Transcription activity of genes taking part in Colorado potato beetle diapause regulation and its changes under the fipronil impact
- Authors: Nikonorov Y.M.1, Syrtlanova L.A.1, Kitaev K.A.2, Benkovskaya G.V.1
-
Affiliations:
- Ufa Scientific Center of RAS
- FGBU Bashkirskiy referentniy centr Rosselhoznadzora
- Issue: Vol 14, No 3 (2016)
- Pages: 56-63
- Section: Articles
- Submitted: 14.11.2016
- Published: 15.09.2016
- URL: https://journals.eco-vector.com/ecolgenet/article/view/5483
- DOI: https://doi.org/10.17816/ecogen14356-63
- ID: 5483
Cite item
Full Text
Abstract
Background. The peculiarities of transcription activity of genes taking part in Colorado potato beetle diapause regulation have been investigated under the laboratory conditions in winter diapause initiation phase and in the middle of winter.
Materials and Methods. Excerpt of summer generation (2015 year.) adults divided in active and inactive individuals in groups treated or untreated by fipronil in sublethal concentration (0.0001% a.i.) in the diapause initiation and maintenance phases. Quantitative real-time PCR used for comparing evaluation of transcription activity in muscles and gonads tissues for genes DP1, fer, DAT1, DAT2, EcR, Ldace-1 and rdl.
Results. In gonads of active adults unlike the quiescent ones detected presence of rdl subunit of GABA-А receptor mRNA. In the middle of diapause maintenance phase in fipronil-treated adults revealed the increasing of mRNA content in muscles and gonads for genes of reserve proteins DP1, defensive proteins DAT1, DAT2, ferritin fer, gene of ecdysone receptor EcR and gene coding the acetylcholinesterase Ldace-1.
Conclusion. The assumption advanced about the fipronil blocking the GABA-receptor binding thereby has significant impact to regulation processes accompanying the development of diapause states.
Full Text
Введение
Успех исследований генетической основы адаптациогенеза во многом зависит от выбранного объекта, и мы полагаем, что такой моделью может служить широко известный вид насекомого-фитофага — колорадский картофельный жук Leptinotarsa decemlineata Say [1]. Для этого вида характерна не только способность к быстрому формированию устойчивости к инсектицидам, обеспеченная высоким уровнем генетического полиморфизма, но и значительный уровень полифенизма в отношении форм покоя — диапаузных состояний [2, 3]. Для вида установлено наличие сезонных форм покоя, запрограммированных и обусловленных фотопериодической реакцией (проспективная диапауза), а также способность к быстрому развитию диапаузного состояния при резком неожиданном изменении условий, в частности при интенсивном воздействии инсектицидов — конзекутивная диапауза.
Формирование диапаузы у насекомых может проходить с участием нескольких различных механизмов, что выражается как разнообразие экспрессионных профилей генов, ассоциируемых с диапаузными состояниями у разных видов насекомых [3, 4]. Мониторинг экспрессии ряда генов, в число которых входят гены, кодирующие запасные белки (DP1), белки, обеспечивающие устойчивость к отдельным неблагоприятным факторам среды (DAT2, DAT3), позволил установить глубину диапаузных состояний в популяциях колорадского жука на территории Северной Америки [3]. Такие данные дают основание для долгосрочного прогноза развития и динамики численности популяций и, соответственно, для выбора стратегии и тактики контроля численности фитофага.
Наступление глубокого длительного покоя в период зимней гибернации у колорадского жука предваряется периодом репродуктивной диапаузы. Как в природных условиях, так и в лабораторных культурах у взрослых насекомых может сохраняться двигательная активность, у колорадского жука даже отмечено неоднократное спаривание, однако откладка яиц не наступает. Наши исследования [5] показали, что для популяций колорадского жука на территории Южного Урала наступление репродуктивной диапаузы у самок характеризуется остановкой развития ооцитов на стадии превителлогенеза, несмотря на присутствие в семяприемниках запаса спермы.
В лабораторных условиях на протяжении зимнего периода имаго способны формировать диапаузное состояние, при котором прекращается питание и снижается подвижность, т. е. внешние поведенческие реакции соответствуют фазе поддержания диапаузы [2, 3, 6]. Регуляция индукции диапаузы у L. decemlineata осуществляется с преимущественным вкладом фоторецепторной сигнальной системы [2]. Неотъемлемой частью фоторецепторной системы являются рецепторы гамма-аминомасляной кислоты (ГАМК, GABA). Кодирующие их субъединицы гены экспрессируются в органах зрения и в соответствующих зонах центральной нервной системы у всех животных, в том числе и у насекомых [7]. Можно предположить, что у насекомых, жизнь которых регулируется рядом фотопериодических реакций, экспрессия генов, кодирующих компоненты этих рецепторов, возможна не только в фоторецепторных органах, но и в тканях органов, для которых фотопериодический сигнал определяет переход от одного состояния к другому. Нас интересует, имеет ли отношение ГАМК-сигнальная система к регуляции репродуктивной диапаузы у колорадского жука. Для ответа на этот вопрос мы выясняли, как меняется транскрипционная активность генов, участвующих в регуляции диапаузы — запасных белков DP1и ферритина fer [8], белков, ответственных за устойчивость в период диапаузы (DAT1, DAT2), гена рецептора экдизона, регулирующего репродуктивные процессы (EcR), гена, кодирующего фермент ацетилхолинэстеразу (Ldace-1), активность которой характеризует функциональное состояние нейроэндокринной системы насекомых, и гена rdl, кодирующего субъединицу Rdl — компонент рецептора GABA, участвующего в передаче фотосигнала в тканях гонад и мышцах имаго в период инициации диапаузы (ИД) и в середине января, когда у большинства насекомых определяется фаза поддержания диапаузы (ПД). Кроме того, проведено сравнение между контрольными группами самок и самцов и группами особей, в конце сентября перенесших топикальную обработку сублетальной дозой фипронила, неконкурентного ингибитора ионотропного канала, образованного рецептором GABA типа А, связывающегося с аллостерическим сайтом субъединицы Rdl.
Материалы и методы
Лабораторная культура колорадского жука представлена выборкой (общий объем 450 особей) имаго летней генерации 2014 года, собранной на частной плантации картофеля в августе. Насекомых в лабораторных условиях содержали на свежем корме при естественном свете до конца сентября, после чего их поместили в условия полной темноты. Затем в ходе эксперимента с использованием направленного освещения были выделены группы активных и неактивных самок и самцов. Фотосигнал, использованный как фактор инициации таксиса, позволяет выделить в лабораторной культуре группы активных (подвижных) и неактивных (не реагирующих на направленный свет) особей за короткое время — не более 15 минут при яркости 120 лк. Для них (в трехкратной повторности, по 3 особи из каждой группы) определена транскрипционная активность перечисленных генов (оценка числа копий мРНК для каждого гена) относительно референсного гена домашнего хозяйства rp4 [9] методом количественной ПЦР в режиме реального времени [10]. Повторный аналогичный эксперимент проводили в контрольной группе (36 имаго) и в группе особей (38 имаго), обработанных фипронилом в концентрации 0,0001 % (1 мкл/особь, нанесение микрошприцем МШ-1 в выемку на вентральной стороне проторакса), через 4 месяца, в конце января 2015 года.
Выделение РНК проводили на льду из объединенных для трех имаго мышц торакса или гонад, извлеченных и промытых в растворе Рингера, с использованием набора РНК-Экстран («Синтол») в соответствии с протоколом производителя. Оценку активности ацетилхолинэстеразы (АХЭ) по Эллману в гемолимфе, взятой из спинного сосуда имаго, и определение концентрации белка по методу Бредфорда осуществляли для каждой особи в 5 мкл гемолимфы/100 мкл трис-НСl экстрагирующего буфера рН 7,2 по вышеописанным методикам [11]. Статистическую обработку с применением теста Манна – Уитни для оценки значимости различий данных по экспрессии генов между группами особей и критерия Стьюдента для оценки биохимических данных, а также графическую обработку данных проводили с использованием программ Excel. Для удобства сопоставления экспрессии генов на графических иллюстрациях показано не просто рассчитанное относительно референсного гена число копий мРНК (поскольку оно сильно различается для отдельных генов), а отношение расчетного числа копий мРНК в тканях гонад к аналогичному показателю для тканей мышц либо отношение этих показателей между группами, обработанных фипронилом, и необработанных особей.
Результаты и обсуждение
Детальные исследования группы американских ученых под руководством профессора Джорджа Йокума позволили разработать способ определения фазы диапаузного состояния для особей колорадского жука, успешно апробированный на природных популяциях США [3, 6]. Ими предложена таблица по уровню экспрессии нескольких генов, ассоциированных с диапаузой, — генов пищеварительных протеиназ DG1 и DG2 и нескольких запасных белков (DP1, DAT1, DAT2, DAT3). Наши результаты позволяют расширить представление об изменениях в транскрипционной активности генов диапаузных белков и генов, участвующих в регуляции фотопериодической реакции, на разных этапах диапаузы имаго колорадского жука в лабораторных условиях.
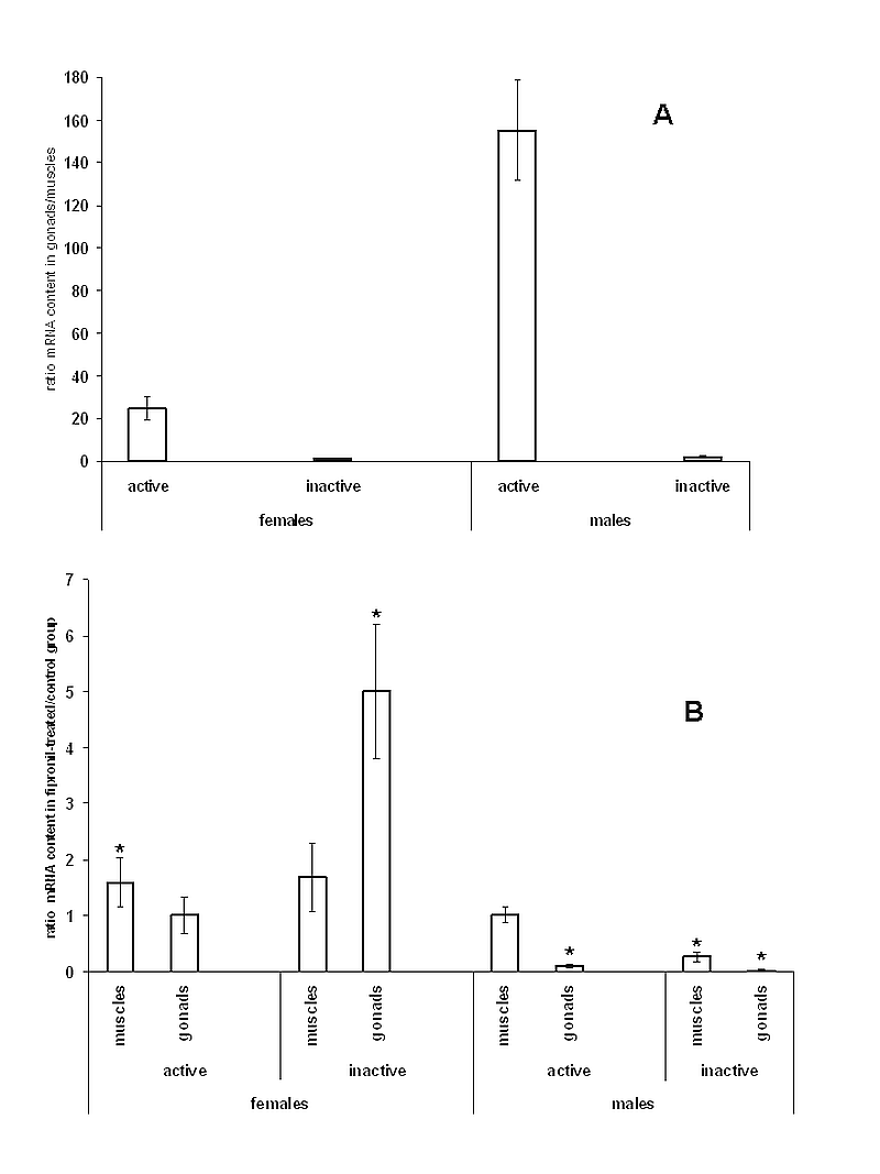
К сожалению, полное сопоставление с данными G. Yocum et al. [3, 6] невозможно, поскольку в работе американских коллег не было проведено разделение по полу, а для выделения РНК были использованы тотальные гомогенаты. Тем не менее наши результаты во многом согласуются с результатами этой группы. Содержание мРНК генов DP1, DAT1, DAT2, DAT3 и Ld EcR в гонадах самок и самцов колорадского жука выше, чем в мышечной ткани, и в фазе инициации диапаузы оно повышается относительно референсного гена rp4 в сравнении с активными в данное время особями. Однако копийность мРНК перечисленных выше генов отличается на порядки, и поэтому в качестве показателя, характеризующего транскрипционную активность диапаузирующих и активных особей и в то же время удобного для его графической демонстрации, мы приняли отношение числа копий мРНК в гонадах и мышцах.
Соотношение уровня содержания мРНК гена DP1 в тканях гонад и мышц насекомых, определенного в начале диапаузы, оказалось выше для самок (рис. 1). Согласно определительной таблице наступления фаз диапаузы [3] неактивные самки уже находились к моменту эксперимента в фазе инициации диапаузы, тогда как в остальных группах этот процесс только начинался (у самок) либо еще не начался (у самцов вне зависимости от двигательной активности).

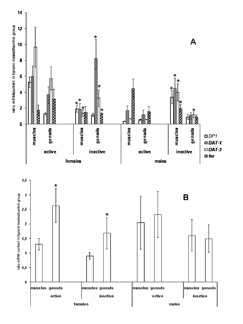
Гены DAT заметно сильнее экспрессированы в гонадах самок, особенно у неактивных особей, вступивших в период формирования диапаузы. Сравнивая наши результаты с предложенной для мониторинга диапаузного состояния таблицей экспрессии генов [3], мы подтвердили то, что проходящие период подготовки к диапаузе особи находились в фазе ИД независимо от степени их активности. В середине периода покоя в соответствии с данными G. Yocum et al. [3, 6] неактивные особи находились в фазе ПД, тогда как у подвижных особей отмечалась незавершенная фаза ИД. Следует отметить, что во всех случаях разница между самками и самцами очень существенна. По-видимому, именно эти различия лежат в основе многообразия паттернов экспрессии генов, ассоциируемых с диапаузой колорадского жука, выявленного ранее [3, 6]. Сопоставление транскрипционной активности генов, ассоциируемых с наступлением диапаузы (рис. 2, а), в группах обработанных фипронилом особей показало повышенное содержание мРНК, особенно заметное у неактивных имаго. Интересные данные получены для гена EcR, не включенного G. Yocum et al. [3, 6] в число ассоциируемых с диапаузой (рис. 2, b). Тест Манна – Уитни позволил выявить достоверное повышение содержания мРНК гена EcR у обработанных особей. Следует подчеркнуть, что для самок в обеих группах отмечено значимо более высокое содержание мРНК в гонадах. Для самцов различия между тканями не были существенными. Усиленная транскрипционная активность в тканях репродуктивных органов позволяет предположить, что такое изменение — компонент стрессового ответа на воздействие ксенобиотика. Сходные изменения экспрессии гена экдизонового рецептора при токсическом стрессе, вызванном действием ряда ароматических инсектицидов, были обнаружены у представителя отряда двукрылых, Chironomus riparius [12, 13]. Фипронил, нарушающий работу всей нейроэндокринной системы не только у насекомых, но и у позвоночных [14–16], способен в малых дозах давать эффекты повышения плодовитости у комнатной мухи [11]. Такое проявление стресс-реакции позволяет считать выявленные нами изменения дифференциальной экспрессии гена EcR закономерным проявлением токсического стресса.

При сравнении реакции на направленное освещение в сентябре в группе самок доля неактивных особей составляла 40,6 %, а в группе самцов — 50 %. В январе в контрольных группах доля неактивных особей достигла 85 %, тогда как среди обработанных фипронилом особей неактивные особи составляли не более 38 %.
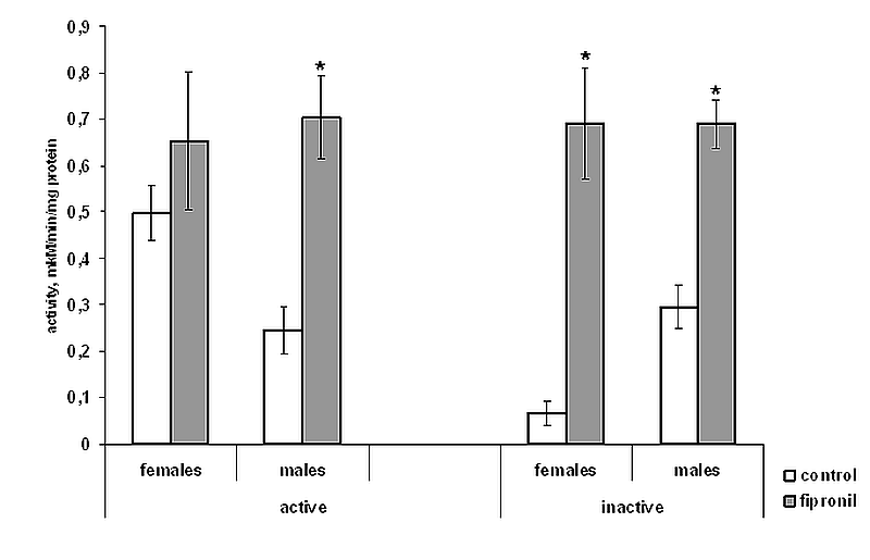
При переходе к глубокой диапаузе на фазе ее поддержания интенсивность метаболизма снижается. Меняется тип газообмена, подавляются процессы обмена, секреции и экскреции, снижается интенсивность работы нейроэндокринной системы, что было показано для многих видов насекомых, в том числе и для колорадского жука [4, 17–19]. Признанным маркером этих процессов является активность фермента ацетилхолинэстеразы — важного компонента холинергических синапсов и одновременно участника метаболизма стероидов [20]. Содержание мРНК гена Ldace-1у диапаузирующих особей колорадского жука из контрольных групп также понижено.
Внешние признаки диапаузы у неактивных имаго после обработки фипронилом сохранились, однако при оценке активности ацетилхолинэстеразы у всех обработанных особей зарегистрирована индукция (рис. 3) с превышением значений для контрольных групп в 1,5–5 раз. Транскрипционная активность гена Ldace-1 у этих имаго также превышала значения для контрольных групп. Эти результаты свидетельствуют о повышенной функциональной активности нейроэндокринной системы, что не соответствует представлению о состоянии глубокой диапаузы.

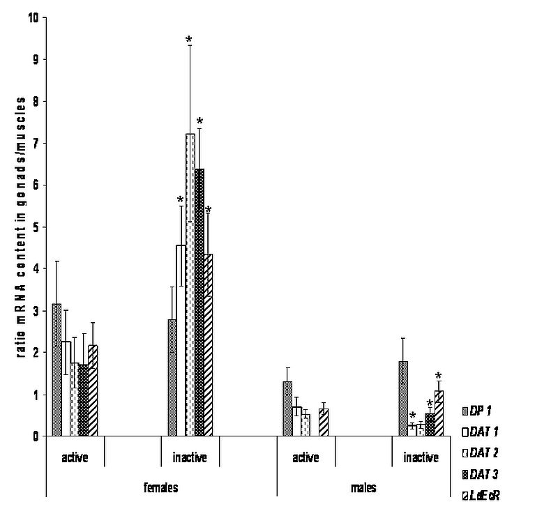
До последнего времени о рецепторах GABA было известно, что в основном они экспрессируются в нейронах оптических долей мозга насекомых [14] аналогично их роли в ЦНС позвоночных [21], принимая участие в циркадианной регуляции нейронной активности. Экспрессия гена rdl в репродуктивных органах имаго колорадского жука, выявленная нами как повышенное содержание мРНК rdl в гонадах активных особей, еще не вступивших в фазу формирования диапаузы (рис. 4, а), резко снижается при переходе к фазе ИД, в сентябре наступившей у неактивных особей. В фазе поддержания диапаузы у активных самцов в гонадах содержание мРНК rdl снижается более чем в 40 раз, у активных самок — в 12 раз, у неактивных особей это снижение не так заметно. Изменения транскрипционной активности гена rdl у особей, обработанных фипронилом, имеют четко выраженные гендерные особенности (рис. 4, b). У самцов отмечено резкое снижение содержания мРНК, тогда как для самок этого не наблюдалось. Эти данные позволяют нам предположить, что такие различия могут быть обусловлены особенностями гормонального баланса самок и самцов, обусловливающими различия в ответе генома на нарушения работы ионных каналов [22].

Снижение транскрипционной активности гена rdl в ответ на действие фипронила может быть вызвано связыванием субъединицы Rdl с фипронилом, сопровождающимся конформационными изменениями рецептора, в результате чего активируется гипотетический супрессор, ингибирующий транскрипцию гена. Эта реакция характерна не только для фипронила. Показано, что и другие ксенобиотики также связываются с субъединицей рецептора, снижая уровень экспрессии как у насекомых, так и у теплокровных [23]. В частности, установлено, что у Anopheles gambiae эта субъединица является мишенью также для пиретроидов и неоникотиноидов [24], а кроме того, отмечено связывание с этим аллостерическим сайтом как у насекомых, так и у теплокровных барбитуратов и стероидов [14, 25]. Полученные результаты позволяют выдвинуть предположение о том, что фипронил, ингибируя связывание GABA с рецептором, тем самым значительно изменяет регуляторные процессы, сопровождающие развитие диапаузных состояний. Повышенная экспрессия целого ряда генов является, по-видимому, компенсаторной реакцией на действие фипронила. Высокая активность АХЭ в гемолимфе у обработанных особей маркирует чрезмерную активность нейроэндокринной системы, не соответствующую состоянию диапаузы. Повышенная транскрипционная активность генов может привести к чрезмерному расходованию энергетических ресурсов и понизить жизнеспособность в период диапаузы, что подтверждается полученными нами ранее данными [26].
Благодарности. Работа поддержана грантом РФФИ № 15-04-04801-а.
Авторы заявляют об отсутствии конфликта интересов.
About the authors
Yuri M. Nikonorov
Ufa Scientific Center of RAS
Author for correspondence.
Email: nikonorov@anrb.ru
Senior researcher, Laboratory of molecular biology and nanobiotechnology. Institute of Biochemistry and Genetic Russian Federation
Liana A. Syrtlanova
Ufa Scientific Center of RAS
Email: slian4ik@mail.ru
Post-graduate student, Laboratory of physiological genetics. Institute of Biochemistry and Genetics Russian Federation
Konstantin A. Kitaev
FGBU Bashkirskiy referentniy centr Rosselhoznadzora
Email: cordek@ya.ru
Entomologist, Laboratory of phytosanitary research Russian Federation
Galina V. Benkovskaya
Ufa Scientific Center of RAS
Email: bengal2@yandex.ru
Leading researcher, Laboratory of physiological genetics. Institute of Biochemistry and Genetics Russian Federation
References
- Lehman P, Piironen S, Kankaret M, et al. Photoperiodic effects on diapause-associated gene expression trajectories in European Leptinotarsa decemlineata populations. Insect Mol Biol. 2014;23(5):566-578. doi: 10.1111/jmb.12104.
- Саулич А.Х. Сезонное развитие насекомых и возможности их расселения. — СПб.: Изд-во СПбГУ, 1999. — 248 с. [Saulich AH. The seasonal development of insects and the possibility of resettlement. Saint Petersburg: Izdatelstvo SpbGU; 1999: 248 p. (In Russ.)]
- Yocum GD, Rinehart JP, Larson ML. Monitoring diapause development in the Colorado potato beetle, Leptinotarsa decemlineata, under field conditions using molecular biomarkers. J Insect Physiol. 2011;57(5):645-652. doi: 10.1016/j.jinsphys.2010.11.008.
- Denlinger DL. Regulation of diapause. Ann Rev Entomol. 2002;47:93-122. doi: 10.1146/annurev.ento.
- 091201.145137.
- Беньковская Г.В. Стресс-реакция как механизм реализации адаптивного потенциала особей и популяций насекомых: Дис. … д-ра биол. наук. — Уфа: ИБГ УНЦ РАН, 2008. [Benkovskaya GV. Stress reaction as a mechanism of realization for adaptive potential of individuals and populations of insects. [dissertation]. Ufa: IBG UCS RAS; 2008. (In Russ.)]
- Yocum GD, Rinehart JP, Chirumamilla-Chapara A, Larson ML. Characterization of gene expression patterns during the initiation and maintenance phases of diapause in the Colorado potato beetle, Leptinotarsa decemlineata. J Insect Physiol. 2009;55:32-39. doi: 10.1016/j.jinsphys.2008.10.003.
- Enell L, Hamasaka Y, Kolodziejczyk A, Nässel DR. Gamma-Aminobutyric acid (GABA) signaling components in Drosophila: immunocytochemical localization of GABA(B) receptors in relation to the GABA(A) receptor subunit RDL and a vesicular GABA transporter. J Comp Neurol. 2007;505(1):18-31. doi: 10.1002/cne.21472.
- Pham DQD, Winzerling JJ. Insect ferritins: typical or atypical? Biochim Biophys Acta. 2010;1800(8):824-833. doi: 10.1016/j.bbagen.2010.03.004.
- Shi XQ, Guo WC, Wan PJ, et al. Validation of reference genes for expression analysis by quantitative real-time PCR in Leptinotarsa decemlineata (Say). BMC Research Notes. 2013;6:93. doi: 10.1186/1756–0500–6–93.
- Livak KJ, Schmittgen TD. Analysis of relative gene expression data using real-time quantitative PCR and the 2-∆∆CT method. METHODS. 2001;25:402-408. doi: 10.1006/meth.2001.1262.
- Беньковская Г.В., Мустафина Р.Ш. Влияние светового режима на биохимические показатели развития стресс-реакции в линиях Musca domestica L. с различной продолжительностью жизни // Журнал эволюционной биохимии и физиологии. — 2012. — Т. 48. — № 5. — С. 433–438. [Benkovskaya GV, Mustafina RSh. Effect of light regime on biochemical parameters of development of stress-reactions of Musca domestica lines with different lifespan. Zhurnal evolyutsionnoi biohimii i physiologii. 2012;48(5):433-438. (In Russ., Eng.)]. doi: 10.1134/S0022093012050027.
- Planello R, Martinez-Guitarte JL, Morcillo G. The endocrine disruptor bisphenol A increases the expression of Hsp70 and ecdysone receptor genes in the aquatic larvae of Chironomus riparius.Chemosphere. 2008;71(10):1870-1876.
- doi: 10.1016/j.chemosphere.2008.01.033.
- Planello R, Herrero O, Martinez-Guitarte JL, Morcillo G. Comparative effect of butyl benzyl phthalate (BBP) and di(2-ethylhexyl) phthalate (DEHP) on the aquatic larvae of Chironomus riparius based on gene expression assays related to the endocrine system, the stress response and ribosomes. Aquat Toxicol. 2011;105(1-2):62-70.
- doi: 10.1016/j.aquatox.2011.05.011.
- Buckingham SD, Biggin PC, Sattelle BM, et al. Insect GABA receptors: splicing, editing, and targeting by antiparasitics and insecticides. Mol Pharmacol. 2005;68:942-951. doi: 10.1124/mol.105.015313.
- Wang RL, Bencic D, Villeneuve DL, et al. A transcriptome-based biological framework for studying mechanisms of endocrine disruption in small fish species. Aquat Toxicol. 2010;98(3):230-244. doi: 10.1016/j.aquatox.2010.02.021.
- Roques BB, Leghait J, Lacroix MZ, et al. The nuclear receptors pregnane X receptor and constitutive androstane receptor contribute to the impact of fipronil on hepatic gene expression linked to thyroid hormone metabolism. Biochem Pharmacol. 2013;86(7):997-1039. doi: 10.1016/j.bcp.2013.08.012.
- Тыщенко В.П., Кинд Т.В. Нейроэндокринные механизмы регуляции сезонных циклов // Гормональная регуляция развития насекомых. — Л.: Наука, 1983. — Глава 5. — С. 82–117. [Tyshchenko VP, Kind TV. Neuroendocrine mechanisms of regulation of seasonal cycles. Leningrad: Nauka. Chapter 5, Hormonal regulation of insect development; 1983. P. 82-117.
- Kubrak OI, Kučerova I, Theopold U, Nässel DR. The sleeping beauty: how reproductive diapause affects hormone signaling, metabolism, immune response and somatic maintenance in drosophila melanogaster. PLoS One. 2014;9(11):e 113051. doi: 10.1371/journal. pone. 0113051.
- Kumar A, Congiu L, Lindström L, et al. Sequencing, De Novo assembly and annotation of the Colorado potato beetle, Leptinotarsa decemlineata, transcriptome. PLoS One. 2014;9(1): e86012. doi: 10.1371/journal. pone. 0086012.
- Xu WH, Lu YX, Denlinger DL. Cross-talk between the fat body and brain regulates insect developmental arrest. PNAS. 2012;109(36). doi: 10.1073/pnas.1212879109.
- Ehlen JC, Paul KN. Regulation of light’s action in the mammalian circadian clock: role of the extrasynaptic GABAA receptor. Am J Physiol Regul Integr Comp Physiol. 2009;296(5):1606-1612. doi: 10.1152/ajpregu.90878.2008.
- De Loof A. The essence of female-male physiological dimorphism: differential Ca2+-homeostasis enabled by the interplay between farnesol-like endogenous sesquiterpenoids and sex-steroids? The calcigender paradigm. Gen Comp Endocrinol. 2015;211:131-146. doi: 10.1016/j.ygcen.2014.12.003.
- Wei Q, Wu SF, Niu CD, et al. Knockdown of the ionotropic γ-aminobutyric acid receptor (GABAR) RDL gene decreases fipronil susceptibility of the small brown planthopper, Laodelphax striatellus(Hemiptera: Delphacidae). Arch Insect Biochem Physiol. 2015;88(4): 249-261. doi: 10.1002/arch.21232.
- Taylor-Wells J, Brooke BD, Bermudez I, Jones AK. The neonicotinoid imidacloprid and the pyrethroid deltamethrin are antagonists of the insect Rdl GABA receptor. J Neurochem. 2015;135(4):705-7013. doi: 10.1111/jnc.13290.
- Impagnatiello F, Pesold C, Longone P, et al. Modifications of gamma-aminobutyric acid A receptor subunit expression in rat neocortex during tolerance to diazepam. Mol Pharmacol. 1996;49(5):822-831. PMID: 8622632.
- Беньковская Г.В., Китаев К.А., Удалов М.Б. Успех переживания экспериментальной диапаузы и резистентность к инсектицидам в популяциях колорадского жука / Экология, эволюция и систематика животных: материалы международной научно-практической конференции. Ноябрь 13–16, 2012; Рязань, с. 45–46. [Benkovskaya GV, Udalov MB, Kitaev KA. The success of survival under experimental diapause and insecticide resistance in Colorado beetle populations in the South Urals. Ecologia, evoliyutsia I sistematika zhivotnyh [conference proceedings]. 2012 November 13-16. Ryazan. P. 45-46. (In Russ.)]
Supplementary files









