The expansin gene NtEXPA5 increases stress tolerance of tobacco hairy roots through an effect on the antioxidant system
- Authors: Kuluev B.R.1,2, Musin K.G.1, Yakupova A.B.1,2
-
Affiliations:
- Institute of Biochemistry and Genetics – Subdivision of the Ufa Federal Research Centre of the Russian Academy of Sciences
- Bashkir State University
- Issue: Vol 19, No 1 (2021)
- Pages: 5-12
- Section: Genetic basis of ecosystems evolution
- Submitted: 20.09.2020
- Accepted: 30.12.2020
- Published: 15.03.2021
- URL: https://journals.eco-vector.com/ecolgenet/article/view/44618
- DOI: https://doi.org/10.17816/ecogen44618
- ID: 44618
Cite item
Abstract
BACKGROUND: Expansins are non-enzymatic proteins involved in the softening of cell walls, the mechanism of action of which is associated with the weakening and breaking of hydrogen bonds between xyloglucans and cellulose microfibrils and is aimed at ensuring cell expansion.
THE AIM of our work was to obtain hairy roots of tobacco with constitutive expression of the NtEXPA5 expansin gene, their morphometric analysis and assessment of the state of their antioxidant system in response to stress factors.
MATERIALS AND METHODS: The hairy roots were obtained from transgenic tobacco plants expressing the NtEXPA5 gene under the control of the 35S promoter.
RESULTS: Constitutive expression of the NtEXPA5 gene promoted an increase in the length and dry weight of hairy roots both under normal conditions and under the action of salinity, copper sulfate, cadmium acetate, and mannitol. Both under normal conditions and under the action of stress factors in transgenic hairy roots, an increase in the activity of superoxide dismutase and the total antioxidate activity was recorded.
CONCLUSION: Expansins exert their positive effect on the productivity and stress tolerance of plants not only through their influence on cell expansion, but also through the effect on the antioxidant system.
Full Text
INTRODUCTION
Expansins are non-enzymatic proteins involved in the cell wall softening. Their mechanism of action is associated with the weakening and breaking of hydrogen bonds between xyloglucans and cellulose microfibrils [1]. An increased expression of expansins assists in improving root growth by stimulating cell expansion [2, 3]. There are numerous data evidencing the participation of expansins in stress resistance reactions [4–6]. Previously, we created transgenic plants of Nicotiana tabacum with the constitutive expression of the NtEXPA5 expansin gene [7]. The resulting plants were characterized by an increase in leaf and stem sizes. However, we also revealed a high-level expression of this gene in the roots of wild type (WT) tobacco [6]; moreover, transgenic plants overexpressing the NtEXPA5 gene were characterized by an improved root growth under both normal conditions and the influence of stress factors [3]. The obtained data suggest that expansins can also promote growth in hairy roots (HRs) cultures, which are a promising biotechnological system for producing valuable secondary metabolites and recombinant proteins. Changes in the environment composition, temperature, and similar aspects can adversely affect the cultures of HRs in biotechnological production; therefore, the creation of both highly productive and stress-resistant HRs is very relevant and crucial. Earlier, a higher-level expression of the NtEXPA5 gene was revealed in the HRs of tobacco, compared to ordinary roots [8], further indicating the importance of its protein product for growing HRs.
In view of this observation, the objective of this study is to obtain the HRs of tobacco with the constitutive expression of the NtEXPA5 gene, as well as conduct their morphometric analysis and assessment of their antioxidant system condition under the influence of stress factors. It was assumed that the NtEXPA5 transgene will enhance the productivity and stress resistance of the HRs, which may be accompanied by changes in the components of the antioxidant system.
RESEARCH METHODS
Previously obtained seeds of transgenic tobacco plants 35S::NtEXPA5, Petit Havana cultivar, line SR1, generation T2 with a single copy of the transgene were sterilized in 75% ethanol (~30 s) and 2.5% sodium hypochlorite (~5 min). Then, they were washed with sterile distilled water five times and planted in Petri dishes with selective (200 mg/L of hygromycin), solid (7 g/L of agar) Murashige and Skoog (MS) nutrient medium (0.5 MS salt, 14 g/L of sucrose, 60 mg/L of inositol, 2 mg/L of glycine, 1 mg/L of thiamine, and 1 mg/L of nicotinic acid). After 20 days, the seedlings of equal size, free from morphological anomalies, were planted in a mixture of soil and vermiculite (3:1, respectively). The plants were grown in 500-ml vegetative pots at an air temperature of 24 ± 1°C, an illumination of 120 μmol/m2s, and a photoperiod of 16 h.
HR cultures were created from the leaf explants of two-month-old plants using the A4 strain Agrobacterium rhizogenes. Agrobacteria were preliminarily grown in the liquid selective LB medium (100 mg/L of rifampicin). The explants of tobacco leaves were sterilized using 75% ethanol solution (~1 min) and 2% sodium hypochlorite solution (~8 min). The leaf explants and agrobacteria were co-cultivated on the solid (7 g/L agar) MS medium (1 MS of salt, 28 g/L of sucrose, 120 mg/L of inositol, 2 mg/L of glycine, 1 mg/L of thiamine, and 1 mg/l of nicotinic acid) for three days at a temperature of +26°C. Thereafter, the leaf explants were transferred into a solid MS medium comprising an antibiotic (100 mg/l of cefotaxime). All HRs formed on explants in the fragments of 1.5–2-cm long were placed in separate Petri dishes with the MS medium and kept at an air temperature of 24 ± 1°C in the dark. Pre-selection was performed to select the most actively and steadily growing roots. After two months of cultivation on the selective MS medium, fragments of HRs together with the apical meristem (~1.2 cm long) were transplanted onto the fresh MS medium. The lines of HRs created from non-transgenic N. tabacum plants, cv. Petit Havana, line SR1, were used as a control line. These lines were used to draw conclusions about the transgene effects.
DNA from HRs was isolated by a standard method using cetyltrimethylammonium bromide [9]. To confirm the transgenicity of the created HRs, the classical method of polymerase chain reaction (PCR) was used with the primers CGTATGTTATTGCCGGGAAAAGTG and CAGAACATTACATTGACGCAGGTGAT matched to the uidA (GUS) reporter gene.
The total RNA from HRs was isolated using trizole, and the first strand of cDNA was synthesized using an oligo (dT)-primer and M-MuLV reverse transcriptase (RT) (NEB, USA). The primers TGGTGCAATCCCCCTCTC and GACATTGTTTGCCATCCAGTATTA were used for RT-PCR of the NtEXPA5 gene. The EF-1α gene from N. tabacum (AF120093.1) was used as a reference gene, and primers GAATTGGTACTGTCCCTGTT and TTGCCAATCTGTCCTGAAT were used for its amplification. Semi-quantitative RT-PCR for both genes was performed at the temperature of 94°C for 1 min, then at 94°C for 30 s, 53°C for 30 s, 72°C for 1 min for 30 cycles, and the final elongation was done at 72°C for 5 mins. For each experiment, three control and experimental plants were used (n = 3).
The HRs of tobacco were subjected to the stress effects with 150 mM of NaCl, 100 µM of CuSO4, 100 µM of Cd (CH3COO)2, and 75 mM of mannitol in the agar medium MS in vitro. The intensity of stress conditions was selected during preliminary studies with respect to the HRs of tobacco without the NtEXPA5 transgene in such a way that it slowed growth significantly (up to 20 times), but caused the death of no more than 10% of root samples. The morphometric analysis included the measurement of the average gain in the length of the HRs on the day 30 of cultivation. The average gain was calculated as the ratio of the sum of elongation of all HRs to the number of roots. The dry weight gain of the roots was also analyzed for assessing productivity. Because the initial dry weight of the root fragments was very low (no more than 1 mg), it was decided to neglect the same. To measure the dry weight, HRs were dried in a dry heat oven at 105°C for 16 h. All tests were performed in 64 biological replicates (n = 64). The significance of differences was tested with respect to the control variant of HRs without the NtEXPA5 transgene according to Duncan’s test [10].
For the biochemical analysis of stress-mediated changes in the antioxidant system, HR cultures were grown for 30 days under stress conditions. The activity of enzymatic systems was expressed in mg of total soluble protein. The total antioxidant activity (TAA) was calculated per 1 g of fresh weight of HRs. All biochemical studies for determining the antioxidant system activity were performed in 15 biological replicates (n = 15). The significance of differences was calculated with respect to HRs without the NtEXPA5 transgene (control variant) in accordance with Duncan’s test [10].
To determine the activity of superoxide dismutase (SOD), we used a method based on the ability of SOD to compete with nitroblue tetrazolium for superoxide anions [11]. The peroxidase activity was determined by the ability of guaiacol to polymerize to tetraguaiacol [12]. The catalase activity was determined by the rate of degradation of hydrogen peroxide molecules [13]. The TAA was evaluated on methanol (80%) extracts by the reduction of Mo(VI) to Mo(V) at an acidic pH [14]. The total soluble protein content was determined by the Bradford protein assay [15].
STUDY RESULTS
Part 1 of the work was focused on selecting a small number of HR lines with an increased expression of the NtEXPA5 gene. For morphometric analysis, 6 from 24 lines of HRs were selected, which we designated as E1–E6. All these six lines showed the highest level of transcriptional activity of the NtEXPA5 transgene. Under normal conditions, the transgenic HRs grew in length faster by 38% on an average for all lines than the control variants (WT). Under the action of sodium chloride, the transgenic HRs also showed a better growth than the WT by 28% on average for all the lines (Fig. 1, a). Only the E1 line HRs grew in length more slowly than the control. Under conditions of environmental pollution caused by copper sulfate, transgenic HRs also showed a better growth than the WT by 36% on an average for all the lines (Fig. 1, a). On the medium with cadmium acetate, all lines of transgenic HRs were longer than in the control on an average by 39%. Under the action of 75 mM of mannitol, the transgenic HRs were also longer than the control variants by an average of 39% (Fig. 1, a).
Fig 1. Morphometric analysis of hairy roots with the constitutive expression of the NtEXPA5 gene: a – root gain in length over 30 days of cultivation; b – dry weight of roots after 30 days of cultivation. WT – wild type (control), Е1–Е6 – HRs lines. Asterisks indicate significant differences from the control according to the Duncan’s test (p < 0.05)
Thus, the HRs of tobacco, overexpressing the NtEXPA5 gene, grow in length faster than the WT both under normal conditions and under stress. However, the productivity of the HR lines, which may not correlate with their growth in length, is the most interesting feature. Their dry weight most fully reveals the production of biomass of HRs. Under normal conditions, all transgenic lines, except for E3, accumulated greater dry weight than the WT (Fig. 1, b). On average, the difference with control was 33% for all lines. Under the conditions of salinity with sodium chloride, all lines of transgenic HRs gained 50% more dry weight on an average for all lines. Under the action of CuSO4, the dry weight of the transgenic HRs was higher than the control variants by an average of 49%. Under conditions of cadmium contamination, the HRs of 35S::NtEXPA5 grew better than the WT by 296% on an average for all the lines. Under the action of mannitol, the dry weight of the transgenic HRs was even higher and exceeded the control values by 390% on an average for all lines (Fig. 1, b).
The obtained data indicate that the HRs of 35S::NtEXPA5 are characterized by both increased productivity and a greater stress resistance as compared to WT HRs. The mechanisms of the participation of expansins in ensuring plant growth in general are already known; however, it is not yet entirely clear how exactly they affect stress resistance. With an increase in stress resistance, the components of the antioxidant system should undoubtedly be affected. Therefore, the task was set to determine the activity of SOD, catalase, peroxidase, and the TAA in the HRs under normal conditions and the action of stress factors. HRs E1, E4, and E6 lines were randomly selected for these experiments.
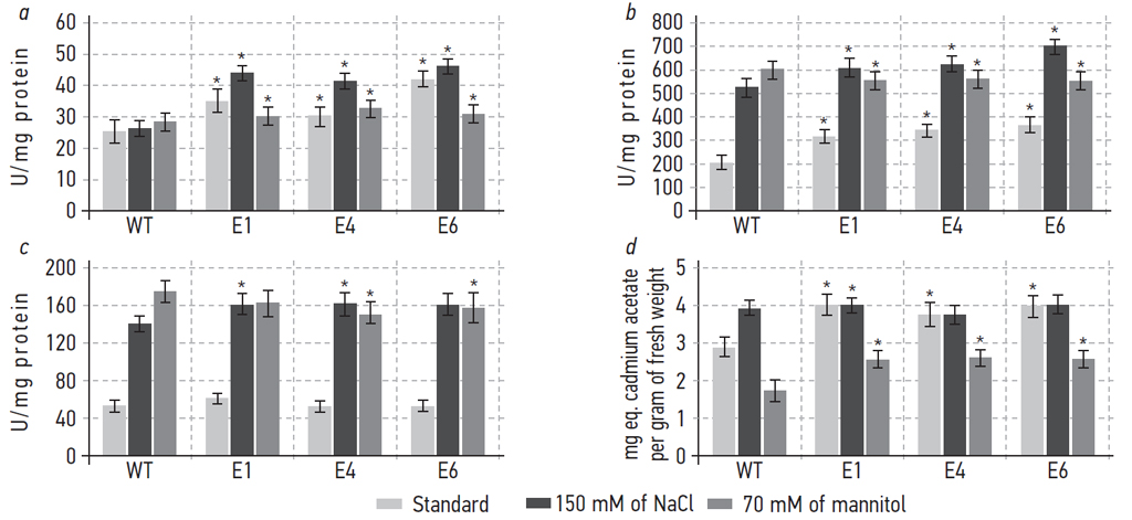
Under normal conditions, the HRs of 35S::NtEXPA5 differed from the control variants in the increased activity of SOD, catalases, and general antioxidant activity (Figs. 2, a, b, d). Transgenic HRs did not differ from WT only in peroxidase activity (Fig. 2, c). Under conditions of salinity with sodium chloride, all lines of transgenic HRs were characterized by an increase in the activity of SOD and catalases. An increase in the peroxidase activity over the control was distinctive only for E1 and E4 lines (Fig. 2, c). Under the action of 75 mM of mannitol, an increased activity of SOD and TAA was registered in all the analyzed lines as compared with the control (Figs. 2, a, d). In this case, the catalase activity in the transgenic lines was, on the contrary, lower than the control.
Fig. 2. Analysis of the antioxidant system of hairy root cultures with the constitutive expression of the NtEXPA5 gene: a – superoxide dismutase activity; b – catalase activity; c – peroxidase activity; d – total antioxidant activity. Asterisks indicate significant differences from the control according to the Duncan’s test (p < 0.05)
DISCUSSION
The constitutive expression of the NtEXPA5 gene promoted an increase in the biomass of HRs under both normal conditions and stress. The greatest difference with the control was revealed under the action of cadmium and mannitol (Fig. 1, b). The literature presents data on an increase in the resistance of the HRs of the peanut Arachis hypogaea overexpressing the expansin gene AdEXLB8 to nematodes Meloidogyne arenaria [16]. However, apparently, to date, the effects of the constitutive expression of expansin genes on the resistance of HRs to abiotic stress factors have not been studied. At the same time, the works were conducted on increasing the stress resistance of HRs using a number of other transgenes. For example, N. tabacum HRs transgenic for two peroxidase genes (tpx1 and tpx2) had an increased resistance to phenol [17]; in fact, the introduction of the GmBIN2 protein kinase gene into soybean HRs increased their resistance to salt and water deficit [18]. These works indicate the relevance of our research on the creation of stress-resistant HRs. Thus, the expansin genes can be used to increase the productivity of HRs and their stress resistance.
Under normal conditions, the HRs of 35S::NtEXPA5 were characterized by an increase in the activity of SOD, catalases, as well as an increase in the general antioxidant activity (Fig. 2). That is, the transgenic HRs were initially ready to grow better than the control under the influence of stress factors. Earlier, using transgenic tobacco plants as an example, it was demonstrated that the overexpression of the TaEXPB23 gene contributes to an increase in the peroxidase activity [19]. However, in transgenic HRs of 35S::NtEXPA5, the peroxidase activity did not increase either under normal conditions or under stress (Fig. 2). In contrast, under the action of mannitol, the activity of peroxidases in the studied HRs decreased. Another work by the same authors described transgenic tobacco plants expressing the TaEXPB23 gene under the control of a root-specific promoter [20]. In this case, the authors have already obtained data on an increased activity of SOD and catalases in the roots of transgenic plants, which coincides generally with our results. This coincidence may be attributed to the special aspects of the manifestation of expansin transgenes in plant roots.
Upon salinization, the HRs of 35S::NtEXPA5 were characterized by an increase in the growth rate, dry weight, antioxidant enzyme activity, and TAA. Similar data were obtained by C. Jadamba et al. [21] on transgenic plants, which showed that overexpression of the rice gene OsEXPA7 contributes to an increase in salt tolerance, a decrease in the amount of reactive oxygen species (ROS), and an increase in the TAA.
Under the action of mannitol, the HRs of 35S::NtEXPA5 were characterized by an increase in the growth rate, dry weight, as well as SOD and TAA activity. It is well known that mannitol, like polyethylene glycol, causes a water deficit in plants [20, 22]. It was previously revealed that the overexpression of the TaEXPA2 expansin gene promotes an increase in resistance to water deficit in both transgenic tobacco plants [22] and transgenic common wheat plants [23]. Moreover, these transgenic plants were characterized by a decreased content of ROS as well as an increase in the activity of a number of antioxidant enzymes and TAA.
The overall effect of constitutive expression of the NtEXPA5 gene under both normal conditions and the action of stress factors was an increase in the SOD and TAA activities in all analyzed HRs lines. Our results, together with the literature data, suggest that expansins exert their positive effect on plant productivity and stress resistance not only through their effect on cell expansion, but also through their effect on the antioxidant system. Most probably, the aspects of the effect of expansins on the antioxidant activity are associated with the regulation of growth in the general network of cell signaling. For example, in our study, only the peroxidase activity did not increase under the influence of NtEXPA5 expansin. Indeed, there is evidence of a negative effect of peroxidases on cell expansion due to the stimulation of lignification [24]; therefore, expansins and peroxidases can act as antagonists in growth regulation. However, at the same time, a very intriguing question remains unanswered. What is the specific mechanism of the effect of cell wall proteins (expansins) that are known mainly only as the regulators of cell expansion, on the antioxidant system?
ADDITIONAL INFORMATION
Funding. The work was performed within the state assignment (No. AAAA-A19-119021190011-0) with the support of grants from the President of the Russian Federation (No. MD-2304.2020.4) and the Russian Foundation for Basic Research (No. 18-04-00118 A).
Conflict of interest. The authors declare no conflict of interest.
About the authors
Bulat R. Kuluev
Institute of Biochemistry and Genetics – Subdivision of the Ufa Federal Research Centre of the Russian Academy of Sciences; Bashkir State University
Author for correspondence.
Email: kuluev@bk.ru
ORCID iD: 0000-0002-1564-164X
SPIN-code: 8580-5347
Scopus Author ID: 23094029400
ResearcherId: N-3927-2016
Dr. Sci. (Biol.)
Russian Federation, 71 October Av., 450054 Ufa; UfaKhalit G. Musin
Institute of Biochemistry and Genetics – Subdivision of the Ufa Federal Research Centre of the Russian Academy of Sciences
Email: khalit.musin@yandex.ru
ORCID iD: 0000-0001-7336-2027
SPIN-code: 8966-4290
ResearcherId: P-2298-2017
Junior Researcher, Laboratory of Plant Genomics
Russian Federation, 71 October Av., 450054 UfaAlfira B. Yakupova
Institute of Biochemistry and Genetics – Subdivision of the Ufa Federal Research Centre of the Russian Academy of Sciences; Bashkir State University
Email: alfiram@yandex.ru
SPIN-code: 1480-4353
Scopus Author ID: 36344236800
Cand. Sci. (Biol.)
Russian Federation, 71 October Av., 450054 Ufa; UfaReferences
- Cosgrove DJ. Plant expansins: diversity and interactions with plant cell walls. Curr Opin Plant Biol. 2015;25:162–172. doi: 10.1016/j.pbi.2015.05.014
- Lin C, Choi HS, Cho HT. Root hair-specific EXPANSIN A7 is required for root hair elongation in Arabidopsis. Mol Cell. 2011;31:393–397. doi: 10.1007/s10059-011-0046-2
- Kuluev BR, Berezhneva ZA, Mikhaylova EV, Chemeris AV. Growth of transgenic tobacco plants with changed expression of genes encoding expansins under the action of stress factors. Russian Journal of Plant Physiology. 2018;65(2):211–221. doi: 10.1134/S1021443718020036
- Zhao MR, Li F, Fang Y, et al. Expansin-regulated cell elongation is involved in the drought tolerance in wheat. Protoplasma. 2011;248:313–323. doi: 10.1007/s00709-010- 0172-2
- Xu Q, Xu X, Shi Y, et al. Transgenic tobacco plants overexpressing a grass PpEXP1 gene exhibit enhanced tolerance to heat stress. PLOS One. 2014;8: e100792. doi: 10.1371/journal.pone.0100792
- Kuluev BR, Avalbaev AM, Mikhaylova EV, et al. Expression profiles and hormonal regulation of tobacco expansin genes and their involvement in abiotic stress response. J Plant Physiol. 2016;206:1–12. doi: 10.1016/j.jplph.2016.09.001
- Kuluev BR, Safiullina MG, Knyazev AV, Chemeris AV. Effect of ectopic expression of NtEXPA5 gene on cell size and growth of organs of transgenic tobacco plants. Rus J Devel Biol. 2013;44:28–34. doi: 10.1134/S1062360413010049
- Gumerova GR, Chemeris AV, Nikonorov YuM, Kuluev BR. Morphological and molecular analysis of isolated cultures of tobacco adventitious roots obtained by the methods of biolistic bombardment and Agrobacterium-mediated transformation. Russian Journal of Plant Physiology. 2018;65(5):740–749. doi: 10.1134/S1021443718050072
- Rogers SO, Bendich AJ. Extraction of DNA from milligram amounts of fresh, herbarium and mummified plant tissues. Plant Mol Biol. 1985;5(2):69–76. doi: 10.1007/BF00020088
- Duncan DB. Multiple range and multiple F-test. Biometrics. 1955;11:1–5. doi: 10.2307/3001478
- Chevari S, Chaba I, Sekei I. Rol’ superoksiddismutazy v okislitel’nykh protsessakh kletki i metod opredeleniya ee v biologicheskikh materialakh. Laboratornoe delo. 1985;(11):678–681. (In Russ.)
- Ermakov AI, Arisimovich VV, Yarosh NP. Metody biokhimicheskogo issledovaniya rastenii. A.I. Ermakova, ed. 3 izd., pererab. i dop. Leningrad: Agropromizdat; 1987. 430 p.
- Panchuck II, Volkov RA, Schoff F. Heat stress and heat shock transcription factor-depend expression and activity of ascorbate peroxidase in Arabidopsis. Plant Physol. 2002;129:838–853. doi: 10.1104/pp.001362
- Boestfleisch C, Wagenseil NB, Buhmann AK, et al. Manipulating the antioxidant capacity of halophytes to increase their cultural and economic value through saline cultivation. AoB Plants. 2014;(13):6–12. doi: 10.1093/aobpla/plu046
- Bradford MM. A rapid and sensitive method for the quantitation of microgram quantities of protein utilizing the principle of protein-dye binding. Anal Biochem. 1976;72:248–254. doi: 10.1006/abio.1976.9999
- Guimaraes LA, Pereira BM, Araujo ACG, et al. Ex vitro hairy root induction in detached peanut leaves for plant-nematode interaction studies. Plant Methods. 2017;13:25. doi: 10.1186/s13007-017-0176-4
- Sosa ALG, Agostini E, Medina MI. Antioxidant response of tobacco (Nicotiana tabacum) hairy roots after phenol treatment. Plant Physiol Biochem. 2011;49(9):1020–1028. doi: 10.1016/j.plaphy.2011.07.009
- Wang L, Chen Q, Xin D, et al. Overexpression of GmBIN2, a soybean glycogen synthase kinase 3 gene, enhances tolerance to salt and drought in transgenic Arabidopsis and soybean hairy roots. J Integr Agric. 2018;17(9):1959–1971. doi: 10.1016/S2095-3119(17)61863-X
- Han Y, Chen Y, Yin S, et al. Over-expression of TaEXPB23, a wheat expansin gene, improves oxidative stress tolerance in transgenic tobacco plants. J Plant Physiol. 2015;173:62–71. doi: 10.1016/j.jplph.2014.09.007
- Li AX, Han YY, Wang X, et al. Root-specific expression of wheat expansin gene TaEXPB23 enhances root growth and water stress tolerance in tobacco. Environ Exp Bot. 2015;110:73–84. doi: 10.1016/j.envexpbot.2014.10.002
- Jadamba C, Kang K, Paek NC, et al. Overexpression of rice expansin 7 (Osexpa 7) confers enhanced tolerance to salt stress in rice. Int J Moc Sci. 2020;21(2):454. doi: 10.3390/ijms21020454
- Chen Y, Han Y, Zhang M, et al. Overexpression of the wheat expansin gene TaEXPA2 improved seed production and drought tolerance in transgenic tobacco plants. PLoS One. 2016;11(4): e0153494. doi: 10.1371/journal.pone.0153494
- Yang J, Zhang G, An J, et al. Expansin gene TaEXPA2 positively regulates drought tolerance in transgenic wheat (Triticum aestivum L.). Plant Sci: Int J Exp Plant Biol. 2020;298:110596. doi: 10.1016/j.plantsci.2020.110596
- Passardi F, Penel C, Dunand C. Performing the paradoxical: how plant peroxidases modify the cell wall. Trends in Plant Sci. 2004;9(11):534–540. doi: 10.1016/j.tplants.2004.09.002
Supplementary files






