Modern approach of structuring the variety diversity of the naked and covered forms of cultural oats (Avena sativa L.)
- Authors: Loskutov I.G.1,2, Shelenga T.V.1, Konarev A.V.1, Vargach Y.I.3, Porokhovinova E.A.4, Blinova E.V.1, Gnutikov A.A.1, Rodionov A.V.5,2
-
Affiliations:
- Federal Research Center “N.I. Vavilov All-Russian Institute of Plant Genetic Resources”
- St. Petersburg State University
- All-Russian Institute of Horticulture and Nursery
- Federal Research Center N.I. Vavilov Institute of Plant Genetic Resources (VIR)
- V.L. Komarov Botanical Institute RAS
- Issue: Vol 18, No 1 (2020)
- Pages: 27-41
- Section: Genetic basis of ecosystems evolution
- Submitted: 31.05.2019
- Accepted: 21.11.2019
- Published: 13.04.2020
- URL: https://journals.eco-vector.com/ecolgenet/article/view/12977
- DOI: https://doi.org/10.17816/ecogen12977
- ID: 12977
Cite item
Abstract
Structuring and phenotyping genetic diversity is an important aspect of the work with breeding sources and materials.
In the Introduction, the authors pointed out the role of N.I. Vavilov’s scientific foresight in defining the topical trend in researching the genetic diversity of a crop, particularly the analysis of its biochemical composition. As the target of their research, the authors chose biochemical characters identifiable in the process of metabolomic analysis conducted by means of gas chromatography with mass spectrometry.
Materials and methods. The object was the grain of naked and covered forms of common oat (Avena sativa L.) from the collection held by the Oat, Rye and Barley Genetic Resources Department of VIR. The analysis of oil fatty acid content and metabolomic research were performed using the method of gas chromatography with mass spectrometry on the chromatograph Agilent 6850 (USA).
Results. The obtained metabolomic spectra which reflected the metabolomic status of genotypes of various ecogeographic origin were compared among themselves using statistical (principal component) analysis methods. The results of the comparison are discussed by referring to the most important groups of metabolites significant for forming the traits of resistance to stressors as well as the characters related to food qualities of grain products. Special attention has been paid to biologically active compounds determining the functional value of the products for human nutrition: the sum of phenolics in covered forms is five times higher than that in naked ones and the content of glycine in covered forms is five times higher than in naked grain, with a similar proportion in the content of organic acids, sugars, etc.
Conclusion. Differences between metabolomic profiles of naked and covered forms have been detected and statistically verified. Accessions with the most optimal nutritional composition have been identified for food purposes and for the development of resistance to biotic and abiotic environmental stresses.
Full Text
INTRODUCTION
Genetic diversity (GD) collected and stored in national gene banks and centers since the moment of entering the collection has become an object of comprehensive study, including research based on quality attributes [1–7]. Given that quality is now recognized as a priority in breeding, one cannot help but recall the pioneering role of the founder of the All-Union Research Institute of Plant Industry (VIR), N. I. Vavilov, in the understanding of the special importance of “works on varietal physiology and biochemistry, linked to breeding. The importance of biochemical characteristics in the study of plant GD is much broader than the provision of alimental, feed, and other ‘utilitarian’ advantages of crops” [5].
New opportunities for solving the above problems became available when a methodological approach based on a complete description of the metabolome profile of the object was used. Such an approach enabled the identification of biochemical markers of biological processes. The methodological basis of this approach is chromatographic analysis combined with mass spectrometry [8, 9]. This technique enables us to evaluate comprehensively the processes in plants, animals, and microorganisms in accordance with the principles of systems biology [10–13]. In recent years, metabolomic techniques have become a highly sought tool in biology and agricultural science, namely, phenotyping of species and varieties, analysis of signs of resistance and quality, and breeding [14–17].
Studies on the metabolome of living objects allow a comprehensive evaluation of the effect of genetic modifications and biotic and abiotic stressors on it [18–21]. Thus, metabolomics is a promising approach for identifying the relationships between biochemical parameters and genetic characteristics of crops and opening up new possibilities for targeted breeding for quality [22]. Our study seems relevant and was conducted at a contemporary methodological level.
In the Federal Research Center N. I. Vavilov All-Russian Institute of Plant Genetic Resources (VIR), the metabolome approach is used to characterize different groups of crops by identifying specific metabolites [23] and evaluating varieties (using oats as an example) with varying degrees of resistance to fungal diseases [6, 7].
In the varietal diversity of the species of common oats (Avena sativa L.) (both among the landraces and modern varieties), two subspecies are distinguished, namely, covered oats (A. sativa subsp. sativa L.) and naked (A. sativa subsp. nudisativa (Husn.) Rod. et Sold.) [24]. Naked oats (with a center of origin and diversity in Mongolia and Northwest China) do not have limited practical use. In recent years, breeders have shown interest in them because of a number of consumer advantages over traditional covered ones [25, 26]. The identification and screening of biochemical factors that determine the appearance of economically valuable traits in the source and breeding material is a common experimental approach to understand the mechanisms of their formation. In particular, we used this method to identify reliable relationships between the content of individual metabolites and the resistance of oat varieties to Fusarium [6, 7].
This work aimed to identify biochemical differences (metabolite markers) of naked and covered varieties of oats for subsequent phenotyping of the varietal gene pool of common oats.
MATERIALS AND METHODS
The research material was accessions of common oat grains grown at the Center for Plant Genetic Fund and Bioresources of the All-Russian Selection and Technology Institute for Horticulture and Nursery in the village of Mikhnevo, Moscow Region in 2016 (see Table 1). The experiment was included in the field crop rotation according to the VIR technique [27]. Studies were conducted using grains of 40 Russian and foreign covered and naked varieties, representing the most important and common breeding groups from the collection of the Department of Genetic Resources of Oats, Rye, and Barley of the Federal Research Center N. I. Vavilov All-Russian Institute of Plant Genetic Resources (VIR).
Studied naked and covered accessions of common oat (Mikhnevo village, 2016) | |||||
No. of VIR catalogue | Name | Origin | No. of VIR catalogue | Name | Origin |
Naked accessions | Covered accessions | ||||
14717 | Pushkinsky | Leningrad Region | 15444 | Sapsan | Kirov Region |
14851 | Numbat | Australia | 14648 | Argamak | Kirov Region |
14960 | Vyatsky | Kirov Region | 15352 | Haga | Norway |
15063 | Sibirsky Golozerny | Omsk Region | 15357 | GN08207 | Norway |
15290 | Mestny | Poland | 15358 | GN8214 | Norway |
15339 | Progress | Omsk Region | 15367 | Boto | Denmark |
15372 | Tatran | Slovakia | 15442 | Zalp | Moscow Region |
15382 | Smachny | Ukraine | 15391 | Aveny | Sweden |
15461 | Korolyok | Republic of Belarus | 15400 | Auteuil | France |
15493 | UFRGS106150–3 | Brazil | 15402 | Borrus | Germany |
15505 | Avgol | Ukraine | 14911 | Belinda | Sweden |
15520 | Din Yan 4 | Chine | 15404 | Minue | France |
15615 | Bekas | Kirov Region | 15405 | Raven | Czech Republic |
15305 | Gehl | Canada | 15413 | Effektive | Austria |
15649 | Bai Yan 1 | Chine | 15421 | Malin | Germany |
15650 | Bai Yan 4 | Chine | 15462 | Freestyle | Republic of Belarus |
15648 | Bai Yan 5 | Chine | 15463 | Elegant | Republic of Belarus |
15657 | Bai Yan 10 | Chine | 15500 | Mirt | Republic of Belarus |
15653 | Pin 16 | Chine | 15516 | Zorro | Germany |
15647 | Yuan Za 2 | Chine | 15517 | Hurdal | Norway |
Accessions preparation and metabolic analysis
Grains of accessions were weighed, homogenized with an appropriate amount of methanol (the most effective extractant) in a ratio of 1 : 10, and infused for 30 days at 5 °C–6 °C [22]. The resulting extract was centrifuged at 14,000 rpm for 10 min. About 100 μl of the extract was evaporated in a CentriVap Concentrator (Labconco, USA) unit, and 50 μl of bis(trimethylsilyl)trifluoroacetamide was added to the dry residue and heated up for 40 min at 100 °C in a Digi-Block unit (USA). The analysis was performed on an HP5MS capillary column with 5% phenyl and 95% methylpolysiloxane (30.0 m, 250.0 μm, and 0.25 μm) by using an Agilent 6850 gas chromatograph with an Agilent 5975B VL MSD quadrupole mass-selective detector (Agilent Technologies, USA). Analysis conditions included helium velocity through a column of 1.5 ml/min. The heating program was 70 °C–320 °C at a heating rate of 4 °C/min. The temperature of the detector was 250 °C, the temperature of the injector was 300 °C, and the sample volume was 1 μl. The internal standard was a solution of triclosan in pyridine (1 μg/μl). The analysis was performed in three biological and three analytical replicates. The results were processed using the AMDIS and UniChrom programs. Peaks were identified using the NIST 2010 mass spectra libraries, St. Petersburg University Research Park, and V.L. Komarov Botanical Institute of the Russian Academy of Sciences [21].
The results of the metabolite profile analysis of oat grains were processed using STATISTICA 7.0 for Windows and MS Excel 2010 [28]. Significant differences between the forms of oats were established according to the results of one way analysis of variance and post hoc comparison (PostHoc) by using the generalized Tukey test. The relationships between the contents of various substances and the classification of oat forms were determined by principal component analysis [28].
RESULTS
As a result of the study, about 300 components were found in oat grains, and 107 components were identified. The latter were represented by groups of compounds: 28 organic acids, 18 free amino acids, nucleosides (adenosine and uridine), 13 fatty acids, acylglycerols (AGs; monoacylglycerols MAG-1 C16:0, MAG-1 C18:0, MAG-2 C18:3, MAG-2 C18:2, diacylglycerol [DAG]), 15 polyatomic alcohols, 4 phytosterols, 10 phenolic compounds (PhenC), 10 monosugars, and 6 oligosugars (Appendix).
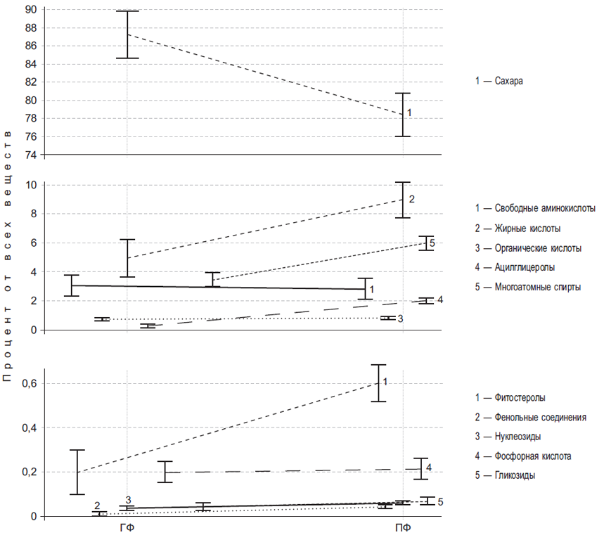
Figure 1 presents the content of various groups of compounds that make up the metabolic profile of covered forms (CFs) and naked forms (NFs) of oat grains. In NF, the share of organic acids and phosphoric acid was higher than that in CF by 1.2 and 2.2 times, respectively. The proportion of phytosterols, polyatomic alcohols, and fatty acids was higher (0.2%, 3%, and 5%, respectively) in the accessions of NF than in the accessions of CF.
Fig. 1. Major groups of metabolites of grains of covered and naked oat in percentage (±0.95 confidence interval) of the total content of all substances identified
Higher percentages of free amino acids (3% and 2%, respectively), AGs (2% and 0.5%, respectively; p = 0.003), and sugars (88% and 86%, respectively) were noted in CF than in NF. PhenC indices were higher in CF oats than in NF oats (0.1% and 0.03%, respectively; p = 0.0003; Fig. 1). Differences in their qualitative composition were also identified (see below). The phosphoric acid content of CF was 0.09%, and that of NF oats was an order of magnitude greater at 0.2% (p = 0.003). The level of nucleosides for CF and NF accessions was almost the same at 0.06% and 0.05%, respectively. CF revealed a more than fourfold increase in the level of AG compared with NF. The significance of differences between CF and NF in the content of sugars and free amino acids was not confirmed.
Organic acids are represented by lactic, pyruvic, 3-hydroxypropionic, nicotinic, oxalic, succinic, fumaric, maleic, malonic, methylmalonic, malic, glyceric, erythric, ribonic, galactonic, gluconic, and galacturonic acids; free amino acids (pipecolic acid and 5-hydroxypipecolic acid); threono1,4-lactone (a product of the oxidation of ascorbic acid); phenolcarboxylic acids (benzoic, salicylic, para-coumaric, ferulic, and caffeic acids); and azelaic acid. In all the accessions studied, malic and gluconic acids prevailed; their share in the total content of organic acids was about 50%. For CF accessions, the contents of malic and gluconic acids were 24% and 23%, respectively; by contrast, those values for NF were 40% and 11%, respectively. Lactic acid in CF was 16%, and the amount of other organic acids did not exceed 10%.
In the group of free amino acids, α-alanine, glycine, proline, serine, oxoproline, ornithine, asparagine, aspartic acid, glutamine, and glutamic acid were identified, including essential amino acids, namely, threonine, leucine, valine, lysine, tyrosine, tryptophan, phenylalanine, and amino alcohol ethanolamine. In CF accessions, glutamine was 76%. In NF, the main free amino acids were glycine (22%) and tyrosine (50%).
Fatty acids were determined, namely, pelargonic, undecylic, lauric, tridecylic, palmitic, linoleic, oleic, vaccenic, stearic, eicosanoic, behenic, lignoceric, hydroxyl-octadecanoic, DAG, MAG-1 С16:0, MAG-1 С18:0, MAG-2 С18:2, and MAG-2 С18:3. For all the studied oat accessions, the main fatty acids were palmitic, linoleic, and oleic acids. In the AG group, MAG-2 С18:2 prevailed in the accessions of NF (6%), and MAG-2 С18:3 prevailed in CF (8%).
In CF accessions, dulcitol, chyroinositol, and myoinositol (39%, 14%, and 12%, respectively) turned out to be the main polyatomic alcohols. In NF, the main polyatomic alcohols were ononytol, glycerol, and myoinositol (29%, 26%, and 18%, respectively). Among phytosterols, sitosterol dominated in all grains of the studied accessions. NF oats revealed isofucosterol (1%).
PhenC prevailed in CF oat, namely, methylarbutin, hydroquinone, para-coumaric, ferulic acid, and resorcinol (32%, 20%, 20%, 15%, and 2%, respectively), whereas para-coumaric, benzoic acids, and methylarbutin prevailed in NF oat (44%, 30%, and 26%, respectively). Oat accessions differed in the qualitative and quantitative composition of PhenC. Para-coumaric acid level was high in all accessions studied. PhenC of CF was represented mainly by hydroxycinnamic acids, hydroquinone, and methylarbutin, and PhenC of NF was represented mainly by hydroxycinnamic acids, hydroxybenzoic acids, and methylarbutin.
Sugars of CF accessions were mainly represented by oligosugars (74%), and the monosugar content was only 26%. NF accessions were characterized by a different ratio of mono- and oligosugars (57% and 43%, respectively). Monosugars were mainly represented by glucose, and oligosugars were represented by sucrose; a significant amount of raffinose was also found for CF.
Glycerol-3-phosphate and threono-1,4-lactone, metabolically active forms [29] that were mainly found in NF accessions, were identified.
DISCUSSION
When we compared our results with those of other authors, we did not find publications in which naked and covered oats were compared by biochemical characteristics. According to previous work [30], 247 metabolites were identified in metabolic profiles of wheat, barley, rye, and oat grains, and 89 metabolites were identified. A total of 32 identified compounds were PhenC, 30 were organic acids, 10 were fatty acids, 11 were sugars, and 6 identified compounds were sterols. In addition to the abovementioned groups of compounds, we identified free amino acids, polyols, AGs, and a wide range of sugars. PhenC in [30] was represented mainly by free phenol carboxylic acids (ferulic, caffeic, synapic, salicylic, gallic, gentisic, homovanilic, and α-resorcylic acids) and their methyl esters. Notably, ferulic (33% of the sum of PhenC), synapic (26%), and caffeic (23%) acids prevailed in oat grains. Para-coumaric acid prevailed in our accessions, ranging from 20% to 44%, while the level of ferulic acid in the composition of PhenC ranged from 0% in NF accessions to 15% in CF. In addition to hydroxycinnamic and hydroxybenzoic acids, resorcinol, hydroquinone, methylarbutin, and α-tocopherol were identified in oat accessions.
A previous study demonstrated [30] that succinic, glyceric, maleic, fumaric, malic, pyroglutamic, and azelaic organic acids, as well as methyl esters of aconitic and citric acids, are dominant in oat grains. The highest content is characteristic of succinic and 3-hydroxybutyric acids. According to our data, malic and gluconic acids were the most prevailing. The metabolic characteristics of oats obtained by us and international authors [30] were somewhat different from one another, as we studied different sets of accessions grown under varying soil and climatic conditions.
Our data revealed that the content of organic and phosphoric acids in NF was higher than that in CF. The differences were due to malic, gluconic, and lactic acids. The first one prevailed in NF, and the latter two prevailed in CF. Organic acids affect many functions of the human body. Malic acid is widely used in food and pharmacological industries. Gluconic acid has unique antibacterial properties, and it is also widely used in the food industry as a food supplement, baking powder, and acidity regulator.
NF accessions were characterized by a high content of pipecolic and 5-hydroxypipecolic acids. Their presence is associated with the conversion of the amino acid lysine [31] in response to damage to plant tissues by a fungus of Fusarium [32]. The resistance of plants to abiotic factors, particularly to drought, is associated with the free amino acid glycine, which prevailed in our oat NF accessions [33]. Tyrosine, which prevailed in NF, is an important component of the synthesis of growth factors [34]. All studied accessions contained proline, whose presence in plant tissues is associated with resistance of plants to drought, low temperatures, and free radicals [35]. NF and CF of our studied oats differed from each other in the content of mono- and oligosugars. In accordance with published data, raffinose promotes plant tissue resistance to temperature stress and water deficiency [36]. A high raffinose content was established for CF oats. In general, accessions with a high content of sugars and free amino acids are more resistant to abiotic stress factors of the environment than accessions with a low content of sugars and free amino acids [18, 19, 37].
In oat CF, the AG content exceeded four times the AG content in NF. Earlier, we suggested the possible role of these compounds in the formation of resistance to Fusarium in plants, particularly oats [6, 7].
Oat accessions differed in the qualitative and quantitative compositions of PhenC (see above). NF is characterized by a high content of oxybenzoic acids, and a high content of phenols is typical for CF. The resistance of plants to a number of diseases, insect pests, and water stress is associated with these groups of compounds [33, 38, 39].
The polyatomic alcohols ononytol and galactinol prevailing in oat NF represent a form of storage substances and are also produced in response to stress [35, 36, 40]. A high concentration of galactinol in the seeds contributes to their long storage [41]. NF and CF accessions had significant contents of myoinositol and its isoforms. Inositol and its isomers are known to participate in the regulation of growth and the transmission of intercellular signals, and they contribute to the integrity of the membrane complex [42].
The oligosugar content was higher in CF than in CF, which is important for comparing the nutritional values of NF and CF. In our opinion, the high sugar levels in our accessions of oats were associated with the characteristics of the material itself, including the accumulation of carbohydrates as storage substances, as well as soil and climatic conditions of growth.
In NF, the glycine level was more than three times higher than that in CF. The special role in human metabolic processes of glycine, which is a neurotransmitter of inhibitory type of action, should be considered. Under its influence, metabolism in brain tissues improves. Our studies found a higher content of PhenC in CF than in NF. E. I. Sharova in the monograph “Plant Antioxidants” discussed the protective role of PhenC in plants from environmental stress factors. Their content increases with stress. For humans, PhenC is important as antioxidants [43]. As a rule, accessions with a high concentration of sugars and free amino acids are more resistant to abiotic environmental factors than those with low concentrations of sugars and free amino acids [18, 19, 37].
In oat breeding, the creation of varieties resistant to Fusarium is important [7]. As mentioned above, hydroxycinnamic, hydroxybenzoic, pipecolic, and 5-hydroxypipecolic acids were identified in the studied oat accessions. Given that the latter compounds are characterized by anti-Fusarium activity [44], accessions with a high content of these compounds may be isolated from the collections because they are potentially resistant to fungal infection.
A principal component (PC) analysis of the results of the study of common oats showed that the difference between the metabolite profiles of covered and naked oats was associated with four main PC.
PC1 (F1, 23.8% of the variance) included the most content of fatty and organic acids, phosphoric acid, polyatomic alcohols (myoinositol, glycerol phosphate, and galactinol), MAG-1 С16:0, as well as some amino acids and phytosterols with a minimum content (less than 0.05%; Fig. 2, a).
Fig. 2. Distribution of the studied compounds and accessions of oat in the two-PC system: a – substances, PC 1 and 2; b – accessions, PC 1 and 2; c – substances, PC 3 and 4; d – accessions, PC 3 and 4
PC2 (F2, 14.0% of the variance) included grain sugar. It showed an inverse relationship between the values of main sugars (fructose, glucose, and sorbose), chiro-inositol, tyrosine, and organic acids (ribonic, lactic and 3-hydroxypropionic acid), as well as between the values of free amino acids (e.g., tryptophan, asparagine, and aspartic acid), pipecolic acid, and some minor substances of grain (Fig. 2, a).
PC3 (F3, 13.1% of the variance) was the FenC PC of the grain; it also demonstrated an inverse relationship between the content of PhenC (e.g., hydroquinone, ferulic, and vanillic acids), some free amino acids (e.g., glutamic, aspartic acids, tryptophan, and glycine), DAG, and lauric and undecyl acids, as well as among eicosenoic acid, phenylalanine, glycine, alanine, ethanolamine, and galactinol (Fig. 2, c).
PC4 (F4, 6.3% of the variance) was the PC of polyatomic alcohols (dulcitol and arabinitol) and MAG-2 С18:2; it revealed an inverse relationship among the contents of dulcitol, ononytol, and MAG-2 С:18, and gluconic and galacturonic acids, as well as between valine and a number of minor compounds (Fig. 2, c).
PC1 separated NFs from most CFs in terms of the contents of fatty and organic acids, polyatomic alcohols, and free amino acids (Fig. 2, b). The NF and CF groups turned out to be heterogeneous. Within the NF group, a subgroup was formed, which had a high content of organic and fatty acids, polyatomic alcohols, and MAG-1 С16:0. It included the naked varieties such as Sibirsky Golozerny, Progress, and Gehl. Some CFs (e.g., Haga, Effective, and GN08207) were similar to naked ones because of PC1.
PC2 divided CF into two groups, namely, varieties with the lowest sugar content (Freestyle, Elegant, Raven, Malin, and Zorro), which had the highest loads, and varieties with the highest sugar content (Myrtle, Boto, Auteuil, and GN8214; Fig. 2, b). The last four varieties were distinguished by PC1.
PC3 clearly divided CF (Fig. 2, d). Accessions with minimal loads had significantly more DAG, glutamic acid, tryptophan, urea, lauric, vanillic, and ferulic acids but less oleic and palmitic acids, galactinol, and myoinositol than their counterparts.
PC4 revealed differences between the “extreme” forms of CF and NF. CF (the least load) had more MAG-2 С18:2, dulcitol, and ononytol than NF (Fig. 2, d).
NFs were grouped at zero indicators of PC3 and in the smallest positive part of PC4 (Fig. 2, d). From CF, the varieties Sapsan, Zorro, and Borrus were included in this group. The Gehl naked variety and the covered Zalp, Sapsan, Argamak, and Hurdal with a high content of phytosterols in the grains had the highest loads in PC3. The highest loads in PC4 were noted in the Progress and UFRGS1061503 naked varieties and the covered varieties Zalp, Boto, Zorro, and Borrus. The highest loads in PC3 and PC4 were noted in the Progress, Gehl, and UFRGS1061503 naked varieties, while the lowest loads were found in only the covered varieties Auteuil, Raven, and Minue.
The Boto variety with a high content of organic, fatty and free amino acids, polyatomic alcohols, PhenC, and sugars was notable because of all four PC (Fig. 2).
The significance of differences in metabolic profiles of NF and CF was confirmed using the Tukey criterion. Gluconic, lactic, ferulic, and aspartic acids, as well as resorcinol, glucose, sucrose, and raffinose, prevailed in CF. Malic, phosphoric, pipecolic, 5-hydroxypipecolic, palmitic, linoleic, oleic, para-coumaric, and benzoic acids; glycine; tyrosine; MAG-2 С18:2; ononytol; glycerol; myoinositol; galactinol; and isofucosterol prevailed in NF (Fig. 3).
Fig. 3. Quantity of compounds typical for metabolic profiles of grains of naked and covered forms of Avena sativa L.
Previous studies [10–12, 45] indicated that specificity of the metabolic profile is due to the interaction of a particular genotype with environmental conditions. Thus, the significant differences between NF and CF of oats confirmed the existence of genetic differentiation of subspecies of common oats. A similar conclusion was made in our previous publication [6].
Among other things, our study enabled us to reveal the accessions (Sibirsky Golozerny, Gehl, UFRGS1061503, and Progress naked varieties; Freestyle, Elegant, Zalp, Sapsan, Argamak, Hurdal, Raven, Malin, Boto, Zorro, and Borrus covered varieties) with a high content of myoinositol, sitosterol, malic acid, sucrose. The contents of such compounds determine the nutritional and gustatory advantages of common oats, as well as resistance to stress (e.g., drought and Fusarium). The forms isolated can subsequently be used in breeding programs.
In the near future, a system must be developed for the certification of genotypes, and passport databases should be created based on metabolic characteristics. The principal differences between such systems of certification of genotypes lie in the relationship between the components of the metabolic profile and significant breeding traits (e.g., quality and resistance to stress).
The studies had the financial support of the Russian Foundation for Basic Research (Project Nos. 170000338 and 170000340) and within the state task No. 066220190006.
Appendix
Content of major metabolites in the grains of Avena sativa L. oat (mg/100 g)
Compound name | Covered forms of Avena sativa L. | Naked forms of Avena sativa L. | LSD0.05 | Tukey test | ||
mean value | standard deviation | mean value | standard deviation | |||
Lactic acid | 3.98 | 0.7 | 1.42 | 0.21 | 0.56 | 0.01 |
3-Hydroxypropionic acid | 0.26 | 0.16 | 0.00 | 0.00 | 0.36 | – |
Phosphoric acid | 1.3 | 0.91 | 4.44 | 0.66 | 0.99 | 0.006 |
Nicotinic acid | 0.13 | 0.03 | 0.05 | 0.01 | 0.11 | – |
Maleic acid | 0.04 | 0.02 | 0.01 | 0.00 | 0.08 | – |
Oxalic acid | 0.00 | 0.01 | 0.02 | 0.00 | 0.07 | – |
Succinic acid | 0.54 | 0.2 | 0.31 | 0.08 | 0.27 | – |
Fumaric acid | 0.00 | 0.00 | 0.01 | 0.01 | 0.04 | – |
Malonic acid | 0.03 | 0.02 | 0.01 | 0.00 | 0.06 | – |
Methyl-malonic acid | 0.11 | 0.02 | 1.27 | 0.12 | 2.01 | – |
Malic acid | 5.61 | 1.21 | 13.5 | 2.45 | 1.12 | 0.03366 |
Erythric acid | 0.19 | 0.07 | 0.17 | 0.08 | 0.19 | – |
Ribonic acid | 0.74 | 0.23 | 0.67 | 0.15 | 0.39 | – |
Galactonic acid | 0.01 | 0.00 | 0.00 | 0.00 | 0.01 | – |
Gluconic acid | 3.80 | 0.57 | 1.53 | 0.31 | 0.60 | 0.0082 |
Galacturonic acid | 0.83 | 0.06 | 0.76 | 0.07 | 0.41 | – |
Pipecolic acid | 0.54 | 0.14 | 1.90 | 0.23 | 0.35 | 0.0055 |
5-Hydroxy-pipecolic acid | 0.00 | 0.00 | 0.04 | 0.04 | 0.01 | 0.0229 |
Glyceric acid | 0.13 | 0.06 | 0.14 | 0.02 | 0.10 | – |
Threono-1,4-lactone | 0.00 | 0.00 | 0.16 | 0.07 | 0.18 | – |
Azelaic acid | 0.00 | 0.00 | 0.22 | 0.17 | 0.22 | – |
Benzoic acid | 0.04 | 0.00 | 0.19 | 0.04 | 0.12 | 0.0105 |
para-Coumaric acid | 0.27 | 0.17 | 0.79 | 0.30 | 0.075 | 0.0148 |
Resorcine | 0.04 | 0.01 | 0.00 | 0.00 | 0.01 | 0.0352 |
Ferulic acid | 0.14 | 0.04 | 0.00 | 0.00 | 0.04 | 0.0043 |
Vanillic acid | 0.08 | 0.03 | 0.00 | 0.00 | 0.08 | – |
Methylarbutin | 0.31 | 0.04 | 0.16 | 0.07 | 0.08 | 0.0136 |
Hydroquinone | 0.19 | 0.02 | 0.01 | 0.00 | 0.05 | 0.0045 |
Pelargonic acid | 0.00 | 0.00 | 0.01 | 0.02 | 0.04 | – |
Undecylic acid | 0.36 | 0.13 | 0.00 | 0.00 | 0.45 | – |
Lauric acid | 0.24 | 0.08 | 0.02 | 0.01 | 0.30 | – |
Tridecylic acid | 0.00 | 0.01 | 0.05 | 0.00 | 0.10 | – |
Palmitic acid | 23.72 | 5.52 | 50.42 | 6.41 | 2.35 | 0.0229 |
Hydroxy-hexadecanoic acid | 0.00 | 0.00 | 0.03 | 0.00 | 0.07 | – |
Linolic acid | 46.39 | 8.91 | 61.01 | 9.75 | 3.29 | 0.0427 |
Oleic acid | 40.24 | 7.39 | 57.14 | 7.06 | 3.04 | 0.0576 |
Vaccenic acid | 2.36 | 0.49 | 0.39 | 0.04 | 3.32 | – |
Stearic acid | 2.45 | 0.89 | 1.46 | 0.55 | 1.22 | – |
Eicosanoic acid | 1.4 | 0.25 | 1.68 | 0.15 | 0.62 | – |
Eicosenoic acid | 0.19 | 0.02 | 0.00 | 0.00 | 0.21 | – |
Behenic acid | 0.05 | 0.02 | 1.66 | 0.39 | 1.68 | – |
Lignoceric acid | 0.00 | 0.00 | 0.03 | 0.00 | 0.08 | – |
MAG-1 С16:0 | 4.03 | 0.76 | 3.34 | 0.80 | 0.88 | – |
MAG-1 С18:0 | 0.22 | 0.06 | 0.47 | 0.10 | 0.32 | – |
MAG-2 С18:2 | 0.00 | 0.00 | 7.49 | 1.75 | 1.28 | 0.0013 |
MAG-2 С18:3 | 26.06 | 1.26 | 0.00 | 0.00 | 0.53 | 0.0141 |
DAG | 0.00 | 0.00 | 4.59 | 0.61 | 5.00 | – |
α-Alanine | 0.76 | 0.07 | 1.1 | 0.04 | 0.50 | – |
Glycine | 2.75 | 0.07 | 14.4 | 0.41 | 1.78 | 0.0269 |
Ethanolamine | 0.40 | 0.02 | 0.63 | 0.04 | 0.38 | – |
Proline | 2.66 | 0.06 | 5.89 | 0.07 | 3.56 | – |
Serine | 0.30 | 0.02 | 0.74 | 0.04 | 0.46 | – |
Hydroxyproline | 0.20 | 0.08 | 0.31 | 0.10 | 0.26 | – |
Ornithine | 0.08 | 0.13 | 0.08 | 0.09 | 0.13 | – |
Glutamic acid | 1.76 | 0.74 | 0.67 | 0.20 | 1.62 | – |
Asparagine | 1.84 | 1.11 | 4.08 | 1.80 | 2.95 | – |
Glutamine | 0.21 | 0.20 | 0.19 | 0.09 | 0.204 | – |
Tyrosine | 23.36 | 10.50 | 32.71 | 9.81 | 2.74 | 0.0131 |
Tryptophan | 0.47 | 0.14 | 0.74 | 0.36 | 0.41 | |
Aspartic acid | 0.46 | 0.46 | 0.21 | 0.17 | 0.15 | 0.0464 |
Phenylalanine | 0.00 | 0.00 | 0.00 | 0.01 | 0.02 | – |
Valine | 1.04 | 0.35 | 2.51 | 0.28 | 1.75 | – |
Leucine | 0.12 | 0.06 | 0.17 | 0.08 | 0.19 | – |
Threonine | 0.12 | 0.07 | 0.40 | 0.07 | 0.29 | – |
Lysine | 0.00 | 0.00 | 0.02 | 0.00 | 0.061 | – |
Adenosine | 0.60 | 0.07 | 0.70 | 0.03 | 0.41 | – |
Uridine | 0.32 | 0.28 | 0.50 | 0.30 | 0.322 | – |
Urea | 1.50 | 0.04 | 0.90 | 0.05 | 0.71 | – |
Glycerol | 8.38 | 0.30 | 20.70 | 6.60 | 2.15 | 0.0046 |
Ononytol | 10.90 | 3.14 | 27.70 | 7.31 | 4.16 | 0.0053 |
Glycerol phosphate | 0.60 | 0.40 | 1.26 | 0.54 | 0.95 | – |
Dulcitol | 41.27 | 10.04 | 14.10 | 6.60 | 2.79 | 0.0322 |
Sorbitol | 2.24 | 1.26 | 4.70 | 1.20 | 2.86 | – |
Xylitol | 0.76 | 0.46 | 4.30 | 1.50 | 3.71 | – |
Chyro-inositol | 15.01 | 8.14 | 6.20 | 1.90 | 1.20 | 0.0235 |
Myo-inositol | 12.78 | 5.19 | 26.10 | 8.30 | 1.79 | 0.0116 |
Galactitol | 2.84 | 0.27 | 3.80 | 0.21 | 0.84 | 0.005 |
Erythritol | 1.10 | 0.22 | 0.10 | 0.10 | 1.15 | – |
Mannitol | 1.57 | 1.34 | 0.01 | 0.30 | 2.01 | – |
Cholesterol | 0.14 | 0.04 | 1.53 | 0.07 | 2.02 | – |
Campesterol | 0.04 | 0.15 | 0.14 | 0.04 | 0.17 | – |
Stigmasterol | 0.10 | 0.12 | 0.14 | 0.05 | 0.129 | – |
Sitosterol | 3.20 | 0.69 | 4.83 | 0.45 | 1.82 | – |
Isofucosterol | 0.80 | 0.23 | 2.37 | 0.70 | 0.44 | 0.0003 |
Glyceraldehyde | 1.84 | 0.28 | 0.41 | 0.10 | 1.72 | – |
Lyxose | 0.00 | 0.11 | 0.08 | 0.00 | 0.09 | – |
Arabinose | 0.01 | 0.19 | 0.15 | 0.00 | 0.66 | – |
Ribose | 26.80 | 11.68 | 50.44 | 14.20 | 26.30 | – |
Xylopyranose | 8.24 | 3.61 | 14.24 | 5.70 | 6.51 | – |
Mannose | 0.39 | 0.21 | 0.27 | 0.20 | 0.29 | – |
Fructose 1 | 34.34 | 14.25 | 80.00 | 19.70 | 50.62 | – |
Fructose 2 | 36.44 | 17.85 | 94.65 | 20.40 | 60.08 | – |
Sorbose | 17.19 | 17.91 | 51.30 | 21.50 | 37.88 | – |
Galactose | 9.19 | 2.73 | 7.10 | 4.60 | 3.02 | – |
Glucose 1 | 232.56 | 30.00 | 170.80 | 36.10 | 7.83 | 0.0052 |
Glucose 2 | 259.46 | 40.30 | 237.40 | 45.30 | 9.12 | 0.0289 |
Rutinose | 0.20 | 0.18 | 0.21 | 0.10 | 0.208 | – |
Melibiose | 5.40 | 4.08 | 9.06 | 2.10 | 4.12 | – |
Succharose | 1053.10 | 148.16 | 380.51 | 227.80 | 15.30 | 0.0235 |
Maltose | 0.00 | 0.81 | 6.70 | 0.00 | 8.00 | – |
Raffinose | 31.99 | 20.09 | 0.10 | 0.10 | 3.46 | 0.0434 |
Stachyose | 10.00 | 0.10 | 23.12 | 32.20 | 16.35 | – |
Note. MAG – monoacylglycerol; DAG – diacylglycerol; LSD – least significant difference. | ||||||
About the authors
Igor G. Loskutov
Federal Research Center “N.I. Vavilov All-Russian Institute of Plant Genetic Resources”; St. Petersburg State University
Author for correspondence.
Email: i.loskutov@vir.nw.ru
ORCID iD: 0000-0002-9250-7225
SPIN-code: 2715-2082
Scopus Author ID: 8619012600
ResearcherId: D-5238-2013
Doctor of Biological Sciences, Chief Researcher, Acting Head of the Department of Genetic Resources of Oats, Rye, Barley; Professor, Department of Agrochemistry
Russian Federation, Saint PetersburgTatyana V. Shelenga
Federal Research Center “N.I. Vavilov All-Russian Institute of Plant Genetic Resources”
Email: tatianashelenga@yandex.ru
Candidate of Biological Sciences, Leading Researcher of the Department of Biochemistry and Molecular Biology
Russian Federation, Saint PetersburgAlexey V. Konarev
Federal Research Center “N.I. Vavilov All-Russian Institute of Plant Genetic Resources”
Email: a.konarev@vir.nw.ru
Doctor of Biological Sciences, Professor, Acting Head of the Department of Biochemistry and Molecular Biology
Russian Federation, Saint PetersburgYulia I. Vargach
All-Russian Institute of Horticulture and Nursery
Email: ulvargach@gmail.com
Candidate of Agricultural Sciences, Junior Researcher, Gene Pool Department
Russian Federation, MoscowElizaveta A. Porokhovinova
Federal Research Center N.I. Vavilov Institute of Plant Genetic Resources (VIR)
Email: e.porohovinova@mail.ru
SPIN-code: 5033-3263
Candidate of Biological Sciences, Senior Researcher, Department of Genetic Resources of Oilseeds and Spinning Crops
Russian Federation, Saint PetersburgElena V. Blinova
Federal Research Center “N.I. Vavilov All-Russian Institute of Plant Genetic Resources”
Email: i.loskutov@vir.nw.ru
Candidate of Agricultural Sciences, Senior Researcher, Department of Genetic Resources of Oats, Rye, Barley
Russian Federation, Saint PetersburgAlexander A. Gnutikov
Federal Research Center “N.I. Vavilov All-Russian Institute of Plant Genetic Resources”
Email: alexandr2911@yandex.ru
Candidate of Agricultural Sciences, Senior Researcher, Department of Genetic Resources of Oats, Rye, Barley
Russian Federation, Saint PetersburgAlexander V. Rodionov
V.L. Komarov Botanical Institute RAS; St. Petersburg State University
Email: avrodionov@mail.ru
Professor, Chief Researcher, Acting Head of the Laboratory of Biosystematics and Cytology; Professor
Russian Federation, Saint PetersburgReferences
- Зеленская Я.Г., Лоскутов И.Г., Губарева Н.К., и др. Характеристика староместных форм овса посевного (Аvena sativa L.) из коллекции ВИР по полиморфизму авенина // Аграрная Россия. – 2004. – № 6. – С. 50–58. [Zelenskaya YaG, Loskutov IG, Gubareva NK, et al. Characteristic landraces of oat (Avena sativa L.) from VIR collection for avenins polymorphism. Agricultural Russia. 2004;(6):50-58. (In Russ.)]
- Вишнякова М.А. Милая и прекрасная Леночка. – СПб.: Серебряный век, 2007. – 150 с. [Vishhyakova MA. Milaya i prekrasnaya Lenochka. Saint Petersburg: Serebryanyy vek; 2007. 150 р. (In Russ.)]
- Лоскутов И.Г. История мировой коллекции генетических ресурсов растений в России. – СПб.: ГНЦ РФ ВИР, 2009. – 292 с. [Loskutov IG. The history of the world collection of plant genetic resources in Russia. Saint Petersburg: State scientific center of the Russian Federation all-Russian scientific center. – research. in-t of crop production. N.I. Vavilov; 2009. 292 p. (In Russ.)]
- Конарев А.В. Всероссийский НИИ растениеводства и его вклад в развитие сельскохозяйственной науки и селекции страны // Сельскохозяйственная биология. – 1994. – Т. 29. – № 3. – С. 3–31. [Konarev AV. Vserossiyskiy NII rasteniyevodstva i ego vklad v razvitiye sel’skokhozyaystvennoy nauki i selektsii strany. Soviet agricultural biology. 1994;29(3):3-31. (In Russ.)]
- Вавилов Н.И. Селекция как наука // Теоретические основы селекции растений. Т. I. – М.; Л.: Колос, ВИР, 1935. – C. 1–14. [Vavilov NI. Plant breeding as a science. In: Theoretical basis of plant breeding. Vol. I. Moscow; Leningrad: Kolos, VIR; 1935. P. 1-14. (In Russ.)]
- Loskutov IG, Shelenga TV, Konarev AV, et al. The metabolomic approach to the comparative analysis of wild and cultivated species of oats (Avena L.). Rus J Genet Appl Res. 2017;7(5):501-508. https://doi.org/10.1134/s2079059717050136.
- Лоскутов И.Г., Шеленга Т.В., Конарев А.В., и др. Биохимические аспекты взаимоотношений грибов и растений на примере фузариоза овса // Сельскохозяйственная биология. – 2019. – Т. 54. – № 3. – С. 575–588. [Loskutov IG, Shelenga TV, Konarev AV, et al. Biochemical aspects of interrelations between fungi and plants in the case study of Fusarium head blight in oats. Soviet agricultural biology. 2019;54(3):575-588. (In Russ.)]. doi: 10.15389/agrobiology.2019.3.575rus.
- Лохов П.Г., Арчаков А.И. Масс-спектрометрические методы в метаболомике // Биомедицинская химия. – 2008. – Т. 54. – № 5. – С. 497–511. [Lokhov PG, Archakov AI. Mass-spectrometric methods in metabolomics. Biomed Chem. 2008;54(5):497-511. (In Russ.)]
- Shulaev V, Cortes D, Miller G, et al. Metabolomics for plant stress response. Physiologia Рlantarum. 2008;132(2):199-208. https://doi.org/10.1111/j.1399-3054.2007.01025.x.
- Hollywood K, Brison DR, Goodacre R. Metabolomics: current technologies and future trends. Proteomics. 2006;6(17):4716-4723. https://doi.org/10.1002/pmic.200600106.
- Shulaev V. Metabolomics technology and bioinformatics. Brief Bioinform. 2006;7(2):128-139. https://doi.org/10.1093/bib/bbl012.
- Harrigan GG, Brackett DJ, Boros LG. Medicinal chemistry, metabolic profiling and drug target discovery: a role for metabolic profiling in reverse pharmacology and chemical genetics. Mini Rev Med Chem. 2005;5(1):13-20. https://doi.org/10.2174/1389557053402800.
- Афонников Д.А., Миронова В.В. Системная биология // Вавиловский журнал генетики и селекции. – 2014. – Т. 18. – № 1. – С. 175–192. [Afonnikov DA, Mironova VV. Systems biology. Vavilov journal of genetics and breeding. 2014;18(1): 175-192. (In Russ.)]
- Schauer N, Fernie AR. Plant metabolomics: towards biological function and mechanism. Trends Plant Sci. 2006;11(10):508-516. https://doi.org/10.1016/j.tplants.2006.08.007.
- Langridge P, Fleury D. Making the most of ‘omics’ for crop breeding. Trends Biotechnol. 2011;29(1):33-40. https://doi.org/10.1016/j.tibtech.2010.09.006.
- Balmer D, Flors V, Glauser G, Mauch-Mani B. Metabolomics of cereals under biotic stress: current knowledge and techniques. Front Plant Sci. 2013;4:82. https://doi.org/10.3389/fpls.2013.00082.
- Смоликова Г.Н., Шаварда А.Л., Алексейчук И.В., и др. Mетаболомный подход к оценке сортовой специфичности семян Brassica napus L. // Вавиловский журнал генетики и селекции. – 2015. – Т. 19. – № 1. – С. 121–127. [Smolikova GN, Shavarda AL, Alekseichuk IV, et al. Metabolic approach to assessing the varietal specificity of seeds of Brassica napus L. Vavilov journal of genetics and breeding. 2015;19(1):121-127. (In Russ.)]
- Žilić S, Šukalović VH, Dodig D, et al. Antioxidant activity of small grain cereals caused by phenolics and lipid soluble antioxidants. J Cereal Sci. 2011;54(3):417-424. https://doi.org/10.1016/j.jcs.2011.08.006.
- Björck I, Östman E, Kristensen M, et al. Cereal grains for nutrition and health benefits: Overview of results from in vitro, animal and human studies in the Healthgrain project. Trends Food Sci Technol. 2012;25(2): 87-100. https://doi.org/10.1016/j.tifs.2011.11.005.
- Khakimov B, Bak S, Engelsen SB. High-throughput cereal metabolomics: current analytical technologies, challenges and perspectives. J Cereal Sci. 2014;59(3): 393-418. https://doi.org/10.1016/j.jcs.2013.10.002.
- Kokubo Y, Nishizaka M, Ube N, et al. Distribution of the tryptophan pathway-derived defensive secondary metabolites gramine and benzoxazinones in Poaceae. Biosci Biotechnol Biochem. 2017;81(3):431-440. https://doi.org/10.1080/09168451.2016.1256758.
- Fernie AR, Schauer N. Metabolomics-assisted breeding: a viable option for crop improvement? Trends Genet. 2009;25(1):39-48. https://doi.org/10.1016/j.tig.2008.10.010.
- Шеленга Т.В., Соловьева А.Е, Шаварда А.Л., и др. Исследование метаболома культур коллекции ВИР им. Н.И. Вавилова // Тезисы докладов международной научной конференции, посвященной 120-летию ВИР. – СПб., 2014. – С. 98. [Shelenga TV, Solov’yeva AE, Shavarda AL, et al. Research of metabolom of crops from N.I. Vavilov’s VIR collection. (Conference proceedings) Tezisy dokladov mezhdunarodnoy nauchnoy konferentsii, posvyashchennoy 120-letiyu VIR. Saint Petersburg; 2014. P. 98. (In Russ.)]
- Родионова Н.А., Солдатов В.Н., Мережко В.Е., и др. Овес. Культурная флора. Т. 2. Ч. 3. / Под ред. В.Д. Кобылянского, В.Н. Солдатова. – М.: Колос, 1994. – 367 с. [Rodionova NA, Soldatov VN, Merezhko VN, et al. Cultivated flora. Oats (Kulturnaya flora. Oves). Vol. 2, Part 3. Ed by V.D. Kobylyansky, V.N. Soldatov. Moscow: Kolos; 1994. 367 p. (In Russ.)]
- Лоскутов И.Г. Овес (Avena L.). Распространение, систематика, эволюция и селекционная ценность. – СПб.: ВИР, 2007. – 336 c. [Loskutov IG. Oat (Avena L.). Distribution, taxonomy, evolution and breeding value. Saint Petersburg: VIR; 2007. 336 p. (In Russ.)]
- Лоскутов И.Г. Разнообразие голозерных форм ячменя и овса и его использование в селекции // Труды по прикладной ботанике, генетике и селекции. – 2009. – Т. 166. – С. 173–177. [Loskutov IG. Raznoobraziye golozernykh form yachmenya i ovsa i ego ispol’zovaniye v selektsii. Works on applied botany, genetics and plant breeding. 2009;166:173-177. (In Russ.)]
- Лоскутов И.Г., Ковалева О.Н., Блинова Е.В. Методические указания по изучению и сохранению мировой коллекции ячменя и овса. Изд. 4-е, доп. и перераб. – СПб.: ВИР, 2012. – 63 с. [Loskutov IG, Kovaleva ON, Blinova EV. Metodicheskiye ukazaniya po izucheniyu i sokhraneniyu mirovoy kollektsii yachmenya i ovsa. 4th revised and updated. Saint Petersburg: VIR; 2012. 63 р. (In Russ.)]
- StatSoft Inc. Electronic Statistics Textbook. Tulsa, OK: StatSoft; 2013. Available from: http://www.statsoft.com/textbook/.
- Section 20.4. The metabolism of glucose 6-phosphate by the pentose phosphate pathway is coordinated with glycolysis. In: Berg JM, Tymoczko JL, Stryer L. Biochemistry. 5th ed. New York; 2002. Available from: https://www.ncbi.nlm.nih.gov/books/NBK22590/.
- Khakimov B, Jespersen BM, Engelsen SB. Comprehensive and comparative metabolomic profiling of wheat, barley, oat and rye using gas chromatography-mass spectrometry and advanced chemometrics. Foods. 2014;3(4): 569-585. https://doi.org/10.3390/foods3040569.
- Bailey PD, Bryans JS. Chiral synthesis of 5-hydroxy-(L)-pipecolic acids from (L)-glutamic acid. Tetrahedron Lett. 1988;29(18):2231-2234. https://doi.org/10.1016/s0040-4039(00)86719-2.
- Abeysekara S, Swaminathan S, Desai N, et al. The plant immunity inducer pipecolic acid accumulates in the xylem sap and leaves of soybean seedlings following Fusarium virguliforme infection. Plant Sci. 2016;243: 105-14. https://doi.org/10.1016/j.plantsci.2015.11.008.
- Sánchez-Martín JA, Heald JI, Kingston-Smith AL, et al. A metabolomic study in oats (Avena sativa) highlights a drought tolerance mechanism based upon salicylate signaling pathways and the modulation of carbon, antioxidant and photo-oxidative metabolism. Plant Cell Environ. 2015;38(7):1434-1452. https://doi.org/ 10.1111/pce.12501.
- Schenck CA, Maeda HA. Tyrosine biosynthesis, metabolism, and catabolism in plants. Phytochem. 2018;149:82-102. https://doi.org/10.1016/j.phytochem.2018.02.003.
- Bhandari K, Nayyar H. Low temperature stress in plants: an overview of roles of cryoprotectants in defense. In: Physiological mechanisms and adaptation strategies in plants under changing environment. New York: Springer; 2014. P. 193-265. https://doi.org/10.1007/978-1-4614-8591-9_9.
- Blanch M, Alvarez I, Sanchez-Ballesta MT, et al. Trisaccharides isomers, galactinol and osmotic imbalance associated with CO2 stress in strawberries. Postharvest Biol Technol. 2017;131:84-91. https://doi.org/10.1016/j.postharvbio.2017.05.008.
- Kaur J, Bhatti DS, Goyal M. Influence of copper application on forage yield and quality of oats fodder in copper deficient soils. Indian J Anim Nutr. 2015;32:290-294.
- Bernardi J, Stagnati L, Lucini L, et al. Phenolic profile and susceptibility to Fusarium infection of pigmented maize cultivars. Front Plant Sci. 2018;9:1189. https://doi.org/10.3389/fpls.2018.01189.
- Pieterse CM, Poelman EH, van Wees SC, Dicke M. Induced plant responses to microbes and insects. Front Plant Sci. 2013;4:475. https://doi.org/10.3389/fpls.2013.00475.
- Seki M, Narusaka M, Ishida J, et al. Monitoring the expression profiles of 7000 Arabidopsis genes under drought, cold and high-salinity stresses using a full-length cDNAmicroarray. Plant J. 2002;31(3):279-292. https://doi.org/10.1046/j. 1365-313x.2002.01359.x.
- Vidigal DS, Willems L, Arkel J, et al. Galactinol as marker for seed longevity. Plant Sci. 2016;246:112-118. https://doi.org/10.1016/j.plantsci.2016.02.015.
- Lahiri A, Chatterjee MA, Ghosh K, Majee M. Diversification and evolution of L-myo-inositol 1-phosphate synthase. FEBS Lett. 2003;553(1-2):3-10. https://doi.org/10.1016/s0014-5793(03)00974-8.
- Шарова Е.И. Антиоксиданты растений. – СПб.: изд-во СПб. ГУ, 2016. – C. 102–118. [Sharova EI. Antioxidants of plants. Saint Petersburg: izd-vo SPb. GU. 2016. Р. 102–118. (In Russ.)]
- Cuperlovic-Culf M, Rajagopalan NK, Tulpan D, Loewen MC. Metabolomics and cheminformatics analysis of antifungal function of plant metabolites. Metabolites. 2016;6(4):31. https://doi.org/10.3390/metabo6040031.
- Yandeau-Nelson MD, Lauter N, Zabotina OA. Advances in metabolomic applications in plant genetics and breeding. CAB Rev. 2015;10(40):1-17. https://doi.org/10.1079/pavsnnr201510040.
Supplementary files








