DNA damage in placenta and embryos of rats exposed to peat smoke; antigenotoxic effects of afobazole
- Authors: Gorbatova D.M1, Zhanataev A.K1, Nemova H.P1, Durnev A.D1
-
Affiliations:
- Zakusov Institute of Pharmacology, Russian Academy of Sciences
- Issue: Vol 14, No 2 (2016)
- Pages: 50-56
- Section: Articles
- Submitted: 27.07.2016
- Published: 15.06.2016
- URL: https://journals.eco-vector.com/ecolgenet/article/view/3602
- DOI: https://doi.org/10.17816/ecogen14250-56
- ID: 3602
Cite item
Full Text
Abstract
Keywords
Full Text
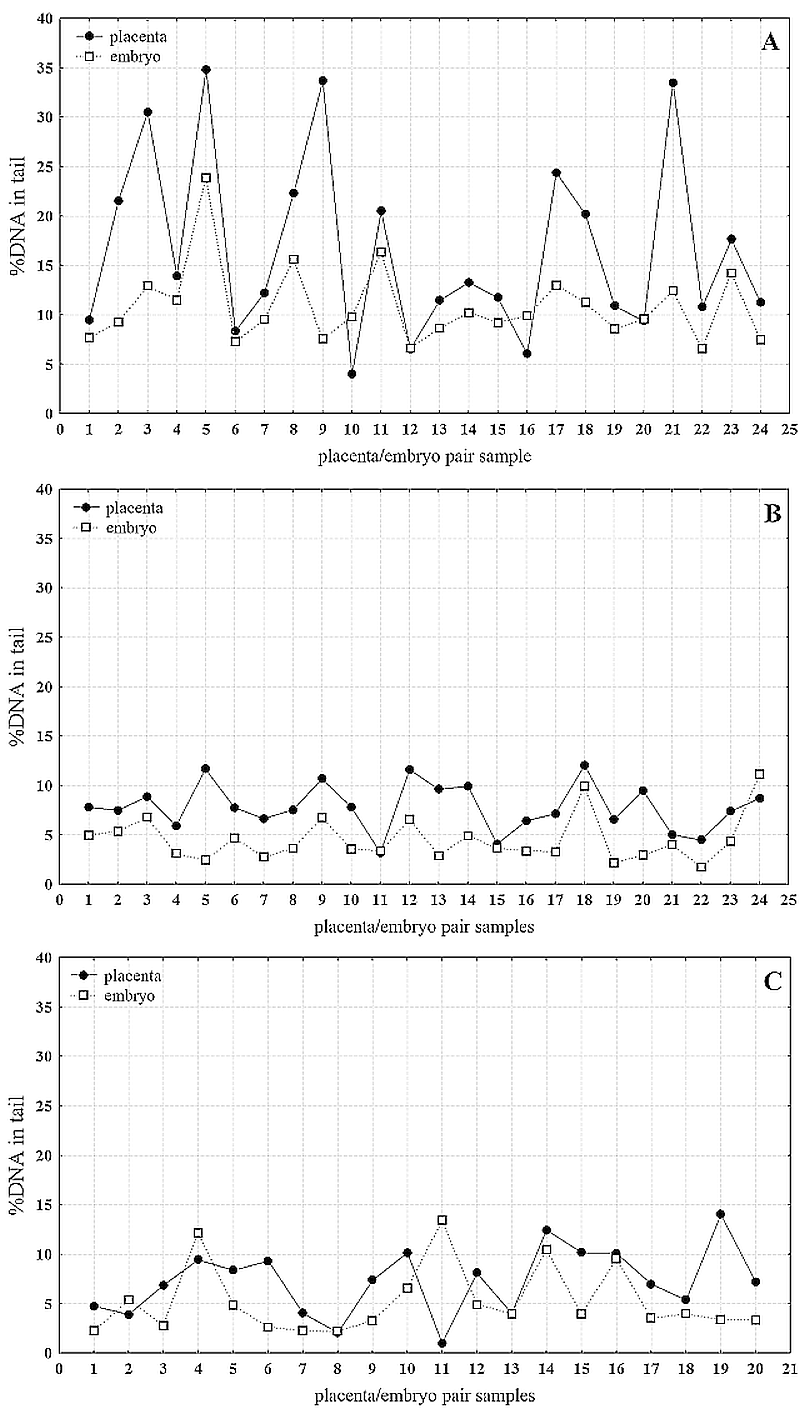
Введение Лесные и торфяные пожары - масштабное биосферное явление, служащие источником загрязнения воздуха сложной смесью продуктов горения растительной биомассы и органических отложений. Различные газы, полидисперсные твердые микро- и наночастицы и летучие органические соединения, образующиеся в этом процессе, рассматриваются как потенциально опасные поллютанты. Их воздействию подвергается все больше людей, поскольку масштабность природных пожаров в районах крупных мегаполисов возрастает, что определяет необходимость разработки соответствующих лечебных и профилактических мер, направленных на предупреждение и купирование патогенетических эффектов экспозиции дымами на здоровье человека [1, 19]. Эпидемиологические исследования свидетельствуют о поражениях дыхательной и сердечно-сосудистой систем, а также возникновении цереброваскулярных, гемостатических и репродуктивных нарушений у лиц, находящихся в зонах задымленности [1, 15]. Вместе с этим открытым остается вопрос о генотоксических эффектах и отдаленных генетически обусловленных последствиях воздействия задымлений. В предыдущих исследованиях было показано, что экспозиция торфяным дымом беременных крыс вызывает эмбриотоксические эффекты и нарушения постнатального развития у потомства. Анксиолитик афобазол, обладающий цитопротекторными, антитератогенными и антимутагенными свойствами, значимо снижал выявленные негативные эффекты [2, 3]. В экспериментах с экспозицией табачным дымом была показана сопряженность эмбриопротекторных и антигенотоксических эффектов афобазола [1]. Целью настоящего исследования явилась оценка поврежденности ДНК в клетках плацент и эмбрионов крыс, подвергнутых принудительной экспозиции торфяным дымом, и возможности их коррекции афобазолом. Материалы и методы Исследования проводили на беспородных белых крысах массой 240-270 г (питомник РАМН «Столбовая»). Животных содержали в условиях вивария ФГБНУ «НИИ фармакологии имени В.В. Закусова» при 12-часовом режиме на стандартном сбалансированном брикетированном корме, со свободным доступом к воде и пище, при естественной освещенности, температуре воздуха 20-21 °С. Все эксперименты проводили в соответствии с международными правилами (European Communities Council Directive of November 24,1986 (86/609/EEC)) и правилами работы с животными, утвержденными этической комиссией ФГБНУ НИИ фармакологии имени В.В. Закусова. Самцов и самок крыс ежедневно вечером ссаживали попарно в отдельные клетки. Утром после ссаживания у каждой крысы брали вагинальный мазок. Ссаживание прекращали при обнаружении сперматозоидов в вагинальных мазках. День обнаружения сперматозоидов рассматривали как первый день беременности. Животных с 1-го по 13-й день беременности подвергали принудительному ингаляционному воздействию торфяного дыма с использованием оригинальной установки в пластиковых камерах объемом 72 дм3. В камеры помещали по 5-6 животных одновременно. Задымление камеры проводили путем вдувания дыма от четырех последовательно сгорающих бумажных гильз (0,46 г каждая), наполненных смесью, состоящей из 70 % торфа и 30 % древесной массы (производитель ООО «Эксторф»). Время сгорания каждой гильзы составляло 6 минут, общий срок экспозиции торфяным дымом - 44 минуты. Афобазол (фармакологическая субстанция, синтезированная в НИИ фармакологии имени В.В. Закусова) в виде водного раствора вводили перорально в дозах 1 и 10 мг/кг ежедневно, непосредственно перед экспозицией торфяным дымом. Интактных животных подвергали аналогичным процедурам без вдувания в камеры торфяного дыма. Каждая группа включала 5-6 животных. На 13-й день беременности через 30 минут после обработки торфяным дымом животных умерщвляли. От каждой самки отбирали по 4 плаценты и 4 эмбриона, каждый из которых разделяли на туловище и голову. Оценку ДНК-повреждений в клетках плаценты и эмбрионов проводили методом ДНК-комет в щелочной версии в соответствии с рекомендациями [1, 16]. Образцы плацент, голов и туловищ эмбрионов помещали в стеклянные пробирки с охлажденным до 4 °С фосфатно-солевым буфером (ФСБ), содержащим 20 mM EDTA-Na2, и 10 % ДМСО [рН 7,5] и тщательно раздавливали тефлоновым пестиком. Пробирки выдерживали 5 минут при комнатной температуре для осаждения крупных фрагментов тканей. Суспензии клеток в объеме 60 мкл вносили в пробирки с 240 мкл 1 % раствора легкоплавкой агарозы в ФСБ, подогретом до 36 °С (микротермостат «Термит», Россия), и ресуспендировали. Затем 60 мкл раствора агарозы с клетками наносили на предварительно покрытые 1 % универсальной агарозой предметные стекла, покрывали покровным стеклом и помещали на лед. На каждый образец плаценты, головы и туловища эмбрионов готовили один микропрепарат (всего 88 микропрепаратов). Далее все операции проводили в затемненном помещении при желтом свете. После затвердевания агарозы (около 5-10 минут) покровные стекла осторожно удаляли, микропрепараты помещали в стеклянную кювету (тип Шиффендекер), заливали предварительно охлажденным до 4 °С лизирующим буфером (10 mM Tris-HCl (pH 10), 2,5 M NaCl, 100 mM EDTA-Na 2,1 % TritonX-100, 10 % ДМСО) и инкубировали 1 час. После микропрепараты переносили в охлажденный до 4 °С буфер для электрофореза (300 mM NaOH, 1 mM EDTA-Na2 (pH > 13)) и инкубировали в течение 20 минут для реализации щелочно-лабильных сайтов и щелочной денатурации ДНК. После микропрепараты переносили в камеру для электрофореза (SubCell GT, Bio-Rad), заполненную свежим охлажденным буфером, и проводили электрофорез в течение 20 минут при напряженности поля 1 V/cm и силе тока ~300 mA. По окончании электрофореза микропрепараты переносили в стеклянную кювету, отмывали в течение 10 мин в ФСБ и фиксировали в 70 % растворе этилового спирта в течение 15 минут. После фиксации микропрепараты высушивали и хранили до анализа при комнатной температуре. Непосредственно перед микроскопированием препараты окрашивали флуоресцирующим красителем SYBR Green I (1 : 10000 в ТЕ-буфере (рН 8,5) с 50 % глицерином) в течение 30 минут в темноте. Цифровые изображения с микропрепаратов получали на эпифлуоресцентном микроскопе Микмед-2 12T («Ломо», Россия), совмещенном с цифровой камерой высокого разрешения (VEC-335, ЭВС, Россия), при увеличении × 200 (рис. 1). С полученных на каждый микропрепарат 10-15 изображений в программной среде CASP 1.2.2 анализировали не менее 100 ДНК-комет. В качестве показателя поврежденности ДНК использовали процентное содержание ДНК в хвосте ДНК-комет (% ДНК в хвосте). Перед статистической обработкой полученных данных выборки в группах проверялись на нормальность и гомогенность дисперсий с использованием критерия Шапиро - Уилка и критерия Барлетта соответственно. Поскольку распределение в группах отличалось от нормального и были выявлены различия в дисперсиях, в соответствии с рекомендуемыми подходами к статистической обработке данных метода ДНК-комет проводили логарифмическое преобразование исходных показателей с последующим анализом с использованием параметрического критерия Даннета (Moller P. et al., 2014). Различия считали статистически значимыми при p < 0,05. Результаты и обсуждение У контрольных животных уровень ДНК-повреждений, оцениваемый по показателю «% ДНК в хвосте», в клетках плаценты составил 3,1 [1, 9; 5, 3] (Median (Q25 %; Q75 %), табл. 1). В клетках головы и туловища эмбрионов оцениваемый показатель зарегистрирован на уровне 2,2 [1, 3; 3, 3] и 2,1 [1, 2; 3, 6] % ДНК в хвосте соответственно. У крыс, подвергнутых воздействию торфяного дыма, выявлено статистически значимое увеличение уровня ДНК-повреждений в исследуемых тканях. В голове и туловище эмбрионов уровень ДНК-повреждений по сравнению с контрольными значениями возрос в 4,4 раза, в плаценте - в 4,1 раза. В группе животных, получавших афобазол в дозе 1 мг/кг, выявлено статистически значимое снижение индуцированных торфяным дымом ДНК-повреждений во всех исследуемых тканях. Генотоксический эффект в голове и плаценте снизился в 2,4-2,6 раза, в плаценте - в 1,7 раза. Антигенотоксические эффекты афобазола при его использовании в дозе 10 мг/кг оказались сходны. Таким образом, установлено, что экспозиция торфяным дымом приводит к индукции повреждений ДНК в клетках плаценты и эмбрионов крыс. Генотоксические эффекты в исследованных тканях оказались сопоставимы, более чем четырехкратное превышение спонтанного уровня ДНК-повреждений. Вместе с тем анализ индивидуальных данных демонстрирует высокую вариабельность выявленных эффектов как между животными, так и между плацентами и эмбрионами одного животного (рис. 2). В большинстве образцов уровень ДНК-повреждений в клетках плаценты оказался выше по сравнению с клетками соответствующего эмбриона. При этом выявлены пары плацента/эмбрион со значимо более выраженным эффектом в клетках плаценты и пары, для которых эти различия минимальны. Наблюдаемые внутрииндивидуальные различия могут быть связаны с так называемым феноменом внутриутробного положения (intrauterine position). Так, была показана более высокая устойчивость эмбрионов, расположенных в срединной части рога матки, к действию ионизирующего излучения, гипоксии и ряда химических агентов [11, 21, 22]. Анализ имеющихся на сегодня экспериментальных данных позволяет предположить три возможных механизма реализации генотоксических эффектов торфяного дыма. Во-первых, экспозиция торфяным дымом может приводить к гипоксическим состояниям матери и эмбрионов, сопровождающимся гиперпродукцией активных форм кислорода (АФК) в клетках и окислительным повреждением ДНК [9, 14]. Во-вторых, торфяной дым содержит значительные концентрации мутагенных и канцерогенных соединений, в первую очередь полициклических ароматических углеводородов (ПАУ), свободно проникающих через плацентарный барьер [10, 20]. В этой связи стоит отметить данные эпидемиологического исследования, в котором была показана связь между уровнем специфических для ПАУ ДНК-аддуктов в клетках материнской и пуповинной крови и риском развития тревожно-депрессивных расстройств в возрасте 6-7 лет [17]. Эти данные являются важным свидетельством в поддержку разрабатываемой концепции патогенетической роли первичных ДНК-повреждений [4] в том числе в нарушениях анте- и постнатального развития. В-третьих, в торфяном дыме содержатся твердые микро- и наночастицы размером от 10 мкм до < 100 нм. Накапливаясь в альвеолах материнского организма, они способны попадать в системный кровоток, преодолевать плацентарный барьер и достигать тканей эмбрионов, проявляя при этом генотоксическую активность посредством активации свободнорадикальных процессов [12, 13]. Очевидно, что генотоксические эффекты торфяного дыма реализуются по нескольким путям одновременно и являются следствием суммарного воздействия всех факторов, в существенной мере реализующих генотоксический потенциал через продукцию генотоксических АФК. Отсюда антигенотоксические свойства афобазола логично объясняются его антирадикальной/антиоксидантной активностью [7, 8]. Связь между генотоксическими поражениями и болезнями хорошо известна [4]. Исследование генотоксических эффектов торфяного дыма является важным для разработки мер и средств профилактики отдаленных патогенетических проявлений. В настоящем исследовании установлено, что антимутаген афобазол снижает индуцируемые экспозицией торфяным дымом ДНК-повреждения в клетках плаценты и эмбриональных тканей крыс. Афобазол, как было показано выше, не демонстрировал per se генотоксических свойств ни в одном из предъявленных тестов, в том числе в тесте ДНК-комет в эмбриональных тканях [2, 3]. Протекторные эффекты афобазола оказались сходны для обеих использованных доз и исследованных тканей - 53-60 % снижение уровня индуцированных ДНК-повреждений. Анализ индивидуальных данных демонстрирует меж- и внутрииндивидуальные различия. Важно отметить, что для части эмбрионов наблюдалось снижение уровней ДНК-повреждений до спонтанного уровня. Таким образом, полученные в настоящем исследовании данные свидетельствуют о генотоксических эффектах в плаценте и эмбрионах крыс, подвергнутых экспозиции торфяным дымом. Анксиолитик афобазол, обладающий антимутагенными свойствами, снижает повреждения ДНК, индуцируемые торфяным дымом во всех исследованных тканях. При этом важно, что защитный эффект проявляется в том числе при использовании препарата в дозе 1 мг/кг, соответствующей терапевтической для человека [8]. В совокупности с данными предыдущих исследований [2, 3] вышеприведенные результаты определяют перспективность применения афобазола в качестве средства защиты от негативных эффектов торфяного дыма.About the authors
Dinara M Gorbatova
Zakusov Institute of Pharmacology, Russian Academy of Sciences
Email: pharmacevt07@mail.ru
Researcher, Laboratory of Drug Toxicology, a group of reproductive toxicity
Aliy K Zhanataev
Zakusov Institute of Pharmacology, Russian Academy of Sciences
Email: pharmacol@yandex.ru
Leading Researcher, Ph.D, Laboratory of Pharmacology and mutagenesis
Helena P Nemova
Zakusov Institute of Pharmacology, Russian Academy of Sciences
Email: nemova_elena@mail.ru
senior researcher, PhD, Laboratory of Drug Toxicology, a group of reproductive toxicity
Andrey D Durnev
Zakusov Institute of Pharmacology, Russian Academy of Sciences
Email: food2003@yandex.ru
Corresponding Member. Russian Academy of Sciences, Doctor of Medical Sciences, Professor, Laboratory of Pharmacology and mutagenesis; Laboratory of Drug Toxicology, a group of reproductive toxicity
References
- Добрых В.А., Захарычева Т.А. Дым лесных пожаров и здоровье // Дальневосточный государственный медицинский университет (Хабаровск). - 2009. - С. 201 [Dobrykh VA, Zakharycheva TA. Smoke from wildfires and health. Public Educational Institution of Higher Professional Training Dalnevostochny state medical university. 2009:201. (In Russ).]
- Горбатова Д.М., Литвинова С.А., Дурнев А.Д., и др. Протективное влияние афобазола на потомство крыс, подвергнутых действию торфяного дыма // Бюллетень экспериментальной биологии и медицины. - 2014. - Т. 158. - С. 614-619. [Gorbatova DM, Litvinov SA, Durnev AD, et al. Afobazole protects rats exposed to peat smoke in utero. Bulletin of experimental biology and medicine. 2014;158:614-619 (In Russ, Eng).]. doi: 10.1007/s10517-015-2830-z.
- Горбатова Д.М., Немова Е.П., Соломина А.С., и др. Пренатальные эффекты продуктов сгорания торфа и их коррекция афобазолом у потомства крыс // Бюллетень экспериментальной биологии и медицины. - 2014 - Т. 158. - С. 604-608. [Gorbatova DM, Nemov EP, Solomina AS, et al. Prenatal effects of peat combustion products and afobazole correction thereof in the rat progeny. Bulletin of experimental biology and medicine. 2014;158:604-608 (In Russ, Eng).]. doi: 10.1007/s10517-015-2829-5.
- Дурнев А.Д., Жанатаев А.К., Шредер О.В., и др. Генотоксические поражения и болезни // Молекулярная медицина. - 2013. - № 3. - С. 3-19. [Durnev AD, Zhanataev AK, Schröder OW, et al. Genotoxic events and diseases. Molecular medicine. 2013;(3):3-19 (In Russ).].
- Дурнев А.Д., Соломина А.С., Жанатаев А.К., и др. Влияние афобазола на генотоксические эффекты табачного дыма в плаценте и в тканях эмбрионов крыс // Бюллетень экспериментальной биологии и медицины. - 2010. - Т. 149. - С. 286-289. [Durnev AD, Solomina AS, Zhanataev AK, et al. Effect of afobazole on genotoxic effects of tobacco smoke in the placenta and embryonic tissues of rats. Bulletin of experimental biology and medicine. 2010; (149):286-289 (In Russ, Eng).]
- Дурнев А.Д., Меркулов В.А., Жанатаев А.К., и др. Методические рекомендации по оценке ДНК-повреждений методом щелочного гель-электрофореза отдельных клеток в фармакологических исследованиях: Руководство по проведению доклинических исследований лекарственных средств. - Часть первая. - М.: Гриф и К, 2012. - С. 115-128. [Durnev AD, Merkulov VA, Zhanataev AK, et al. Methodical recommendations for DNA damage evaluation in pharmacological studies using alkaline single-cell gel electrophoresis. Guidelines for pre-clinical drug studies. Part one. Moscow, 2012; 115-128 (In Russ).].
- Разумная Ф.Г., Камилов Ф.Х., Капулер О.М., и др. К фармакологии афобазола // Фундаментальные исследования. - 2014. - № 7. - С. 848-855. [Razumnaja FG, Kamilov FKh, Kapuler OM, et al. To the pharmacology of Afobazole. Basic researches. 2014;(7):848-855 (In Russ).].
- Незнамов Г.Г., Сюняков Т.С., Золотов Н.Н., и др. Терапевтическое влияние анксиолитиков феназепама и афобазола на содержание малонового диальдегида в плазме крови и психическое состояние больных с тревожными расстройствами // Психические расстройства в общей медицине. - 2014. - № 2. - С. 40-47. [Neznamov GG, Syunyakov TS, Zolotov NN, et al. Therapeutic influence of anksiolitik of a fenazepam and Afobazole on the content of low-new dialdehyde in plasma of blood and a mental condition of patients with disturbing frustration. Mental disorders in the general medicine. 2014;(2):40-47 (In Russ).].
- Al-Gubory KH, Fowler PA, Garrel C. The roles of cellular reactive oxygen species, oxidative stress and antioxidants in pregnancy outcomes. Int J Biochem Cell Biol. 2010;42:1634-1650. doi: 10.1016/j.biocel.2010.06.001.
- Bojakowska I, Sokołowska G. Polycyclic aromatic hydrocarbons in materials of burned peatlands. Polish J of Environmental Studies. 2003;12(4):401-408.
- Cornwall GA, Carter MW, Bradshaw WS. The relationship between prenatal lethality or fetal weight and intrauterine position in rats exposed to diethylstilbestrol, zeranol, 3,4,3’,4’-tetrachlorobiphenyl, or cadmium. Teratology. 1984;30(3):341-349. doi: 10.1002/tera.1420300306.
- Hougaard KS, Campagnolo L, Chavatte-Palmer P, et al. A perspective on the developmental toxicity of inhaled nanoparticles. Reprod Toxicol. 2015;56:118-140. doi: 10.1016/j.reprotox.2015.05.01.
- Kim Y, Tong H, Daniels M, et al. Cardiopulmonary toxicity of peat wildfire particulate matter and the predictive utility of precision cut lung slices. Particle and Fibre Toxicology. 2014;11:29. doi: 10.1186/1743-8977-11-29.
- Kimura C, Watanabe K, Iwasaki A, et al. The severity of hypoxic changes and oxidative DNA damage in the placenta of early-onset preeclamptic women and fetal growth restriction. J Matern Fetal Neonatal Med. 2013;26(5):491-496. doi: 10.3109/14767058.2012.733766.
- Liu JC, Pereira G, Uhl SA, et al. A systematic review of the physical health impacts from non-occupational exposure to wildfire smoke. Environ Res. 2015;136:120-132. doi: 10.1016/j.envres.2014.10.015.
- OECD Guidelines for the Testing of Chemicals, Section 4/ Test No. 489: In Vivo Mammalian Alkaline Comet Assay., 2014. doi: 10.1787/9789264224179-en.
- Perera FP, Tang D, Wang S, Vishnevetsky J, et al. Prenatal polycyclic aromatic hydrocarbon (PAH) exposure and child behavior at age 6-7 years. Environ Health Perspect. 2012;120(6):921-926.
- Møller P, Loft S. Statistical analysis of comet assay results. Front Genet. 2014,5:292. doi: 10.3389/fgene.2014.00292.
- Popovicheva O, Kistler M, Kireeva E, et al. Physicochemical characterization of smoke aerosol during large-scale wildfires: Extreme event of August 2010 in Moscow. Atmospheric Environment. 2014; 96:405-414. doi: 10.1016/j.atmosenv.2014.03.026.
- Tozuka Y, Watanabe N, Osawa M, et al. Transfer of polycyclic aromatic hydrocarbons to fetuses and breast milk of rats exposed to diesel exhaust. J Health Sci. 2004;50:497-502. doi: 10.1248/jhs.50.497.
- Ward WF, Aceto HJr, Karp CH. The effect of intrauterine position on the radiosensitivity of rat embryos. Teratology. 1977;16(2):181-186. doi: 10.1002/tera.1420160212.
- Woollam DH, Millen JW. Influence of uterine position on the response of the mouse embryo to anoxia. Nature. 1962;194:990-991. doi: 10.1038/194990a0.
Supplementary files







