Анализ роли Н+-АТФазы тонопласта в обеспечении роста растяжением клеток колеоптилей проростков риса, различающихся скоростью роста в условиях нормоксии и затопления
- Авторы: Кирпичникова А.А.1, Бикташева М.О.1, Емельянов В.В.1, Шишова М.Ф.1
-
Учреждения:
- Санкт-Петербургский государственный университет
- Выпуск: Том 23, № 1 (2025)
- Страницы: 5-17
- Раздел: Генетические основы эволюции экосистем
- Статья получена: 16.11.2024
- Статья одобрена: 04.12.2024
- Статья опубликована: 19.04.2025
- URL: https://journals.eco-vector.com/ecolgenet/article/view/641977
- DOI: https://doi.org/10.17816/ecogen641977
- ID: 641977
Цитировать
Аннотация
Актуальность. Одна из стратегий адаптации к затоплению у растительных организмов заключается в усилении роста с целью избежать повреждающего воздействия недостатка кислорода. К модельным объектам для изучения данного типа роста относят колеоптили проростков риса, обладающего способностью к прорастанию под водой. Длина колеоптилей служит маркером жизнеспособности при гипоксии.
Цель — сравнительный анализ роста колеоптилей и участия субъединиц B и E вакуолярной Н+-АТФазы в его реализации у двух сортов риса отечественной селекции, различающихся по исходной скорости удлинения (быстро растущий Кубань 3 и медленно растущий Аметист).
Материалы и методы. Исследование проведено на этилированных проростках колеоптилей риса двух сортов отечественной селекции Кубань 3 и Аметист. Детекцию субъединиц B и E V-АТФазы в составе общей микросомальной фракции реализовывали с использованием иммуно-блотт-анализа. Интенсивность транскрипции генов, кодирующих субъединицы B и E V-АТФазы, определяли методом полимеразной цепной реакции с обратной транскрипцией.
Результаты. Динамика роста в условиях аэрации более соответствовала изменениям субъединиц, происходящих на протеомном уровне, тогда как динамика роста при затоплении имела большее сходство с изменением транскрипции генов, кодирующих эти субъединицы. Сортовые различия были выявлены только при сравнении интенсивности транскрипции, что в конечном итоге не сказывалось на динамике роста колеоптилей.
Выводы. Показано участие субъединиц B и E V-АТФазы в обеспечении вакуолизации в процессе роста растяжением колеоптилей риса при различном содержании кислорода.
Ключевые слова
Полный текст
АКТУАЛЬНОСТЬ
Способность к интенсивному росту можно рассматривать в качестве альтернативы изменению поведения животных, направленному на избегание повреждающего действия внешних стрессовых факторов. У растительных организмов, ведущих прикрепленный образ жизни, именно под синдромом «избегания» (low-oxygen escape syndrome, LOES) понимают одну из стратегий адаптации к затоплению [1]. Этот тип ответной ростовой реакции можно наблюдать у разных видов гидрофитных растений [2]. К их числу относят и широко востребованную сельскохозяйственную культуру — рис посевной (Oryza sativa L.), который обладает способностью прорастать и быстро расти в условиях затопления, преодолевая таким образом недостаток кислорода. При прорастании наблюдается ускорение роста такого ювенильного органа, как колеоптиль [3–5]. Этот видоизмененный лист злаков, замкнутый в трубку, имеет достаточно широкий спектр защитных реакций при подземном прорастании [6]. Наличие более длинного колеоптиля снижает или даже предотвращает повреждающее действие таких стрессовых факторов, как недостаток влаги, резкое понижение температур (заморозки), гербициды и даже грызуны [7–9]. У проростков риса эта защитная реакция приобретает совершенно особую форму. Гипотеза, которая была предложена еще в 1970-е годы, предполагает, что колеоптиль за счет интенсификации роста и быстрого достижения поверхности воды выполняет роль дыхательной трубки для плавания — «шноркеля» [10]. Эта гипотеза до сих пор сохранила свою актуальность [6, 11].
Рост колеоптилей осуществляется преимущественно за счет уникального для растительных клеток роста растяжением — многократного полярного (вертикального) удлинения. Этот процесс является кратковременным, и его интенсивность обеспечивается вектором осмотического давления при резком повышении эластичности клеточных стенок. Механизмы реализации и регуляции роста растяжением легли в основу теории кислого роста, до сих пор актуальной, несмотря на то что была сформулирована почти полвека назад [12, 13]. В условиях нормоксии считается доказанным роль ауксина в активации Н+-АТФазы плазмалеммы, что приводит к закислению клеточных стенок и, тем самым, активирует ряд механизмов, обеспечивающих удлинение клетки.
В то же время рост растяжением сопровождается интенсивной вакуолизацией. Однако представления о механизмах этого процесса еще во многом отрывочны. Не вызывает сомнения резкое усиление транспорта воды и осмотически активных соединений через тонопласт — вакуолярную мембрану. Определяющая роль в генерации мембранного потенциала на тонопласте принадлежит Н+-АТФазе вакуолярного типа (V-типа; КФ 3.6.1.3), широко распространенной в эукариотических клетках [14, 15]. Этот протон-транспортирующий мультисубъединичный фермент хорошо известен участием в адаптации растений к различным стрессорным воздействиям и даже получил название «эко-фермент» [16]. Показано, что состав изоформ, входящих в структуру вакуолярной Н+-АТФазы, имеет тканеспецифичность [16, 17]. Однако участие этой помпы в процессах роста, особенно в условиях недостатка кислорода, еще во многом неизвестны. Изменения могут быть связаны с регуляцией как на транскрипционном, так и на пост-трансляционном уровнях.
Цель исследования — сравнительный анализ интенсивности роста, экспрессии генов, кодирующих субъединицы B и E, а также их представленность в мембранах клеток колеоптилей проростков риса двух сортов, различающихся по интенсивности роста в условиях нормальной аэрации и при затоплении.
МАТЕРИАЛЫ И МЕТОДЫ
Объекты исследований
Эксперименты проводили на колеоптилях 3-, 5- и 7-суточных проростков риса (Oryza sativa L.). Данные временные точки соответствуют началу, интенсификации и завершению роста колеоптилей соответственно. Эти сроки были отобраны на предварительном этапе исследования. В работе использовали семена двух сортов риса отечественной селекции, отобранные ранее: медленно растущий Аметист и быстро растущая Кубань 3 [5]. Семена поверхностно стерилизовали 50% раствором гипохлорита натрия в течение 15 мин, 10 раз промывали стерильной водой и замачивали в горячей воде (55°C) на 1 ч. Далее по 50 семян проращивали в гидропонных условиях на стеклянных мостках (контрольные растения) или создавали условия затопления в банках объемом 750 мл, как описано ранее [5]. Использовали 4% питательный раствор Кнопа [18]. Уровень измеряли с помощью анализатора растворенного кислорода «Эксперт-009» (Эконикс-Эксперт, Россия). Содержание кислорода в гипоксическом растворе не превышало 0,5–0,6 мг/л. Посуду и растворы для работы с растениями предварительно стерилизовали.
Для измерения длины колеоптилей проростки раскладывали в чашки Петри, сканировали с помощью HP ScanJet G2710 и оцифровывали изображения в программе ImageJ (версия 1.8.0_172) [5]. Для анализа использовали все проросшие растения из 50 посеянных.
Получение общей микросомальной фракции клеток колеоптилей риса
Общую микросомальную фракцию получали из клеток колеоптилей проростков сортов Аметист и Кубань 3 при температуре 4°C. Навеску растительного материала (около 1 г) гомогенизировали в среде, состоящей из 330 М сахарозы, 50 мМ Tris-HCl, 5 мМ этилендиаминтетрауксусной кислоты, 5 мМ аскорбиновой кислоты и 5 мМ дитиотреитола (pH 7.8) [19]. Полученный гомогенат центрифугировали 10 мин при 100 g на центрифуге (MPW-350R, Польша), после чего последовательно увеличивали скорость и центрифугировали 5 мин при 3000 g для отделения тяжелых клеточных элементов (ядра, фрагменты клеточных стенок), затем в течение 15 мин при 17 000 g для осаждения митохондрий. Полученный осадок гомогенизировали в среде, содержащей 300 мМ раствор сахарозы на 10 мМ буфере Tris–Mes (pH 7,2). Супернатант центрифугировали при 100 000 g на центрифуге Beckman Avanti J-30I (США) в течение 60 мин. Осадок (общая микросомальная фракция) гомогенизировали в среде, содержащей 300 мМ раствор сахарозы на 10 мМ буфере Tris–Mes (pH 7,2).
Денатурирующий электрофорез белков в полиакриламидном геле
Разделение белков проводили методом денатурирующего электрофореза в 10% полиакриламидном геле [20]. Перед нанесением проб на электрофорезные гели пробы выравнивали по содержанию белка, которое определяли методом Брэдфорда [21]. Белок из общей микросомальной фракции клеточных мембран осаждали 20% трихлоруксусной кислотой и растворяли в загрузочном буфере. На дорожку геля наносили 20 мкг белка. Для контроля разделения белков на геле использовали маркеры молекулярной массы PageRuler™ Prestained Protein Ladder (Thermo Fisher Scientific, США). Электрофоретическое разделение белков проводили в буфере Tris–глицин (25 мМ Tris, 192 мМ глицин, 0,1% додецилсульфат натрия, pH 8,3) в системе Mini-PROTEAN (Bio-RAD, США) при 4°C.
Оценка содержания субъединиц В и E Н+-АТФазы тонопласта в составе общей микросомальной фракции клеток колеоптилей риса с помощью иммуноблот-анализа
После завершения электрофореза гели промывали трансфер-буфером. Далее проводили блот-перенос на нитроцеллюлозную мембрану (Bio-RAD, 0,45 мкм) системы Mini-PROTEAN (Bio-RAD) в течении 1 ч при 100 В и 250 мА по протоколу производителя. После переноса мембрану помещали в блокировочный буфер на 1 ч. Далее в течение ночи мембрану инкубировали в блокировочном буфере, содержащем первичные кроличьи антитела, специфичные для субъединиц В (AS09 503) и E (AS07 213) Н+-АТФазы тонопласта (Agrisera, Швеция). После этого проводили отмывку мембраны 5 раз по 5 мин в 25 мл блокировочного буфера. Вторичные поликлональные козлиные противокроличьи антитела, меченые пероксидазой хрена (AS09 602, Agrisera), растворяли в 25 мл блокирующего буфера с молоком. Мембрану, помещенную в раствор со вторичными антителами, держали при 37°C 1 ч на качалке. После промывки мембраны, пятна субъединиц Н+-АТФазы тонопласта на нитроцеллюлозной мембране проявляли с помощью 3,3-диаминбензидина, растворенного в фосфатно-солевом буфере (pH 5,8). После окрашивания мембрану сканировали. С помощью компьютерной программы PhotoM измеряли оптическую плотность и площадь пятен, отражающую интенсивность взаимодействия субъединиц Н+-АТФазы тонопласта с антителами. После чего эти параметры перемножали и выравнивали относительно контрольных (нормоксических) значений на 3-и сутки прорастания, принимая их за единицу.
Дизайн праймеров и проведение количественной ПЦР с детекцией в реальном времени
Для подбора праймеров использовали базы данных аннотированного генома риса (The Rice Annotation Project, RAP, https://rapdb.dna.affrc.go.jp/) и программное обеспечение VectorNTI Advanced v.11. Праймеры подбирали в соответствии с условиями проведения ПЦР в реальном времени с интеркалирующим красителем SYBR Green I (Евроген, Россия). Параметры праймеров: температура плавления 58–65°C; длина 20–30 нуклеотидов; образование шпилечных структур и димеров в паре праймеров с dG >–1 ккал/моль; GC-состав 40–60%. Для всех последовательностей интереса были подобраны специфичные праймеры. Специфичность праймеров проверяли при помощи алгоритма BLASTn NCBI (https://blast.ncbi.nlm.nih.gov). Последовательности праймеров приведены в таблице 1. Праймеры синтезировали в компании BioBeagle (Россия, https://biobeagle.com/).
Таблица 1. Праймеры к генам интереса и сравнения
Table 1. Primers for genes of interest and comparison
Ген | Локус | Праймеры (5'–3') | Длина продукта, п. н. |
OsVHA-B1 | Os06t0568200 | GTGAGGTATCAGCAGCCCGAGAA CCCGTAAGATCAGGAGTTGGATGTG | 187 |
OsVHA-B2 | Os01t0711000 | CAATCCCAGTGAACGAACATACCCT TCTGAGCAGCAATTTCATTGTGTGG | 143 |
OsVHA-E1 | Os01t0659200 | CCAAGCAGATCCAGCAGATGGTG TTGAACTCCTCCTCGGCGGA | 91 |
OsVHA-E2 | Os05t0480700 | AGCAGATCCAGCAGATGGTCAGG TGATCCTCCGCTTCTCCGACTC | 132 |
OsTUB4 | Os01g0805900 | GAACCATTTGATTTCTGCCACCA CGGTACTGCTGGGAGCCACG | 171 |
Получение кДНК
РНК выделяли из колеоптилей проростков риса (в контрольном варианте удаляли листья, при гипоксии листья внутри колеоптиля не растут) на соответствующие сроки прорастания (3, 5 и 7 дней) с помощью реагента ExtractRNA (Евроген, Россия) в соответствии с протоколом производителя. ДНКазную обработку проводили с помощью ДНКазы (Thermo Fisher Scientific, США, 5 ед./образец) по протоколу производителя. Очищенную РНК растворяли в стерильной воде и хранили при температуре –80°C до анализа.
Реакцию обратной транскрипции проводили с использованием набора MMLV RT kit (Евроген, Россия) в соответствии с протоколом производителя. Для синтеза кДНК брали 2 мкг РНК. Полученную кДНК разливали на аликвоты и хранили при температуре –80°C до анализа.
Анализ экспрессии генов, кодирующих субъединицы B и E Н+-АТФазы тонопласта
Для проведения количественной ПЦР с детекцией в реальном времени использовали Bio-Rad CFX96 REAL-TIME System (США, в ресурсном центре «Развитие молекулярных и клеточных технологий» СПбГУ) и набор детекции для ПЦР 5X qPCRmix-HS SYBR (Евроген, Россия). Амплификацию проводили по следующей программе: 95°C — 5 мин; 95°C — 15 с; 60°C — 30 с; 72°C — 30 с; всего было 45 циклов. Регистрацию флуоресценции интеркалирующего красителя SYBR Green проводили в конце каждого цикла. Для получения относительного количества транскриптов из пороговых циклов амплификации (Ct) использовали метод 2–ΔCt, а для получения степени изменения относительного количества транскриптов каждого гена — метод 2–ΔΔCt [22]. Данные по количественной оценке анализируемого гена представлены в относительных единицах, рассчитанных при сравнении с уровнем экспрессии гена β-тубулина 4 (OsTub4). Изменение уровня экспрессии генов интереса рассчитывали относительно контрольных (нормоксических) значений на 3-и сутки прорастания, принимая их за единицу.
Статистическая обработка
Все эксперименты проводили в 4–8-кратной биологической и 3-кратной аналитической повторности за исключением иммуноблота, который повторяли в 3-кратной биологической повторности. Статистическую обработку данных проводили с помощью GraphPad Prism 8.0.1 для Windows. На рис. 1–3 приведены средние значения величин и их стандартные ошибки. Значения с разными буквами достоверно различаются при p <0,05 (взвешенное среднее Тьюки).
РЕЗУЛЬТАТЫ
Колеоптили проростков риса сорта Кубань 3 в условиях нормоксии отличались интенсивным началом роста (на 3-и сутки достигали 10 мм), двукратным увеличением длины к 5-м суткам и дальнейшим прекращением удлинения на 7-е сутки (рис. 1). Колеоптили риса второго исследуемого сорта — Аметист — характеризовались гораздо меньшим удлинением, которое составило в среднем около 50% от такового у сорта Кубань 3 как на 3-и, так и на 5-е сутки. Позднее рост не компенсировался большей продолжительностью, а также заканчивался к 7-м суткам. Тем самым у обоих сортов характер роста был идентичен, но амплитуда такового у Аметиста была практически в 2 раза меньшей. Прорастание в условиях затопления приводило к изменению динамики роста. Следует отметить значительное ингибирование ростовых процессов на самом начальном этапе прорастания (к 3-м суткам) колеоптилей сорта Кубань 3. Еще более интересен факт последующей интенсификации удлинения, в результате которой на 5-е сутки прорастания в гипоксии длина сравнялась с детектированной в контроле. Отметим также продолжение, хоть и незначительное, роста на 7-е сутки при недостатке кислорода. Для колеоптилей проростков сорта Аметист также отмечено более чем двукратное торможение роста по сравнению с нормоксией. В дальнейший период с 3-х до 5-х суток рост усиливался и продолжался до 7-х суток. Тем не менее финальная длина колеоптилей Аметиста в конечной временной точке эксперимента была почти на 40% меньше.
Рис 1. Рост колеоптилей проростков риса двух сортов (быстро растущий сорт Кубань 3; медленно растущий сорт Аметист) в условиях нормоксии и гипоксии. Значения с разными буквами (a–d) достоверно различаются (взвешенное среднее Тьюки, p <0,05).
Fig 1. The growth of rice seedlings coleoptiles of two varieties (fast-growing variety Kuban 3; slow-growing variety Amethyst) under normoxia and hypoxia. Values with different letters (a–d) are significantly different (Tukey’s test, p <0.05).
Для последующего анализа представленности двух субъединиц вакуолярной Н+-АТФазы из клеток колеоптилей проростков риса получали общую микросомальную фракцию мембран, в которую входит тонопласт. Для данной серии экспериментов за единицу принимали количество белка изоформ интереса, анализируемых по интенсивности взаимодействия со специфичными антителами, на 3-и сутки развития в условиях нормоксии. Выявленные закономерности представлены на рис. 2. В колеоптилях обоих сортов риса была детектирована субъединица B V-Н+-АТФазы с молекуляной массой 55 кДа и субъединица E с молекулярной массой около 31 кДа (рис. 2, a). В условиях нормальной аэрации содержание субъединицы B резко возрастало (более чем в 2,5 раза) к 5-м суткам выращивания проростков сорта Кубань 3 (рис. 2, b). В ходе последующего развития (на 7-е сутки) оно возвращалось к исходному значению. Для колеоптилей проростков сорта Аметист детектирована близкая динамика содержания субъединицы B, но ее амплитуда была значительно слабее, а к 7-м суткам — ниже исходной точки (меньше единицы). Совершенно иными были изменения при проращивании проростков в условиях затопления. В мембранах клеток колеоптилей риса сорта Кубань 3 на 3-и сутки содержание субъединицы B было существенно меньше контрольного варианта. Далее была отмечена слабая тенденция к повышению, но значение так и не достигало единицы. Низкий уровень белка субъединицы B в составе эндомембран был детектирован и для колеоптилей сорта Аметист, причем на всех протестированных сроках они были близки к единице.
Рис 2. Изменение содержания белков субъединиц B и E Н+-АТФазы в составе микросомальной фракции клеток колеоптилей проростков риса двух сортов (быстро растущий сорт Кубань 3; медленно растущий сорт Аметист) в условиях нормоксии и гипоксии: а — вестерн-блот гибридизация проб белка микросомальной фракции с антителами против субъединиц B и E. 35 и 55 кДа — маркеры молекулярного веса; нор. — нормоксия, гип. — гипоксия. Отсканированные изображения характерных блотов; b — относительное изменение содержания белков. Значения с разными буквами (a–d) достоверно различаются (взвешенное среднее Тьюки, p <0,05).
Fig 2. Alteration in the content of proteins of B and E subunits of H+-ATPase tonoplast in the microsomal fraction of coleoptile cells of rice seedlings of two varieties (fast-growing variety Kuban 3; slow-growing variety Amethyst) under normoxia and hypoxia: a, western blot hybridization of microsomal fraction protein samples with antibodies against B and E subunits. 35 and 55 kDa, molecular weight markers; nor., normoxia, hyp., hypoxia; Scanned images of typical blots; b, relative change in protein content. Values with different letters (a–d) are significantly different (Tukey’s test, p <0.05).
В целом сходная тенденция была выявлена и для субъединицы E (рис. 2). В условиях достаточного снабжения кислородом в мембранах колеоптилей риса сорта Кубань 3 максимальное содержание белков интереса было выявлено на 5-е сутки развития, которое потом снижалось, но все равно шестикратно превышало таковое на 3-и сутки. Для сорта Аметист также была отмечена сходная нелинейная динамика содержания, но гораздо менее выраженная. Однако при затоплении изменение содержания субъединицы E было отличным от такового под действием нормоксии, а также от данных, полученных для субъединицы B. Отметим, что на 3-и сутки развития недостаток кислорода повышал содержание изоформы E в мембранах клеток колеоптилей проростков сорта Кубань 3. При этом на 5-и сутки содержание не изменялось и даже немного снижалось на заключительном временном интервале. Близкая тенденция была показана и для клеток колеоптилей проростков риса сорта Аметист. Таким образом, полученные данные об изменении изоферментного состава вакуолярной Н+-АТФазы соответствовали динамике роста колептилей в условиях нормоксии, однако значительно отличались от выявленной в условиях затопления.
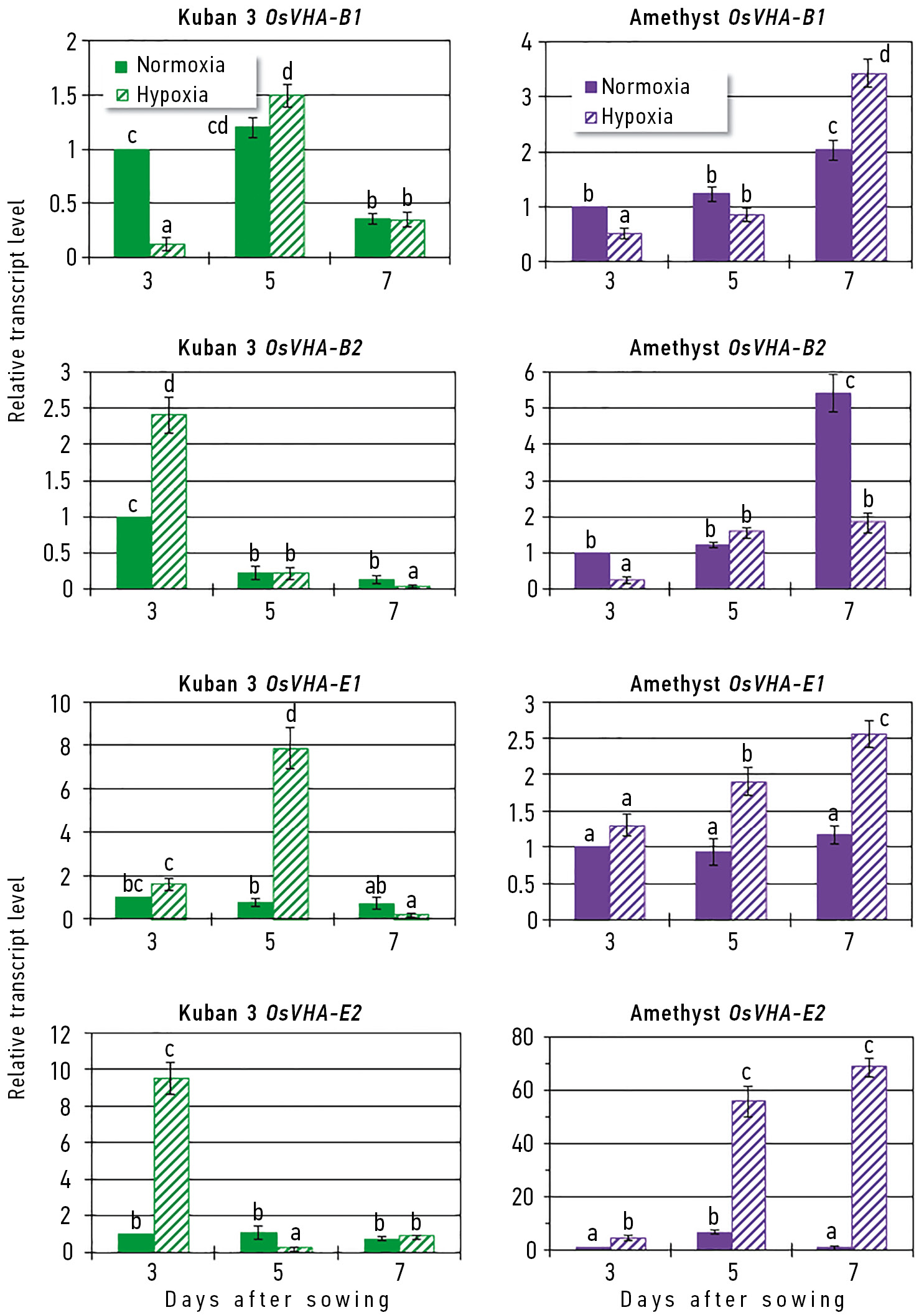
В завершении проведенного нами исследования была проанализирована экспрессия генов, кодирующих субъединицы B и E в аналогичных условиях прорастания: нормоксии и гипоксии (рис. 3). Можно видеть, что накопление транскриптов гена OsVHA-B1 у сорта Кубань 3 имело нелинейную динамику с достижением максимума на 5-е сутки, причем при затоплении увеличение было наиболее значимым при переходе от 3-х к 5-м суткам развития. В клетках колеоптилей сорта Аметист характер изменений был совершенно иным: транскрипты накапливались постепенно и их уровень достигал максимума на 7-е сутки независимо от снабжения кислородом. Однако величина этих изменений также была выше при затоплении. Значительные отличия были выявлены при анализе транскрипции гена OsVHA-B2. Накопление транскриптов снижалось с возрастом проростков сорта Кубань 3, причем оно было более выраженным в условиях недостатка кислорода. А у проростков сорта Аметист динамика была прямо противоположной и достигала максимума на 7-е сутки и в условиях нормоксии.
Рис 3. Изменение относительного уровня накопления транскриптов генов OsVHA-B1, OsVHA-В2 и OsVHA-Е1, OsVHA-Е2 в колеоптилях проростков риса двух сортов (быстро растущий сорт Кубань 3; медленно растущий сорт Аметист) в условиях нормоксии и гипоксии. Значения с разными буквами (a–d) достоверно различаются (взвешенное среднее Тьюки, p <0,05).
Fig 3. Changes in the relative level of accumulation of OsVHA-B1, OsVHA-B2, OsVHA-E1, and OsVHA-E2 gene transcripts in coleoptiles of rice seedlings of two varieties (fast-growing variety Kuban 3; slow-growing variety Amethyst) under normoxia and hypoxia conditions. Values with different letters (a–d) are significantly different (Tukey’s test, p <0.05).
Обратимся теперь к гену OsVHA-Е1. Отметим, что существенных изменений при нормальной аэрации не наблюдалось у обоих протестированных сортов. Однако в условиях гипоксии в клетках колеоптилей наибольшее накопление транскриптов фиксировали на 5-е сутки у проростков сорта Кубань 3 и на 7-е сутки у проростков сорта Аметист. Особенно следует отметить динамику экспрессии гена OsVHA-Е2. Отсутствие изменения транскриптов в ходе развития проростков сорта Кубань 3 в контроле менялось кардинальным образом при затоплении: максимум отмечен на 3-и сутки, причем он почти в 9 раз превосходил таковой при нормоксии. У проростков сорта Аметист было зарегистрировано небольшое нелинейное изменение (максимум на 5-е сутки) накопления транскриптов в нормальных условиях, а в случае затопления содержание таковых постепенно увеличивалось с длительностью эксперимента и достигало 70-кратного повышения у 7-суточных проростков. Полученные данные указывают на то, что выявленные изменения экспрессии генов, кодирующих изоформы субъединиц B и E вакуолярной Н+-АТФазы имели динамику отличную от результатов, полученных в ходе бот-анализа.
ОБСУЖДЕНИЕ
Вакуолярная Н+-АТФаза представляет собой наиболее распространенный протон-транспортирующий фермент внутриклеточных мембран растительной клетки [23, 24]. Ее идентифицировали на мембранах эндоплазматического ретикулума, аппарата Гольджи, эндовезикулярной сети, но основная доля локализации Н+-АТФазы — тонопласт. Перечисленные компартменты отличаются более кислым рН, что делает незаменимой роль данного протонного насоса в обеспечении их функциональной активности. К числу важнейших процессов растительной клетки, в реализации которых принимает участие V-Н+-АТФаза тонопласта, можно отнести генерацию электрохимического потенциала ионов водорода на вакуолярной мембране и поддержание цитоплазматического рН-гомеостаза [17, 24].
Хорошо известно, что действие эндогенных и экзогенных факторов на растительные организмы начинается с понижения рН. Данная реакция столь часто детектируется у разных видов растений, в разных тканях и специализированных клетках, что позволяет рассматривать изменение цитоплазматического уровня Н+ и в качестве сигнала, и в качестве вторичного посредника в трансдукции разнообразных сигнальных каскадов [25]. Этот феномен неоднократно был продемонстрирован и в условиях недостатка кислорода [26, 27]. Закисление цитозоля при гипо- и аноксии происходит по нескольким причинам. Основная причина — низкая концентрация АТФ, снижающая активность протонных насосов плазматической мембраны и тонопласта [27]. Уровень АТФ в клетке истощается в течение 1–2 мин после переключения на анаэробный метаболизм [28]. Другим важным источником H+ является гидролиз АТФ и других нуклеозидтрифосфатов (НТФ) [27, 28], поскольку фосфат, пирофосфат и нуклеозидмонофосфат обладают большей ацидофицирующей активностью, чем НТФ. Возможные источники протонов — утечка из вакуоли, а также накопление интермедиатов и продуктов анаэробного метаболизма, преимущественно лактата [27, 29]. В тканях устойчивых растений ацидоз развивается медленнее и менее интенсивен [30, 31], что может быть связано с большей стимуляцией спиртового брожения вместо молочного [29] и с наличием альтернативных метаболических путей, обеспечивающих реокисление НАД(Ф)Н без аккумуляции токсичных анаэробных метаболитов [1, 29]. В результате гликолиз, переходящий в анаплеротические пути, обеспечивает производство АТФ, которая используется для поддержания активности протонных насосов плазматической мембраны и тонопласта. Биохимический pH-стат, состоящий из челнока карбоксилирующих/декарбоксилирующих ферментов, также участвует в регуляции pH [30]. Закисление цитоплазмы при действии аноксии было свойственно и клеткам колеоптилей риса [32]. Этот ювенильный орган, у способного к прорастанию при затоплении риса, резко увеличивается в длину, чтобы обеспечить «доставку» кислорода к затопленным тканям проростка. Тем самым поддерживается жизнеспособность растения риса, которое при восстановлении нормальной аэрации продолжает свое развитие [33]. При затоплении рост колеоптиля сквозь толщу воды более продолжителен, чем на воздухе, а следовательно, происходит его большее удлинение [34], что согласуется с нашими данными (рис. 1). Показано, что величина колеоптиля может указывать на большую жизнеспособность растений риса и обеспечивается на генетическом уровне [5, 35].
В нашем исследовании был выполнен сравнительный анализ двух сортов риса Кубань 3 (быстро растущий) и Аметист (медленно растущий) отечественной селекции, различающихся исходной интенсивностью роста колеоптилей при нормоксии. Максимальная длина у обоих сортов зафиксирована на 5-е сутки и далее рост останавливался (рис. 1). Полученные в дальнейшем результаты указывают на то, что даже при индуцированном гипоксией изменении динамики роста (продолжении роста до 7 сут), исходные различия по интенсивности удлинения между сортами сохранялись. Возникает вопрос, будут ли сохранены и все механизмы, обеспечивающие рост в столь кардинально различающихся по содержанию кислорода условиях. Рост растяжением сопровождается интенсивной вакуолизацией. Следовательно, можно ожидать, что и роль маркерного для вакуолярной системы протон-траспортирующего фермента может динамично меняться.
По своей субъединичной организации и по принципу ротационного катализа V Н+-АТФаза тонопласта эволюционно родственна АТФ-синтазам F типа [36]. В ее состав входят 13 субъединиц, организованных в два домена: V0 и V1 [24, 37]. В настоящее время накоплены сведения о функциональном значении различных субъединиц и о возможных механизмах их регуляции [16, 24]. Однако практически ничего неизвестно о возможном участии субъединиц V-Н+-АТФазы в обеспечении роста растяжением ни в условиях нормоксии, ни при затоплении.
Тем не менее для изоформ субъединицы VHA-Е, играющей важнейшую роль в ассоциации доменов V1 и V0 вакуолярной АТФазы, описано тканеспецифичное накопление на этапе эмбриогенеза арабидопсиса [38]. Было высказано предположение, что основная изоформа VHA-Е 1 относится к группе белков домашнего хозяйства и, по-видимому, участвует в обеспечении роста. Напротив, изоформа VHA-Е2 была идентифицирована исключительно в пыльце и возможно участвует в регуляции роста пыльцевой трубки [16, 39]. Ряд отрывочных данных позволяет заключить, что субъединица VHA-В, известная как нуклеотид-связывающая, но утратившая каталитическую функцию, имеет достаточно выраженное регуляторное значение благодаря способности связываться с цитоскелетом и ферментом гликолиза альдолазой [40, 41]. В то же время показано, что экспрессия генов, кодирующих эту субъединицу пшеницы, в арабидопсисе приводило к удлинению корней на фоне солевого стресса [42]. На основании приведенных выше данных именно эти субъединицы были выбраны для дальнейшего анализа.
Применение специфичных антител позволило оценить динамику содержания обеих субъединиц в микросомальной фракции, полученной из клеток колеопилей риса (рис. 2). Можно видеть, что в ходе аэробного развития пул субъединицы B менялся нелинейно и имел максимум на 5-е сутки развития, когда удлинение было максимальным. Изменения для сорта Кубань 3 были значительно более выражены по сравнению с сортом Аметист. Интересно отметить, что и для субъединицы E была выявлена та же закономерность. Особенно сильно (почти в 18 раз) усиливалось ее накопление у сорта Кубань 3 на 5-е сутки развития.
Недостаток кислорода при затоплении кардинальным образом менял выявленную динамику. В целом можно заключить, что содержание субъединицы B практически оставалось неизменным, независимо от сорта риса. Рассматривая субъединицу E, следует отметить небольшое увеличение ее представленности по сравнению с таковым на начальном этапе развития (3-е сутки). В дальнейшем изменений не отмечено ни у колеоптией быстро растущего сорта Кубань 3, ни у медленно растущего сорта Аметист. Из полученных данных можно заключить, что вовлечение вакуолярной Н+-АТФазы в обеспечение роста клеток колеоптилей при разном уровне снабжения кислородом различалось. Энергетическое голодание приводило к отсутствию ожидаемого накопления субъединиц B и E не только на 5-е, но и на 7-е сутки развития при затоплении, когда рост еще активно продолжался.
Тем самым особое значение приобретает анализ изменения экспрессии генов, кодирующих эти субъединицы. Следует отметить, что VHA-B и VHA-E кодируются малым семейством из 2 генов (OsVHA-B2, OsVHA-В2 и OsVHA-Е1, OsVHA-Е2). Показано, что динамика накопления продуктов транскрипции этих генов сильно отличалась от динамики содержания кодируемых белков (рис. 3). В условиях нормоксии в абсолютном большинстве случаев уровень экспрессии практически не менялся независимо от сорта и периода развития колеоптиля. Исключение составляет изменение экспрессии OsVHA-Е2 с максимумом на 5-е сутки развития и OsVHA-В2 с максимумом на 7-е сутки. Причем оба исключения относятся к проросткам риса сорта Аметист. Однако при подводном прорастании для большинства генов было продемонстрировано усиление экспрессии на 5-е и/или 7-е сутки, что может указывать на их участие в регуляции стресс-индуцированного роста. В этом варианте исключение составили гены OsVHA-В2 и OsVHA-Е2, но для проростков риса сорта Кубань 3. Выявленные различия можно объяснить несколькими причинами. Так, например, для изоформ VHA-Е уже было показано несоответствие между накоплением РНК-продукта и концентрацией кодируемого белка [43]. Отмечалась также возможность нескоординированной регуляции субъединиц A и B V-АТФазы на траснкрипционном уровне при засолении [44]. Важное значение может иметь и временной фактор. Для генов субъединицы E, транскрипция которых была детектирована только спустя 72 ч после начала засоления [45]. Тем не менее представленные результаты указывают на различия в регуляции экспрессии генов, кодирующих субъединицы B и E в ходе развития двух сортов риса, различающихся по нативной способности к росту, в условиях нормоксии и гипоксии.
ЗАКЛЮЧЕНИЕ
Подводя итог, следует отметить, что на колеоптилях риса получены результаты, указывающие на различия, возникающие на экспрессионном и протеомном уровне для двух субъединиц (B и E) вакуолярной Н+-АТФазы в ходе роста растяжением клеток колеоптилей риса в норме и при затоплении. Тем не менее полного соответствия в характере изменения роста, представленности указанных субъединиц в составе эндомембран и интенсивность экспрессии кодирующих их генов не выявлено. Данный феномен может быть обусловлен различиями в регуляции на транскрипционном и пост-трансляционном уровнях.
Полученные данные свидетельствуют о целесообразности продолжения исследования функциональной значимости различных субъединиц Н+-АТФазы вакуоли в реализации роста растяжением, а также по выявлению механизмов временной координации регуляции работы протон-транспортирующего фермента на транскрипционном и протеомном уровнях.
ДОПОЛНИТЕЛЬНАЯ ИНФОРМАЦИЯ
Благодарности. Авторы выражают благодарность А.Д. Бертовой и А.В. Кондратьевой за помощь в проведении предварительных экспериментов. Исследования выполнены с использованием оборудования Ресурсного центра Санкт-Петербургского государственного университета «Развитие молекулярных и клеточных технологий».
Вклад авторов. Все авторы внесли существенный вклад в разработку концепции, проведение исследования и подготовку статьи, прочли и одобрили финальную версию перед публикацией. Личный вклад каждого автора: А.А. Кирпичникова — выращивание растительного материала, получение микросомальной фракции, блот-анализ, анализ полученных данных, написание текста; М.О. Бикташева — выращивание растительного материала, сбор и обработка материалов, анализ экспрессии генов; В.В. Емельянов — блот-анализ, анализ полученных данных, обзор литературы, написание текста статьи, внесение окончательной правки; М.Ф. Шишова — концепция и дизайн исследования, анализ полученных данных, обзор литературы, подготовка текста статьи, привлечение финансирования.
Источник финансирования. Исследование выполнено за счет гранта Российского научного фонда № 22-14-00096, https://rscf.ru/project/22-14-00096/.
Конфликт интересов. Авторы заявляют об отсутствии конфликта интересов.
Об авторах
Анастасия Алексеевна Кирпичникова
Санкт-Петербургский государственный университет
Email: nastin1972@mail.ru
ORCID iD: 0000-0001-5133-5175
SPIN-код: 9960-9527
Россия, Санкт-Петербург
Мария Олеговна Бикташева
Санкт-Петербургский государственный университет
Email: togepi03@mail.ru
ORCID iD: 0009-0000-9263-7815
Россия, Санкт-Петербург
Владислав Владимирович Емельянов
Санкт-Петербургский государственный университет
Email: bootika@mail.ru
ORCID iD: 0000-0003-2323-5235
SPIN-код: 9460-1278
канд. биол. наук, доцент
Россия, Санкт-ПетербургМария Фёдоровна Шишова
Санкт-Петербургский государственный университет
Автор, ответственный за переписку.
Email: mshishova@mail.ru
ORCID iD: 0000-0003-3657-2986
SPIN-код: 7842-7611
д-р биол. наук, профессор
Россия, Санкт-ПетербургСписок литературы
- Voesenek L.A.C.J., Bailey-Serres J. Flood adaptive traits and processes: An overview // New Phytol. 2015. Vol. 206, N 1. P. 57–73. doi: 10.1111/nph.13209
- Bailey-Serres J., Lee S.C., Brinton E. Waterproofing crops: Effective flooding survival strategies // Plant Physiol. 2012. Vol. 160, N 4. P. 1698–1709. doi: 10.1104/pp.112.208173
- Ismail A.M., Ella E.S., Vergara G.V., Mackill D.J. Mechanisms associated with tolerance to submergence during germination and early seedling growth in rice (Oryza sativa) // Ann Bot. 2009. Vol. 103, N 2. P. 197–209. doi: 10.1093/aob/mcn211
- Su X., Wu H., Xiang J., et al. Evaluation of submergence tolerance of different rice genotypes at seedling emergence stage under water direct seeding // OALibJ. 2022. Vol. 9, N 5. ID e8706. doi: 10.4236/oalib.1108706
- Богданова Е.М., Бертова А.Д., Кирпичникова А.А., и др. Показатели роста и устойчивости к дефициту кислорода у колеоптилей Oryza sativa L. из коллекции Федерального научного центра риса // Сельскохозяйственная биология. 2023. Т. 58, № 3. С. 538–553. doi: 10.15389/agrobiology.2023.3.538rus EDN: XOZZKM
- Кирпичникова А.А., Кудоярова Г.Р., Емельянов В.В., Шишова М.Ф. Особенности роста растяжением клеток колеоптилей злаков в норме и при затоплении // Экологическая генетика. 2023. Т. 21, № 4. С. 401–417. doi: 10.17816/ecogen623901 EDN: QWDPWQ
- O’Sullivan P.A., Weiss G.M., Friesen D. Tolerance of spring wheat (Triticum aestivum L.) to trifluralin deep-incorporated in the autumn or spring // Weed Res. 1985. Vol. 25, N 4. P. 275–280. doi: 10.1111/j.1365-3180.1985.tb00645.x
- Brown P.R., Singleton G.R., Tann C.R., Mock I. Increasing sowing depth to reduce mouse damage to winter crops // Crop Prot. 2003. Vol. 22, N 4. P. 653–660. doi: 10.1016/S0261-2194(03)00006-1
- Rebetzke G.J., Zheng B., Chapman S.C. Do wheat breeders have suitable genetic variation to overcome short coleoptiles and poor establishment in the warmer soils of future climates? // Funct Plant Biol. 2016. Vol. 43, N 10. P. 961–972. doi: 10.1071/FP15362
- Kordan H.A. Patterns of shoot and root growth in rice seedlings germinating under water // J Appl Ecol. 1974. Vol. 11, N 2. P. 685–690. doi: 10.2307/2402218
- Shiono K., Koshide A., Iwasaki K., et al. Imaging the snorkel effect during submerged germination in rice: Oxygen supply via the coleoptile triggers seminal root emergence underwater // Front Plant Sci. 2022. Vol. 13. ID 946776. doi: 10.3389/fpls.2022.946776
- Arsuffi G., Braybrook S.A. Acid growth: an ongoing trip // J Exp Bot. 2018. Vol. 69, N 2. P. 137–146. doi: 10.1093/jxb/erx390
- Kirpichnikova А., Chen Т., Teplyakova S., Shishova M. Proton pump and plant cell elongation // Biol Commun. 2018. Vol. 63, N 1. P. 32–42. doi: 10.21638/spbu03.2018.105
- Merzendorfer H., Graf R., Huss M., et al. Regulation of proton translocating V-ATPases // J Exp Biol. 1997. Vol. 200, N 2. P. 225–235. doi: 10.1242/jeb.200.2.225
- Dettmer J., Hong-Hermesdorf A., Stierhof Y.-D., Schumacher K. Vacuolar H+-ATPase activity is regulated for endocytic and secretory trafficking in Arabidopsis // Plant Cell. 2006. Vol. 18, N 3. P. 715–730. doi: 10.1105/tpc.105.037978
- Seidel T. The plant V-ATPase // Front Plant Sci. 2022. Vol. 13. ID 931777. doi: 10.3389/fpls.2022.931777
- Кирпичникова А.А., Чэнь Т., Романюк Д.А., и др. Особенности регуляции вакуолярной Н+-АТФазы растительных клеток // Вестник Санкт-Петербургского университета. Сер. 3. Биология. 2016. № 2. С. 149–160. doi: 10.21638/11701/spbu03.2016.212 EDN: WIQTGD
- Yemelyanov V.V., Lastochkin V.V., Chirkova T.V., et al. Indoleacetic acid levels in wheat and rice seedlings under oxygen deficiency and subsequent reoxygenation // Biomolecules. 2020. Vol. 10, N 2. ID 276. doi: 10.3390/biom10020276
- Шишова М.Ф., Танкелюн О.В., Рудашевская Е.Л., и др. Изменение транспортной активности протонных насосов клеток колеоптилей на ранних этапах развития проростков кукурузы // Онтогенез. 2012. Т. 43, № 6. С. 413–424. EDN: PDDSEV
- Laemmli U.K. Cleavage of structural proteins during the assembly of the head of bacteriophage T4 // Nature. 1970. Vol. 227, N 5259. P. 680–683. doi: 10.1038/227680a0
- Bradford M.M. A rapid and sensitive method for the quantitation of microgram quantities of protein utilizing the principle of protein-dye binding // Anal Biochem. 1976. Vol. 72, N 1–2. P. 248–254. doi: 10.1016/0003-2697(76)90527-3
- Livak K.J., Schmittgen T.D. Analysis of relative gene expression data using real-time quantitative PCR and the 2–ΔΔCT method // Methods. 2001. Vol. 25, N 4. P. 402–408. doi: 10.1006/meth.2001.1262
- Schumacher K., Krebs M. The V-ATPase: Small cargo, large effects // Curr Opin Plant Biol. 2010. Vol. 13, N 6. P. 724–730. doi: 10.1016/j.pbi.2010.07.003
- Wang C., Xiang Y., Qian D. Current progress in plant V-ATPase: From biochemical properties to physiological functions // J Plant Physiol. 2021. Vol. 266. ID 153525. doi: 10.1016/j.jplph.2021.153525
- Raghavendra A.S., Ye W., Kinoshita T. Editorial: pH as a signal and secondary messenger in plant cells // Front Plant Science. 2023. Vol. 14. ID 1148689. doi: 10.3389/fpls.2023.1148689
- Felle H.H. pH: Signal and messenger in plant cells // Plant Biol. 2001. Vol. 3, N 6. P. 577–591. doi: 10.1055/s-2001-19372
- Felle H.H. pH regulation in anoxic plants // Ann Bot. 2005. Vol. 96, N 4. P. 519–532. doi: 10.1093/aob/mci207
- Drew M.C. Oxygen deficiency and root metabolism: Injury and acclimation under hypoxia and anoxia // Annu Rev Plant Physiol Plant Mol Biol. 1997. Vol. 48. P. 223–250. doi: 10.1146/annurev.arplant.48.1.223
- Chirkova T., Yemelyanov V. The study of plant adaptation to oxygen deficiency in Saint Petersburg University // Biol Commun. 2018. Vol. 63, N 1. P. 17–31. doi: 10.21638/spbu03.2018.104
- Kulichikhin K.Y., Aitio O., Chirkova T.V., Fagerstedt K.V. Effect of oxygen concentration on intracellular pH, glucose-6-phosphate and NTP content in rice (Oryza sativa) and wheat (Triticum aestivum) root tips: In vivo 31P-NMR study // Physiol Plant. 2007. Vol. 129, N 3. P. 507–518. doi: 10.1111/j.1399-3054.2006.00819.x
- Yemelyanov V.V., Chirkova T.V., Lindberg S.M., Shishova M.F. Potassium efflux and cytosol acidification as primary anoxia-induced events in wheat and rice seedlings // Plants. 2020. Vol. 9, N 9. ID 1216. doi: 10.3390/plants9091216
- Greenway H., Kulichikhin K.Y., Cawthray G.R., Colmer T.D. pH regulation in anoxic rice coleoptiles at pH 3.5: Biochemical pH-stats and net H+ influx in the absence and presence of NOFormula // J Exp Bot. 2012. Vol. 63, N 5. P. 1969–1983. doi: 10.1093/jxb/err395
- Narsai R., Secco D., Schultz M.D., et al. Dynamic and rapid changes in the transcriptome and epigenome during germination and in developing rice (Oryza sativa) coleoptiles under anoxia and re-oxygenation // Plant J. 2017. Vol. 89, N 4. P. 805–824. doi: 10.1111/tpj.13418
- Nghi K.N., Tondelli A., Valè G., et al. Dissection of coleoptile elongation in japonica rice under submergence through integrated genome-wide association mapping and transcriptional analyses // Plant Cell Environ. 2019. Vol. 42, N 6. P. 1832–1846. doi: 10.1111/pce.13540
- Pucciariello C. Molecular mechanisms supporting rice germination and coleoptile elongation under low oxygen // Plants. 2020. Vol. 9, N 8. ID 1037. doi: 10.3390/plants9081037
- Gruber G., Wieczorek H., Harvey W.R., Muller V. Structure-function relationship of A-, F- and V-ATPases // J Exp Biol. 2001. Vol. 204, N 15. P. 2597–2605. doi: 10.1242/jeb.204.15.2597
- Sze H., Schumacher K., Muller M.L., et al. A simple nomenclature for a complex proton pump: VHA genes encode the vacuolar H+-ATPase // Trends Plant Sci. 2002. Vol. 7, N 4. P. 157–161. doi: 10.1016/s1360-1385(02)02240-9
- Dettmer J., Schubert D., Calvo-Weimar O., et al. Essential role of the V-ATPase in male gametophyte development // Plant J. 2005. Vol. 41, N 1. P. 117–124. doi: 10.1111/j.1365-313X.2004.02282.x
- Dettmer J., Liu T.-Y., Schumacher K. Functional analysis of Arabidopsis V-ATPase subunit VHA-E isoforms // Eur J Cell Biol. 2010. Vol. 89, N 2–3. P. 152–156. doi: 10.1016/j.ejcb.2009.11.008
- Chen S.-H., Bubb M.R., Yarmola E.G., et al. Vacuolar H+-ATPase binding to microfilaments: regulation in response to phosphatidylinositol 3-kinase activity and detailed characterization of the actin-binding site in subunit B // J Biol Chem. 2004. Vol. 279, N 9. P. 7988–7998. doi: 10.1074/jbc.M305351200
- Lu M., Ammar D., Ives H., et al. Physical interaction between aldolase and vacuolar H+-ATPase is essential for the assembly and activity of the proton pump // J Biol Chem. 2007. Vol. 282, N 34. P. 24495–24503. doi: 10.1074/jbc.M702598200
- Wang L., He X., Zhao Y., et al. Wheat vacuolar H+-ATPase subunit B cloning and its involvement in salt tolerance // Planta. 2011. Vol. 234, N 1. P. 1–7. doi: 10.1007/s00425-011-1383-2
- Hanitzsch M., Schnitzer D., Seidel T., et al. Transcript level regulation of the vacuolar H+-ATPase subunit isoforms VHA-А, VHA-E and VHA-G in Arabidopsis thaliana // Mol Membr Biol. 2007. Vol. 24, N 5–6. P. 507–518. doi: 10.1080/09687680701447393
- Löw R., Rockel B., Kirsch M., et al. Early salt stress effects on the differential expression of vacuolar H+-ATPase genes in roots and leaves of Mesembryanthemum crystallinum // Plant Physiol. 1996. Vol. 110, N 1. P. 259–265. doi: 10.1104/pp.110.1.259
- Golldack D., Dietz K.-J. Salt-induced expression of the vacuolar H+-ATPase in the common ice plant is developmentally controlled and tissue specific // Plant Physiol. 2001. Vol. 125, N 4. P. 1643–1654. doi: 10.1104/pp.125.4.1643
Дополнительные файлы








