Evaluation of the effectiveness of modified CRD tests in the diagnosis of preeclampsia
- Authors: Fedotov S.A.1,2,3, Gerasimova E.M.1, Vashukova E.S.2, Pakin V.S.2, Kapustin R.V.2, Pachuliya O.V.2, Glotov A.S.2, Kulichikhin K.Y.1, Chernoff Y.O.4, Rubel A.A.1
-
Affiliations:
- St. Petersburg State University
- The Research Institute of Obstetrics, Gynecology and Reproductology named after D.O. Ott
- Pavlov Institute of Physiology
- Georgia Institute of Technology
- Issue: Vol 71, No 4 (2022)
- Pages: 65-74
- Section: Original study articles
- Submitted: 20.07.2022
- Accepted: 22.08.2022
- Published: 22.10.2022
- URL: https://journals.eco-vector.com/jowd/article/view/109365
- DOI: https://doi.org/10.17816/JOWD109365
- ID: 109365
Cite item
Abstract
BACKGROUND: Preeclampsia is a multisystem complication of pregnancy associated with an increased risk of maternal / perinatal morbidity and mortality. In this regard, the development and following improvement of low-cost and convenient methods for diagnosis of preeclampsia is essential for accurate prediction, quick confirmation of the diagnosis and convenient monitoring of the pathology.
AIM: The aim of this study was to optimize a preeclampsia diagnosis test system based on the binding of proteins to the Congo red dye (CRD test).
MATERIALS AND METHODS: The study used 70 urine samples obtained from patients diagnosed with preeclampsia (n = 25) and from non-preeclampsia pregnant women (n = 45). The samples were stained with Congo red and the dye retention in the sample on the membrane after washing was calculated. Before staining, protein concentrations in the urine samples were equalized using centrifugal concentrators or the samples were used with the original protein concentrations. To wash the samples from the unbound dye, either methanol or ethanol was used. To compare the effectiveness of four CRD test variants differing in sample preparation, staining, and washing, ROC analysis was performed (IBM SPSS Statistics 20 software).
RESULTS: The express CRD test was designed as an optimization of the conventional CRD test. The effectiveness of the express test (the area under the ROC curve being 0.9) was higher than that of the other three test options (the area under the ROC curve ranges from 0.67 to 0.82). The developed express CRD test can provide 95% specificity and 73% sensitivity, which indicates the promise of using this method in clinical diagnostics for the specific detection of preeclampsia patients.
CONCLUSIONS: Optimization of the CRD test has provided more effective protocols for diagnosis of preeclampsia from urine samples using Congo red (express CRD test) and has simplified the routine application of this test in clinical practice.
Keywords
Full Text
ОБОСНОВАНИЕ
Преэклампсия (ПЭ) — патология беременности и одна из основных причин материнских заболеваемости и смертности в мире [1]. Это заболевание возникает после 20-й недели беременности и характеризуется артериальной гипертензией, протеинурией, а также фетоплацентарной и полиорганной дисфункциями [2]. ПЭ ассоциирована с нарушением темпа развития плода, выраженным задержкой его роста и морфофункциональной дезадаптацией в постнатальном периоде [3]. Несмотря на длительную историю изучения ПЭ, ее этиология и патогенез остаются малопонятными [4, 5], а терапия носит симптоматический характер.
В настоящее время ПЭ диагностируют по артериальной гипертензии в сочетании с протеинурией, генерализованными отеками и проявлениями полиорганной и фетоплацентарной недостаточностей [6, 7]. При наличии исходной хронической артериальной гипертензии и нефропатии с протеинурией диагностика ПЭ может быть крайне затруднена. Как следствие, в клинической практике отсутствуют быстрые и удобные лабораторные методы диагностики этого осложнения беременности [8, 9], поэтому существует необходимость исследований, направленных на улучшение диагностических тестов ПЭ и поиск новых биомаркеров для точного прогнозирования, быстрого подтверждения диагноза и удобного мониторинга данного осложнения гестации.
В 2014 г. I.A. Buhimschi и соавт. [10] показали возможность диагностики ПЭ при помощи окрашивания белков мочи беременных амилоид-специфичным красителем конго красным. Тест на окрашивание белков мочи для постановки диагноза ПЭ получил название Congo Red Dot (CRD). При этом диагностический и прогностический потенциал теста CRD оказался выше, чем у диагностических полосок, показывающих уровень креатинина и альбумина в моче [10].
Цель работы — апробировать и оптимизировать тест-систему для диагностики ПЭ, основанную на связывании белков мочи с красителем конго красным.
МАТЕРИАЛЫ И МЕТОДЫ
В работе использованы образцы мочи 70 беременных женщин, предоставленные НИИ АГиР им. Д.О. Отта и Родильным домом № 9 (Санкт-Петербург). В течение нескольких часов после взятия биоматериала образцы центрифугировали 20 мин при 4000 хg и температуре 4 °C, далее переносили в криопробирки аликвотами по 4 мл и замораживали при температуре −80 °C. Экспериментальную группу составили образцы женщин с ПЭ (n = 25). ПЭ была диагностирована на основании клинических рекомендаций Минздрава России «Преэклампсия. Эклампсия. Отеки, протеинурия и гипертензивные расстройства во время беременности, в родах и послеродовом периоде» 2021 г. [12]. Согласно данным рекомендациям критериями постановки диагноза были систолическое артериальное давление более 140 мм рт. ст. и/или диастолическое артериальное давление более 90 мм рт. ст. после 20-й недели беременности независимо от уровня артериального давления в анамнезе в сочетании с протеинурией или хотя бы одним другим параметром, свидетельствующим о присоединении полиорганной недостаточности. Протеинурия с выделением мочи более 0,3 г/сут или потерей белка более 0,3 г/л в двух порциях мочи, взятых с интервалом 6 ч [12]. В группу контроля вошли женщины без клинических проявлений ПЭ во время беременности, в родах и послеродовом периоде (n = 45).
Концентрацию белка в моче измеряли на анализаторе мочи LAURA Smaгt посредством диагностических полосок DekaPHAN Laura (Erba Mancheim, Чехия). Исследуемые группы были сопоставимы по возрасту и сроку беременности. Средние значения возраста и срока беременности на момент взятия биоматериала в основной группе составили 33,2 ± 3,63 лет и 33,9 ± 4,07 нед., в группе контроля — 31,3 ± 4,19 лет и 35,2 ± 5,31 нед. (p = 0,0688 и p = 0,1562 соответственно). Все женщины после получения в доступной форме информации о научном исследовании подписали информированное добровольное согласие на участие в нем. Исследование одобрено локальным этическим комитетом НИИ АГиР им. Д.О. Отта (протокол № 97 от 27.06.2019).
Перед проведением теста CRD осуществляли выравнивание концентрации белка в анализируемых образцах в диапазоне 600–900 мкг/мл. Концентрацию белка в образцах измеряли методом Брэдфорда, используя набор Quick Start Bradford Protein Assay (Bio-Rad, США). В образцах мочи с низким содержанием общего белка производили концентрирование белка при помощи центрифужных ультрафильтров VIVASPIN 6 с порогом отсечения 5 кДа (Sartorius, Германия). Образцы с изначально высоким содержанием общего белка в моче разводили в буфере CRBB (Congo Red Binding Buffer), содержащем 150 мМ хлорида натрия и 5 мМ фосфата калия при показателе кислотности 7,4.
При выполнении теста CRD 20 мкл каждого образца смешивали с 2 мкл 0,2 % водного раствора красителя конго красного, инкубировали 60 мин с перемешиванием со скоростью 800 оборотов в минуту при комнатной температуре, после чего наносили на нитроцеллюлозную мембрану Amersham Protran 0.45 NC (GE Healthcare, США) по две аликвоты объемом 5 мкл. Мембрану высушивали в течение 10 мин, смачивали в воде, а затем сканировали. Для отмывки не связавшегося с белком красителя, мембрану инкубировали по 1 мин в восходящей серии разведений 50, 70 и 90 % метанола в объеме 50 мл при постоянном покачивании. После чего проводили окончательную отмывку мембраны в 90 % метаноле в течение 16 ч с однократной сменой метанола после первого часа процедуры. Затем мембрану последовательно отмывали нисходящей серией разведения 90, 70 и 50 % метанола и водой. После отмывки мембрану повторно сканировали.
Для оценки интенсивности окрашивания пятен образцов конго красным до и после отмывки в метаноле рассчитывали показатель удержания конго красного в образце на мембране (CRR). Для этого сканировали мембраны, после чего, используя программу Adobe Photoshop S5, объединяли сканы в одно изображение и затем в ImageJ переводили его в черно-белый цвет (8 бит) и вычитали фон (ball 50). Далее в ImageJ определяли яркость каждого пятна, данные экспортировали в Microsoft Excel 2016, где рассчитывали показатель CRR как отношение среднего значения яркости двух пятен на мембране после отмывки метанолом к среднему значению яркости тех же пятен на мембране до отмывки. Образцы тестировали трижды в независимых экспериментах. CRR образцов во всех повторностях нормализовали по одному образцу с максимальным значением показателя.
Тест CRD выполняли также с введением изменений в процедуры пробоподготовки, окрашивания образцов и отмывки красителя в образцах на мембране (табл. 1). В модифицированном варианте теста CRD (mCRD) смесь образцов с конго красным не инкубировали, а сразу наносили на мембрану, а вместо метанола использовали этанол. Тесты CRD и mCRD проводили на образцах с выровненной концентрацией по белку. В случае использования в тестах CRD и mCRD образцов без выравнивания концентрации данные модификации обозначали соответственно экспресс-CRD- и экспресс-mCRD-тест.
Таблица 1. Варианты теста CRD, отличные по пробоподготовке и процедуре окрашивания/отмывки / Table 1. CRD test options differing in sample preparation and staining / washing procedure
Вариант процедуры | Образцы инкубировали 1 час с красителем, отмывали краситель метанолом | Образцы не инкубировали с красителем, отмывали краситель этанолом |
Концентрация белка в образцах выровнена | CRD | mCRD |
Концентрация белка в образцах не выровнена | экспресс-CRD-тест | экспресс-mCRD-тест |
Средние значения CRR сравнивали двусторонним тестом рандомизации [13] при уровне значимости α = 0,05 в программе Drosophila Courtship Lite v. 1.3. (Nikolai Kamyshev, 2006) [14]. Сравнительный анализ между группами по количественным признакам проводили с помощью критерия Манна – Уитни. Статистически значимыми считали различия при р < 0,05. Для количественных признаков рассчитывали среднее значение и стандартное отклонение. Определение чувствительности (доли истинно положительных результатов в группе больных ПЭ) и специфичности (доли истинно отрицательных результатов в контрольной группе) тестов проводили в программе IBM SPSS Statistics 20 посредством ROC-анализа (Receiver Operator Characteristic). Оптимальным порогом отсечения считали значения показателя CRR при специфичности теста 95 %. Эффективность разных модификаций CRD-теста оценивали по величине площади под ROC-кривой [15]. Рассчитывали также положительную прогностическую ценность (долю истинно положительных результатов в общей сумме положительных результатов теста) и отрицательную прогностическую ценность (долю истинно отрицательных результатов в общей сумме отрицательных результатов теста) CRD-теста и его наилучшей модификации.
РЕЗУЛЬТАТЫ
В настоящей работе с использованием образцов мочи пациенток с ПЭ и группы контроля выполнена оценка эффективности оригинального CRD-теста для диагностики ПЭ. Предложена также его модифицированная версия, оптимизированная к применению в клинической практике (mCRD-тест). В mCRD-тесте был исключен этап инкубации образцов с конго красным, что сократило время тестирования и снизило требования к техническому оснащению, а метанол для отмывки не связавшегося с белком красителя с мембраны заменен на менее токсичный этанол.
В CRD-тесте в большинстве случаев пятна контрольных образцов на мембране после длительной отмывки заметно бледнели (CRR < 0,5 для 82 % образцов), в то время как пятна образцов, взятых у женщин с ПЭ, сохраняли окраску разной интенсивности (рис. 1). В некоторых образцах с ПЭ значения показателя CRR превышали 1. В качестве отрицательного контроля для CRD-теста использован буфер CRBB. Во всех экспериментах образец для отрицательного контроля отмывался полностью. В качестве положительного контроля в каждом эксперименте использовали один и тот же образец мочи женщины с тяжелой формой ПЭ. Этот образец во всех экспериментах стабильно сохранял интенсивную окраску после длительной отмывки метанолом.
Рис. 1. Нитроцеллюлозные мембраны с пятнами образцов мочи в смеси с конго красным до и после отмывки метанолом. Представлены репрезентативные данные CRD-теста по пяти контрольным образцам (1–5) и пяти образцам с преэклампсией (7–11), 6 — отрицательный контроль (Congo Red Binding Buffer, смешанный с конго красным), 12 — положительный контроль (образец от группы преэклампсии) / Fig. 1. Nitrocellulose membranes with spots of urine samples mixed with Congo red before and after washing with methanol. Representative CRD data are shown for five controls (1–5) and five preeclamptic specimens (7–11), as well as Congo red binding buffer mixed with Congo red as the negative control (6) and a preeclamptic specimen as the positive control (12)
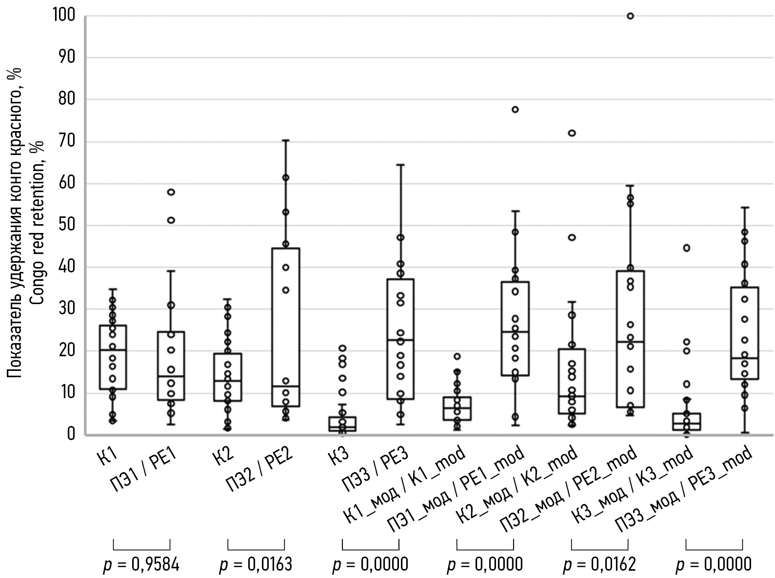
CRD-тест и mCRD-тест каждого образца выполнены трижды для проверки воспроизводимости результатов в независимых экспериментах. Для каждого образца в трех повторностях рассчитан CRR — показатель удержания конго красного в образце на мембране после отмывки. На рис. 2 показаны значения CRR в трех независимых экспериментах с CRD- и mCRD-тестами. В стандартном CRD-тесте в первой повторности не выявлено отличий показателей CRR в группах контроля и ПЭ. В mCRD-тестах CRR был выше в группе с ПЭ во всех трех повторностях (p < 0,05), что указывало на лучшую воспроизводимость результатов CRD-теста после введения модификаций процедуры.
Рис. 2. Диаграммы рассеяния и размаха значений показателя удержания конго красного в CRD- и mCRD-тестах в трех повторностях. К1, К2, К3 и К1_мод, К2_мод, К3_мод — группы контроля в CRD- и mCRD-тестах (n = 36 в каждой группе); ПЭ1, ПЭ2, ПЭ3 и ПЭ1_мод, ПЭ2_мод, ПЭ3_мод — группы больных преэклампсией в тех же тестах (n = 20 в каждой группе). Диаграмма размаха показывает медиану, нижний и верхний квартили и выбросы. Показатели удержания конго-красного в образце на мембране нормализованы по максимальному значению показателя. Для каждого эксперимента указана вероятность ошибочного отклонения от нулевой гипотезы, по данным двустороннего теста рандомизации / Fig. 2. Scatter and range diagrams of Congo red retention values in CRD and mCRD tests in triplicate. K1, K2, K3 and K1_mod, K2_mod, K3_mod are comparison groups in CRD and mCRD tests, respectively (n = 36); PE1, PE 2, PE 3 and PE1_mod, PE2_mod, PE3_mod are groups of patients with preeclampsia in the same tests (n = 20). The plots show the median, lower and upper quartiles, and outliers. CRRs are normalized to the maximum CRR value. For each experiment, the probability of erroneously rejecting the null hypothesis is shown (two-tailed randomization test)
Так как концентрирование проб мочи для CRD-теста является трудоемкой и дорогостоящей процедурой, предпринята попытка оценить применение CRD- и mCRD-тестов на неконцентрированных образцах мочи (в экспресс-CRD- и экспресс-mCRD-тесте, соответственно). На рис. 3 показаны значения показателя CRR в трех независимых экспериментах.
Рис. 3. Диаграммы рассеяния и размаха значений показателя удержания конго красного в экспресс-CRD- и экспресс-mCRD-тестах в трех повторностях. эК1, эК2, эК3 и эК1_мод, эК2_мод, эК3_мод — группы контроля в CRD- и mCRD-вариантах экспресс-теста (n = 43 в каждой группе); эПЭ1, эПЭ2, эПЭ3 и эПЭ1_мод, эПЭ2_мод, эПЭ3_мод — группы больных преэклампсией в тех же тестах (n = 25 в каждой группе). Во всех экспериментах средние значения показателя удержания конго красного были меньше в группе контроля, чем в группе преэклампсии, по данным двустороннего теста рандомизации (p < 0,05). Диаграмма размаха показывает медиану, нижний и верхний квартили и выбросы. Показатели удержания конго-красного в образце на мембране нормализованы по максимальному значению показателя. Для каждого эксперимента указана вероятность ошибочного отклонения от нулевой гипотезы, по данным двустороннего теста рандомизации / Fig. 3. Scatter and range diagrams of Congo red retention values in express CRD and express mCRD tests in triplicate. eK1, eK2, eK3 and eK1_mod, eK2_mod, eK3_mod are comparison groups in the express variants of CRD and mCRD tests, respectively (n = 43); ePE1, ePE2, ePE3 and ePE1_mod, ePE2_mod, ePE3_mod are groups of patients with preeclampsia in the same tests (n = 25). In all experiments, the mean congo red retention values were lower in the comparison group compared to the preeclampsia group (two-tailed randomization test, p < 0.05). The plots show the median, lower and upper quartiles, and outliers. CRRs are normalized to the maximum CRR value. For each experiment, the probability of erroneously rejecting the null hypothesis is shown (two-tailed randomization test)
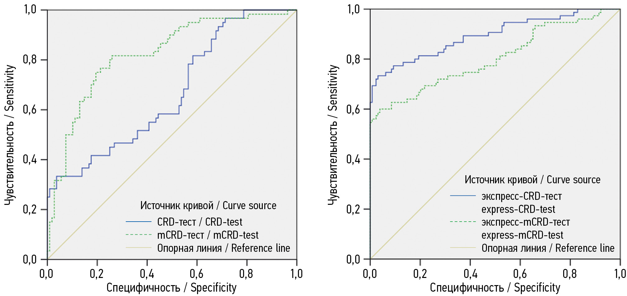
Для оценки эффективности модификаций CRD-теста проведен ROC-анализ данных, объединенных по трем повторностям. Результаты анализа показали (рис. 4), что оптимизация CRD-теста на концентрированных пробах позволяет увеличить эффективность теста на 23,2 %. Площадь под ROC-кривой в mCRD-тесте составила 0,824 против 0,669 в CRD-тесте (табл. 2). Эффективность экспресс-тестов для диагностики ПЭ превышала эффективность тестов на концентрированных пробах, но только в случае инкубирования проб с красителем и использованием метанола для отмывки (экспресс-CRD-тест). Площадь под ROC-кривой в экспресс-CRD-тесте составила 0,9 (табл. 3) и превысила соответствующий показатель в CRD-тесте на 34,3 %. ROC-анализ показал, что наиболее эффективными вариантами для тестирования ПЭ являются mCRD-тест и экспресс-CRD-тест, при этом эффективность второго больше на 9,8 %.
Рис. 4. ROC-кривые, характеризующие чувствительность и специфичность CRD-теста и его модификаций при различных порогах отсечения показателя удержания конго красного. Чем ближе кривая к левому верхнему углу на плоскости, тем выше значения чувствительности и специфичности теста / Fig. 4. ROC curves showing the sensitivity and specificity of the CRD test and its modifications at different Congo red retention cut-off thresholds. The closer the curve is to the upper left corner on the plot, the higher the sensitivity and specificity of the test are
Таблица 2. Эффективность CRD-теста и его модификаций / Table 2. The effectiveness of the CRD test and its modifications
Вариант теста | Площадь под ROC-кривой | Асимптотическая значимость* | Асимптотический 95 % доверительный интервал |
CRD-тест | 0,67 | 0,00 | 0,584–0,754 |
mCRD-тест | 0,82 | 0,00 | 0,758–0,890 |
экспресс-CRD-тест | 0,90 | 0,00 | 0,845–0,945 |
экспресс-mCRD-тест | 0,80 | 0,00 | 0,735–0,872 |
Примечание: * согласно нулевой гипотезе истинная площадь под ROC-кривой равна 0,5.
CRD-тест рассмотрен как альтернатива диагностических полосок для выявления ПЭ. Основным недостатком применения полосок является вероятность получить ложноположительный результат, что обусловливает низкую специфичность метода [16]. mCRD-тест и экспресс-CRD-тест демонстрируют 95,3 % специфичность при значениях чувствительности 33,3 и 73,3 % соответственно с пороговым CRR < 6,9. Следовательно, экспресс-CRD-тест более эффективен, чем другие модификации для специфичного выявления ПЭ. В то же время экспресс-CRD-тест демонстрирует умеренную чувствительность, что указывает на опасность получения ложноотрицательных результатов при его использовании. Умеренно высокие значения негативной и позитивной прогностических ценностей (86,0 и 90,2 % соответственно) также указывают на необходимость дальнейшего совершенствования метода для повышения прогностической значимости этого недорогого и простого теста.
ОБСУЖДЕНИЕ
Несмотря на то, что ПЭ — одна из основных причин материнских заболеваемости и смертности, ее этиология и патогенез по-прежнему остаются не раскрытыми [4, 5]. Патофизиологические процессы, способствующие возникновению гипертензии и протеинурии, как полагают исследователи, начинаются задолго до клинических проявлений этих заболеваний, что препятствует прогрессу в исследовании ПЭ [17]. В отсутствие точных методов диагностики, позволяющих идентифицировать патологический процесс в его начальной фазе, невозможно с уверенностью прогнозировать развитие болезни. Более того, поскольку клинические признаки и симптомы ПЭ неспецифичны, есть вероятность, что ПЭ является отражением более широкого спектра состояний, сопровождающихся гипертензией и протеинурией [18, 19].
На основе данных I.A. Buhimschi и соавт. о том, что моча беременных с ПЭ содержит амилоидные агрегаты [20], диагностируемые при помощи CRD-теста [10], в настоящем исследовании выполнены оценка эффективности вышеупомянутой методики и расчет показателя CRR. В работе I.A. Buhimschi и соавт. CRD-тест демонстрировал специфичность 85,0 % при чувствительности 85,9 % [10]. При этом описываемый в настоящей статье CRD-тест позволяет проводить высокоспецифичную диагностику ПЭ, но только в модифицированном варианте (без концентрирования проб) и в ущерб чувствительности диагностики. При специфичности 85,0 % CRD-тест обеспечивает чувствительность 36,7 %, а экспресс-CRD-тест — 78,7 %. Расхождение в эффективности CRD-тестов в двух исследованиях, возможно, связано с разными способами концентрирования образцов. I.A. Buhimschi и соавт. [10] применяли лиофилизацию проб, в то время как в настоящей работе использованы центрифужные пробирки для концентрирования белков.
В экспресс-CRD-тесте порог отсечения при 95,0 % специфичности более чем в 4 раза меньше, чем в CRD-тесте (CRR 30,5 против 6,9), что существенно снижает количество ложноположительных результатов. Вероятно, при отсутствии этапа концентрирования исключены возможности спонтанной агрегации белков и, следовательно, неспецифического связывания с красителем.
Результаты показывают необходимость оптимизации методики и увеличения выборки, что позволит делать более точные заключения об эффективности разрабатываемого теста. Перспективным направлением также станет долгосрочное исследование сроков беременности, подходящих для диагностирования ПЭ при помощи экспресс-теста. I.A. Buhimschi и соавт. выявили [10], что у женщин с тяжелой формой ПЭ CRR значительно выше в период более чем за 10 нед. до клинического проявления ПЭ, чем у женщин с легкими формами ПЭ. Таким образом, CRR может служить маркером тяжелой ПЭ.
Настоящее исследование подтверждает, что в большинстве случаев моча беременных с ПЭ характеризуется конгофилией. Согласно гипотезе, выдвинутой в 2014 г. I.A. Buhimschi и соавт. [10], конго красный в образце мочи беременной с ПЭ связывается с амилоидными агрегатами. К настоящему времени точная причина их появления при ПЭ не установлена [11]. Происходит ли формирование этих структур в крови беременной, почках или плаценте — неизвестно [11]. Тем не менее, детекция амилоидных агрегатов в моче может свидетельствовать о развивающихся воспалительных процессах при беременности или указывать на наличие скрытых патологий, способных проявиться в послеродовом периоде или через несколько лет после беременности, поэтому обнаружение амилоидных структур в моче при беременности заслуживает особого внимания и вызывает необходимость комплексного обследования организма женщины.
ВЫВОДЫ
- Оптимизация CRD-теста позволила разработать более эффективный протокол диагностики ПЭ по образцам мочи при помощи окрашивания конго красным (экспресс-CRD-тест) и упростить применение данного теста в клинической практике.
- Экспресс-CRD-тест обеспечивает 95 % специфичность при чувствительности 73 %, что делает его перспективным подходом для проверки диагноза «ПЭ», полученного в результате использования диагностических полосок.
ЗАКЛЮЧЕНИЕ
За последние 20 лет выявлены новые потенциальные биомаркеры для диагностики ПЭ. К современным диагностическим подходам относятся определение уровней фактора роста эндотелия сосудов и плацентарного фактора роста [21] с расчетом соотношения активности растворимой fms-подобной тирозинкиназы-1 и уровня плацентарного фактора роста в плазме крови [22], протеомное профилирование мочи при помощи масс-спектрометрии [20], а также диагностика тяжелых форм ПЭ посредством индуцируемой флуоресценции тиофлавина-Т в моче и сыворотке крови беременных [23]. В сравнении с вышеперечисленными методами тест, предложенный I.A. Buhimschi и соавт. в 2014 г. [10], признан наиболее дешевым и удобным для использования в клинической практике. Однако необходима дальнейшая оптимизация CRD-теста для увеличения его чувствительности при сохранении специфичности, в особенности для выявления у беременных женщин ПЭ в сочетании с другими состояниями, также характеризуемыми гипертензией и протеинурией.
ДОПОЛНИТЕЛЬНАЯ ИНФОРМАЦИЯ
Источник финансирования. Исследование поддержано грантом РНФ № 19-75-20033.
Конфликт интересов. Авторы декларируют отсутствие явных и потенциальных конфликтов интересов, связанных с публикацией настоящей статьи.
Благодарность. Авторы выражают признательность и благодарность персоналу Родильного дома № 9 (Санкт-Петербург) за помощь в создании коллекции биообразцов; Научному парку СПбГУ (РЦ «Развитие молекулярных и клеточных технологий», РЦ «Биобанк») и научной лаборатории биологии амилоидов СПбГУ за помощь в выполнении исследования.
Вклад авторов. С.А. Федотов — концепция и дизайн исследования, выполнение экспериментов, анализ экспериментальных данных, написание текста; Е.М. Герасимова — пробоподготовка биообразцов, выполнение экспериментов, анализ экспериментальных данных; Е.C. Вашукова — пробоподготовка биообразцов, анализ клинических данных; В.С. Пакин — сбор биообразцов и клинических данных; Р.В. Капустин, О.В. Пачулия — сбор биообразцов; А.C. Глотов, А.А. Рубель — концепция и дизайн исследования; К.Ю. Куличихин — выполнение экспериментов, интерпретация результатов; Ю.О. Чернов — концепция и дизайн исследования, интерпретация результатов; Е.C. Вашукова, Р.В. Капустин, О.В. Пачулия, А.C. Глотов, А.А. Рубель, К.Ю. Куличихин, Ю.О. Чернов — обсуждение и редактирование.
Все авторы внесли существенный вклад в проведение исследования и подготовку статьи, пpoчли и одобрили финальную версию перед публикацией.
ADDITIONAL INFORMATION
Funding. The study was supported by RSF grant No. 19-75-20033.
Conflict of interest. The authors declare no conflict of interest.
Acknowledgment. The authors thank the personal of the Maternity Hospital No. 9 (St. Petersburg) for help in assembling a biosample collection; Research Park of the St. Petersburg State University (the Center for Molecular and Cell Technologies and the Center Biobank) for technical support and the Laboratory of Amyloid Biology of the St. Petersburg State University for help in the research.
Author contributions. S.A. Fedotov — study conception and design, experiments, experimental data analysis, manuscript writing; E.M. Gerasimova — preparation of biosamples, experiments, experimental data analysis; E.S. Vashukova — preparation of biosamples, clinical data analysis; V.S. Pakin — collection of biosamples and clinical data; R.V. Kapustin, O.V. Pachuliya — collection of biosamples; A.S. Glotov, A.A. Rubel — study conception and design; K.Yu. Kulichikhin — performing the experiments, interpretation of results; Yu.O. Chernoff — study conception and design, interpretation of results; E.S. Vashukova, R.V. Kapustin, O.V. Pachuliya, A.S. Glotov, A.A. Rubel, K.Yu. Kulichikhin, Yu.O. Chernoff — discussion and editing.
All authors made a significant contribution to the study and the article preparation, as well as read and approved the final version before its publication.
About the authors
Sergey A. Fedotov
St. Petersburg State University; The Research Institute of Obstetrics, Gynecology and Reproductology named after D.O. Ott; Pavlov Institute of Physiology
Author for correspondence.
Email: serg900@yandex.ru
ORCID iD: 0000-0002-7428-120X
SPIN-code: 8766-3012
ResearcherId: L-2467-2017
Cand. Sci. (Biol.)
Russian Federation, Saint Petersburg; 3 Mendeleevskaya Line, Saint Petersburg, 199034; Saint PetersburgElizaveta M. Gerasimova
St. Petersburg State University
Email: elelovaya@gmail.com
ORCID iD: 0000-0003-1294-1919
M.Sc. (Mol. Med.), Research Assistant, The Laboratory of Amyloid Biology
Russian Federation, Saint PetersburgElena S. Vashukova
The Research Institute of Obstetrics, Gynecology and Reproductology named after D.O. Ott
Email: vi_lena@list.ru
ORCID iD: 0000-0002-6996-8891
SPIN-code: 2811-8730
ResearcherId: D-3422-2017
Cand. Sci. (Biol.)
Russian Federation, 3 Mendeleevskaya Line, Saint Petersburg, 199034Vladimir S. Pakin
The Research Institute of Obstetrics, Gynecology and Reproductology named after D.O. Ott
Email: pakins@list.ru
ORCID iD: 0000-0002-4358-8399
SPIN-code: 4138-9973
MD, Obstetrician Gynecologist
Russian Federation, 3 Mendeleevskaya Line, Saint Petersburg, 199034Roman V. Kapustin
The Research Institute of Obstetrics, Gynecology and Reproductology named after D.O. Ott
Email: kapustin.roman@gmail.com
ORCID iD: 0000-0002-2783-3032
SPIN-code: 7300-6260
ResearcherId: G-3759-2015
MD, Dr. Sci. (Med.)
Russian Federation, 3 Mendeleevskaya Line, Saint Petersburg, 199034Olga V. Pachuliya
The Research Institute of Obstetrics, Gynecology and Reproductology named after D.O. Ott
Email: for.olga.kosyakova@gmail.com
ORCID iD: 0000-0003-4116-0222
SPIN-code: 1204-3160
MD, Cand. Sci. (Med.)
Russian Federation, 3 Mendeleevskaya Line, Saint Petersburg, 199034Andrey S. Glotov
The Research Institute of Obstetrics, Gynecology and Reproductology named after D.O. Ott
Email: anglotov@mail.ru
ORCID iD: 0000-0002-7465-4504
SPIN-code: 1406-0090
ResearcherId: E-8525-2015
Dr. Sci. (Biol.)
Russian Federation, 3 Mendeleevskaya Line, Saint Petersburg, 199034Konstantin Yu. Kulichikhin
St. Petersburg State University
Email: konstantin_kulichikhin@yahoo.com
ORCID iD: 0000-0002-7443-4560
SPIN-code: 6432-4970
Cand. Sci. (Biol.)
Russian Federation, Saint PetersburgYury O. Chernoff
Georgia Institute of Technology
Email: yury.chernoff@biology.gatech.edu
ORCID iD: 0000-0002-8934-9051
SPIN-code: 6201-0359
ResearcherId: J-2833-2014
School of Biological Sciences, Cand. Sci. (Biol.), Professor
United States, AtlantaAleksandr A. Rubel
St. Petersburg State University
Email: arubel@mail.ru
ORCID iD: 0000-0001-6203-2006
SPIN-code: 3961-4690
ResearcherId: D-2903-2013
Cand. Sci. (Biol.)
Russian Federation, Saint PetersburgReferences
- Say L, Chou D, Gemmill A, et al. Global causes of maternal death: a WHO systematic analysis. Lancet Glob Health. 2014;2(6):e323−333. doi: 10.1016/S2214-109X(14)70227-X
- Redman CW, Sargent IL. Latest advances in understanding preeclampsia. Science. 2005;308(5728):1592−1594. doi: 10.1126/science.1111726
- Backes CH, Markham K, Moorehead P, et al. Maternal preeclampsia and neonatal outcomes. J Pregnancy. 2011;2011:214365. doi: 10.1155/2011/214365
- El-Sayed AAF. Preeclampsia: A review of the pathogenesis and possible management strategies based on its pathophysiological derangements. Taiwan J Obstet Gynecol. 2017;56(5):593−598. doi: 10.1016/j.tjog.2017.08.004
- Malik A, Jee B, Gupta SK. Preeclampsia: Disease biology and burden, its management strategies with reference to India. Pregnancy Hypertens. 2019;15:23−31. doi: 10.1016/j.preghy.2018.10.011
- Lowe SA, Brown MA, Dekker GA, et al. Guidelines for the management of hypertensive disorders of pregnancy 2008. Aust N Z J Obstet Gynaecol. 2009;49(3):242−246. doi: 10.1111/j.1479-828X.2009.01003.x
- Hypertension in pregnancy. Report of the american college of obstetricians and gynecologists’ task force on hypertension in pregnancy. Obstet Gynecol. 2013;122(5):1122−1131. doi: 10.1097/01.AOG.0000437382.03963.88
- Wu P, van den Berg C, Alfirevic Z, et al. Early pregnancy biomarkers in pre-eclampsia: a systematic review and meta-analysis. Int J Mol Sci. 2015;16(9):23035−23056. doi: 10.3390/ijms160923035
- Kosińska-Kaczyńska K, Wielgoś M. How to identify pregnant women at risk of pre-eclampsia? – a review of the current literature. Ginekol Pol. 2018;89(6):335−338. doi: 10.5603/GP.a2018.0057
- Buhimschi IA, Nayeri UA, Zhao G, et al. Protein misfolding, congophilia, oligomerization, and defective amyloid processing in preeclampsia. Sci Transl Med. 2014;6(245):245ra92. doi: 10.1126/scitranslmed.3008808
- Gerasimova EM, Fedotov SA, Kachkin DV, et al. Protein misfolding during pregnancy: new approaches to preeclampsia diagnostics. Int J Mol Sci. 2019;20(24):6183. doi: 10.3390/ijms20246183
- Klinicheskie rekomendatsii. Preeklampsiya. Eklampsiya. Oteki, proteinuriya i gipertenzivnye rasstroistva vo vremya beremennosti, v rodakh i poslerodovom periode. 2021. [cited 2021 Dec 7]. Available from: https://mz.mosreg.ru/dokumenty/informaciya/klinicheskie-rekomendacii/06-07-2021-10-31-15-preeklampsiya-eklampsiya-oteki-proteinuriya-i-gipe
- Edgington ES. Randomization tests. N.Y.: Marcel Dekker; 1995.
- Kamyshev NG, Iliadi KG, Bragina JV. Drosophila conditioned courtship: two ways of testing memory. Learn Mem. 1999;6(1):1−20.
- Henderson AR. Assessing test accuracy and its clinical consequences: a primer for receiver operating characteristic curve analysis. Ann Clin Biochem. 1993;30(Pt6):521−539. doi: 10.1177/000456329303000601
- Brown MA, Buddle ML. Inadequacy of dipstick proteinuria in hypertensive pregnancy. Aust N Z J Obstet Gynaecol. 1995;35(4):366−369. doi: 10.1111/j.1479-828x.1995.tb02143.x
- Monte S. Biochemical markers for prediction of preclampsia: review of the literature. J Prenat Med. 2011;5(3):69−77.
- Sibai BM. Imitators of severe pre-eclampsia. Semin Perinatol. 2009;33(3):196−205. doi: 10.1053/j.semperi.2009.02.004
- Pourrat O, Coudroy R, Pierre F. Differentiation between severe HELLP syndrome and thrombotic microangiopathy, thrombotic thrombocytopenic purpura and other imitators. Eur J Obstet Gynecol Reprod Biol. 2015;189:68−72. doi: 10.1016/j.ejogrb.2015.03.017
- Buhimschi IA, Zhao G, Funai EF, et al. Proteomic profiling of urine identifies specific fragments of SERPINA1 and albumin as biomarkers of preeclampsia. Am J Obstet Gynecol. 2008;199(5):551.e1−551.e5516. doi: 10.1016/j.ajog.2008.07.006
- Kurtoglu E, Avci B, Kokcu A, et al. Serum VEGF and PGF may be significant markers in prediction of severity of preeclampsia. J Matern Fetal Neonatal Med. 2016;29(12):1987−1992. doi: 10.3109/14767058.2015.1072157
- Sovio U, Gaccioli F, Cook E. Prediction of preeclampsia using the soluble fms-like tyrosine kinase 1 to placental growth factor ratio: a prospective cohort study of unselected nulliparous women. Hypertension. 2017;69(4):731−738. doi: 10.1161/HYPERTENSIONAHA.116.08620
- Millen KR, Buhimschi CS, Zhao G. Serum and urine thioflavin-t-enhanced fluorescence in severe preeclampsia. Hypertension. 2018;71(6):1185−1192. doi: 10.1161/HYPERTENSIONAHA.118.11034
Supplementary files







