В процессе репродукции нового поколения происходит расщепление и независимое распределение состава аллелей резистентности, которые у родительских самок детерминируют экспрессию этих двух элементарных признаков.
МАТЕРИАЛЫ И МЕТОДЫ
Опыты проводили на самках обыкновенного паутинного клеща Tetranychus urticae Koch. Различные генотипы клеща были получены дизруптивным отбором при инбредном размножении по показателям устойчивости или чувствительности к отравляющему действию диагностических концентраций различных акарицидов. Были использованы препаративные формы: малатиона (50 % к. э. 1 карбофоса), бифентрина (10 % к. э. талстара), бромпропилата (неорона 50 % к. э) и абамектина (1,8 % к. э. вертимека). Диагностическими (СК95 × 2 для клещей чувствительной линии) были их водные растворы весовых (в % по действующему веществу) концентраций: 0,05 малатиона, 0,002 бифентрина, 0,005 бромпропилата и 0,00009 абамектина.
Семьи клеща от единичных самок содержали на листовых плотиках фасоли, уложенных на мокрую вату. Новое поколение клеща в каждом из вариантов получали от единичных самок, взятых из протестированных семей. При скрещивании клещей различных генотипов на листовой плотик фасоли помещали дейтонимфу и одного самца.
Тестирование проводили методом окунания в водный раствор токсиканта кусочка листа фасоли с отсаженными на него самками. Смоченную токсикантом высечку листа с клещами помещали затем на отдельный листовой плотик. Процент смертности учитывали через 24 ч после окунания.
Ошибку выборочной средней значений процента смертности и коэффициент вариации (ν) этих значений определяли по соответствующим формулам [3], а графическое распределение семей по частоте встречаемости признака получали с помощью компьютерной программы Microsoft® Excel 2016.
РЕЗУЛЬТАТЫ
Биология обыкновенного паутинного клеща определяет некоторые особенности в показателях реакции самок отдельных семей на действие токсикантов. По способу размножения паутинные клещи относятся к гапло-диплоидным видам членистоногих. Девственные самки продуцируют только гаплоидных самцов, а оплодотворенные самки — диплоидных дочерних самок и гаплоидных самцов. Гетерозиготные по признаку резистентности к селектирующему токсиканту самки производят резистентных и чувствительных самцов. У обыкновенного паутинного клеща 60 % самцов копулируют с уже оплодотворенными самками [4, 5]. В изолированных, получаемых от единичных самок семьях клеща происходит инбредное скрещивание дочерних самок с самцами этого же поколения. Инбредное размножение у паутинного клеща не лимитируется количеством поколений и не вызывает каких-либо признаков инбредной депрессии, являясь для этого вида нормальным биологическим процессом. Вследствие таких особенностей в отселектированных дизруптивным отбором по наличию или отсутствию признака резистентности к какому-либо акарициду поколениях клеща может присутствовать 15–30 % самок без этого признака, а в чувствительной линии — 5–15 % самок, выживающих после обработки диагностической концентрацией селектирующего акарицида [6].
В проведенных экспериментах проявление признака резистентности к каждому из токсикантов сопоставляли по среднеарифметическим значениям процента смертности самок всех анализируемых семей или по графическому распределению количества семей в соответствии с показателями процента смертности в них самок.
Гомозиготных по признаку резистентности к акарициду дейтонимф для скрещивания брали из семей с наименьшим процентом смертности тестировавшихся для определения этого показателя самок-сестер. Из этих же семей брали и самцов для реципрокного скрещивания. У гапло-диплоидных по способу размножения видов членистоногих различные генотипические комбинации при реципрокном скрещивании самцов и самок не образуются, поэтому токсикологические показатели в таблицах у гомозиготных по гену резистентности родительских самок представлены без такой дифференциации.
Половинные количества гибридных самок одной семьи, обладавших генами резистентности к акарицидам двух разных химических групп, тестировали раздельно диагностической концентрацией каждого из этих токсикантов.
Во всех вариантах совмещений генов резистентности к малатиону — с генами резистентности к бифентрину, бромпропилату и абамектину — при действии диагностической концентрации малатиона на гибридных самок среднеарифметический показатель процента смертности увеличивался в 2–2,5 раза по сравнению с гомозиготными по гену резистентности к малатиону родительскими самками (табл. 1–3).
Таблица 1
Средние арифметические величины смертности и коэффициент вариации этих значений (ν) при действии диагностических концентраций малатиона и бифентрина на самок обыкновенного паутинного клеща
Гомозиготные родительские самки, использованные для скрещивания | Варианты скрещивания | Дигетерозиготы F1 | Дочернее потомство от дигетерозигот | |||
R-малатион | r-бифентрин | малатион | бифентрин | малатион | бифентрин | |
11,5 ± 4,5 ν = 39,1 ± 3,9 50♀♀ | 26,6 ± 6,2 ν = 23,3 ± 2,3 50♀♀ | ♀ R-малатион × × ♂ r-бифентрин | 36,4 ± 6,5 ν = 17,8 ± 0,76 274♀♀ | 88,3 ± 5,2 ν = 5,9 ± 0,29 200♀♀ | 45,3 ± 5,4 ν = 11,3 ± 0,39 463♀♀ | 88,8 ± 3,8 ν = 4,3 ± 0,14 476♀♀ |
♀ r-бифентрин × × ♂ R-малатион | 38,7 ± 7,5 ν = 19,3 ± 0,89 236♀♀ | 90,2 ± 4,8 ν = 5,3 ± 0,27 190♀♀ | 52,0 ± 6,7 ν = 10,8 ± 0,47 265♀♀ | 82,9 ± 5,4 ν = 6,5 ± 0,29 254♀♀ | ||
Таблица 2
Средние арифметические величины смертности и коэффициент вариации этих значений (ν) при действии диагностических концентраций малатиона и бромпропилата на самок обыкновенного паутинного клеща
Гомозиготные родительские самки, использованные для скрещивания | Варианты скрещивания | Дигетерозиготы F1 | Дочернее потомство от дигетерозигот | |||
R-малатион | r-бромпропилат | малатион | бромпропилат | малатион | бромпропилат | |
19,4 ± 5,6 ν = 28,8 ± 2,9 50♀♀ | 17,1 ± 5,3 ν = 31,0 ± 3,1 50♀♀ | ♀ R-малатион × × ♂ r-бромпропилат | 40,4 ± 7,6 ν = 18,8 ± 0,85 245♀♀ | 93,4 ± 6,1 ν = 6,5 ± 0,35 174♀♀ | 35,0 ± 5,7 ν = 1,6 ± 0,06 290♀♀ | 94,0 ± 3,9 ν = 4,1 ± 0,18 262♀♀ |
♀ r-бромпропилат× × ♂ R-малатион | 45,3 ± 8,7 ν = 19,2 ± 1,0 167♀♀ | 92,1 ± 7,0 ν = 7,6 ± 0,49 121♀♀ | 52,6 ± 6,8 ν = 12,9 ± 0,55 269♀♀ | 95,3 ± 6,1 ν = 6,4 ± 0,29 235♀♀ | ||
Таблица 3
Средние арифметические величины смертности и коэффициент вариации этих значений (ν) при действии диагностических концентраций малатиона и абамектина на самок обыкновенного паутинного клеща
Гомозиготные родительские самки, использованные для скрещивания | Варианты скрещивания | Дигетерозиготы F1 | Дочернее потомство от дигетерозигот | |||
R-малатион | R-абамектин | малатион | абамектин | малатион | абамектин | |
16,2 ± 5,2 ν = 32,1 ± 3,2 50♀♀ | 18,1 ± 5,4 ν = 29,8 ± 3,0 50♀♀ | ♀ R-малатион × × ♂ R-абамектин | 35,9 ± 6,1 ν = 17,0 ± 0,77 241♀♀ | 87,2 ± 5,2 ν = 5,9 ± 0,3 189♀♀ | 40,1 ± 5,9 ν = 16,2 ± 0,55 431♀♀ | 89,5 ± 4,3 ν = 4,8 ± 0,19 299♀♀ |
♀ R-абамектин × × ♂ R-малатион | 43,5 ± 7,5 ν = 17,2 ± 0,85 204♀♀ | 79,9 ± 6,7 ν = 8,4 ± 0,43 192♀♀ | 53,1 ± 5,1 ν = 9,6 ± 0,28 567♀♀ | 90,3 ± 3,9 ν = 4,3 ± 0,17 303♀♀ | ||
Признак резистентности к бифентрину, бромпропилату и абамектину у гибридных самок при действии диагностических концентраций этих акарицидов совсем не проявлялся (см. табл. 1–3).
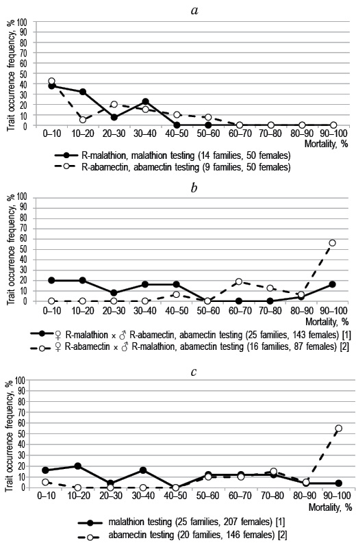
На графике, фиксирующем частоту встречаемости признака резистентности, семьи гетерозиготных самок после обработки диагностической концентрацией малатиона распределены равномерно по всем уровням процента смертности. Несколько большее количество семей в зоне до 50 % раздела оказалось только у семей, имевших в геноме аллели резистентности к бромпропилату (рис. 1, б; 2, б; 3, б).
По показателю смертности самок от диагностических концентраций бифентрина, бромпропилата и абамектина все семьи гетерозиготных самок, имеющие к этим акарицидам гены резистентности, распределены на графике в зоне чувствительности к токсиканту — с более чем 70 % смертностью (см. рис. 1, б; 2, б; 3, б).
Рис. 1. Распределение по уровням смертности гомозиготных по генам резистентности к акарицидам самок родительских семей (а), дигибридных по этим генам самок поколения F1 (б) и генотипов дочернего потомства от дигетерозигот (в)
Рис. 2. Распределение по уровням смертности гомозиготных по генам резистентности к акарицидам самок родительских семей (а), дигетерозиготных по этим генам самок поколения F1 (б) и генотипов дочернего потомства от дигетерозигот (в)
Рис. 3. Распределение по уровням смертности гомозиготных по генам резистентности к малатиону и абамектину самок родительских семей (а), дигибридных по этим генам самок поколения F1 (б) и генотипов дочернего потомства от самок поколения F1 (в)
При тестировании самок дочернего поколения дигетерозиготных генотипов не выявлено статистически достоверных отличий от самок родительского поколения по суммарным среднеарифметическим значениям процента смертности после обработок диагностическими концентрациями малатиона, бифентрина, бромпропилата и абамектина (см. табл. 1–3).
Графическое распределение семей дигетерозиготных родительских самок и семей их дочернего поколения по уровням смертности клещей от диагностических концентраций всех использованных акарицидов также было одинаковым (рис. 1, б, в; 2, б, в; 3, б, в).
ОБСУЖДЕНИЕ РЕЗУЛЬТАТОВ
Эпистатическое взаимодействие генов резистентности к акарицидам различного механизма первичного молекулярного действия происходит на третьем этапе генной экспрессии — при фенотипическом выражении признака [7].
Объединение в геноме дигетерозиготных самок клеща аллелей резистентности к малатиону с аллелями резистентности к акарицидам других химических классов — бифентрину, бромпропилату или абамектину — при действии на клещей диагностических концентраций токсикантов, инициирующих их экспрессию, приводит к полному подавлению аллелями резистентности к малатиону восстановительного метаболизма, детерминируемого этими генами.
Процессы нормализации транспортной функции плазматической мембраны клеток, регулируемые множественной молекулярной формой фермента, синтез которого кодирует ген резистентности к малатиону, подавляются аллелями резистентности к бифентрину, бромпропилату и абамектину не полностью вследствие характера доминантно-рецессивных отношений между биохимическими реакциями, контролируемыми совмещаемыми генами.
Выявленное по результатам экспериментов отсутствие различий по токсикологическим показателям эпистатического эффекта у дигетерозиготных самок и их дочернего поколения с разными комбинациями состава аллелей резистентности можно объяснить тем, что эпистатический эффект второго гена на активацию гена резистентности к действующему акарициду проявляется в любых возможных аллельных комбинациях.
Эпистатическое взаимодействие аллелей резистентности к токсикантам различных химических классов позволяет поочередно использовать без снижения эффективности только два быстро разрушающихся в окружающей среде инсектоакарицида. Для того чтобы применяемый инсектоакарицид оказался неэффективным, должны быть созданы условия для массового появления в популяции членистоногих гомозиготных по гену резистентности к нему особей. Вследствие избирательного элиминирующего действия на часть генофонда популяции двух инсектоакарицидов в ней облигатно будет сохраняться численное доминирование гетерозиготных по генам резистентности к ним членистоногих. Существенного снижения эффективности действия этих токсикантов в интервалах времени между поочерёдным их применением из-за появления новых поколений членистоногих происходить не будет.
Примечание:
1 к. э. — концентрат эмульсии.
Об авторах
Олег Вениаминович Сундуков
ФГБНУ «Всероссийский научно-исследовательский институт защиты растений»
Email: zubanov63@rambler.ru
канд. биол. наук, старший научный сотрудник
Россия, 196608, г. Санкт-Петербург, Пушкин, шоссе Подбельского, 3Ирина Анатольевна Тулаева
ФГБНУ «Всероссийский научно-исследовательский институт защиты растений»
Автор, ответственный за переписку.
Email: tulaevaia-vizr@mail.ru
канд. биол. наук, научный сотрудник
Россия, 196608, г. Санкт-Петербург, Пушкин, шоссе Подбельского, 3Список литературы
- Sparks TC, Nauen R. IRAC: Mode of action classification and insecticide resistance management. Pestic Biochem Physiol. 2015;121:122-128. https://doi.org/10.1016/j.pestbp.2014.11.014.
- Сундуков О.В., Тулаева И.А., Зубанов Е.А. Эпистатическое взаимодействие генов резистентности к акарицидам у межлинейных гибридов обыкновенного паутинного клеща // Экологическая генетика. – 2016. – Т. 14. – № 1. – С. 27–33. [Sundukov OV, Tulaeva IA, Zubanov EA. Epistatic interaction of resistance genes to acaricides in interline hybrids of two-spotted spider mite. Ecological genetics. 2016;14(1):27-33. (In Russ.)]. https://doi.org/10.17816/ecogen14127-33.
- Урбах В.Ю. Биометрические методы. – М.: Наука, 1964. [Urbah VY. Biometricheskie metody. Moscow: Nauka; 1964. (In Russ.)]
- Oku K. Males of the two-spotted spider mite attempt to copulate with mated females: effects of double mating on fitness of either sex. Exp Appl Acarol. 2010;50(2):107-113. https://doi.org/10.1007/s10493-009-9306-7.
- Oku K, van den Beuken TPG. Male behavioural plasticity depends on maternal mating status in the two-spotted spider mite. Exp Appl Acarol. 2017;71(4): 319-327. https://doi.org/10.1007/s10493-017-0127-9.
- Сундуков О.В., Тулаева И.А., Зубанов Е.А. Проявление признаков резистентности к инсектоакарицидам в инбредных линиях обыкновенного паутинного клеща при дизруптивном отборе // Экологическая генетика. – 2015. – Т. 13. – № 3. – С. 76–84. [Sundukov OV, Tulaeva IA, Zubanov EA. Manifestations of resistance to acaricides in inbred lines of two-spotted spider mite in the process of disruptive selection. Ecological genetics. 2015;13(3): 76-84. (In Russ.)]. https://doi.org/10.17816/ecogen13376-84.
- Сундуков О.В., Тулаева И.А., Зубанов Е.А. Физиологический механизм эпистатического взаимодействия генов резистентности к инсектоакарицидам различных химических классов у межлинейных гибридов обыкновенного паутинного клеща // Экологическая генетика. – 2017. – Т. 15. – № 2. – С. 21–27. [Sundukov OV, Tulaeva IA, Zubanov EA. Physiological mechanism epistatic interaction of resistance genes to acaricides of various chemical classes in the interline hybrids of two-spotted spider mite. Ecological genetics. 2017;15(2): 21-27. (In Russ.)]. https://doi.org/10.17816/ecogen15244-49.
Дополнительные файлы








