Влияние электромагнитного излучения УВЧ-диапазона на дестабилизацию генома клеток костного мозга крыс линий с контрастной возбудимостью нервной системы
- Авторы: Дюжикова Н.А.1, Вайдо А.И.1, Даев Е.В.1,2, Копыльцов А.В.3,4, Сурма С.В.1, Щеголев Б.Ф.1, Серов И.Н.5
-
Учреждения:
- ФГБУН «Институт физиологии им. И.П. Павлова РАН»
- ФГБОУ ВО «Санкт-Петербургский государственный университет»
- ФГАОУ ВО «Санкт-Петербургский государственный электротехнический университет «ЛЭТИ» им. В.И. Ульянова (Ленина)»
- ФГАОУ ВО «Санкт-Петербургский государственный университет аэрокосмического приборостроения»
- Фонд исследований генома человека «Айрэс»
- Выпуск: Том 17, № 2 (2019)
- Страницы: 83-92
- Раздел: Генетическая токсикология
- Статья получена: 16.12.2018
- Статья одобрена: 28.02.2019
- Статья опубликована: 15.06.2019
- URL: https://journals.eco-vector.com/ecolgenet/article/view/10722
- DOI: https://doi.org/10.17816/ecogen17283-92
- ID: 10722
Цитировать
Аннотация
Хромосомный аппарат высоковозбудимых крыс линии НП (с низким порогом возбудимости) более подвержен повреждающему действию высокочастотных электромагнитных излучений по сравнению с линией ВП (с высоким порогом возбудимости). Высокая возбудимость нервной системы определяет большую выраженность снижения митотических нарушений в присутствии отражающих элементов — резонаторов Aires Defender Pro в условиях действия излучение ультравысокочастотного диапазона стандартного Wi-Fi-роутера. Показано, что генотип животных и функциональное состояние их нервной системы влияют на восприимчивость к электромагнитным излучениям ультравысокочастотного диапазона и действию резонаторов.
Полный текст
ВВЕДЕНИЕ
Влияние техногенных электромагнитных полей на биосферу Земли постоянно возрастает. Это связано с увеличением числа искусственных источников электромагнитного излучения (ЭМИ). Параметры ЭМИ отличаются от параметров геомагнитного поля Земли. Соответственно изменен и характер их влияния на биологические объекты. Техногенные электромагнитные поля в первую очередь характеризуются повышенной мощностью и более высокими частотами излучения. Особенность их воздействия на человека заключается в уменьшении глубины проникновения и увеличении энергетического фактора воздействия. Недостаточность данных о действии такого ЭМИ на животных и человека делает актуальными изучение возможных механизмов формирования магнитобиологических эффектов (МБЭ), оценку их последействия на человека и разработку возможных методов и средств электромагнитной защиты.
Одним из основных источников техногенных электромагнитных полей являются беспроводные системы связи, например Wi-Fi-роутеры и сотовые телефоны. Системы защиты от такого типа излучений разрабатывают в различных направлениях, в частности, путем уменьшения мощности и изменения пространственных характеристик источников ЭМИ. В последнее время появилось еще одно направление, связанное с созданием устройств — резонаторов-отражателей [1], которые в совокупности с основными источниками излучения вызывают иные магнитобиологические реакции живых систем.
Из-за повсеместного использования бытовых приборов, мобильных телефонов и беспроводных маршрутизаторов воздействие ЭМИ на генетический аппарат клеток различных органов человека и животных возрастает. Показано, что электромагнитные поля разных диапазонов частот, включая диапазон мобильных телефонов и Wi-Fi, способны индуцировать широкий спектр генетических повреждений, модифицировать экспрессию генов, влиять на структурно-функциональные характеристики клеточных ядер [2–7]. Однако пути и механизмы влияния ЭМИ на генетический аппарат клеток и организм в целом все еще остаются малопонятными [5, 9, 10]. Практически неизвестны и индивидуальные особенности реакции организма на воздействия электромагнитных полей, а также роль функционального состояния его нервной системы в регуляции чувствительности/устойчивости к их воздействию.
Таким образом, представляется актуальным изучение механизмов действия ЭМИ на генетические процессы в клетках центральных и периферических органов модельных объектов с учетом генетически детерминированных свойств нервных процессов, в частности возбудимости нервной системы, а также создание систем защиты от вредного влияния ЭМИ. В настоящее время фондом исследований генома человека «Айрэс» разработаны устройства — резонаторы Aires Defender Pro (далее — резонаторы), отражающие ЭМИ [1]. Суммарное воздействие ЭМИ от устройств беспроводных систем связи и резонаторов на организм животных может оказаться слабее или даже быть полностью нейтрализовано за счет изменения параметров электромагнитного поля. Однако механизмы возможного протекторного влияния резонаторов на хромосомный аппарат клеток с учетом особенностей генетически детерминированного уровня возбудимости нервной системы животных до сих пор не изучены.
Целями данного исследования явились:
1) сравнительное изучение влияния ЭМИ стандартного Wi-Fi-роутера диапазона 2,4 ГГц в режиме работы 4 дня по 6 ч на состояние генетического аппарата делящихся клеток костного мозга у самцов крыс двух линий с высоким и низким порогом возбудимости нервной системы (ВП и НП, соответственно) и крыс линии Вистар;
2) оценка влияния ЭМИ при работе стандартного Wi-Fi-роутера в присутствии резонаторов, а также собственно резонаторов на состояние генетического аппарата делящихся клеток костного мозга у самцов крыс линий ВП, НП и Вистар.
МАТЕРИАЛЫ И МЕТОДЫ
Объектом исследования служили крысы двух линий, селектированных по величине порога возбудимости нервной системы — ВП (высокий порог, низковозбудимые) и НП (низкий порог, высоковозбудимые) [11, 12], а также исходной для селекции линии Вистар (масса тела 300–350 г) из биоколлекции ФГБУН «Институт физиологии им. И.П. Павлова» РАН (№ 0134-2018-0003). Крыс линий ВП и НП выращивали в стандартных условиях вивария лаборатории генетики ВНД Института физиологии им. И.П. Павлова РАН и содержали в условиях свободного доступа к воде и пище. Крысы линии Вистар были получены из центрального вивария ФГБУН «Институт физиологии им. И.П. Павлова» РАН. После получения животных их выдерживали в условиях лабораторного вивария не менее двух недель для адаптации. Самцов содержали группами по шесть особей в стандартных клетках на стандартном пищевом рационе. Было использовано по 8–10 животных на вариант.
При работе с животными руководствовались международными принципами Хельсинской декларации о гуманном отношении к животным.
В работе использовали стандартный Wi-Fi-роутер (беспроводной маршрутизатор LinkSys E1200-EE/RU) со следующими техническими характеристиками: частота беспроводной связи — 2,4 ГГц, количество и тип антенн — 2 внутренние антенны с коэффициентом усиления 4 дБи, выходная мощность — 16,5 дБм, среднее расстояние до животных — 40 см.
Для изучения действия ЭМИ роутера клетку с животными помещали в камеру Фарадея с целью защиты от внешних низкочастотных электрических полей. Под верхней крышкой камеры, на съемной полке в центре располагали Wi-Fi-роутер [39]. Ранее было показано, что наибольший повреждающий эффект на хромосомный аппарат клеток костного мозга крыс линии Вистар оказывает схема действия роутера — «4 дня по 6 часов» [39], поэтому экспериментальные группы животных на протяжении четырех дней подвергали ежедневному шестичасовому (8:00–14:00) воздействию ультравысокочастотного (УВЧ) излучения Wi-Fi-роутера (вариант «Р»). Контролем служили группы крыс, помещаемые в камеру Фарадея по той же схеме, но без Wi-Fi-роутера (К2), а также интактные животные, которых не подвергали никаким воздействиям (К1).
Для оценки влияния резонаторов [15] одну из экспериментальных групп каждой исследуемой линии подвергали аналогичному (4 дня по 6 ч) воздействию Wi-Fi-роутера в клетке Фарадея в присутствии резонаторов (вариант «Р + Рзт»). Использовали шесть резонаторов, которые размещали в центре каждой грани клетки Фарадея [39].
Еще одну группу животных линии Вистар помещали в клетку Фарадея с расположенными в ней резонаторами, но без роутера (вариант «Рзт»).
Приготовление препаратов клеток костного мозга
Через 24 ч после окончания воздействия костный мозг животных фиксировали в свежеприготовленном фиксаторе Кларка (1 часть ледяной уксусной кислоты: 3 части этанола) и хранили при температуре +4 °C. Образцы костного мозга окрашивали 2 % раствором ацетоорсеина и готовили давленые препараты по стандартной методике [16, 17].
Анализ препаратов костного мозга
Препараты клеток костного мозга анализировали с использованием микроскопа Микромед-3 (увеличение 400–1000 раз) и камеры MS-300 (дополнительное увеличение в 1,6 раза). Изучали хромосомные аберрации на стадии анафазы — телофазы (стандартный ана-телофазный метод) с учетом дополнительных рекомендаций [17]. От каждого животного анализировали не менее 200 клеток. Оценивали число нормальных и аберрантных анафаз — телофаз со следующими типами нарушений: одиночные перестройки (фрагмент, мост, отставшая хромосома), множественные перестройки (два и более нарушений любого типа на клетку).
Статистическая обработка
Вычисляли частоты выявленных нарушений митоза, выраженные в процентах. Данные проверяли на гомогенность и нормальность распределения исследуемых показателей с использованием критерия хи-квадрат, данные считали статистически различающимися при уровне значимости р < 0,05 [18]. Достоверность различий между вариантами определяли с помощью теста ANOVA (однофакторный дисперсионный анализ) и критерия Манна – Уитни c применением программного обеспечения Statgraphics Centurion XV11 и Statistica 6.0.
РЕЗУЛЬТАТЫ
Проверка полученных первичных данных выявила их внутригрупповую гомогенность при отсутствии нормальности распределения. Это позволило объединить результаты внутри каждого варианта, но в дальнейшем для сравнительного анализа использовать непараметрические методы.
Результаты экспериментов по оценке воздействия электромагнитного излучения Wi-Fi-роутера и влияния резонаторов на стабильность генетического аппарата в клетках костного мозга крыс линии Вистар показали, что воздействие Wi-Fi-роутера в течение 4 дней по 6 ч приводит к дестабилизации генетического аппарата делящихся клеток костного мозга. Общая частота митотических нарушений возрастает в 3,9 и 3,6 раза по сравнению с таковой у животных контрольных вариантов К2 и К1 соответственно (рис. 1) (p < 0,0005). Присутствие резонаторов вызывало снижение частоты хромосомных нарушений в 2,8 раза по сравнению с действием ЭМИ собственно Wi-Fi-роутера (см. рис. 1). Тем не менее уровень хромосомных аберраций оставался в 1,3 и 1,4 раза выше по сравнению с таковым в вариантах К2 (p = 0,029) и К1 (p = 0,026) соответственно.
Экспозиция животных в клетке Фарадея только с резонаторами не влияла на частоту хромосомных нарушений по сравнению с обеими контрольными группами, что указывает на отсутствие дестабилизирующего генетический материал действия резонаторов.
Рис. 1. Частота хромосомных аберраций в клетках костного мозга самцов крыс линии Вистар после действия электромагнитного излучения роутера и резонаторов. Приведены значения медиан, средних (короткая черта), границ квартилей, минимальное и максимальное значения в анализируемых группах. К1 — интактные крысы, К2 — крысы, помещенные в клетку Фарадея, Р, Рзт и Р + Рзт — животные, подвергнутые соответствующим воздействиям роутера, резонатора или их совместного действия. * отличие от всех остальных вариантов (критерий Манна – Уитни, p < 0,0005)
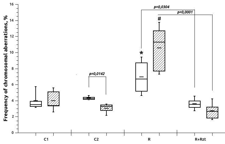
Электромагнитное излучение диапазона УВЧ (в режиме воздействия Wi-Fi-роутера в течение 4 дней по 6 ч) приводит к дестабилизации генетического аппарата делящихся клеток костного мозга у самцов крыс обеих исследуемых линий ВП и НП. Общая частота митотических нарушений у животных низковозбудимой линии ВП возрастает в 1,6 и 1,9 раза по сравнению с этим показателем у животных вариантов К2 и К1 соответственно (рис. 2). У крыс высоковозбудимой линии НП в этих условиях частота хромосомных аберраций возрастает в 3,2 раза по сравнению с животными варианта К2 (клетка Фарадея, 4 дня по 6 часов) и в 2,5 раза по сравнению с животными варианта К1 (см. рис. 2), что имеет высокую степень достоверности по всем применяемым статистическим критериям. Хотя на используемых выборках не выявлено статистически значимых межлинейных различий по частоте хромосомных нарушений после воздействия ЭМИ Wi-Fi-роутера, тем не менее степень дестабилизации генома клеток костного мозга в 2 раза выше у крыс линии НП по сравнению с ВП (см. рис. 2), что указывает на более высокую чувствительность первых к действию ЭМИ исследуемого диапазона (t = 3,38, p < 0,01).
Рис. 2. Частота хромосомных аберраций в клетках костного мозга самцов крыс линий с высоким и низким порогом возбудимости (выделены серым) после действия электромагнитного излучения роутера и резонаторов. Обозначения те же, что и для рис. 1. *отличие от вариантов К1 и К2 линии ВП достоверны (критерий Манна – Уитни, p < 0,0005), # отличие от вариантов К1 и К2 линии НП достоверны (критерий Манна – Уитни, p < 0,0005)
При этом чувствительность клеток костного мозга к действию роутера у крыс линии Вистар была выше (уровень хромосомных аберраций повысился в 3,9 раза), чем у крыс линии ВП (соответствующее повышение в 1,6 раза, ANOVA: F = 19,04 p = 0,0018), но сравнима с этим показателем у животных линии НП, у которых наблюдали повышение чувствительности в 3,3 раза.
Важно отметить, что у крыс линии ВП обнаружен более высокий уровень хромосомных нарушений по сравнению с крысами альтернативной линии НП при экспозиции в клетке Фарадея, однако различий с соответствующими группами интактного контроля выявлено не было.
Присутствие резонаторов при работающем Wi-Fi-роутере снижает дестабилизирующий эффект действия последнего у крыс линии ВП с 6,7 до 3,6 %, а линии НП с 9,8 до 2,7 %. Частота хромосомных аберраций при этом как у линии ВП, так и у НП не отличалась от таковой в соответствующих вариантах К2 и К1 (см. рис. 2). Следует отметить, что, несмотря на отсутствие статистически значимых межлинейных различий в частоте повреждений хромосом при одновременном воздействии Wi-Fi-роутера и резонаторов, снижение частоты нарушений митоза выражено сильнее у самцов линии НП (в 3,6 раза), чем у линии ВП (в 1,9 раза) (t = 5,86; p < 0,001).
ОБСУЖДЕНИЕ
В используемой схеме эксперимента действующий Wi-Fi-роутер целесообразно рассматривать как одиночный излучатель (несмотря на то, что спектр его излучения не сводится к одной частоте), чтобы отличать характер его воздействия на биологические объекты от других источников излучения, в том числе и подобных рассматриваемому. Введение дополнительного фактора воздействия в виде резонаторов, являющихся отражателями, позволяет говорить о формировании измененной структуры электромагнитного излучения [19]. Воздействие различных по структуре электромагнитных излучений на биологические объекты будет вызывать и различные МБЭ. Возможные механизмы воздействия высокочастотного излучения на биологические объекты подробно изложены и обсуждены в работах [20–23].
Глубина проникновения ЭМИ в биологические среды обусловлена в первую очередь ее магнитной составляющей и не превышает 1/4 длины волны. Частоте излучения 2,4 ГГц соответствует длина волны 12,5 см. Для этой длины волны глубина проникновения в любые биологические среды не превышает 3,125 см. Дополнительный понижающий коэффициент зависит от типа биологических сред или тканей (костные, мышечные, жировые и т. д.), через которые это излучение проникает.
Для конкретного типа роутера (LinkSys E1200-EE) максимальная выходная мощность излучения не превышает 16,5 дБм = 44,67 мВт = 0,04467 Дж/с. В используемой схеме эксперимента биологические объекты (крысы) находились на расстоянии 40 см от источника излучения (роутера), что позволило уменьшить мощность действующего излучения обратно пропорционально квадрату расстояния. Величина теплового барьера для одного акта химического превращения молекул (локальный тепловой нагрев) при 25 °C (298 K) составляет kT = 4,11∙10–21 J. Видно, что уровень излучения от конкретного типа роутера для данного расстояния до животных не превышает величину kT. Подробно вопрос значимости уровня kT в магнитобиологии рассмотрен в фундаментальной работе В.Н. Бинги и А.В. Савина [24].
Таким образом, поскольку интенсивность используемых ЭМИ не вызывает температурных изменений в биологическом объекте, его реакция на такое воздействие может быть обусловлена биологическими структурами, расположенными на глубине проникновения излучения и в которых возможны МБЭ. В качестве основных претендентов на такие биологические структуры могут рассматриваться различные элементы нейронной сети или нейроны, что обусловлено их структурной организацией.
В случае когда на сложный биологический объект действует несколько различных (по частоте и мощности) источников излучения, каждый из них может воздействовать как на различные структурные фрагменты этого объекта, так и на разные элементы одного структурного фрагмента, вызывая свои МБЭ. Наложение специфических МБЭ может приводить к разнонаправленным изменениям регистрируемых эффектов, вызываемым одним источником.
Частным случаем такого наложения, по-видимому, и является уменьшение эффекта дестабилизации хромосом в клетках костного мозга крыс излучением от Wi-Fi-роутера при совместном действии с резонаторами.
Результаты оценки уровня хромосомных аберраций в клетках костного мозга самцов крыс линии Вистар подтвердили, что электромагнитное излучение Wi-Fi-роутера в режиме воздействия 4 дня по 6 ч обладает цитогенетической активностью и индуцирует хромосомные аберрации [39]. В наших экспериментах продемонстрировано, что сами по себе резонаторы не оказывали влияния на уровень хромосомных нарушений в клетках костного мозга у крыс линии Вистар по сравнению с контрольными группами.
Результаты оценки уровня хромосомных аберраций в клетках костного мозга самцов крыс линий ВП и НП с контрастной возбудимостью нервной системы показали, что электромагнитное излучение Wi-Fi-роутера в режиме воздействия 4 дня по 6 ч индуцирует митотические нарушения у животных обеих линий. Статистически значимых межлинейных различий по частоте хромосомных нарушений выявлено не было, однако степень дестабилизации генома клеток костного мозга больше у крыс линии НП по сравнению с ВП, что указывает на зависимость их чувствительности к действию ЭМИ исследуемого диапазона от функционального состояния нервной системы. Чувствительность клеток костного мозга у крыс линии Вистар была выше по сравнению с линией ВП, но была сравнима с этим показателем у животных линии НП. Таким образом, характер повреждающего действия ЭМИ на хромосомный аппарат клеток костного мозга зависит от генотипа и связан с уровнем возбудимости нервной системы животных.
Как известно, хромосомные нарушения типа мостов и фрагментов, фиксируемые в анафазе и телофазе клеточного деления, являются результатом неверной репарации повреждений ДНК на стадии интерфазы и/или ошибок репликации [26]. ЭМИ индуцирует нарушения ДНК, по-видимому, уже на начальных этапах своего действия. Последствия можно наблюдать на хромосомном уровне через 24 ч после начала воздействия с учетом средней продолжительности клеточного цикла у крыс и мышей [27].
Несмотря на значительное количество работ, демонстрирующих наличие либо отсутствие биологических эффектов УВЧ ЭМИ, конкретные механизмы их рецепции/влияния на биологические системы пока неизвестны. Вероятно, ЭМИ ВЧ влияют на слабые электростатические связи, задействованные в поддержании конформации биомолекул и надмолекулярных структур [5]. Эффекты действия ЭМИ в диапазоне высоких частот на клетку могут быть связаны с изменением активности внутриклеточных сигнальных систем, воздействием на вторичные посредники, ДНК и ферменты [9, 10]. Предполагают участие нейроэндокринной системы в реакции на ЭМИ, опосредующей его влияние на работу отдельных органов и организма в целом [5]. Так, обнаружены повышение уровня гормонов стресса и патологическое изменение состояния надпочечников у крыс линии Вистар в результате длительного (4–8 нед.) воздействия радиочастот мобильной связи [25]. Известно, что кортикостерон, адреналин и норадреналин являются важнейшими нейроэндокринными факторами индукции повреждений ДНК при стрессе [29, 30].
Поскольку существуют свидетельства развития клеточного окислительного стресса под действием высокочастотного ЭМИ [28], скорее всего, и в наших экспериментах происходит изменение стабильности генетического аппарата делящихся клеток костного мозга под влиянием ЭМИ роутера. Хорошо известно, что в основе мутагенной активности окислительного стресса лежит генотоксическое действие эндогенных факторов гуморальной природы и свободно-радикальных продуктов перекисного окисления [28].
Можно предположить, что выявленные хромосомные нарушения способны повлиять на функционирование звеньев иммунной системы, связанных с работой костного мозга, привести к подавлению иммунитета, угнетению иммуно- и гематопоэза [31], но эти вопросы требуют специального изучения.
Исследование индивидуальных особенностей чувствительности/устойчивости к действию ЭМИ и средствам защиты против вредоносного влияния ЭМИ на генетический аппарат клеток также представляет значительный интерес. Этот аспект имеет непосредственное отношение к разработке способов профилактики и коррекции нарушений, вызванных ЭМИ, на основе персонифицированного подхода. Влияние генотипа на степень повреждения хромосом под действием мутагенов, генотоксикантов, стрессорных факторов различной природы хорошо известно [32–34]. Относительно генотип-специфичности влияния ЭМИ сведения ограничены [35, 36]. В представленной работе показана разная чувствительность линий крыс (Вистар, НП, ВП), о которой судили по степени возрастания частоты хромосомных аберраций, к действию ЭМИ беспроводного маршрутизатора. При этом хромосомный аппарат высоковозбудимых животных линии НП более подвержен повреждающему действию ЭМИ по сравнению с линией ВП. Более выражено и снижение митотических нарушений относительно более высокого уровня хромосомных аберраций, индуцированного ЭМИ используемого диапазона, в условиях действия резонаторов у крыс линии НП. Ранее нами было показано, что крысы высоковозбудимой линии НП более чувствительны по сравнению с низковозбудимой линией ВП к действию мутагена циклофосфана и к действию психоэмоционального стресса, о чем также свидетельствует увеличение количества цитогенетических нарушений в клетках костного мозга [37, 38]. По-видимому, наследственно обусловленный высокий тонус нервной системы, коррелирующий с большей метаболической активностью органов и тканей, более активным функционированием щитовидной железы и гипоталамуса [11], определяет и более высокую чувствительность хромосомного аппарата к ряду повреждающих воздействий, в том числе и ЭМИ УВЧ-диапазона. Известно, например, усиление мутагенного влияния микроволн при изменении уровня тиреоидных гормонов [40]. Не исключено и влияние отбора на повышение мутабильности у высоковозбудимых крыс [37].
Таким образом, степень воздействия ЭМИ УВЧ-диапазона может зависеть от:
а) характера МБЭ в структурных элементах биологического объекта, формируемых под влиянием ЭМИ нескольких источников — роутера и резонаторов;
б) функционального состояния нервной системы, определяемого разницей генотипов животных используемых линий.
В целом результаты исследования позволяют заключить, что для выявления механизмов действия ЭМИ и изучения способов снижения их повреждающего влияния более перспективным представляется изучение особенностей воздействия различающихся по характеристикам источников излучения на различные структурные элементы биологических объектов, а также использование линий животных определенных генотипов, в частности с контрастными свойствами нервных процессов.
Об авторах
Наталья Алековна Дюжикова
ФГБУН «Институт физиологии им. И.П. Павлова РАН»
Автор, ответственный за переписку.
Email: dyuzhikova@infran.ru
ORCID iD: 0000-0002-7550-118X
Scopus Author ID: 6603486439
ResearcherId: J-7202-2018
д-р биол. наук, заведующая лабораторией генетики высшей нервной деятельности
Россия, 199034, г. Санкт-Петербург, ул. Макарова, 6Александр Иванович Вайдо
ФГБУН «Институт физиологии им. И.П. Павлова РАН»
Email: vaidoai@infran.ru
SPIN-код: 1323-5153
д-р биол. наук, главный научный сотрудник лаборатории генетики высшей нервной деятельности
199034, г. Санкт-Петербург, ул. Макарова, 6Евгений Владиславович Даев
ФГБУН «Институт физиологии им. И.П. Павлова РАН»; ФГБОУ ВО «Санкт-Петербургский государственный университет»
Email: e.daev@spbu.ru
ORCID iD: 0000-0003-2036-6790
SPIN-код: 8926-6034
Scopus Author ID: 6701779129
ResearcherId: D-1165-2013
ведущий научный сотрудник лаборатории генетики высшей нервной деятельности; д-р биол. наук, профессор кафедры генетики и биотехнологии
Россия, 199034, г. Санкт-Петербург, ул. Макарова, 6; 199034, г. Санкт-Петербург, Университетская наб., д.7/9Александр Васильевич Копыльцов
ФГАОУ ВО «Санкт-Петербургский государственный электротехнический университет «ЛЭТИ» им. В.И. Ульянова (Ленина)»; ФГАОУ ВО «Санкт-Петербургский государственный университет аэрокосмического приборостроения»
Email: kopyl_2001@mail.ru
д-р тех. наук, профессор кафедры информационных технологий; профессор кафедры высшей математики и механики
Россия, 197376, Санкт-Петербург, ул. Профессора Попова, д.5; 190000, г. Санкт-Петербург, ул.Большая Морская, д.67Сергей Викторович Сурма
ФГБУН «Институт физиологии им. И.П. Павлова РАН»
Email: surmasv@infran.ru
канд. тех. наук, научный сотрудник лаборатории информационных технологий и математического моделирования
Россия, 199034, г. Санкт-Петербург, ул. Макарова, 6Борис Федорович Щеголев
ФГБУН «Институт физиологии им. И.П. Павлова РАН»
Email: shcheg19@infran.ru
канд. хим. наук, старший научный сотрудник лаборатории нейрогенетики
Россия, 199034, г. Санкт-Петербург, ул. Макарова, 6Игорь Николаевич Серов
Фонд исследований генома человека «Айрэс»
Email: director@aires.fund
президент
Россия, 197342, г. Санкт-Петербург, Выборгская наб., д.61, лит. АСписок литературы
- Серов И.Н., Копыльцов А.В., Лукьянов Г.Н. Взаимодействие полупроводниковой пластины с самоаффинным рельефом поверхности с электромагнитным излучением // Нанотехника. – 2006. – № 4. – С. 44–49. [Serov IN, Kopyltsov AV, Lukyanov GN. Interaction of a semiconductor plate with a self-affine surface relief with electromagnetic radiation. Nanotechnology. 2006;(4):44-49. (In Russ.)]
- Крюков В.И. Генетические эффекты электромагнитных полей // Вестник новых медицинских технологий. – 2000. – Т. VII. – № 2. – С. 8–13. [Kryukov VI. Genetic effects of electromagnetic fields. Bulletin of new medical technologies. 2000; VII(2):8-13. (In Russ.)]
- Дейнекина Т.А. Влияние электромагнитных полей на цитофизиологические параметры клеток животных и человека. Автореф. дис. … канд. биол. наук. – Ростов н/Д: Рост. гос. ун-т; 2002. – 24 c. [Deinekina TA. Effect of electromagnetic fields on the cytophysiological parameters of cells in animals and humans. [dissertation] Rostov-na-Donu: Rost. gos. un-t; 2002. 24 р. (In Russ.)]. Доступно по: https://search.rsl.ru/ru/record/01002898199. Ссылка активна на 14.01.2019.
- Бойко О.В., Лантушенко А.О., Лукьянчук Г.А., и др. Влияние микроволнового излучения на частотах мобильной связи и сети WIMAX на состояние хроматина клеток буккального эпителия человека. Серия «Биология, химия» // Учебные записки Таврического национального университета им. В.И. Вернадского. – 2011. – Т. 23. – № 4. – С. 56–65. [Boyko OV, Lantushenko AO, Lukyanchuk GA, et al. Influence of microwave radiation on mobile communication frequencies and WIMAX network on the chromatin state of cells of buccal epithelium of man. Series “Biology, Chemistry”. Instructional notes of the Taurida National V. Vernadsky University. 2011;23(4):56-65. (In Russ.)]
- Гапеев А.Б. Физико-химические механизмы действия электромагнитного излучения крайне высоких частот на клеточном и организменном уровнях: Автореф. дис. … д-ра физ.-мат. наук. – Пущино: Ин-т теорет. и эксперим. биофизики РАН, 2006. – 48 c. [Gapeyev AB. Physicochemical mechanisms of the action of electromagnetic radiation of extremely high frequencies at the cellular and organism levels. [dissertation] Pushchino: In-t teoret. i eksperim. biofiziki RAN; 2006. 48 р. (In Russ.)]. Доступно по: https://search.rsl.ru/ru/record/01003278794. Ссылка активна на 24.01.2019.
- Garaj-Vrhovac V, Fucic A, Horvat D. The correlation between the frequenc of micronuclei and specific chromosome aberrations in human lymphocytes exposed to microwave radiation in vitro. Mutat Res. 1992;281(3):181-186. https://doi.org/10.1016/0165-7992(92)90006-4.
- Тice R, Hook G, McRee DI. Chromosome aberrations from exposure to cell phone radiation. Microwave News. 1999;7-8:7.
- Tice RR, Hook GG, Donner M, et al. Genotoxicity of radiofrequency signals. I. Investigation of DNA damage and micronuclei induction in cultured human blood cells. Bioelectromagnetics. 2002;23(2):113-126. https://doi.org/10.1002/bem.104.
- Гапеев А.Б., Чемерис Н.К. Действие непрерывного и модулированного ЭМИ КВЧ на клетки животных Физико-химические механизмы действия электромагнитного излучения крайне высоких частот на клеточном и организменном уровнях. Обзор. Часть IV. Биологические эффекты модулированных электромагнитных излучений // Вестник новых медицинских технологий. – 2000. – Т. 7. – № 3–4. – С. 61–64. [Gapeyev AB, Chemeris NK. The effect of continuous and modulated EMI EHF on animal cells Physico-chemical mechanisms of the action of electromagnetic radiation of extremely high frequencies at the cellular and organism levels. Overview. Part IV. Biological effects of modulated electromagnetic radiation. Bulletin of New Medical Technologies. 2000;7(3-4):61-64. (In Russ.)]. https://doi.org/10.1081/jbc-100100294.
- Гапеев А.Б., Соколов П.А., Чемерис Н.К. Модельный анализ особенностей действия модулированных электромагнитных полей на клеточном уровне при различных параметрах модулирующих сигналов // Биофизика. – 2001. – Т. 46. – № 4. – С. 661–675. [Gapeyev AB, Sokolov PA, Chemeris NK. Model analysis of the features of the action of modulated electromagnetic fields at the cellular level for various parameters of modulating signals. Biophysics. 2001;46(4):661-675. (In Russ.)]. https://doi.org/10.1081/jbc-100103163.
- Вайдо А.И. Физиолого-генетический анализ возбудимости нервной системы и поведения лабораторной крысы: Дис. … д-ра биол. наук. – СПб., 2000. – 197 c. [Vaido AI. Physiological and genetic analysis of the excitability of the nervous system and the behavior of the laboratory rat. [dissertation] Sankt-Peterburg; 2000. 197 р. (In Russ.)]. Доступно по: https://search.rsl.ru/ru/record/01000262039. Ссылка активна на 12.12.2018.
- Вайдо А.И., Ситдиков М.Х. Селекция линий крыс по долгосрочному порогу возбудимости нервно-мышечного аппарата // Генетика. – 1979. – Т. ХV. – № 1. – С. 144–148. [Vaido AI, Sitdikov MH. Selection of rat lines along the long-term threshold of the excitability of the neuro-muscular apparatus. Genetics. 1979; ХV(1):144-148. (In Russ.)]
- Вайдо А.И., Дюжикова Н.А., Ширяева Н.В., и др. Системный контроль молекулярно-клеточных и эпигенетических механизмов долгосрочных последствий стресса // Генетика. – 2009. – Т. 45. – № 3. – С. 342–348. [Vaido AI, Dyuzhikova NA, Shiryaeva NV, et al. Systemic control of molecular-cellular and epigenetic mechanisms of long-term consequences of stress. Genetics. 2009;45(3):342-348. (In Russ.)]. https://doi.org/10.1134/s1022795409030065.
- Дюжикова Н.А., Скоморохова Е.Б., Вайдо А.И. Эпигенетические механизмы формирования постстрессорных состояний // Успехи физиологических наук. – 2015. – Т. 45. – № 1. – С. 47–74. [Dyuzhikova NA, Skomorokhova EB, Vaido AI. Epigenetic mechanisms in post-stress states. Uspehi physiol nauk. 2015;45(1):47-74. (In Russ.)]
- Жабрев В.А., Лукьянов Г.Н., Марголин В.И., и др. Исследование фрактальных структур Си, полученных методом ионного магнетронного распыления // Конструкции из композиционных материалов. – 2005. – № 4. – С. 53–62. [Zhabrev VA, Lukyanov GN, Margolin VI, et al. Investigation of fractal Cu structures obtained by ion magnetron sputtering method. Constructions from composite materials. 2005;(4):53-62 (In Russ.)]. https://doi.org/10.1109/phycon.2005.1514091.
- Макаров В.Б., Сафронов В.В. Цитогенетические методы анализа хромосом. – М.: Наука; 1978. – 85 с. [Makarov VB, Saphronov VV. Tsitogeneticheskie metody analiza khromosom. Moscow: Nauka; 1978. 85 р. (In Russ.)]
- Даев Е.В., Казарова В.Э., Выборова А.М., Дукельская А.В. Влияние феромоноподобных пиразинсодержащих соединений на стабильность генетического аппарата в клетках костного мозга самцов домовой мыши Mus. Musculus L. // Журнал эволюционной биохимии и физиологии. – 2009. – Т. 45. – № 5. – С. 486–491. [Daev EV, Kazarova VE, Vyborova AM, Dukel’skaya AV. Effects of “Pheromone-Like” pyrazine-containing compounds on stability of genetic apparatus in bone marrow cells of the male house mouse Mus musculus L. J Evolutionary Biochemistry Physiology. 2009;45(5):486-491. (In Russ.)]. https://doi.org/10.1134/s0022093009050053.
- Глотов Н.В., Животовский Л.А., Хованов Н.В., Хромов-Борисов Н.Н. Биометрия. – Л.: Изд-во Ленинградского ун-та, 1982. – 264 с. [Glotov NV, Zhivotovsky LA, Khovanov NV, Khromov-Borisov NN. Biometrics. Leningrad: Izd-vo Leningr. un-ta; 1982. 264 р. (In Russ.)]
- Jasaitis D, Vasiliauskiene V, Miskinis P, et al. Investigation of the circle fractal structure interaction with gigahertz frequency electromagnetic waves. Proceedings of the 12th International Scientific Conference Intelligent Technologies in Logistics and Mechatronies Systems (ITELMS2018). Ed by L.T. Koczy, D. Zostautiene, O. Strikuliene, E. Zacharoviene. Panevezys, Lithuania; 2018. pр. 82-87.
- Lai Н. Biological effects of radiofrequency electromagnetic field. Encyclopedia of biomaterials and biomedical engineering. 2nd edition. Ed. by G.E. Wnek, G.L. Bowlin. New-York; London: Informa, healthcare, Taylor and Francis Group; 2005. P. 254-261.
- Keangin P, Vafai K, Rattanadecho P. Electromagnetic field effects on biological materials. International Journal Heat Mass Transfer. 2013;65:389-399. https://doi.org/10.1016/j.ijheatmasstransfer.2013.06.039.
- Васильева Е.Г. Механизм влияния электромагнитных полей на живые организмы // Вестник Астраханского государственного технического университета. – 2008. – № 3. – С. 186–191. [Vasil’eva EG. The mechanism of influence of electromagnetic fields on living organisms. Vestnik Astrakhanskogo gosudarstvennogo tekhnicheskogo universiteta. 2008;(3):186-191. (In Russ.)]
- Шеин А.Г., Никулин Р.Н. Моделирование воздействия низкоэнергетического электромагнитного излучения сверхвысокой частоты на пассивную составляющую ионного транспорта веществ через биологические мембраны // Биомедицинские технологии и радиоэлектроника. – 2004. – № 4. – С. 4–11. [Shein AG, Nikulin RN. Simulation of the low energy electromagnetic radiation of ultrahigh frequency impact on the inactive component of substance ion transport through biological membrane. Biomedical technologies and radioelectronics. 2004;(4):4-11. (In Russ.)]
- Бинги В.Н., Савин А.В. Физические проблемы действия слабых магнитных полей на биологические системы // Успехи физических наук. – 2003. – Т. 173. – № 3. – С. 265–300. [Binhi VN, Savin AV. Physical problems of magnetic fields impact on biological systems. Uspehi physich nauk. 2003;173(3):265-300. (In Russ.)]
- Shahabi S, Hassanzadeh Taji I, Hoseinnezhaddarzi M, et al. Exposure to cell phone radiofrequency changes corticotrophin hormone levels and histology of the brain and adrenal glands in male Wistar rat. Iran J Basic Med Sci. 2018;21(12):1269-1274. https://doi.org/10.22038/ijbms.2018.29567.7133.
- Aguilera A, Garcia-Muse T. Causes of genome instability. Annu Rev Genet. 2013;47:1-32. https://doi.org/10.1146/annurev-genet-111212-133232.
- Meijer L, Guidet S, Vogel L. Progress in cell cycle research. Springer Science & Bussines Media; 2012. 284 р.
- Achudume A, Onibere B, Aina F, Tchokossa P. Induction of oxidative stress in male rats subchronically exposed to electromagnetic fields at non-thermal intensities. J Electromagnetic Anal Applications. 2010;2(8):482-487. https://doi.org/10.4236/jemaa.2010.28064.
- Flint MS, Baum A, Chambers WH, Jenkins FJ. Induction of DNA damage, alteration of DNA repair and transcriptional activation by stress hormones. Psychoneuroendocrinology. 2007;32(5):470-479. https://doi.org/10.1016/j.psyneuen.2007.02.013.
- Hara MR, Kovacs JJ, Whalen EJ, et al. A stress response pathway regulates DNA damage through β2-adrenoreceptors and β-arrestin-1. Nature. 2011;477(7346):349-353. https://doi.org/10.1038/nature10368.
- Flach J, Bakker ST, Mohrin M, et al. Replication stress is a potent driver of functional decline in ageing hematopoetic stem cells. Nature. 2014;512(7513):198-202. https://doi.org/10.1038/nature13619.
- Розенфельд С.В., Того Е.Ф., Михеев В.С., и др. Возрастная динамика частоты хромосомных повреждений у самцов мышей разных линий // Бюллетень экспериментальной биологии и медицины. – 2001. – № 5. – С. 568–570. [Rozenfeld SV, Togo EF, Mikheev VS, et al. Age dynamics of the frequency of chromosomal lesions in male mice of different lines. Bull Exp Biol Med. 2001;5:568-570. (In Russ.)]
- Семенов Х.Х., Карнищенко Н.Н, Бескова Т.В., Матвеенко Е.Л. Межвидовые различия в чувствительности клеток костного мозга у мышей и крыс к индукции мутаций тиофосфамидом // Биомедицина. – 2010. – № 5. – С. 26–32. [Semenov KhKh, Karnishchenko NN, Beskova TV, Matveenko EL. Mezhvidovye razlichiya v chuvstvitel’nosti kletok kostnogo mozga u myshei i krys k induktsii mutatsii tiofosfamidom. Biomedicine. 2010;5:26-32. (In Russ.)]
- Ковалева О.А. Цитогенетические аномалии в соматических клетках млекопитающих // Цитология и генетика. – 2008. – № 1. – С. 58–72. [Kovaleva OA. Cytogenetic abnormalities in mammalian somatic cells. Cytology Genetics. 2008;(1):58-72. (In Russ.)]
- Irons SL, Serra V, Bowler D, et al. The effect of genetic background and dose on non-targeted effects of radiation. Int J Radiat Biol. 2012;88(10):735-742. https://doi.org/10.3109/09553002.2012.715793.
- Верещако Г.Г. Влияние электромагнитного излучения мобильных телефонов на состояние мужской репродуктивной системы и потомство. – Минск: Белорусская наука, 2015. – 191 c. [Vereshchakо GG. Vliyanie elektromagnitnogo izlucheniya mobil’nykh telefonov na sostoyanie muzhskoi reproduktivnoi sistemy i potomstvo. Minsk: Belorusskaya nauka; 2015. 191 р. (In Russ.)]
- Быковская Н.В., Дюжикова Н.А., Вайдо А.И., и др. Частота хромосомных аберраций, индуцированных стрессорным воздействием и циклофосфаном в клетках костного мозга крыс, селектированных по порогу возбудимости нервной системы // Генетика. – 1994. – Т. 30. – № 9. – С. 1224–1228. [Bykovskaya NV, Dyuzhikova NA, Vaido AI, et al. Frequency of chromosomal aberrations induced by stress and cyclophosphamide in bone marrow cells of rats selected on the excitability threshold of the nervous system. Genetics. 1994;30(9):1224-1228. (In Russ.)]
- Дюжикова Н.А., Быковская Н.В., Вайдо А.И., и др. Частота хромосомных нарушений, индуцированных однократным стрессорным воздействием у крыс, селектированных по возбудимости нервной системы // Генетика. – 1996. – Т. 32. – № 6. – С. 851–853. [Dyuzhikova NA, Bykovskaya NV, Vaido AI, et al. Frequency of chromosomal abnormalities induced by a single stress in rats selected by excitability of the nervous system. Genetics. 1996;32(6):851-853. (In Russ.)]
- Дюжикова Н.А., Копыльцов А.В., Коршунов К.А., и др. Действие электромагнитного излучения высокой частоты и влияние резонаторов-преобразователей на частоту хромосомных аберраций в клетках костного мозга самцов крыс линии Вистар // Электромагнитные волны и электронные системы. – 2018. – Т. 23. – № 1. – C. 12–18. [Dyuzhikova NA, Kopyltsov AV, Korshunov KA, et al. The effect of high-frequency electromagnetic radiation and the effect of resonator-converters on the frequency of chromosomal aberrations in bone marrow cells of male Wistar rats Electromagnitnije volny i electronnije systemy. 2018;23(1):12-18. (In Russ.)]
- Ковешников И.В., Антипенко Е.Н. Об участии тиреоидных гормонов в модификации мутагенного эффекта микроволн // Радиобиология. – 1991. – Т. 31. – № 1. – С. 147–149. [Koveshnikov IV, Antipenko EN. On participation of thyroid hormones in modyfing of mutagenic effects of microwave. Radiobiologiya. 1991;31(1):147-149. (In Russ.)]
Дополнительные файлы







