DNA methylation in early mice embryogenesis under the influence of bisphenol A
- Authors: Noniashvili E.M.1, Grudinina N.A.1, Kustova M.E.1, Tran V.2,3, Suchkova I.O.1, Pavlinova L.I.1, Sasina L.K.1, Dergacheva N.I.1, Sofronov H.A.1, Patkin E.L.1
-
Affiliations:
- Institute of Experimental Medicine RAS
- Voronezh State University
- Russia-Vietnam research and technological centre
- Issue: Vol 15, No 3 (2017)
- Pages: 42-53
- Section: Genetic toxicology
- Submitted: 27.05.2017
- Accepted: 08.09.2017
- Published: 15.09.2017
- URL: https://journals.eco-vector.com/ecolgenet/article/view/6408
- DOI: https://doi.org/10.17816/ecogen15342-53
- ID: 6408
Cite item
Full Text
Abstract
Background. Nonsteroid estrogen – bisphenol A (BPA) can have a detrimental effect on human health, and therefore poses a potential threat to humans. The critical window for the effect of BPA is the time of early development of the embryo, especially during the activation of the embryonic genome during development to the stage of blastocyst. Therefore, it is especially important to understand how DNA methylation is modified in embryos of the earliest developmental period under the influence of BPA.
Materials and methods. Mice hybrids F1 (CBAXC57BL) were once administered 0, 8 mg of BPA per mouse and the level of DNA methylation was estimated by detection the fluorescence of antibodies against 5-MeC in nuclei of GD3 and GD9 embryos. In other series, the level of DNA methylation and the rate of blastocyst development were estimated following cultivation of one- and two cells embryos in the presence of BPA (50 or 100 µM) during 72-96 hours in vitro.
Results. BPA exposure induced the decrease of the level of DNA methylation in GD3embryos received toxicant in utero, the amount of blastomeres in these embryos was decreased too. The level of DNA methylation in GD9 embryos was slightly higher than in control group. Upon cultivation of one-two cells embryos, BPA decreased the level of DNA methylation and the rate of embryos development to blastocyst stage.
Conclusion. We have determined that early embryogenesis is highly sensitive period to the BPA effects. Such effect is most likely due to active reprogramming processes in this period, primarily related to DNA demethylation/methylation de novo of both the whole genome and individual genes.
Full Text
Введение
Нестероидный эстроген — токсин бисфенол А (БФА) присутствует повсеместно в окружающей среде, включая различные пищевые контейнеры, стоматологические герметики и композиты [1–4]. Воздействие его на человека, как сейчас установлено, может оказывать вредный эффект на здоровье людей и поэтому представляет потенциальную угрозу для человека. В любой момент времени в организме человека циркулирует 0,2–20 нг/мл этого агента [5, 6], даже в сыворотке крови и в амниотической жидкости доношенных плодов обнаруживается присутствие БФА [7, 8]. Установлено, что БФА даже в низких, экологически релевантных дозах влияет на репродуктивные органы млекопитающих и оказывает воздействие на раннее развитие организма, а также на постнатальное развитие [9, 10].
Многочисленными исследованиями показано, что БФА влияет на мейоз в яичниках, ускоряет переход фолликулов, снижает качество ооцитов на животных моделях и у женщин, подвергающихся экстракорпоральному оплодотворению, ослабляет пролиферацию эндометрия матки, снижает восприимчивость к матке и увеличивает невозможность имплантации [11, 12]. Его действие на развивающийся организм в значительной степени определяется количеством БФА, которое получает эмбрион, и временем его воздействия. В исследованиях на эмбрионах мышей было показано, что наномолярные концентрации БФА ускоряют развитие эмбрионов на стадии восьми клеток и стадии бластоцисты, тогда как более высокие количества действуют противоположным образом [13, 14]. Как показали исследования на животных, воздействуя на зародыши в матке в ранний период развития, БФА вызывает во взрослом организме широкий спектр вредных эффектов, включая ожирение, ухудшение половой дифференциации, нарушение развития мозга [15–19], измененное поведение и иммунные реакции, которые могут быть трансгенерационно переданы будущим поколениям [20, 21]. Имеются данные, что у человека воздействие БФА может провоцировать развитие сердечно-сосудистых заболеваний [22], диабета [23], ожирения [24, 25], а также повышает риск выкидышей [26, 27]. Вопрос об отдаленных последствиях действия БФА также широко обсуждается в аспекте его влияния в ранний период жизни на развитие различных нейродегенеративных заболеваний во взрослом организме [28, 29], причем механизмы таких эффектов связывают с его возможностью нарушать эпигенетическое программирование экспрессии генов в мозге [30].
БФА, действуя как эпимутаген, может влиять на эпигенетические и эпигеномные модификации, в том числе изменяя метилирование ДНК [31].
Метилирование ДНК представляет собой ключевую ковалентную модификацию, наследуемую в ходе делений соматических клеток, а 5-метил-цитозин (5-MeC) представляет 2–5 % всех цитозинов в геномах млекопитающих и встречается в основном в CpG динуклеотидах [32, 33]. Метилирование ДНК участвует в регуляции многих клеточных процессов, в том числе в структурировании хроматина и его ремоделинге, инактивации Х-хромосомы, геномном импринтинге, стабильности хромосом и транскрипции генов [34]. Паттерны метилирования детерминируются во время раннего эмбриогенеза [35, 36] и продолжают модифицироваться весь неонатальный период [37, 38]. Между оплодотворением и имплантацией происходит деметилирование большинства собственных генов, за исключением импринтированных и некоторых повторяющихся последовательностей [39, 40]. Отсутствие деметилирования импринтированных генов в предымплантационный период является существенным для нормального эмбрионального развития [41], тогда как деметилирование других генов служит важным фактором создания «открытого» состояния генома в недифференцированном развивающемся эмбрионе. Воздействие экотоксикантов в этот период может вызвать нарушение процесса метилирования/деметилирования у эмбриона и эпигенетическое ремоделирование, приводящее в течение жизни к нарушению ключевых сигнальных механизмов клеточных циклов.
Предполагается, что при воздействии БФА в пренатальном периоде развития организма происходят разного рода нарушения метилирования ДНК, ведущие к изменению эпигенетического статуса эмбриона. Такие изменения в процессе развития зародышей и клеточной дифференцировки, устойчиво изменяя эпигеном, могут вызвать патологические изменения фенотипа потомства. Уже появились доказательства того, что действие БФА на мать может привести к изменению статуса метилирования ДНК у плода в постнатальном развитии, что сопровождается изменением экспрессии ряда генов, в том числе импринтированных [30, 42, 43]. Несомненно, что критическим окном для воздействия БФА является время раннего развития эмбриона, особенно в период активации эмбрионального генома при развитии до стадии бластоцисты. Поэтому так важно понять, как модифицируется метилирование ДНК в эмбрионах самого раннего срока развития под влиянием БФА.
В данной работе прежде всего был in vivo исследован эффект воздействия БФА на выживание и рост зародышей мышей (до стадии бластоцисты), матери которых получали однократно при внутрибрюшинном введении дозу этого токсиканта, составлявшую 40 мг/кг веса животного. Одновременно по уровню флуоресценции антител к 5-МеС in situ была произведена оценка статуса метилирования ДНК на препаратах ядер клеток зародышей. Был исследован также уровень метилирования ДНК и параметров развития зародышей до стадии бластоцисты при культивировании в среде, содержащей БФА (50 и 100 мкМ) и этанол (0,1–0,2 %), начиная со стадий зиготы и двух клеток.
Материал и методы
Объект исследования
- Получение зародышей с датированным сроком беременности
В работе использовались 8–10-недельные мыши — гибриды F1 (CBAХC57BL) из питомника «Рапполово». В настоящем исследовании все работы с животными проводились в соответствии с требованиями этического комитета по уходу и использованию лабораторных животных, принятыми и обнародованными Институтом экспериментальной медицины. До начала опытов животные около 2 недель содержались при инвертированном световом режиме. Темный период продолжался 7 ч. При таком световом режиме овуляция яйцеклеток у самок синхронизируется и происходит через 1 ч после окончания темнового периода. Для получения большего количества зародышей самки подвергались гормональной стимуляции. Для получения достаточного числа зародышей суперовуляцию у самок вызывали инъекцией 5 ед. сывоpоточного ганадотpопина (Folligon, Нидерланды) и через 48 ч — 10 ед. хорионического гонадотpопина (ХГ, Сhorulon, Нидерланды). Самок подсаживали к самцам на ночь и утром следующего дня проверяли наличие копулятивной пробки. День обнаружения пробки принимали за первый день беременности. Возраст зародышей отсчитывали в часах от введения ХГ. Всех беременных самок сразу после обнаружения копулятивной пробки делили на три группы: первая группа — чистый контроль (интактная); второй группе животных внутрибрюшинно вводили кунжутное масло (INAX LLC, США), содержащее 5 % диметилсульфоксид (ДМСО, растворитель БФА, Sigma-Aldrich); третьей (опытной) группе животных однократно вводили внутрибрюшинно 0,1 мл раствора 2,2-bis(4-hydroxyphenyl)propane-4,40-isopropylidenediphenol (БФА) (Sigma-Aldrich) в кунжутном масле, содержащего 0,8 мг БФА, что соответствовало 40 мг/кг веса животного. Животных забивали дислокацией шейных позвонков спустя трое суток после введения. Возраст зародышей составлял 90–96 ч после введения ХГ.
У самок мышей извлекали матку (так как на этом сроке беременности все зародыши находятся уже в матке, а не в яйцеводах) и с помощью шприца и иглы с тупым концом вымывали зародыши средой М2 (Sigma). Подсчитывали количество морул и бластоцист, а также количество бластомеров в каждом зародыше, не дифференцируя ВКМ и трофобласт в случае бластоцист. Часть животных оставляли до достижения 9-го дня беременности. Из всех зародышей готовили препараты интерфазных ядер.
- Приготовление препаратов ядер бластомеров
Для приготовления ядерных препаратов заpодыши пеpеносили в сpеду М16 с колцемидом (0,035 мкг/мл) и инкубиpовали в течение 2,5–3 ч в атмосфере 5 % СО2 в воздухе. Далее эти пpепаpаты пеpеносили на 20–40 мин (в зависимости от числа бластомеpов в заpодыше) в гипотонический pаствоp (1 часть 1,93 % цитpата натpия : 3 части 0,56 % хлоpида калия). Затем зародыши помещали в холодный метанол-уксусный фиксатоp (3 : 1, –4 °C) на несколько минут. Из фиксатоpа заpодыши пеpеносили по 1–5 штук на пpедметное стекло и, не давая высохнуть капле фиксатора, капали сверху каплю смеси 100 % метанола с 75 % уксусной кислотой (1 : 1), а затем каплю 100 % метанола и ледяной уксусной кислоты (1 : 1). Постимплантационные GD9 зародыши после гипотонической обработки в 0,56 % KCl в течение 30 мин фиксировали в метанол-уксусном фиксатоpе (3 : 1). Затем зародыши мягко дезагрегировали в смеси 50 % молочной кислоты и ледяной уксусной кислоты в соотношении 1 : 4. После этого с помощью пипетки с оттянутым кончиком pаскапывали суспензию клеток на сухие пpедметные стекла при комнатной температуре. Пpепаpаты споласкивали этим же фиксатоpом (3 : 1) и высушивали на воздухе.
- Культивирование доимплантационных заpодышей in vitro и получение пpепаpатов
Эмбрионы половозрелых самок мышей гибридов F1 (C57BLX CBA) получали после супеpовуляции самок введением 5 ед. сывоpоточного ганадотpопина и чеpез 44–48 ч 5 ед. хоpиогонического гонадотpопина и спаpивания их с самцами. Мышей умерщвляли дислокацией шейных позвонков через 21–22 ч после введения второго гормона, извлекали яйцеводы под контролем бинокулярной лупы в капле среды М2 (Sigma), разрывали ампулярную часть яйцевода и овулировавшие яйцеклетки в окружении слизи и фолликулярных клеток переносили в другую каплю среды М2, содержащей 100 ед. гиалуронидазы. Отмытые от гиалуронидазы зародыши помещали в среду М16 (Sigma), содержащую БФА в концентрации 50 или 100 мкМ. В качестве контроля использовали две группы зародышей: в одной группе зародыши находились в среде М16 — чистый контроль, а в другой контрольной группе к среде М16 добавляли растворитель этанол (Fluka) — 0,1 или 0,2 % соответственно для 50 и 100 мкМ БФА. При описании результатов экспериментов контроли с этанолом при двух концентрациях, ввиду отсутствия различий между ними, были объединены в одну группу — этанол. Зародыши всех групп культивировали в течение 72–96 ч в атмосфере 5 % СО2 в воздухе и температуре +37 °C. После окончания культивирования подсчитывали количество морул и бластоцист, готовили препараты согласно пункту 2 и подсчитывали количество бластомеров в каждом зародыше.
Выявление 5-МеС in situ при помощи моноклональных антител на препаратах зародышей разного срока развития
Препараты, приготовленные из контрольных эмбрионов, а также подвергнутых воздействию токсиканта, использовали для выявления 5-метилцитозина (5-MeC) при помощи моноклональных антител по разработанной нами методике [44].
- Иммуноцитохимическое выявление паттерна метилирования ДНК. Окрашивание антителами к 5-МеС
В качестве базовых применяли методы, описанные ранее [45, 46], с некоторыми важными модификациями в предобработке препаратов. Были использованы первичные антитела (ATI) мыши к 5-метилцитозину (Abcam, США) и вторичные антитела (ATII) козы F(ab′) к иммуноглобулинам IgM мыши, конъюгированные с флуоресцентной меткой +DyLight 550 (Abcam, США). Первичные антитела разводили в соотношении 1 : 100 (v/v) в PBStb, вторичные — 1 : 250 (v/v) в PBStb.
- Подготовка препаратов
Препараты ядер готовили по методике, описанной ранее [47]. Клетки инкубировали в присутствии 100 нг/мл колцемида (Gibco, США) 45 мин, затем подвергали гипотоническому шоку (0,075 М KCl при температуре 37 °C в течение 15 мин) и фиксировали метанол/уксусным фиксатором (3 : 1, v/v). Использовали cтекла Superfrost (Fisher, США).
Препараты хранили следующим образом. После приготовления их упаковывали в пленку с поглотителем и индикатором влаги и содержали в течение 2–3 дней при комнатной температуре. Затем препараты прогревали в течение 19–20 ч при +55 °C и хранили в течение 2–3 ч при комнатной температуре. После этого препараты содержались от одной недели до нескольких месяцев при –20 °C. После окончания срока хранения препараты дофиксировали смесью этанол/ледяная уксусная кислота (3 : 1, v/v) в течение 10 мин, дважды промывали 96 % этанолом по 10 мин и сушили на воздухе в течение 15 мин (этот пункт рекомендован в случае хранения препаратов более недели).
Затем препараты инкубировали в 10 мМ HCl в течение 5 мин при КТ, обрабатывали пепсином (конечная концентрация 5–10 мкг/мл в 10 мМ HCl) в течение 10 мин при 37 °C во влажной камере. Промывали дистиллированной водой в течение 1 мин при КТ. Обезвоживали 70, 90, 96 % этанолом по 3 мин в каждом. Сушили на воздухе в течение 15 мин. Далее препараты инкубировали 20 мин в 2 M HСl при КТ или при 26 °C и промывали в ледяном PBS1 мин, два раза в PBS в течение 3 мин и два раза в дистиллированной воде в течение 3 мин, после чего препараты сушили на воздухе в течение 15 мин.
- Иммунохимическое окрашивание
Препараты инкубировали 60 мин при 37 °C во влажной камере в блокирующем растворе (1 % блокирующий реагент (Boehringer Mannheim GmbH) и 0,1 % Tween 20 в PBS), затем 60 мин с ATI в PBStb (1 : 100, v/v) при 26 °C во влажной камере. Препараты промывали три раза в растворе PBSt (0,03 % Tween 20 в PBS) в течение 5 мин. Затем инкубировали 60 мин с ATII в PBStb (1 : 250, v/v) при 26 °C. После промывания препаратов в растворе PBSt (3 раза в течение 5 мин) препараты обезвоживали 70, 90, 96 % этанолом по 3 мин в каждой концентрации и сушили на воздухе в течение 15 мин в темноте. Препараты окрашивали DAPI (Sigma, США) (1 : 500, v/v в PBS) в течение 4 мин при КТ в темноте, интенсивно промывали в PBS, заключали в среду DAKO (S3023 Mounting medium An Agilent Technology).
- Микроскопия и обработка изображений
Использовали стандартную методику микроскопии и обработки изображений, описанную нами ранее [48]. Конфокальные изображения получали с использованием инвертированного конфокального лазерного сканирующего микроскопа LSM 510 Meta (Zeiss, Германия) с иммерсионным объективом Plan Apochromat 63 × 1,4 Oil. Флуоресценцию возбуждали лазером с длиной волны 561 нм. Препараты изучали при КТ. Размер объемной точки составлял 0,10 × 0,10 × 0,5 мкм. Изображения получали в проходящем свете при помощи метода дифференциально-интерференционного контраста. Обработку и анализ изображений осуществляли при помощи прилагаемого к микроскопу программного обеспечения LSM 510 и программного обеспечения 1.44p (http://ImageJ.nih.gov/ij/). Для каждого эксперимента получали не менее 10 изображений препаратов интерфазных ядер в одной плоскости, полученных из разных зародышей. В каждой серии экспериментов (in vivo четырех- и девятидневные зародыши — контрольные/кунжутное масло и БФА, in vitro контрольные/этанол и БФА — 50 и 100 мкМ) для определения уровня метилирования ДНК использовали указанное в подписях к рисункам количество ядер из всех пригодных для анализа зародышей, но не менее 10. В случае бластоцист анализ проводился без разделения на ВКМ и трофобласт. Производили псевдоокраску флуоресцентных сигналов от DAPI для оценки уровня флуоресценции вторичных антител к 5 МеС (+DyLight 550).
- Статистическая обработка
Уровень метилирования ДНК рассчитывали как среднее значение уровня флуоресценции метилированных сайтов на единицу площади (вторичных антител к 5-метилцитозину), определенного при помощи программы ImageJ в условных единицах MGV (Mean gray value) ± ± стандартная ошибка среднего для каждого эксперимента. Количество бластомеров в зародышах вычисляли как среднее значение в каждой группе ± стандартная ошибка среднего. Уровень значимости при сравнении разницы между группами по критерию Фишера – Стьюдента методом ANOVA определяли как p ≤ 0,05.
РЕЗУЛЬТАТЫ И ОБСУЖДЕНИЕ
- Исследование in vivo. Изменения уровня метилирования ДНК у четырехдневных зародышей мышей, матери которых получили однократную дозу бисфенола А
При выборе условий для проведения эксперимента мы учитывали, что БФА на самых ранних стадиях развития зародышей, с одной стороны, влияет на восприимчивость эндометрия к эмбрионам, приводящую к невозможности имплантации, а с другой — на развитие самих эмбрионов до стадии бластоцисты. Как известно из других исследований, срок воздействия БФА в эмбриональном периоде, так же как и способ его введения, длительность воздействия и его доза значительно влияют на развитие эмбрионов, при этом данные несколько разноречивы. Так, оральное введение высоких доз БФА (больше 400 мг/кг массы тела) беременным самкам в течение первых трех дней беременности вызывало повреждение развития бластоцисты до имплантации и ингибировало имплантацию эмбриона. Более низкие концентрации БФА (200 мг/кг массы тела) не влияли ни на скорость развития бластоцисты, ни на число эмбрионов [49]. В другой работе при подкожном введении более низкая концентрация БФА (100 мг/кг массы тела/в день в течение первых трех дней беременности мышей) подавляла имплантацию зародышей и задерживала развитие до стадии бластоцисты. В то же время умеренные количества БФА (40 мг/кг/день) уже не влияли на имплантацию зародышей, однако размер новорожденных мышей был снижен [50]. Бергер et al. [51] показали, что срок беременности, в который воздействует БФА, является решающим. Они установили, что подкожная инъекция 10,125 мг БФА на животное (соответствует 300 мг/кг/в день) в 0 или 1-й день беременности у мышей приводила к значительному уменьшению числа мест имплантации эмбрионов. При этом в 3 раза меньшая доза (100 мг/кг/день) не влияла на этот показатель, а введение высокой дозы во второй день беременности уже не оказывало вредного воздействия [52–54]. Мы выбрали умеренную дозу БФА, которая составляла 0,8 мг на животное, причем воздействие было однократным в первый день беременности. На основании данных о том, что в стенках матки обнаруживается около 0,4 % исходного количества БФА [55], мы предполагаем, что в нашем эксперименте у каждой беременной самки одно-двухклеточные эмбрионы подверглись внутриутробно воздействию 3 мкг БФА.
В серии исследований in vivo, когда беременным самкам однократно вводили БФА, анализируя зародыши, полученные через 96 ч (четырехдневные), мы обнаружили, что в группе зародышей, получивших БФА in utero, в контроле из 168 зародышей 66 % достигли стадии бластоцисты, а в группе БФА из 122 — 71 %, и внешне они не отличались от контрольных зародышей. Это свидетельствует о том, что ускорение созревания зародышей вызывало именно применение БФА, поскольку введение самкам кунжутного масла не оказывало такого эффекта, а их число не отличалось от группы контроля. В то же время число клеток (бластомеров) в группе зародышей, которые подвергались действию БФА, было ниже, чем в контрольной группе и в группе, получившей кунжутное масло, тогда как различия между контролем и группой после инъекции кунжутного масла были статистически незначимы (рис. 1).
Рис. 1. Среднее количество бластомеров в четырехдневных зародышах мышей, матери которых получили однократно БФА (40 мг/кг). Количество исследованных зародышей в каждой группе составляло: контроль — 109; кунжутное масло — 74; БФА — 97. Уровень значимости при сравнении разницы между группами контроль/кунжутное масло и группой с БФА при *p = 0,027
Таким образом, можно утверждать, что однократное воздействие умеренной дозой БФА в период дробления клеток производит двоякий эффект: ускоряет развитие зародышей до стадии бластоцисты и снижает в то же время у них количество бластомеров.
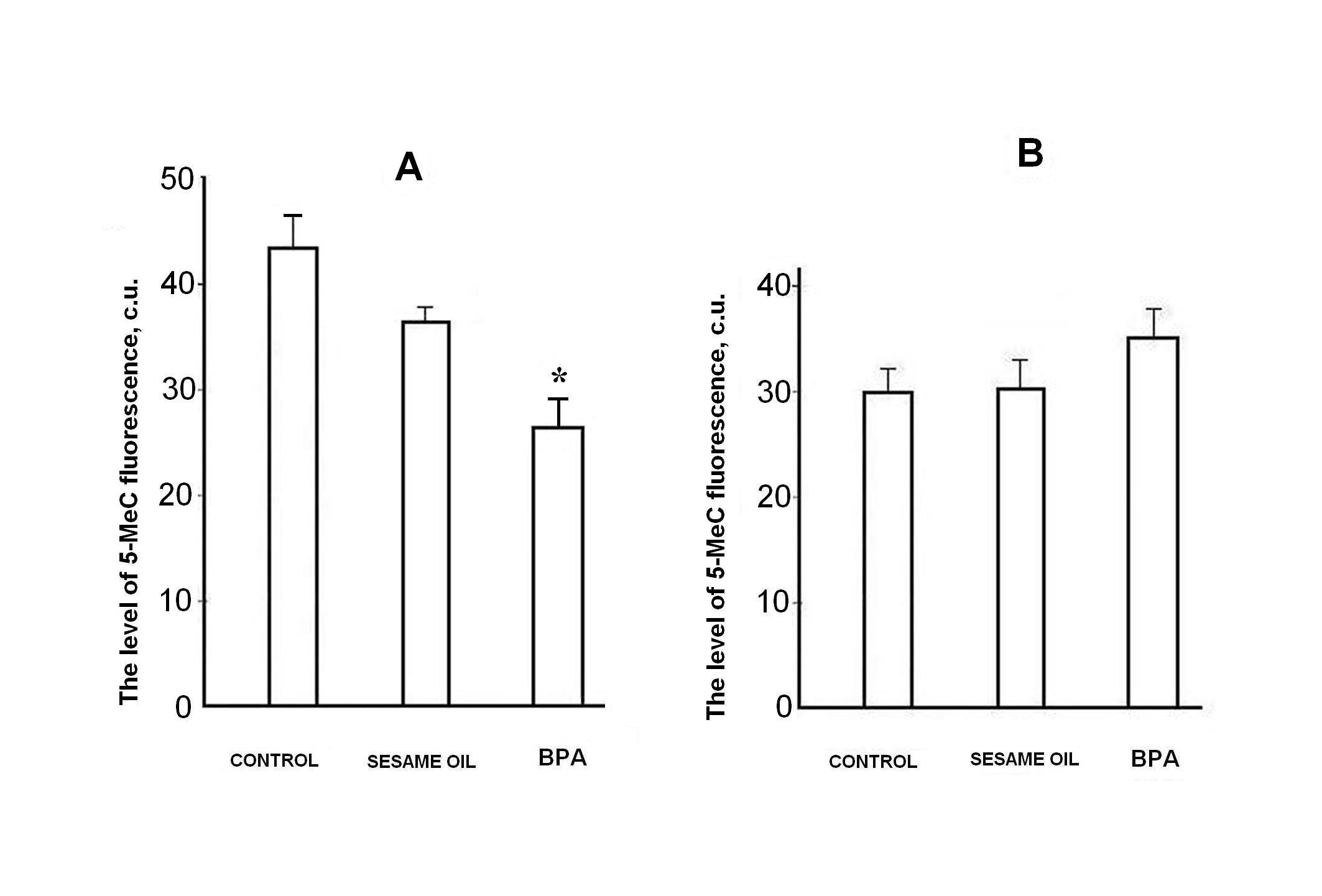
При определении изменений эпигенетического статуса таких зародышей, получивших однократную дозу БФА in utero, было обнаружено, что в ранний период дробления (до образования бластоцисты) наблюдается снижение уровня метилирования ДНК. Как можно видеть из рисунка 2, средний уровень флуоресценции метилированных сайтов на единицу площади (мы не проводили анализ в различных слоях объема) в ядрах зародышей, получивших БФА in utero, был достоверно ниже, чем в контроле и в той группе, которые in utero получили кунжутное масло (рис. 2, а).
Рис. 2. Уровень флуоресценции антител к 5-МеС в ядрах бластоцист четырех- (а) и девятидневных (b) зародышей мышей под воздействием БФА in utero (введение однократно матерям 40 мг/кг). Количество исследованных ядер в каждой группе составляло соответственно: контроль — 63 и 51; кунжутное масло — 42 и 35; БФА — 61 и 39. Уровень значимости при сравнении разницы между группами контроль/кунжутное масло и группой с БФА при *p ≤ 0,05
Чтобы сравнить эффекты воздействия БФА в последующий период развития, был проведен анализ уровня метилирования ДНК в ядрах клеток от девятидневных зародышей без видимых отклонений в развитии и на препаратах ядер был исследован их эпигенетический статус. Было установлено, что по завершении первичной дифференцировки, в начале органогенеза, уровень метилирования ДНК у зародышей, подвергшихся воздействию БФА, несколько превышает контрольный уровень. Однако выявленные отличия оказались статистически недостоверными (рис. 2, b).
Как предполагается, эпигенетические механизмы, в том числе метилирование геномной ДНК, под воздействием БФА вызывают долговременные изменения структуры хроматина и экспрессии генов [42]. Имеется ряд исследований, в которых установлено изменение метилирования ДНК для некоторых генов в различных тканях у взрослых животных при пероральном введении БФА матерям на 1–3-й день после оплодотворения [56–60], причем наблюдали фенотипические отклонения, которые наследовались в последующих поколениях. Было показано, что при умеренной концентрации БФА (50 мкг/кг веса тела) в рационе матери мышей Агути происходит гипометилирование ретротранспозона (CabpIAP) гена Агути в метастабильном эпиаллеле, тогда как воздействие более низких доз БФА (50 нг и 50 мкг/кг) в диете приводило к гиперметилирующим эффектам [61, 62]. Беременным CD-1 мышам на 9–16-й день беременности интраперитонеально вводили БФА (5 мг/кг), что приводило к снижению метилирования ДНК в гене Hoxa10, который контролирует органогенез [63].
Ранний период развития после оплодотворения наиболее чувствителен из-за его интенсивного неотъемлемого эпигенетического перепрограммирования, поэтому важно определить аберрации в метилировании ДНК, вызванные воздействием БФА, которые могут в дальнейшем приводить к изменениям в развитии генов во взрослом организме. Как мы показали в данном исследовании, даже однократное применение умеренной дозы БФА в эмбриональном периоде сопровождается снижением уровня метилирования ДНК, но насколько этот эффект может повлиять на дальнейшее развитие, пока не ясно.
Поскольку предполагается, что защитные механизмы, которыми обладает эпителий матки во время беременности [50], могут в некоторой степени ослаблять эпигенотоксический эффект БФА, мы произвели ряд исследований in vitro, чтобы определить уровень метилирования ДНК у зародышей, находящихся в прямом контакте с этим токсикантом.
- Исследование in vitro уровня метилирования ДНК при культивировании с бисфенолом А одно-двухклеточных зародышей мышей до стадии морулы и бластоцисты
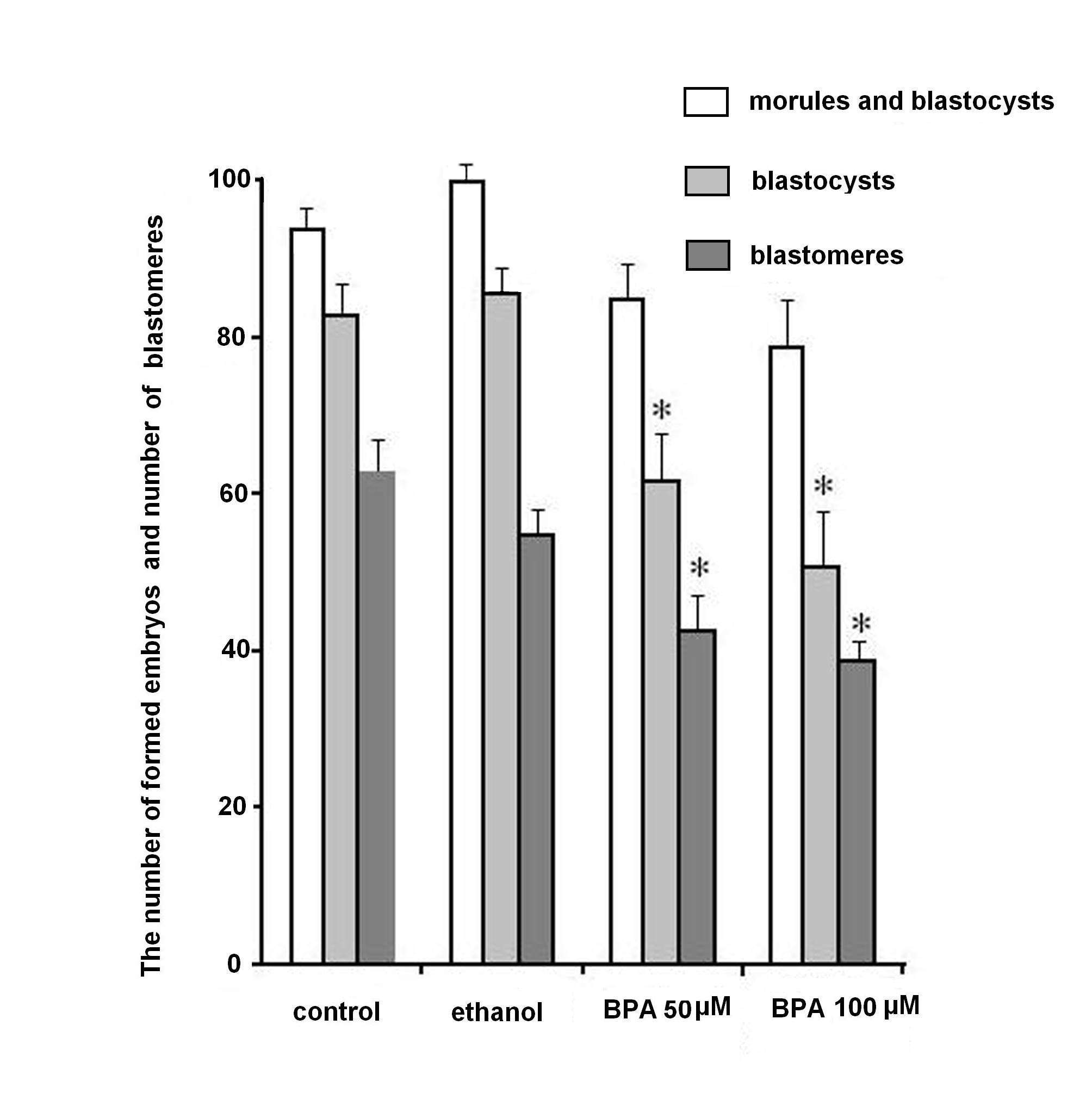
Было исследовано влияние двух доз БФА (50 и 100 мкМ соответствует 10 и 20 мкг/мл) на доимплантационное развитие зародышей мышей in vitro. Анализ действия токсиканта проводился при его добавлении в культуральную среду на одно-двухклеточной стадии и фиксации препаратов на стадиях морулы и бластоцисты через 72–96 ч после введения хорионического гормона соответственно. Было установлено, что обе исследованные концентрации БФА оказывают тормозящий эффект на развитие зародышей, воздействуя таким же образом на количество образовавшихся бластомеров. При этом можно видеть выраженную зависимость от концентрации БФА (рис. 3).
Рис. 3. Действие БФА/этанола при культивировании одно-двухклеточных зародышей мыши до стадии бластоцисты in vitro в течение 72–96 ч. Количество исследованных зародышей в каждой группе составляло: контроль — 109; этанол — 152; БФА (50 мкМ) — 108; БФА (100 мкМ) — 133. * p ≤ 0,01 между группами контроль/этанол и группами с БФА
Влияние БФА in vitro на развитие эмбрионов в ранние стадии развития было показано в ряде исследований. При культивировании в течение 24 ч БФА в концентрации 100 мкМ не оказывал влияния на скорость развития восьмиклеточных эмбрионов, но он вызывал тормозящий эффект на стадии бластоцисты [13]. Культивирование двухклеточных эмбрионов мыши в культуральной среде с различными концентрациями БФА в течение 72 ч показало, что увеличение концентрации значительно уменьшает скорость развития бластоцисты [64].
Результаты in situ продемонстрировали, что присутствие БФА в культуральной среде в период развития зародышей до стадии бластоцисты приводит к выраженному снижению уровня полногеномного метилирования цитозина ДНК ядер по сравнению «чистым» контролем и контролем с этанолом. При этом наблюдается определенный дозозависимый эффект (рис. 4).
Рис. 4. Уровень флуоресценции антител к 5-МеС в ядрах бластоцист при культивировании с БФА в течение 72–96 ч с одно-двухклеточной стадией. Количество исследованных ядер в каждой группе составляло: контроль — 123; этанол (0,1 и 0,2 %) — 129 и 148; БФА — 156 и 121 (50 и 100 мкМ соответственно). *p < 0,01 по сравнению между контрольной/этанол и группами с БФА
Эффекты БФА на снижение уровня метилирования ДНК могут быть рассмотрены как со стороны эпигенетических изменений в ткани матки и последующего влияния на плод, так и в связи с его прямым влиянием на эмбрион. Как показали исследования, изменения глобального профиля метилирования генома в тканях матки связаны как с нарушением экспрессии генов эстрогеновых рецепторов, чувствительных к БФА [65, 66], и экспрессии генов в плаценте [67, 68], так и изменениями в метилировании ДНК гена Hoxa. При этом трудно точно установить, вовлечена ли в этот механизм сниженная активность ДНК-метилтрансфераз (DNMTs), или происходит модификация уровня их экспрессии [63, 65, 68]. Высокий уровень деметилирования ДНК, сопровождающийся повышением экспрессии ряда импринтированных генов, был выявлен в плаценте и в ткани эмбрионов 9,5-го и 12,5-го дня развития. При этом наблюдалось снижение уровня глобального метилирования ДНК в плаценте, тогда как у эмбрионов указанных сроков развития уровень метилирования не был снижен [69]. Наши результаты, показавшие отсутствие изменений метилирования ДНК у девятидневных зародышей, согласуются с этими данными. Они указывают на то, что именно в период делений дробления эмбрионы особенно чувствительны к воздействию БФА.
Сравнение результатов экспериментов по изменениям уровня метилирования ДНК у зародышей разного срока развития in vitro и in vivo показывает, что, действуя даже при однократном введении через материнский организм, БФА вызывает in vivo более выраженный гипометилирующий эффект (рис. 5).
Рис. 5. Изменения статуса метилирования ДНК в ядрах зародышей мыши разного срока развития при воздействии БФА in vivo (получивших БФА in utero) и in vitro (50 и 100 мкМ БФА. *p < 0,01 по сравнению с контрольной группой
Нарушения экспрессии отдельных генов, связанных с сигнальными системами и обусловленные изменениями эпигенетического статуса определенных локусов, были выявлены во многих тканях у потомства животных, матери которых получали БФА в разных количествах, в разные периоды беременности. В то же время можно предположить, что именно эпигенетические изменения, произошедшие в самые ранние периоды эмбриогенеза, стали основой последующих изменений. Для более определенных выводов об относительной роли ферментной системы детоксикации организма in vivo в сравнении с прямым воздействием на зародыши in vitro необходимы дальнейшие исследования с другими способами интоксикации, с другими токсикантами с иным механизмом воздействия. Представляет интерес изучение воздействия токсикантами не только на зародыши, но и на клеточные культуры различного происхождения при регистрации уровня метилирования ДНК in vitro.
Заключение
В настоящее время стало ясно, что воздействия окружающей среды во время раннего развития формируют риск заболевания в более позднем возрасте. При этом считается, что основными механизмами этого влияния выступают эпигенетические модификации. Важно, что такая модифицированная экспрессия гена может поддерживаться у взрослых и передаваться следующим поколениям. Но механизмы этого остаются неясными. Полученные данные указывают на то, что действительно доимплантационное развитие является чувствительным периодом к воздействию БФА, что, наиболее вероятно, обусловлено активными процессами перепрограммирования, связанными с эпигенетическими и эпигеномными модификациями, в первую очередь с деметилированием/реметилированием ДНК как всего генома, так и отдельных генов. Это находит свое отражение в полученных данных по изменениям уровня метилирования под действием БФА. Надо отметить, что метилирование, регистрируемое на уровне хромосом и ядер, отражает метилирование всего генома, причем большую часть составляют различные типы повторяющихся последовательностей, включая транспозоны, ретротранспозоны и различные типы сателлитных ДНК. То есть в исследовании in situ, использованном в данной работе, мы наблюдаем, вероятнее всего, в основном изменения в уровне метилирования именно в последовательностях такого типа, что свидетельствует об их роли в качестве мишеней для воздействия токсикантами в раннем развитии. Учитывая, что структура повторов, в частности их длина, может меняться вследствие процесса активного деметилирования, сопряженного с процессами репарации с участием системы TET-ферментов (что было показано в ряде работ [70, 71]) и происходящего в первую очередь в раннем эмбриогенезе [72], можно предположить, что такие изменения, поддерживаясь в онтогенезе, могут вести к заболеваниям.
Воздействие БФА в ходе эмбриогенеза может вызывать эпигенетические изменения как всего генома, так и некоторых генов, которые связаны с изменениями в экспрессии генов, уже обнаруживаемыми у зародышей при воздействии in utero [73]. Другие гены могут проявлять замедленный ответ в виде гормональных событий, начинающихся в период полового созревания. Эти эффекты могут не проявляться после пренатального воздействия, но сохраняются длительное время после прекращения воздействия. Такие изменения паттерна метилирования ДНК в эмбриогенезе, как предполагается, в значительной мере могут обусловливать развитие патологий уже во взрослом состоянии, особенно при старении.
Исследование поддержано грантом РФФИ № 15-04-04642-а.
About the authors
Ekaterina M. Noniashvili
Institute of Experimental Medicine RAS
Author for correspondence.
Email: katinka.04@list.ru
Cand. of Biol. Sci., senior researcher, Lab. Molecular Cytogenetics of Mammalian Development
Russian Federation, 12, Academic Pavlov street, Saint-Petersburg, 197376Natalia A. Grudinina
Institute of Experimental Medicine RAS
Email: strangecatnap@gmail.com
Cand. of Biol. Sci., senior researcher, Department of Molecular Genetics
Russian Federation, 12, Academic Pavlov street, Saint-Petersburg, 197376Marija E. Kustova
Institute of Experimental Medicine RAS
Email: kusmasha@yandex.ru
Cand. of Biol. Sci., senior researcher, Department of Molecular Genetics
Russian Federation, 12, Academic Pavlov street, Saint-Petersburg, 197376Van Truong Tran
Voronezh State University; Russia-Vietnam research and technological centre
Email: truongleky@gmail.com
PhD student, Department of Biochemistry and Cell Physiology, Voronezh State University, Voronezh, Russia; researcher, Russian-Vietnam research and technological centre
Russian Federation, 1, University square, Voronezh, 394063; HanoiIrina O. Suchkova
Institute of Experimental Medicine RAS
Email: irsuchkova@mail.ru
Cand. of Biol. Sci., head researcher, Lab. Molecular Cytogenetics of Mammalian Development
Russian Federation, 12, Academic Pavlov street, Saint-Petersburg, 197376Larisa I. Pavlinova
Institute of Experimental Medicine RAS
Email: lorhen45@gmail.com
Cand. of Biol. Sci., senior researcher, Lab. Molecular Cytogenetics of Mammalian Development
Russian Federation, 12, Academic Pavlov street, Saint-Petersburg, 197376Ludmila K. Sasina
Institute of Experimental Medicine RAS
Email: sassinal@gmail.com
Cand. of Biol. Sci., senior researcher, Lab. Molecular Cytogenetics of Mammalian Development
Russian Federation, 12, Academic Pavlov street, Saint-Petersburg, 197376Natalia I. Dergacheva
Institute of Experimental Medicine RAS
Email: natalia-9999@mail.ru
researcher, Lab. Molecular Cytogenetics of Mammalian Development
Russian Federation, 12, Academic Pavlov street, Saint-Petersburg, 197376Henrikh A. Sofronov
Institute of Experimental Medicine RAS
Email: gasofronov@mail.ru
academician of RAS, scientific director
Russian Federation, 12, Academic Pavlov street, Saint-Petersburg, 197376Eugene L. Patkin
Institute of Experimental Medicine RAS
Email: elp44@mail.ru
PhD, Professor. Head, Lab. Molecular Cytogenetics of Mammalian Development
Russian Federation, 12, Academic Pavlov street, Saint-Petersburg, 197376References
- Brotons JA, Olea-Serrano MF, Villalobos M, et al. Xenoestrogens released from lacquer coatings in food cans. Environ Health Perspect. 1995;103:608-612. PMID: 7556016. PMCID: PMC1519121.
- Mountfort KA, Kelly J, Jickells SM, Castle L. Investigations into the potential degradation of polycarbonate baby bottles during sterilization with consequent release of bisphenol A. Food Addit Contam. 1997;14:737-740. doi: 10.1080/02652039709374584.
- Serrano F, Rivas A, Novillo-Fertrell A, Pedraza V, et al. Estrogenicity of resin-based composites and sealants used in dentistry. Environ Health Perspect. 1996;104:298-305. PMID: 8919768.PMCID: PMC1469315.
- North EJ, Halden RU. Plastics and environmental health: the road ahead. Rev Environ Health. 2013;28:1-8. doi: 10.1515/reveh-2012-0030.
- Calafat AM, Kuklenyik Z, Reidy JA, et al. Urinary concentrations of bisphenol A and 4-nonylphenol in a human reference population. Environ Health Perspect. 2005;113:391-395. PMID: 15811827. PMCID: PMC1278476.
- Vandenberg LN, Hauser R, Marcus M, et al. Human exposure to bisphenol A (BPA). Reprod Toxicol. 2007;24:139-177. doi: 10.1016/j.reprotox.2007.07.010.
- Ikezuki Y, Tsutsumi O, Takai Y, et al. Determination of bisphenol A concentrations in human biological fluids reveals significant early prenatal exposure. Hum Reprod. 2002;17(11):2839-2841. PMID: 12407035.
- Schonfelder G, Wittfoht W, Hopp H, et al. Parent bisphenol A accumulation in the human maternal-fetal-placental unit. Environ Health Perspect. 2002;110: A703-A707. PMID: 12417499. PMCID: PMC1241091.
- Golub MS, Wu KL, Kaufman FL, et al. Bisphenol A: developmental toxicity from early prenatal exposure. Birth Defects Res. (Part B). 2010;89:441-466. doi: 10.1002/bdrb.20275.
- Pollock T, deCatanzaro D. Presence and bioavailability of bisphenol A in the uterus of rats and mice following single and repeated dietary administration at low doses. Reprod Toxicol. 2014;49C:145-54. doi: 10.1016/j.reprotox.2014.08.005.
- Peretz J, Vrooman L, Ricke WA, et al. Bisphenol a and reproductive health: update of experimental and human evidence, 2007-2013. Environ Health Perspect. 2014;122:775-786. doi: 10.1289/ehp.1307728.
- Caserta D, Di Segni N, Mallozzi M, et al. Bisphenol a and the female reproductive tract: an overview of recent laboratory evidence and epidemiological studies. Reprod Biol Endocrinol. 2014. doi: 10.1186/1477-7827-12-37.
- Takai Y, Tsutsumi O, Ikezuki Y, et al. Estrogen receptor-mediated effects of a xenoestrogen, bisphenol A, on preimplantation mouse embryos. Biochem Biophys Res Commun. 2000;270: 918-921. doi: 10.1006/bbrc.2000.2548.
- Takai Y, Tsutsumia O, Ikezukic Y, et al. Preimplantation exposure to bisphenol A advances postnatal development. Reprod Toxicol. 2001;15:71-74. PMID: 11137380.
- Lenie S, Cortvrindt R, Eichenlaub-Ritter U, Smitz J. Continuous exposure to bisphenol A during in vitro follicular development induces meiotic abnormalities. Mutat Res. 2008;65:71-81. doi: 10.1016/j.mrgentox.2007.10.017.
- Rodríguez HA, Santambrosio N, Santamaría CG, et al. Neonatal exposure to bisphenol A reduces the pool of primordial follicles in the rat ovary. Reprod Toxicol. 2010;30:550-557. doi: 10.1016/j.reprotox.2010.07.008.
- Rivera OE, Varayoud J, Rodríguez HA, et al. Neonatal exposure to bisphenol A or diethylstilbestrol alters the ovarian follicular dynamics in the lamb. Reprod Toxicol. 2011;32:304-312. doi: 10.1016/j.reprotox.2011.06.118.
- Abdel-Maksoud FM, Leasor KR, Butzen K, et al. Prenatal exposures of male rats to the environmental chemicals bisphenol A and di(2-Ethylhexyl) phthalate impact the sexual differentiation process. Endocrinology. 2015;156(12):4672-4683. doi: 10.1210/en.2015-1077.
- Rubin BS, Paranjpe M, DaFonte T, et al. Perinatal BPA exposure alters body weight and composition in a dose specific and sex specific manner: The addition of peripubertal exposure exacerbates adverse effects in female mice. Reprod Toxicol. 2017;68:130-144. doi: 10.1016/j.reprotox.2016.07.020.
- Manikkam M, Guerrero-Bosagna C, Tracey R, et al. Transgenerational actions of environmental compounds on reproductive disease and identification of epigenetic biomarkers of ancestral exposures. PLoS ONE. 2012;7: e31901. doi: 10.1371/journal.pone.0031901.
- Manikkam M, Tracey R, Guerrero-Bosagna C, Skinner MK. Plastics derived endocrine disruptors (BPA, DEHP and DBP) induce epigenetic transgenerational inheritance of obesity, reproductive disease and sperm epimutations. PLoS One. 2013;8:e55387. doi: 10.1371/journal.pone.0055387.
- Melzer D, Gates P, Osborne NJ, et al. Urinary bisphenol a concentration and angiography-defined coronary artery stenosis. PLoS ONE. 2012;7: e43378. doi: 10.1371/journal.pone.0043378.
- Provvisiero DP, Pivonello C, Muscogiuri G, et al. Influence of Bisphenol A on Type 2 Diabetes Mellitus. Int J Environ Res Public Health. 2016;13(10): pii: E989. doi: 10.3390/ijerph13100989.
- Trasande L, Attina TM, Blustein J. Association between urinary bisphenol A concentration and obesity prevalence in children and adolescents. JAMA. 2012;308:1113-1121. doi: 10.1001/2012.jama.11461.
- Vafeiadi M, Roumeliotaki T, Myridakis A, et al. Association of early life exposure to bisphenol A with obesity and cardiometabolic traits in childhood. Environ Res. 2016;146:379-387. doi: 10.1016/j.envres.2016.01.017.
- Sugiura-Ogasawara M, Ozaki Y, Sonta S, et al. Exposure to bisphenol A is associated with recurrent miscarriage. Hum Reprod. 2005;20:2325-2329. doi: 10.1093/humrep/deh888.
- Spagnoletti A, Paulesu L, Mannelli C, et al. Low concentrations of Bisphenol A and para-Nonylphenol affect extravillous pathway of human trophoblast cells. Mol Cell Endocrinol. 2015;412:56-64. doi: 10.1016/j.mce.2015.05.023.
- Preciados M, Yoo C, Roy D. Estrogenic endocrine disrupting chemicals influencing NRF1 regulated gene networks in the development of complex human brain diseases. Int J Mol Sci. 2016;17(12): pii: E2086. doi: 10.3390/ijms17122086.
- Varshney M, Nalvarte I. Genes, gender, environment, and novel functions of estrogen receptor beta in the susceptibility to neurodevelopmental disorders. Brain Sci. 2017;7(3): pii: E24. doi: 10.3390/brainsci7030024.
- Kundakovic M, Gudsnuk K, Franks B, et al. Sex-specific epigenetic disruption and behavioral changes following low-dose in utero bisphenol A exposure. Proc Natl Acad Sci USA. 2013;110:9956-9961. doi: 10.1073/pnas.1214056110.
- Паткин Е.Л., Сафронов Г.А. Эпигенетика популяций, экотоксикогенетика и болезни человека // Экологическая генетика. – 2012. – Т. 10. – Вып. 4. – С. 14–28. [Patkin EL, Sofronov GA. Epigenetics of populations, ecotoxicogenetics and human diseases. Ecologicheskaia genetica. 2012;10(4):14-28. (In Russ.)]
- Паткин Е.Л. Эпигенетические механизмы распространенных заболеваний человека. – СПб.: Нестор-История, 2008. – 200 с. [Patkin EL. Epigenetic mechanisms of human common diseases. Saint Petersburg: Nestor-History; 2008. 200 p. (In Russ.)]
- Millar D, Holliday R, Grigg G. Five not four: History and significance of the fifth base. In: Beck S, Olek A, editors. The Epigenome, molecular hide and seek. Wiley-VCH Verlag GmbH Co. KGaA; 2003. P. 3-20.
- Reik W, Dean W, Walter J. Epigenetic reprogramming in mammalian development. Science. 2001;293:1089-93. doi: 10.1126/science.1063443.
- Guerrero-Bosagna C, Savenkova M, Haque MM, et al. Environmentally induced epigenetic transgenerational inheritance of altered Sertoli cell transcriptome and epigenome: Molecular etiology of male infertility. PLoS ONE. 2013;8:e59922. doi: 10.1371/journal.pone.0059922.
- Hajkova P, Erhardt S, Lane N, et al. Epigenetic reprogramming in mouse primordial germ cells. Mech Dev. 2002;117(1-2):15-23. PMID: 12204247.
- Weaver IC, Champagne FA, Brown SE, et al. Reversal of maternal programming of stress responses in adult offspring through methyl supplementation: altering epigenetic marking later in life. J Neurosci. 2005;25:11045-54. doi: 10.1523/JNEUROSCI.3652-05.2005.
- Day KC, McCabe MT, Zhao X, et al. Rescue of embryonic epithelium reveals that the homozygous deletion of the retinoblastoma gene confers growth factor independence and immortality but does not influence epithelial differentiation or tissue morphogenesis. J Biol Chem.2002;277(46):44475-44484. doi: 10.1074/jbc.M205361200.
- Reik W, Dean W, Walter J. Epigenetic reprogramming in mammalian development. Science. 2001;(5532):1089-93. doi: 10.1126/science.1063443.
- Surani MA. Reprogramming of genome function through epigenetic inheritance. Nature. 2001;414(6859):122-8. doi: 10.1038/35102186.
- Wu Q, Ohsako S, Ishimura R, et al. Exposure of mouse preimplantation embryos to 2,3,7,8-tetrachlorodibenzo-p-dioxin (TCDD) alters the methylation status of imprinted genes H19 and Igf2. Biol Reprod. 2004;70(6):1790-1797. doi: 10.1095/biolreprod.103.025387.
- Kundakovic M, Champagne FA. Epigenetic perspective on the developmental effects of bisphenol A. Brain Behav Immun. 2011;25:1084-1093. doi: 10.1016/j.bbi.2011.02.005.
- Santangeli S, Maradonna F, Olivotto I, et al. Effects of BPA on female reproductive function: The involvement of epigenetic mechanism. Gen Comp Endocrinol. 2017;245:122-126. doi: 10.1016/j.ygcen.2016.08.010.
- Грудинина Н.А., Сасина Л.К., Нониашвили Е.М., и др. Влияние условий предобработки препаратов на выявление 5-метилцитозина в метафазных хромосомах и интерфазных ядрах in situ // Цитология. – 2015. – Т. 57. – Вып. 8. – С. 592–601. [Grudinina NA, Sasina LK, Noniashvili EM, et al. The influence of sample preprocessing on in situ identification of 5-methylcytosine in metaphase chromosomes and interphase nuclei. Tsitologiya. 2015;57(8):592-601. (In Russ.)]. doi: 10.1134/S1990519X15060036.
- Pendina AA, Efimova OA, Fedorova ID, et al. DNA methylation patterns of metaphase chromosomes in human preimplantation embryos. Cytogenet Genome Res. 2011;132(1-2):1-7. doi: 10.1159/000318673.
- Santos F, Dean W. Using immunofluorescence to observe methylation changes in mammalian preimplantation embryos. Methods Mol Biol. 2006;325:129-37. doi: 10.1385/1-59745-005-7:129.
- Сучкова И.О., Баранова Т.В., Кустова М.Е., и др. Сателлитная ДНК индуцирует гетерохроматинизацию хромосомной ДНК реципиента в клетках транссателлитной мышиной эмбриональной тератокарциномы // Цитология. – 2004. – Т. 46. – Вып. 1. – С. 53–61. [Suchkova IO, Baranova TV, Kustova ME, et al. Bovine satellite DNA induces heterochromatinization of host chromosomal DNA in cells of trassatellite mouse embryonal carcinoma. Tsitologiia. 2004;46(1):53-61. PMID: 15112432. (In Russ.)]
- Sasina LK, Fedorova EM, Grudinina NA, et al. Modulation of reporter EGFP gene expression by a disease-associated human intra-intronic minisatellite upon transient and stable transfection. Int J Biol Engineering. 2013;3(1):1-10. doi: 10.5923/j.ijbe.20130301.01.
- Pan X, Wang X, Sun Y, et al. Inhibitory effects of preimplantation exposure to bisphenol-A on blastocyst development and implantation. Int J Clin Exp Med. 2015;15;8(6):8720-8729. PMID: 26309523. PMCID: PMC4538079.
- Xiao S, Diao H, Smith MA, et al. Preimplantation exposure to bisphenol A (BPA) affects embryo transport, preimplantation embryo development, and uterine receptivity in mice. Reprod Toxicol. 2011;32(4):434-441. doi: 10.1016/j.reprotox.2011.08.010.
- Berger RG, Foster WG, deCatanzaro D. Bisphenol-A exposure during the period of blastocyst implantation alters uterine morphology and perturbs measures of estrogen and progesterone receptor expression in mice. Reprod Toxicol. 2010;30:393-400. doi: 10.1016/j.reprotox.2010.06.006.
- Berger RG, Hancock T, deCatanzaro D. Influence of oral and subcutaneous bisphenol-A on intrauterine implantation of fertilized ova in inseminated female mice. Reprod Toxicol. 2007;23:138-44. doi: 10.1016/j.reprotox.2006.09.005.
- Berger RG, Shaw J, de Catanzaro D. Impact of acute bisphenol-A exposure upon intrauterine implantation of fertilized ova and urinary levels of progesterone and 17-estradiol. Reprod Toxicol. 2008;26:94-99. doi: 10.1016/j.reprotox.2008.06.007.
- Crawford BR, Decatanzaro D. Disruption of blastocyst implantation by triclosan in mice: impacts of repeated and acute doses and combination with bisphenol-A. Reprod Toxicol. 2012;34:607-613. doi: 10.1016/j.reprotox.2012.09.008.
- Zalko D, Soto AM, Dolo L, et al. Biotransformations of bisphenol A in a mammalian model: answers and new questions raised by low-dose metabolic fate studies in pregnant CD1 mice. Environ Health Perspect. 2003;111:309-319. PMID: 12611660. PMCID: PMC1241388.
- Jang YJ, Park HR, Kim TH, et al. High dose bisphenol A impairs hippocampal neurogenesis in female mice across generations. Toxicology. 2012;296(1-3):73-82. doi: 10.1016/j.tox.2012.03.007.
- Soto AM, Sonnenschein C. Environmental causes of cancer: endocrine disruptors as carcinogens. Nat Rev Endocrinol. 2010;6:363-70. doi: 10.1038/nrendo.2010.87.
- Caserta D, Di Segni N, Mallozzi M, et al. Bisphenol a and the female reproductive tract: an overview of recent laboratory evidence and epidemiological studies. Reprod Biol Endocrinol. 2014;12:37. doi: 10.1186/1477-7827-12-37.
- Hochberg Z, Feil R, Constancia M, et al. Child health, developmental plasticity, and epigenetic programming. Endocrinol Rev. 2011;32(2):159-224. doi: 10.1210/er.2009-0039.
- Mao Z, Xia W, Huo W, et al. Pancreatic impairment and Igf2 hypermethylation induced by developmental exposure to bisphenol A can be counteracted by maternal folate supplementation. J Appl Toxicol. 2017Feb6. doi: 10.1002/jat.3430.
- Anderson OS, Nahar MS, Faulk C, et al. Epigenetic responses following maternal dietary exposure to physiologically relevant levels of bisphenol A. Environ Mol Mutagen. 2012;53:334-342. doi: 10.1002/em.21692.
- Dolinoy DC, Huang D, Jirtle RL. Maternal nutrient supplementation counteracts bisphenol A-induced DNA hypomethylation in early development. Proc Natl Acad Sci USA. 2007;104(32):13056-61. doi: 10.1073/pnas.0703739104.
- Bromer JG1, Zhou Y, Taylor MB, et al. Bisphenol-A exposure in utero leads to epigenetic alterations in the developmental programming of uterine estrogen response. FASEB J. 2010;24(7):2273-2280. doi: 10.1096/fj.09-140533.
- Lee MS, Lee YS, Lee HH and Song HY. Human endometrial cell coculture reduces the endocrine disruptor toxicity on mouse embryo development. J Occup Med Toxicol. 2012;7(1):7. doi: 10.1186/1745-6673-7-7.
- Tang WY, Morey LM, Cheung YY, et al. Neonatal exposure to estradiol/bisphenol A alters promoter methylation and expression of Nsbp1 and Hpcal1 genes and transcriptional programs of Dnmt3a/b and Mbd2/4 in the rat prostate gland throughout life. Endocrinology. 2012;153:42-55. doi: 10.1210/en.2011-1308.
- Jorgensen EM, Alderman MH, Taylor HS. Preferential epigenetic programming of estrogen response after in utero xenoestrogen (bisphenol-A) exposure. FASEB J. 2016;30(9):3194-3201. doi: 10.1096/fj.201500089R.
- Rajakumar C, Guan H, Langlois D, et al. Bisphenol A disrupts gene expression in human placental trophoblast cells. Reprod Toxicol. 2015;53:39-44. doi: 10.1016/j.reprotox.2015.03.001.
- Varayoud J, Ramos JG, Bosquiazzo VL, et al. Neonatal exposure to bisphenol A alters rat uterine implantation-associated gene expression and reduces the number of implantation sites. Endocrinology. 2011;152(3):1101-11. doi: 10.1210/en.2009-1037.
- Susiarjo M, Sasson I, Mesaros C, et al. Bisphenol A exposure disrupts genomic imprinting in the mouse. PLoS Genet. 2013;9(4):e1003401. doi: 10.1371/journal.pgen.1003401.
- Mahfoudhi E, Talhaoui I, Cabagnols X, et al. TET2-mediated 5-hydroxymethylcytosine induces genetic instabilityand mutagenesis. DNA Repair. 2016;43:78-88. doi: 10.1016/j.dnarep.2016.05.031.
- Dion V, Lin Y, Price BA, et al., Genome-wide demethylation promotes triplet repeat instability independently of homologous recombination. DNA Repair (Amst). 2008;7(2):313-320. doi: 10.1016/j.dnarep.2007.11.002.
- Schuermann D, Weber AR, Schär P. Active DNA demethylation by DNA repair: Facts and uncertainties. DNA Repair (Amst). 2016;44:92-102. doi: 10.1016/j.dnarep.2016.05.013.
- Manfo FP, Jubendradass R, Nantia EA, et al. Adverse effects of bisphenol A on male reproductive function. Rev Environ Contam Toxicol. 2014;228:57-82. doi: 10.1007/978-3-319-01619-1_3.
Supplementary files














