Micronutrient status of pregnant women with fetal congenital malformations
- Authors: Milyutina Y.P.1, Shengelia M.O.2, Bespalova O.N.2, Pachuliya O.V.1, Blazhenko A.A.2, Denisov K.А.2, Sazonova A.P.2, Korenevsky A.V.2
-
Affiliations:
- The Research Institute of Obstetrics, Gynecology, and Reproductology named after D.O. Ott
- The Research Institute of Obstetrics, Gynecology and Reproductology named after D.O. Ott
- Issue: Vol 72, No 5 (2023)
- Pages: 61-74
- Section: Original study articles
- Submitted: 02.06.2023
- Accepted: 09.10.2023
- Published: 23.11.2023
- URL: https://journals.eco-vector.com/jowd/article/view/472088
- DOI: https://doi.org/10.17816/JOWD472088
- ID: 472088
Cite item
Abstract
BACKGROUND: Congenital malformations of the central nervous system have extremely severe consequences, which makes it important to study their development and diagnosis during embryogenesis. Therefore, particularly relevant are studies in the field of prevention of fetal сongenital malformations.
AIM: The aim of this study was to assess the micronutrient status (vitamin D, serum and erythrocyte folic acid, vitamin B12) and homocysteine levels in women with induced abortion in the second trimester of pregnancy based on fetal indications (fetal сongenital malformations).
MATERIALS AND METHODS: This prospective cohort study enrolled 53 women with induced abortion for medical reasons from the fetus in the second trimester of gestation. All pregnant women were divided into two groups. Group 1 included 28 individuals without an established chromosomal abnormality in the fetus: with fetal сongenital malformations and no neural tube defects (n = 16) or with fetal сongenital malformations and neural tube defects (n = 12). Group 2 consisted of 25 pregnant women with established chromosomal abnormalities in the fetus.
RESULTS: In pregnant women with fetal сongenital malformations and neural tube defects, blood serum vitamin B12 level correlated with erythrocyte folic acid level and was lower compared with women with fetal сongenital malformations and no neural tube defects (p < 0.05). No significant differences were found for other parameters. In pregnant women with fetal сongenital malformations, homocysteine level did not differ from that in women with normal fetal development at this stage of pregnancy. Meanwhile, folic acid and vitamin B12 levels in women with fetal сongenital malformations were lower compared with pregnant women without this pathology (p < 0.001).
CONCLUSIONS: The features of micronutrient status found in patients with fetal сongenital malformations, in particular with neural tube defects, and the relationships between its individual parameters indicate complex etiologies of these pathologies. The data obtained indicate the expediency of assessing one-carbon metabolic parameters in the mother not only during pregnancy, but also at the stage of preconception preparation, as well as the need for additional research related to adequate control of vitamin intake and assessment of methionine cycle gene polymorphism.
Full Text
ОБОСНОВАНИЕ
Врожденные пороки развития (ВПР) плода считаются важнейшей медицинской и социальной проблемой, поскольку занимают ведущее место в структуре причин перинатальных, неонатальных и младенческих заболеваемости, смертности и инвалидности. По причине ВПР, несовместимых с жизнью, или при наличии сочетанных множественных аномалий с неблагоприятным прогнозом для жизни и здоровья плода, а также при отсутствии методов эффективного лечения происходит большинство прерываний беременности во II триместре (до 22 нед. гестации) — до того, как плод станет жизнеспособным.
Врожденные пороки центральной нервной системы приводят к чрезвычайно тяжелым последствиям, что обуславливает важность изучения их развития и диагностики в процессе эмбриогенеза. Особенно актуальны исследования в области профилактики формирования ВПР плода [1], так как на долю аномалий, вызванных неблагоприятным совместным действием экзо- и эндогенных факторов (дисбаланса в микронутриентной среде организма матери), приходится до 20 % случаев развития данных патологий [2, 3].
Дефекты нервной трубки (ДНТ) представляют собой распространенные сложные врожденные дефекты центральной нервной системы, возникающие в результате нарушения закрытия нервной трубки во время эмбриогенеза, включая анэнцефалию, энцефалоцеле, расщепление позвоночника и др. [4, 5]. ДНТ являются вторыми по распространенности врожденными дефектами в популяции [6, 7] с частотой от 0,5 до 5 на 1000 рождений [8–10]. Этиология ДНТ включает генетические факторы и факторы окружающей среды, такие как дефицит фолиевой кислоты — ведущую причину формирования ДНТ. Данные, накопленные за последние 40 лет, показали, что прием фолиевой кислоты перед зачатием снижает риск формирования ДНТ в популяции, а также идентифицировано более 240 генов, участвующих в процессах закрытия нервной трубки на начальных этапах эмбриогенеза [11]. Исследования показали, что при наличии установленных факторов, включая генетические, пищевые и экологические, связанных с возникновением ДНТ, основной механизм развития заболевания недостаточно известен, что создает большие трудности для его профилактики и лечения.
Закрытие нервной трубки складывается из нескольких этапов. Доказано, что у человека оно происходит на пяти участках [12, 13]. В зависимости от участка, где возникло нарушение закрытия нервной трубки, формируются различные аномалии во время раннего эмбрионального развития. Нарушения в переднем отделе (участках 2 или 3) приводит к экзэнцефалии/анэнцефалии, а отказ в каудальной части (участке 5) вызывает расщепление позвоночника [14, 15]. Если нервная трубка от среднего мозга до нижнего отдела позвоночника (участка 1) не срастается, возникает краниорахишизис [16].
Этиология ДНТ многогранна. За последние десятилетия с помощью эпидемиологических исследований и экспериментальных моделей идентифицировано большое количество генов-кандидатов и факторов окружающей среды [1], вызывающих данную патологию. Однако в настоящее время остается актуальной проблема с установлением причины ДНТ у отдельных пациентов. Так, доказано, что среди факторов окружающей среды дефицит фолиевой кислоты опосредованно влияет на возникновение ДНТ. Многочисленные данные подтвердили, что добавки фолиевой кислоты во время прегравидарной подготовки могут снизить риск ДНТ у новорожденных [17, 18], однако основной механизм ДНТ, вызванных дефицитом фолиевой кислоты, остается неясным.
Внутриклеточный фолат сам по себе не обладает кофакторной активностью, пока не превратится в тетрагидрофолат (ТГФ) с помощью дигидрофолатредуктазы. ТГФ, как биологически активная форма фолиевой кислоты, играет критическую роль в одноуглеродном метаболизме. Он действует как одноуглеродный носитель, получая один углерод из серина с образованием глицина и 5,10-метилен-ТГФ, действующего как кофактор, обеспечивая метильные группы для превращения 2’-дезоксиуридин-5’-монофосфата в дезокситимидинмонофосфат, что имеет решающее значение для синтеза ДНК. Кроме того, 5,10-метилен-ТГФ превращается в 5-метил-ТГФ, действующий как донор метила для реакций реметилирования гомоцистеина и клеточного метилирования посредством его превращения в S-аденозилметионин. Таким образом, низкий статус фолиевой кислоты не только вызывает накопление 2’-дезоксиуридин-5’-монофосфата и нарушает путь синтеза дезокситимидинмонофосфата de novo [19], но также приводит к нарушению одноуглеродного метаболизма и паттерна метилирования за счет снижения уровня донора метила — S-аденозилметионина [20] и вызывает окислительный стресс с последствиями, влияющими на целостность митохондриальной ДНК [21]. Это приводит к нестабильности генома.
В большинстве стран мира до сих пор вопросы, связанные с однозначной пользой обогащения продуктов питания фолиевой кислотой, остаются предметом постоянных дискуссий [14, 22]. В литературе появляется все больше данных о негативных последствиях потребления высоких доз фолиевой кислоты для здоровья детей, особенно в отсутствие адекватного контроля показателей нарушения фолатного обмена у матери в период беременности [23–26]. Уровни фолиевой кислоты в сыворотке крови отражают недавнее потребление этого витамина, поэтому для оценки долгосрочного фолатного статуса предпочтительнее использовать ее содержание в эритроцитах, поскольку оно гораздо медленнее изменяется в зависимости от потребления [27, 28]. Еще в 1976 г. R. Smithells показал, что у матерей, родивших детей с ДНТ, значительно более низкий уровень фолиевой кислоты в эритроцитах в I триместре беременности, чем у матерей здоровых детей [29]. Позднее получены убедительные доказательства того, что существует обратная зависимость риска развития ДНТ от содержания фолиевой кислоты в эритроцитах, однако эти данные весьма немногочисленны [30, 31].
В настоящее время отсутствует детальный анализ уровней витаминов группы B в сыворотке крови и фолиевой кислоты в эритроцитах беременных женщин с ДНТ плода на сроке до 22-й недели беременности. Разработка новых технологий предикции данных патологий у беременных, несомненно, позволит оптимизировать тактику ведения таких больных и улучшить перинатальные исходы при последующих беременностях.
Цель работы — оценить микронутриентный статус (уровни фолиевой кислоты в сыворотке крови и эритроцитах, а также витаминов В12 и D) и содержание гомоцистеина, у женщин с индуцированным прерыванием беременности во II триместре по показаниям со стороны плода (при выявлении ВПР).
МАТЕРИАЛЫ И МЕТОДЫ
Проведено проспективное когортное исследование у 53 женщин с индуцированным прерыванием беременности по медицинским показаниям со стороны плода во II триместре гестации. Материал собран на базе Центра планирования семьи и репродукции (n = 53). В зависимости от причины выявленной патологии у плода все беременные на сроке от 14,5 до 20,5 нед. (медиана срока 16,5 нед.) разделены на две группы:
- в группу 1 вошли беременные с ВПР без установленной хромосомной аномалии у плода (n= 28) — без ДНТ (n = 16) и с ДНТ (n = 12);
- в группу 2 вошли беременные с ВПР и установленными хромосомными аномалиями у плода (n= 25), преимущественно с синдромом Дауна.
Критериями включения были одноплодная беременность во II триместре гестации, заключение перинатального консилиума о рекомендованном прерывании беременности по медицинским показаниям со стороны плода. Критериями исключения были серьезные соматические заболевания и прерывание беременности по медицинским показаниям со стороны матери.
Пациентки были сопоставимы по индексу массы тела, однако статистически значимо отличались по возрасту. Так, возраст в группе 1 варьировал в пределах от 28 до 35 лет (медиана показателя — 32,5 года), а в группе с выявленной хромосомной аномалией плода составил в среднем 40 (35,3–42,0) лет, что подтверждает общемировые данные о повышенном риске развития данной патологии среди женщин старше 35 лет.
Характеристики пациенток, их анамнез и особенности течения I и II триместров беременности представлены в таблице.
Таблица. Характеристики исследованных групп
Table. Characteristics of the study groups
Показатель | Группа беременных без хромосомных аномалий | Группа беременных с хромосомными аномалиями | |
без дефектов нервной трубки | с дефектами нервной трубки | ||
Возраст, Me (Q1–Q3), лет | 32,5 (28,0–35,0) | 40,0 (35,3–42,0)* | |
31,5 (28,0–35,0) | 33,5 (27,8–36,5) | ||
Индекс массы тела, Me (Q1–Q3), кг/м2 | 22,62 (20,65–24,13) | 23,22 (20,22–25,89) | |
22,62 (20,64–25,23) | 22,40 (20,63–23,83) | ||
Курение до беременности, n (%) | 13,0 (3) | 16,7 (3) | |
15,4 (2) | 10,0 (1) | ||
Курение на ранних сроках беременности (до 12 нед.), n (%) | 0,0 (0) | 5,6 (1) | |
0,0 (0) | 0,0 (0) | ||
Гестационный сахарный диабет, n (%) | 15,4 (4) | 8,3 (2) | |
14,3 (2) | 16,7 (2) | ||
Хронический гастрит, n (%) | 7,7 (2) | 37,5 (9) | |
7,1 (1) | 8,3 (1) | ||
Дискинезия желчевыводящих путей, n (%) | 11,5 (3) | 0,0 (0) | |
14,3 (2) | 8,3 (1) | ||
Хронический холецистит, n (%) | 8,0 (2) | 0,0 (0) | |
7,7 (1) | 8,3 (1) | ||
Хроническая бронхиальная астма, n (%) | 3,9 (1) | 4,2 (1) | |
7,1 (1) | 0,0 (0) | ||
Хронический тонзиллит, n (%) | 3,9 (1) | 16,7 (4) | |
7,1 (1) | 0,0 (0) | ||
Хронический пиелонефрит, n (%) | 7,7 (2) | 4,2 (1) | |
14,3 (2) | 0,0 (0) | ||
Хронический цистит, n (%) | 23,1 (6) | 4,2 (1) | |
35,7 (5) | 8,3 (1) | ||
Вагинит/вагиноз, n (%) | 13,0 (3) | 5,9 (1) | |
15,4 (2) | 10,0 (1) | ||
Пороки развития сердца, n (%) | 3,9 (1) | 0,0 (0) | |
7,1 (1) | 0,0 (0) | ||
Избыточная масса тела, n (%) | 7,7 (2) | 20,8 (5) | |
7,1 (1) | 8,3 (1) | ||
Ожирение I степени, n (%) | 7,7 (2) | 4,4 (1) | |
14,3 (2) | 0,0 (0) | ||
Гипотиреоз, n (%) | 7,7 (2) | 12,5 (3) | |
0,0 (0) | 16,7 (2) | ||
Аутоиммунный тиреоидит, n (%) | 3,9 (1) | 4,2 (1) | |
7,1 (1) | 0,0 (0) | ||
Миопия, n (%) | 15,4 (4) | 16,7 (4) | |
7,1 (1) | 25,0 (3) | ||
Острая респираторная вирусная инфекция на ранних сроках беременности, n (%) | 13,0 (3) | 0,0 (0) | |
15,4 (2) | 10,0 (1) | ||
Примечание: M (Q1–Q3) — медиана, верхний и нижний квартили; * p < 0,001 (отличие от группы беременных с отсутствием хромосомной аномалии).
В группу контроля (n = 5330) вошли пациентки при физиологическом развитии плода — отсутствии маркеров хромосомной аномалии и ВПР плода, по данным комбинированного скрининга в I триместре и промежуточного ультразвукового исследования в сроке 15–16 нед. гестации. Информация об их состоянии с 14-й по 21-ю неделю беременности собрана из Базы данных стационара НИИ АГиР им. Д.О. Отта за 2012–2021 гг. и включала в качестве основных показателей содержание фолиевой кислоты, витамина B12, гомоцистеина.
Цельную кровь собирали в пробирки с калия этилендиаминтетраацетатом трехзамещенным (К3ЭДТА) для последующего клинического анализа крови и исследования уровня фолиевой кислоты в эритроцитах. Остальные параметры оценивали в сыворотке крови, полученной путем центрифугирования в течение 15 мин при 3000 g. Изучено содержание гомоцистеина, кальциферола (25-OH витамина D) и B12 в сыворотке крови, а также фолиевой кислоты в сыворотке крови и эритроцитах беременных женщин с ВПР плода. Данные исследования выполнены на приборе Architect (Abbot, Германия). Показатели эритроцитов оценивали на гематологическом анализаторе Sysmex XP-300 (Sysmex, Япония).
При обработке полученных данных использован пакет статистических программ Statistica 10 (StatSoft Inc., США). Для проверки нормальности распределения применяли критерий Шапиро – Уилка. Для сравнения исследуемых параметров использовали непараметрический U-критерий Манна – Уитни. Данные представлены в виде медианы с межквартильным интервалом [Me (Q1–Q3)]. При оценке взаимосвязей между исследуемыми показателями применяли коэффициент ранговой корреляции Спирмена rs. При сопоставлении показателей, измеренных по номинальной шкале, применяли критерий χ2 Пирсона, при малых выборках его рассчитывали с поправкой Йетса или использовали двусторонний критерий Фишера. При p < 0,05 различия считали статистически значимыми.
РЕЗУЛЬТАТЫ
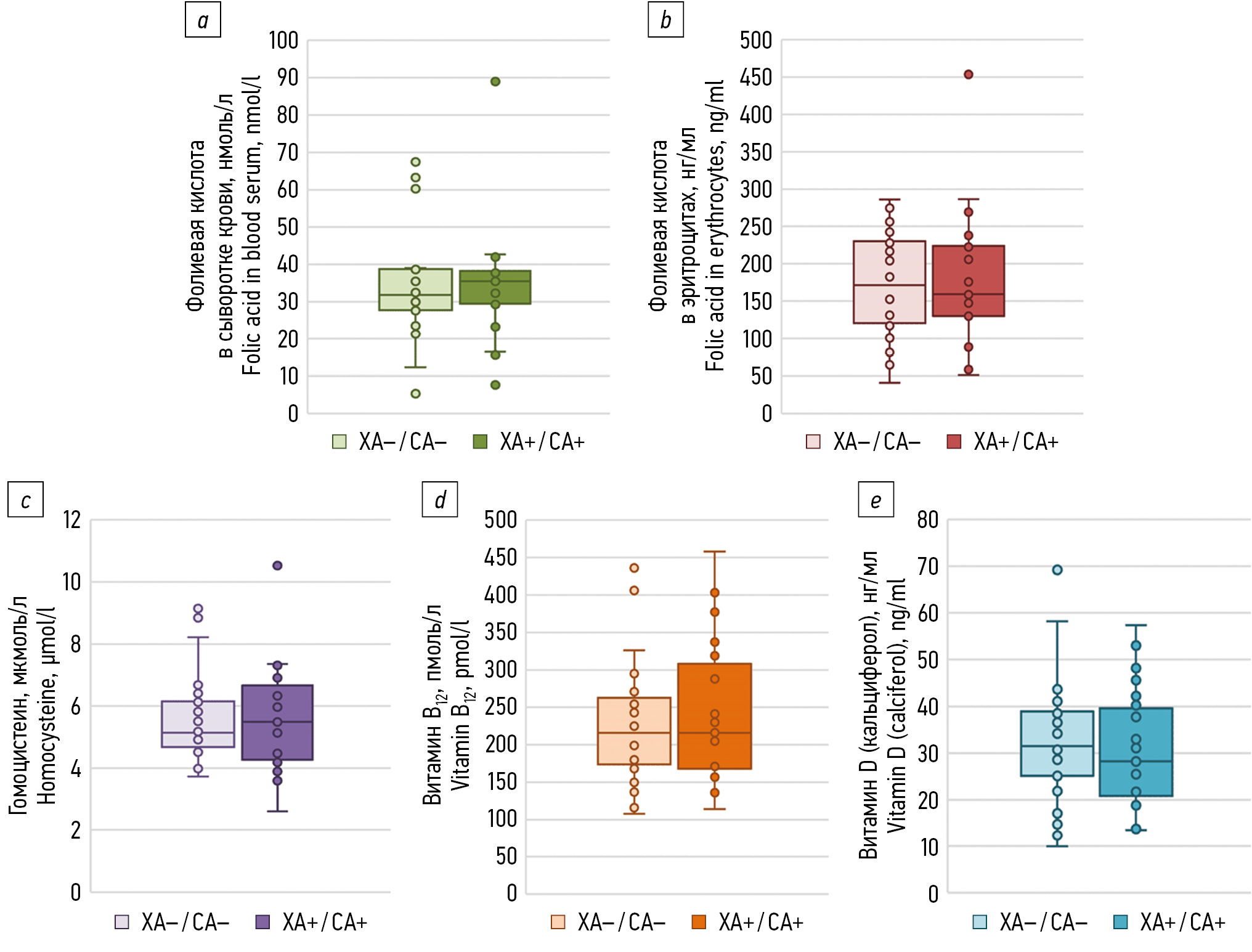
Проведено исследование содержания биологических микронутриентов в крови всех беременных (фолиевой кислоты в сыворотке крови и эритроцитах, витаминов В12 и D) и гомоцистеина. При сравнении полученных данных в группах значимые различия не обнаружены (рис. 1). При этом распределение данных было отлично от нормального с высокими показателями «выброса».
Рис. 1. Сравнение показателей микронутриентного статуса и содержания гомоцистеина в группах беременных с врожденными пороками развития плода с наличием или отсутствием хромосомной аномалии: а — содержание фолиевой кислоты в сыворотке крови; b — содержание фолиевой кислоты в эритроцитах; c — содержание гомоцистеина в сыворотке крови; d — содержание витамина В12 в сыворотке крови; e — содержание витамина D в сыворотке крови. ХА — хромосомные аномалии
Fig. 1. Nutrient status parameters and homocysteine levels in groups of pregnant women with fetal congenital malformations with or without a chromosomal abnormality: a, serum folic acid; b, erythrocyte folic acid; c, serum homocysteine; d, serum vitamin B12; e, serum vitamin D. CA, chromosomal abnormalities
Анализ корреляционных связей данных показателей у всех обследованных женщин выявил взаимосвязь уровней фолиевой кислоты в сыворотке крови и эритроцитах (рис. 2, а) и витамина D. При этом уровень гомоцистеина у данных пациенток не коррелировал с показателями фолиевой кислоты ни в эритроцитах, ни в сыворотке крови и показал обратную корреляцию исключительно с количеством витамина В12.
Рис. 2. Корреляции между показателями микронутриентного статуса в группах беременных с врожденными пороками развития плода: а — корреляционные взаимосвязи (красные линии — значимые корреляционные взаимосвязи); b — корреляционные взаимосвязи между уровнями фолиевой кислоты и витамина В12 в группе женщин без дефектов нервной трубки плода; c — корреляционные взаимосвязи между уровнями фолиевой кислоты и витамина В12 в группе женщин с дефектами нервной трубки плода. ФКсыв — содержание фолиевой кислоты в сыворотке крови; ФКэр — содержание фолиевой кислоты в эритроцитах; ГЦ — содержание гомоцистеина в сыворотке крови; В12 — содержание витамина В12 в сыворотке крови; D — содержание витамина D в сыворотке крови; ДНТ — дефект нервной трубки; rs — значение ранговой корреляции Спирмена; * p < 0,05
Fig. 2. Correlations between nutrient status parameters in groups of pregnant women with fetal congenital malformations: a, correlation relationships (red lines indicate significant associations); b, correlation relationships between folic acid and vitamin B12 levels in the group of women without neural tube defects; c, correlation relationships between folic acid and vitamin B12 levels in the group of women with neural tube defects. FAser, serum folic acid; FAer, erythrocyte folic acid; HC, serum homocysteine; B12, serum vitamin B12; D, serum vitamin D; NTD, neural tube defect; rs, Spearman’s rank correlation value; * p < 0.05
Показано, что уровни фолиевой кислоты в эритроцитах и сыворотке крови коррелируют не во всех исследованных группах. Так, в группе женщин с ДНТ плода данная положительная корреляция есть, тогда как в группе без ДНТ плода она отсутствует (рис. 2, b, c). Кроме того, в данных группах женщин наблюдали разнонаправленные корреляционные зависимости между содержанием витамина В12 в сыворотке крови и уровнем фолиевой кислоты в эритроцитах (рис. 2, b, c).
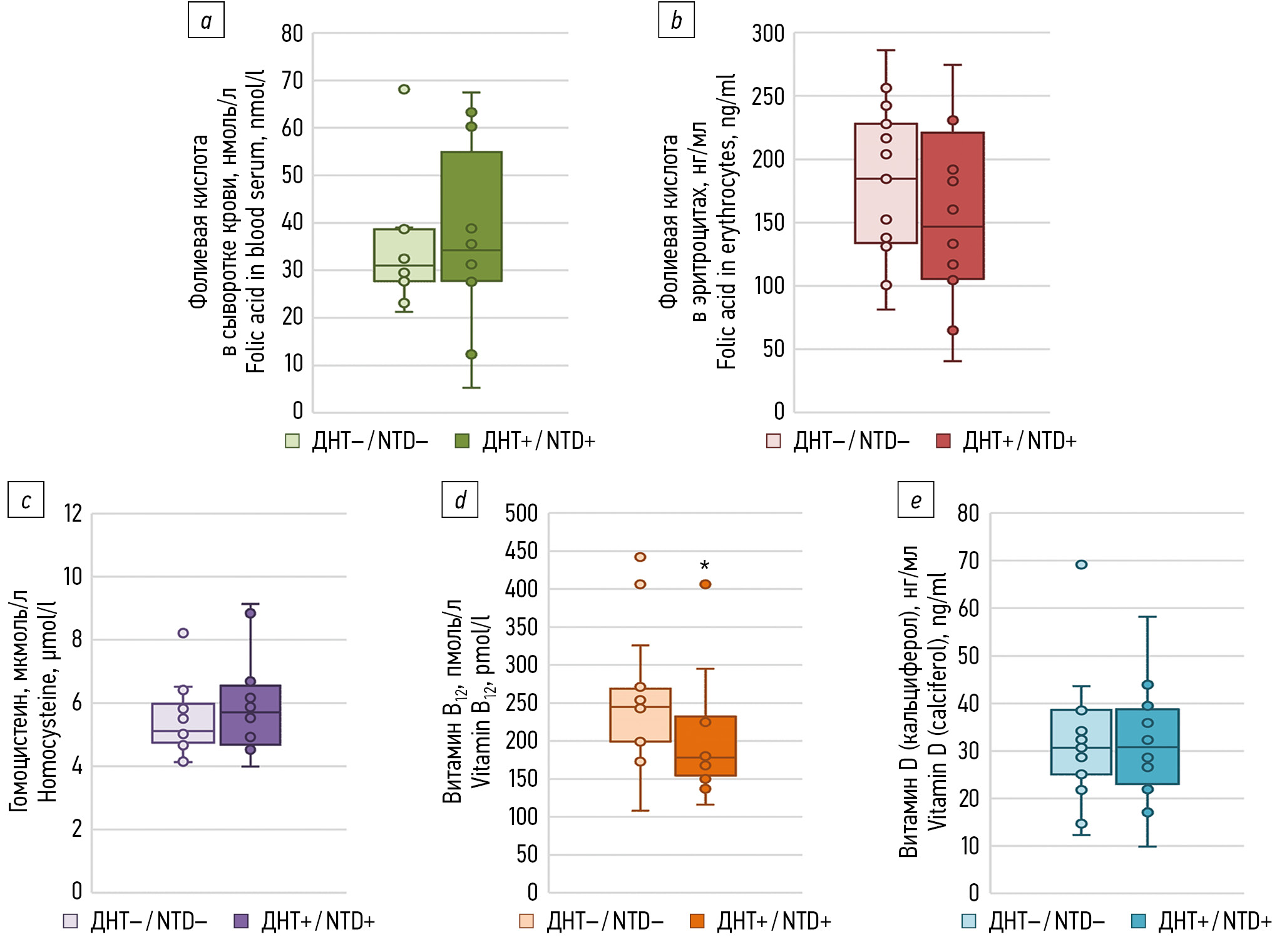
Показано, что у беременных женщин с ВПР при наличии ДНТ плода значимо ниже содержание витамина В12, чем у женщин без ДНТ (p < 0,05). По остальным показателям значимые отличия не обнаружены (рис. 3).
Рис. 3. Сравнение показателей микронутриентного статуса и содержания гомоцистеина в группах беременных с врожденными пороками развития плода с наличием или отсутствием дефекта нервной трубки: а — содержание фолиевой кислоты в сыворотке крови; b — содержание фолиевой кислоты в эритроцитах; c — содержание гомоцистеина в сыворотке крови; d — содержание витамина В12 в сыворотке крови; e — содержание витамина D в сыворотке крови. ДНТ — дефект нервной трубки; * p < 0,05
Fig. 3. Nutrient status parameters and homocysteine levels in groups of pregnant women with fetal congenital malformations with or without neural tube defects: a, serum folic acid; b, erythrocyte folic acid; c, serum homocysteine; d, serum vitamin B12; e, serum vitamin D. NTD, neural tube defect; * p < 0,05
Анализ количества эритроцитов, их объема, коэффициентов вариации объема эритроцитов и содержания гемоглобина не выявил значимых различий в исследованных группах. При этом в подтверждение значимости данных маркеров в диагностике фолатдефицитной анемии показана отрицательная корреляция уровня фолиевой кислоты в эритроцитах со средним объемом эритроцитов (rs = −0,597; p < 0,01) и средним содержанием гемоглобина в эритроците (rs = −0,488; p < 0,05) в группе ВПР без хромосомных аномалий. Показано, что в группе с ДНТ сила связи данных показателей была еще выше и составила rs = −0,753 (p < 0,01) и rs = −0,594 (p < 0,05) соответственно. Кроме того, обнаружена положительная корреляционная взаимосвязь уровня фолиевой кислоты в эритроцитах с индексом ширины распределения эритроцитов (процентом отклонения от среднего) (rs = 0,545; p < 0,05). Однако в группе с хромосомными аномалиями эти взаимосвязи не обнаружены. Стоит отметить, что в группе ВПР без хромосомных аномалий данные показатели не продемонстрировали значимых корреляций с уровнями фолиевой кислоты и витамина B12 в сыворотке крови, однако содержание витамина D в сыворотке крови показало обратную корреляцию со средним объемом эритроцитов (rs = −0,455; p < 0,01) и средним содержанием гемоглобина в эритроците (rs = −0,461; p < 0,05). Наряду с этим в группе с хромосомными аномалиями показана прямая корреляция количества эритроцитов с уровнем фолиевой кислоты в сыворотке крови (rs = 0,447; p < 0,05).
Установлено, что у беременных с ВПР плода уровень гомоцистеина не отличается от такового у женщин с нормальным развитием плода на данном сроке гестации (рис. 4, а). При этом уровни фолиевой кислоты и витамина В12 у женщин с ВПР плода значимо ниже, чем у беременных без данной патологии (p < 0,001) (рис. 4, b, c).
Рис. 4. Сравнение показателей микронутриентного статуса и содержания гомоцистеина в группах беременных с врожденными пороками развития плода и нормально протекающим развитием плода: а — содержание гомоцистеина в сыворотке крови (n = 434 в норме, n = 53 с врожденными пороками развития плода); b — содержание фолиевой кислоты в сыворотке крови (n = 71 в норме, n = 53 с врожденными пороками развития плода); c — содержание витамина В12 в сыворотке крови (n = 71 в норме, n = 53 с врожденными пороками развития плода). МВПР — множественные врожденные пороки развития плода; * p < 0,001
Fig. 4. Nutrient status parameters and homocysteine levels in groups of pregnant women with fetal congenital malformations or with normal fetal development: a, serum homocysteine (n = 434 with normal development, n = 53 with congenital malformations); b, serum folic acid (n = 71 with normal development, n = 53 with congenital malformations; c, serum vitamin B12 (n = 71 with normal development, n = 53 with congenital malformations). MFCM, multiple fetal congenital malformations; * p < 0.001
ОБСУЖДЕНИЕ
В исследовании показано, что при ВПР плода как с ДНТ, так и с другими системными нарушениями уровень фолиевой кислоты в сыворотке крови беременных женщин значимо не отличается от ее содержания у пациенток с хромосомными аномалиями плода и преимущественно находится в пределах нормальных значений. Обращает на себя внимание, что в группе с ДНТ у этого показателя наибольший межквартильный размах. Его отличие от соответствующего показателя у пациенток без ВПР, возможно, обусловлено большой долей среди них женщин с повышенным уровнем фолиевой кислоты в сыворотке крови вследствие приема высоких доз препаратов фолиевой кислоты. Однако стоит особо отметить, что подавляющее большинство детей с ДНТ рождаются от матерей с отсутствием дефицита фолиевой кислоты: около 70 % случаев ДНТ обусловлено генетическими факторами. Например, полиморфизмы в генах XRCC1 (Arg399Gln) и OGG1 (Ser326Cys) могут повышать риск формирования spina bifida, так как данные гены участвует в репарации одноцепочечных разрывов ДНК и эксцизионной репарации оснований для сохранения генетической стабильности клеточного аппарата [32]. В настоящее время эти и многие другие данные о генетической этиологии формирования ДНТ у эмбриона активно обсуждают зарубежные и отечественные исследователи [14, 22, 33, 34]. Появляется все больше свидетельств о модуляции фенотипа посредством взаимодействий ген – ген и ген – окружающая среда, но крупномасштабные геномные исследования у пациентов с ДНТ еще предстоит провести [22].
Закрытие нервной трубки зависит от нескольких биологических процессов: конвергентного расширения нервной пластинки, миграции клеток нервного гребня, нейроэпителиального апоптоза, пролиферации и дифференцировки. Нарушение перечисленных процессов может повлиять на развитие и закрытие нервной трубки, что приводит к ДНТ. На сегодняшний день исследования сосредоточены на гипотезе о том, что лежащая в основе этого порока развития генетическая предрасположенность сочетается с чувствительными к фолиевой кислоте метаболическими процессами во время заращения нервной трубки [35]. Прием фолиевой кислоты в условиях ее дефицита снижает риск развития ДНТ и является важной предпосылкой поддержания здоровья беременных женщин. Экзогенная фолиевая кислота, вероятно, предотвращает возникновение ДНТ, регулируя эпигенетические модификации (процессы метилирования) [14] и/или пролиферацию эмбриональных клеток за счет стимуляции синтеза пиримидинов и пуринов [36]. Однако основные механизмы, с помощью которых фолиевая кислота способствует снижению риска ДНТ, до сих пор остаются недостаточно изученными [14, 37]. Не ясна, в частности, причина развития ДНТ плода во время беременности, несмотря на регулярный прием добавок фолиевой кислоты в прегравидарный период. В данном контексте есть исследования полиморфизмов генов, кодирующих белки, участвующие в транспорте и метаболизме фолиевой кислоты [38–40].
Существуют также фолатнезависимые факторы риска развития ДНТ. К ним, например, относятся избыточная масса тела до беременности [41, 42], прием противосудорожных средств на ранних сроках гестации [43], сахарный диабет [44]. При этом частота встречаемости многих описанных в литературе факторов риска развития ВПР и ДНТ, в частности в настоящем исследовании, значимо не отличалась от таковой у пациенток с хромосомными аномалиями плода. Однако есть сведения о том, что дисбаланс уровней ретиноевой кислоты, цинка и железа изменяет экспрессию генов и клеточные процессы, способствуя развитию ДНТ [45], поэтому данные показатели также могут представлять интерес для анализа причин возникновения ДНТ плода в настоящем исследовании.
Бесспорно, ограничением данной работы является отсутствие информации о том, применяли ли обследованные пациентки с ВПР препараты фолиевой кислоты в период прегравидарной подготовки и в каком количестве. Многочисленные исследования показали, что прием фолиевой кислоты на этапе планирования беременности снижает риск возникновения ДНТ на 50–75 % [46]. Однако нормальный уровень фолиевой кислоты в настоящем исследовании может быть следствием начала ее приема после 4-й недели беременности, что уже не влияет на заращение нервной трубки в ее ростральной части (происходящее в течение 3-й или 4-й недели после зачатия). Данное объяснение может также относиться и к полученному нормальному уровню гомоцистеина у женщин с ДНТ. В нескольких исследованиях, но не во всех, обнаружена более высокая концентрация гомоцистеина в плазме крови у женщин, родивших детей с ДНТ, чем у матерей со здоровой беременностью [47, 48]. На основании собственного метаанализа М. Yang и соавт. пришли к выводу, что концентрация гомоцистеина была только на 6 (2–9) % выше у матерей детей с ДНТ, чем в контрольной группе. Авторы подчеркнули, что выбор гестационного срока для отбора образцов в зависимости от изменений содержания гомоцистеина в материнском организме, дополнительный прием фолиевой кислоты матерью или обязательное обогащение фолиевой кислотой продуктов питания, вероятно, повлияют на такие ассоциации [48].
Кроме того, есть данные о том, что сама фолиевая кислота в некоторых случаях может быть негативным фактором для заращения нервной трубки, ухудшая исход беременности и приводя к выкидышу [49]. Она может также «маскировать» мегалобластную макроцитарную анемию у пациентов с невыявленным дефицитом витамина B12 [22]. В настоящем исследовании в группе с ДНТ, несмотря на отсутствие значимых изменений исследованных характеристик эритроцита, показана высокая обратная корреляция основных показателей макроцитарной анемии с уровнем фолиевой кислоты в эритроцитах, для которого, в свою очередь, показана взаимосвязь с уровнем витамина B12 в сыворотке крови. При этом именно в группе с ДНТ установлено снижение уровня витамина B12 в сыворотке крови по сравнению с показателями у пациенток без ДНТ и женщин с хромосомными аномалиями плодов. Известно, что дефицит витамина B12 также связан с функциональным состоянием дефицита фолиевой кислоты, гипергомоцистеинемией и повышенным риском ДНТ [50, 51].
Заслуживают внимание данные о том, что в группе с ДНТ отмечена обратная корреляция среднего объема эритроцитов и среднего содержания гемоглобина в эритроците с уровнями не только фолиевой кислоты в эритроцитах, но и витамина D. Это означает, что, несмотря на относительно небольшую выборку пациентов с ДНТ в данном исследовании, именно благодаря им в общей группе ВПР обнаружена положительная взаимосвязь между уровнями фолиевой кислоты в эритроцитах и витамина D. В литературе представлены исследования, описывающие связь между дефицитом витамина D и аномальным развитием нервной системы [52], при этом они выполнены на выборке свыше 150 человек. Однако данные, полученные на меньшем количестве пациентов, обнаруживают лишь статистически незначимую тенденцию к снижению витамина D в сыворотке крови женщин с ДНТ по сравнению с показателями у здоровых беременных. Исследователи связывают это не только с малым количеством пациенток в выборке, но и с тем, что дефицит витамина D в целом распространен среди беременных женщин и уровень кальция в сыворотке крови матери ниже при беременности, осложненной ДНТ [53]. Таким образом, роль дефицита витамина D при развитии структурных изменений нервной системы еще предстоит изучить, тогда как на данный момент преимущественно описаны данные, подтверждающие связь между пренатальными уровнями витамина D и повышенным риском развития нейропсихологических расстройств у детей и взрослых [54–56]. При этом подчеркивается, что витамин D играет роль в различных механизмах развития и функционирования мозга, включая дифференцировку нейронов, нейротрансмиссию и синаптическую пластичность, онтогенез дофаминергической системы, регуляцию экспрессии генов [54, 57, 58].
Поиск причин развития ДНТ и способов его предотвращения является приоритетом для будущих исследований и внедрения их результатов в общественное здравоохранение. Активно рассматривают несколько дополнительных или альтернативных стратегий приема пищевых добавок. Добавки, содержащие витамин B12 в качестве кофактора процесса одноуглеродного переноса, могут еще больше снизить частоту ДНТ [59]. Кроме того, некоторые ДНТ не реагируют на экзогенную фолиевую кислоту из-за дефектов промежуточных метаболических ферментов, необходимых для переноса одноуглеродных групп в ключевые нижестоящие метаболиты. В этом случае эффективным может оказаться добавление альтернативных фолатов, таких как 5-метилтетрагидрофолат [60, 61]. Однако необходимо учитывать, что у фолат-транспортеров более высокое сродство к экзогенной фолиевой кислоте, чем к 5-метилтетрагидрофолату, являющемуся основной активной формой эндогенных фолатов и донором метильных групп во многих метаболических реакциях. Избыток приема фолиевой кислоты может привести к накоплению дигидрофолата с последующим снижением активности метилентетрагидрофолатредуктазы [38, 62].
Точный оптимальный уровень фолиевой кислоты в эритроцитах также остается до конца неопределенным. Кроме того, его исследования проводят преимущественно в Европе, где вопрос целесообразности возможной фортификации продуктов питания регулярно поднимают на различных площадках, в частности в Европейском агентстве по безопасности пищевых продуктов, Европейском обществе тератологов и Научном консультативном комитете по питанию, либо в Китае, где проблема высокой частоты встречаемости ДНТ в популяции (до 10 на 1000 беременностей) стоит достаточно остро [63]. В России исследованиям по данной проблеме не уделено должного внимания, при этом количество прерываний беременности вследствие диагностирования ДНТ до 22-й недели беременности (в результате первого скрининга) в стране остается достаточно высоким.
ЗАКЛЮЧЕНИЕ
На данном этапе работы в связи с высоким уровнем дисперсии полученных данных и отсутствием выявления факторов ДНТ при анкетировании необходимы дальнейшие исследования зависимости показателей одноуглеродного обмена от приема препаратов, содержащих витамины группы В (изучение доз, схем, особенностей приема витаминов на стадии прегравидарной подготовки и др.). Кроме того, следует сопоставить полученные данные с результатами оценки полиморфизма генов метионинового цикла.
ДОПОЛНИТЕЛЬНАЯ ИНФОРМАЦИЯ
Источник финансирования. Статья подготовлена к публикации в рамках выполнения государственного задания Министерства науки и высшего образования Российской Федерации № 1022040700837-4-3.2.2-1-11 «Разработка технологии раннего прогнозирования и профилактики врожденных пороков развития плода и перинатальной патологии на основе оценки нутриентного статуса, биохимических и молекулярно-генетических маркеров на этапе прегравидарной подготовки и при беременности».
Конфликт интересов. Авторы заявляют об отсутствии потенциального конфликта интересов, требующего раскрытия в данной статье.
Вклад авторов. Ю.П. Милютина — обзор литературы, биохимический анализ и статистическая обработка данных, написание текста; М.О. Шенгелия — обзор литературы, сбор и обработка материалов, анализ данных, написание текста; О.Н. Беспалова — концепция и дизайн исследования, внесение окончательной правки; О.В. Пачулия — анализ данных, написание текста; А.А. Блаженко — сбор и обработка материалов, обзор литературы; К.А. Денисов, А.П. Сазонова — сбор и обработка материалов; А.В. Кореневский — сбор и обработка материалов, обзор литературы, написание текста.
Все авторы подтверждают соответствие своего авторства, согласно международным критериям ICMJE (все авторы внесли существенный вклад в разработку концепции, проведение исследования и подготовку статьи, прочли и одобрили финальную версию перед публикацией).
Этическое утверждение. Исследование одобрено локальным этическим комитетом НИИ АГиР им. Д.О. Отта (протокол № 103 от 18.05.2023).
Благодарности. Авторы выражают признательность доктору биологических наук профессору А.В. Арутюняну за ценные замечания, высказанные в процессе подготовки статьи к публикации.
ADDITIONAL INFORMATION
Funding. The article is prepared for publication within the framework of the state task of the Ministry of Science and Higher Education of the Russian Federation No. 1022040700837-4-3.2.2-1-11 “Development of technology for early prediction and prevention of congenital malformations of the fetus and perinatal pathology based on the assessment of the nutrient status, biochemical and molecular genetic markers at the stage of pregravid preparation and during pregnancy”.
Conflicts of Interest. The authors declare that they have no conflict of interest.
Author contributions. Yu.P. Milyutina — literature review, biochemical and statistical data analysis, data analysis, writing the main part of the text; M.O. Shengelia — literature review, collecting and preparation of samples, data analysis, writing the main part of the text; O.N. Bespalova — experimental design, making final edits; O.V. Pachuliia — data analysis, writing the text; A.A. Blazhenko — collecting and preparation of samples, literature review; K.A. Denisov, A.P. Sazonova — collecting and preparation of samples; A.V. Korenevsky — writing the main part of the text, literature review, writing the text.
Thereby, all authors confirm that their authorship complies with the international ICMJE criteria (all authors have made a significant contribution to the development of the concept, research, and preparation of the article, as well as read and approved the final version before its publication).
Ethics approval. The study was approved by the local Ethics Committee of the Research institute of Obstetrics, Gynecology and Reproductology named after D.O. Ott (protocol No. 103 of 18.05.2023).
Acknowledgments. The authors wish to express their most sincere gratitude to Prof. A.V. Arutjunyan, PhD, Dr. Sci. (Biol.) for his continued support and the very valuable criticism during the preparation of the article.
About the authors
Yulia P. Milyutina
The Research Institute of Obstetrics, Gynecology, and Reproductology named after D.O. Ott
Email: milyutina1010@mail.ru
ORCID iD: 0000-0003-1951-8312
SPIN-code: 6449-5635
Cand. Sci. (Biol.)
Russian Federation, Saint PetersburgMargarita O. Shengelia
The Research Institute of Obstetrics, Gynecology and Reproductology named after D.O. Ott
Email: bakleicheva@gmail.com
ORCID iD: 0000-0002-0103-8583
MD
Russian Federation, Saint PetersburgOlesya N. Bespalova
The Research Institute of Obstetrics, Gynecology and Reproductology named after D.O. Ott
Email: shiggerra@mail.ru
ORCID iD: 0000-0002-6542-5953
SPIN-code: 4732-8089
MD, Dr. Sci. (Med.)
Russian Federation, Saint PetersburgOlga V. Pachuliya
The Research Institute of Obstetrics, Gynecology, and Reproductology named after D.O. Ott
Email: for.olga.kosyakova@gmail.com
ORCID iD: 0000-0003-4116-0222
SPIN-code: 1204-3160
MD, Cand. Sci. (Med.)
Russian Federation, Saint PetersburgAleksandra A. Blazhenko
The Research Institute of Obstetrics, Gynecology and Reproductology named after D.O. Ott
Email: alexandrablazhenko@gmail.com
ORCID iD: 0000-0002-8079-0991
SPIN-code: 8762-3604
MD, Cand. Sci. (Med.)
Russian Federation, Saint PetersburgKirill А. Denisov
The Research Institute of Obstetrics, Gynecology and Reproductology named after D.O. Ott
Email: denisov4work@gmail.com
Russian Federation, Saint-Petersburg
Anastasia P. Sazonova
The Research Institute of Obstetrics, Gynecology and Reproductology named after D.O. Ott
Email: nastenka.sazonova.97@mail.ru
Russian Federation, Saint-Petersburg
Andrey V. Korenevsky
The Research Institute of Obstetrics, Gynecology and Reproductology named after D.O. Ott
Author for correspondence.
Email: a.korenevsky@yandex.ru
ORCID iD: 0000-0002-0365-8532
SPIN-code: 7942-6016
Dr. Sci. (Biol.)
Russian Federation, Saint-PetersburgReferences
- Finnell RH, Caiaffa CD, Kim SE, et al. Gene environment interactions in the etiology of neural tube defects. Front Genet. 2021;12. doi: 10.3389/fgene.2021.659612
- Martino F, Magenta A, Pannarale G, et al. Epigenetics and cardiovascular risk in childhood. J Cardiovasc Med (Hagerstown). 2016;17(8):539–546. doi: 10.2459/JCM.0000000000000334
- Morris JK, Springett AL, Greenlees R, et al. Trends in congenital anomalies in Europe from 1980 to 2012. PLoS One. 2018;13(4). doi: 10.1371/journal.pone.0194986
- Detrait ER, George TM, Etchevers HC, et al. Human neural tube defects: developmental biology, epidemiology, and genetics. Neurotoxicol Teratol. 2005;27(3):515–524. doi: 10.1016/j.ntt.2004.12.007
- Greene ND, Copp AJ. Neural tube defects. Annu Rev Neurosci. 2014;37:221–242. doi: 10.1146/annurev-neuro-062012-170354
- Practice Bulletin No. 187: Neural tube defects. Obstet Gynecol. 2017;130(6):e279–e290. doi: 10.1097/AOG.0000000000002412
- Avagliano L, Massa V, George TM, et al. Overview on neural tube defects: from development to physical characteristics. Birth Defects Res. 2019;111(19):1455–1467. doi: 10.1002/bdr2.1380
- Peake JN, Knowles RL, Shawe J, et al. Maternal ethnicity and the prevalence of British pregnancies affected by neural tube defects. Birth Defects Res. 2021;113(12):968–980. doi: 10.1002/bdr2.1893
- Geneti SA, Dimsu GG, Sori DA, et al. Prevalence and patterns of birth defects among newborns in southwestern Ethiopia: a retrospective study. Pan Afr Med J. 2021;40:248. doi: 10.11604/pamj.2021.40.248.25286
- Tsiklauri R, Jijeishvili L, Kherkheulidze M, et al. Neural tube defects and micronutrients deficiency prevalence in Georgia. Georgian Med News. 2020;(298):61–66.
- Li H, Zhang J, Chen S, et al. Genetic contribution of retinoid-related genes to neural tube defects. Hum Mutat. 2018;39(4):550–562. doi: 10.1002/humu.23397
- Golden JA, Chernoff GF. Multiple sites of anterior neural tube closure in humans: evidence from anterior neural tube defects (anencephaly). Pediatrics. 1995;95(4):506–510.
- Copp AJ, Greene ND. Neural tube defects--disorders of neurulation and related embryonic processes. Wiley Interdiscip Rev Dev Biol. 2013;2(2):213–227. doi: 10.1002/wdev.71
- Copp AJ, Adzick NS, Chitty LS, et al. Spina bifida. Nat Rev Dis Primers. 2015;1. doi: 10.1038/nrdp.2015.7
- Janik K, Manire MA, Smith GM, Krynska B. Spinal cord injury in myelomeningocele: prospects for therapy. Front Cell Neurosci. 2020;14:201. doi: 10.3389/fncel.2020.00201
- Greene ND, Copp AJ. Development of the vertebrate central nervous system: formation of the neural tube. Prenat Diagn. 2009;29(4):303–311. doi: 10.1002/pd.2206
- US Preventive Services Task Force, Bibbins-Domingo K, Grossman DC, et al. Folic acid supplementation for the prevention of neural tube defects: US preventive services task force recommendation statement. JAMA. 2017;317(2):183–189. doi: 10.1001/jama.2016.19438
- Czeizel AE, Dudás I, Vereczkey A, et al. Folate deficiency and folic acid supplementation: the prevention of neural-tube defects and congenital heart defects. Nutrients. 2013;5(11):4760–4775. doi: 10.3390/nu5114760
- Chon J, Field MS, Stover PJ. Deoxyuracil in DNA and disease: genomic signal or managed situation?. DNA Repair. 2019;77:36–44. doi: 10.1016/j.dnarep.2019.02.014
- Crider KS, Yang TP, Berry RJ, et al. Folate and DNA methylation: a review of molecular mechanisms and the evidence for folate’s role. Adv Nutr. 2012;3(1):21–38. doi: 10.3945/an.111.000992
- Lv X, Zhou D, Ge B, et al. Association of folate metabolites and mitochondrial function in peripheral blood cells in Alzheimer’s disease: a matched case-control study. J Alzheimers Dis. 2019;70(4):1133–1142. doi: 10.3233/JAD-190477
- van Gool JD, Hirche H, Lax H, et al. Folic acid and primary prevention of neural tube defects: a review. Reprod Toxicol. 2018;80:73–84. doi: 10.1016/j.reprotox.2018.05.004
- Levine SZ, Kodesh A, Viktorin A, et al. Association of maternal use of folic acid and multivitamin supplements in the periods before and during pregnancy with the risk of autism spectrum disorder in offspring. JAMA Psychiatry. 2018;75(2):176–184. doi: 10.1001/jamapsychiatry.2017.4050
- Raghavan R, Riley AW, Volk H, et al. Maternal multivitamin intake, plasma folate and vitamin B12 levels and autism spectrum disorder risk in offspring. Paediatr Perinat Epidemiol. 2018;32(1):100–111. doi: 10.1111/ppe.12414
- Yajnik CS, Deshpande SS, Jackson AA, et al. Vitamin B12 and folate concentrations during pregnancy and insulin resistance in the offspring: the Pune Maternal Nutrition Study. Diabetologia. 2008;51(1):29–38. doi: 10.1007/s00125-007-0793-y
- McGowan EC, Hong X, Selhub J, et al. Association between folate metabolites and the development of food allergy in children. J Allergy Clin Immunol Pract. 2020;8(1):132–140.e5. doi: 10.1016/j.jaip.2019.06.017
- Cordero AM, Crider KS, Rogers LM, et al. Optimal serum and red blood cell folate concentrations in women of reproductive age for prevention of neural tube defects: World Health Organization guidelines. Morb Mortal Wkly Rep. 2015;64(15):421–423.
- Hao L, Yang QH, Li Z, et al. Folate status and homocysteine response to folic acid doses and withdrawal among young Chinese women in a large-scale randomized double-blind trial. Am J Clin Nutr. 2008;88(2):448–457. doi: 10.1093/ajcn/88.2.448
- Smithells RW, Sheppard S, Schorah CJ. Vitamin deficiencies and neural tube defects. Arch Dis Child. 1976;51(12):944–950. doi: 10.1136/adc.51.12.944
- Daly LE, Kirke PN, Molloy A, et al. Folate levels and neural tube defects. Implications for prevention. JAMA. 1995;274(21):1698–1702. doi: 10.1001/jama.1995.03530210052030
- Crider KS, Devine O, Hao L, et al. Population red blood cell folate concentrations for prevention of neural tube defects: Bayesian model. BMJ. 2014;349. doi: 10.1136/bmj.g4554
- Cortellino S, Wang C, Wang B, et al. Defective ciliogenesis, embryonic lethality and severe impairment of the Sonic Hedgehog pathway caused by inactivation of the mouse complex A intraflagellar transport gene Ift122/Wdr10, partially overlapping with the DNA repair gene Med1/Mbd4. Dev Biol. 2009;325(1):225–237. doi: 10.1016/j.ydbio.2008.10.020
- Juriloff DM, Harris MJ. Insights into the etiology of mammalian neural tube closure defects from developmental, genetic and evolutionary studies. J Dev Biol. 2018;6(3):22. doi: 10.3390/jdb6030022
- Lee S, Gleeson JG. Closing in on mechanisms of open neural tube defects. Trends Neurosci. 2020;43(7):519–532. doi: 10.1016/j.tins.2020.04.009
- Molloy AM, Pangilinan F, Brody LC. Genetic risk factors for folate-responsive neural tube defects. Annu Rev Nutr. 2017;37:269–291. doi: 10.1146/annurev-nutr-071714-034235
- Burren KA, Savery D, Massa V, et al. Gene-environment interactions in the causation of neural tube defects: folate deficiency increases susceptibility conferred by loss of Pax3 function. Hum Mol Genet. 2008;17(23):3675–3685. doi: 10.1093/hmg/ddn262
- Buyukkurt S, Binokay F, Seydaoglu G, et al. Prenatal determination of the upper lesion level of spina bifida with three-dimensional ultrasound. Fetal Diagn Ther. 2013;33(1):36–40. doi: 10.1159/000341568
- Steele JW, Kim SE, Finnell RH. One-carbon metabolism and folate transporter genes: Do they factor prominently in the genetic etiology of neural tube defects? Biochimie. 2020;173:27–32. doi: 10.1016/j.biochi.2020.02.005
- Osterhues A, Ali NS, Michels KB. The role of folic acid fortification in neural tube defects: a review. Crit Rev Food Sci Nutr. 2013;53(11):1180–1190. doi: 10.1080/10408398.2011.575966
- Heseker HB, Mason JB, Selhub J, et al. Not all cases of neural-tube defect can be prevented by increasing the intake of folic acid. Br J Nutr. 2009;102(2):173–180. doi: 10.1017/S0007114508149200
- Stothard KJ, Tennant PW, Bell R, et al. Maternal overweight and obesity and the risk of congenital anomalies: a systematic review and meta-analysis. JAMA. 2009;301(6):636–650. doi: 10.1001/jama.2009.113
- Korkmaz L, Baştuğ O, Kurtoğlu S. Maternal obesity and its short- and long-term maternal and infantile effects. J Clin Res Pediatr Endocrinol. 2016;8(2):114–124. doi: 10.4274/jcrpe.2127
- Werler MM, Ahrens KA, Bosco JL, et al. Use of antiepileptic medications in pregnancy in relation to risks of birth defects. Ann Epidemiol. 2011;21(11):842–850. doi: 10.1016/j.annepidem.2011.08.002
- Becerra JE, Khoury MJ, Cordero JF, et al. Diabetes mellitus during pregnancy and the risks for specific birth defects: a population-based case-control study. Pediatrics. 1990;85(1):1–9.
- Kakebeen AD. Niswander L. Micronutrient imbalance and common phenotypes in neural tube defects. Genesis. 2021;59(11). doi: 10.1002/dvg.23455
- De Wals P, Tairou F, Van Allen MI, et al. Reduction in neural-tube defects after folic acid fortification in Canada. N Engl J Med. 2007;357(2):135–142. doi: 10.1056/NEJMoa067103
- Tang K-F, Li Y-L, Wang H-Y. Quantitative assessment of maternal biomarkers related to one-carbon metabolism and neural tube defects. Sci Rep. 2015;5. doi: 10.1038/srep08510
- Yang M, Li W, Wan Z, Du Y. Elevated homocysteine levels in mothers with neural tube defects: a systematic review and meta-analysis. J Matern Fetal Neonatal Med. 2017;30(17):2051–2057. doi: 10.1080/14767058.2016.1236248
- Saraswathy KN, Kaur L, Talwar S, et al. Methylenetetrahydrofolate reductase gene-specific methylation and recurrent miscarriages: a case-control study from North India. J Hum Reprod Sci. 2018;11(2):142–147. doi: 10.4103/jhrs.JHRS_145_17
- Kirke PN, Molloy AM, Daly LE, et al. Maternal plasma folate and vitamin B12 are independent risk factors for neural tube defects. Q J Med. 1993;86(11):703–708.
- Groenen PM, van Rooij IA, Peer PG, et al. Marginal maternal vitamin B12 status increases the risk of offspring with spina bifida. Am J Obstet Gynecol. 2004;191(1):11–17. doi: 10.1016/j.ajog.2003.12.032
- Sirinoglu HA, Pakay K, Aksoy M, et al. Comparison of serum folate, 25-OH vitamin D, and calcium levels between pregnants with and without fetal anomaly of neural tube origin. J Matern Fetal Neonatal Med. 2018;31(11):1490–1493. doi: 10.1080/14767058.2017.1319924
- Daglar K, Tokmak A, Kirbas A, et al. Maternal serum vitamin D levels in pregnancies complicated by neural tube defects. J Matern Fetal Neonatal Med. 2016;29(2):298–302. doi: 10.3109/14767058.2014.999037
- Larqué E, Morales E, Leis R, et al. Maternal and foetal health implications of vitamin D status during pregnancy. Ann Nutr Metab. 2018;72(3):179–192. doi: 10.1159/000487370
- Hamza M, Halayem S, Mrad R, et al. Implication de l’épigénétique dans les troubles du spectre autistique: revue de la littérature. Encephale. 2017;43(4):374–381. (In Fr.) doi: 10.1016/j.encep.2016.07.007
- Tous M, Villalobos M, Iglesias L, et al. Vitamin D status during pregnancy and offspring outcomes: a systematic review and meta-analysis of observational studies. Eur J Clin Nutr. 2020;74(1):36–53. doi: 10.1038/s41430-018-0373-x
- Eyles D, Brown J, Mackay-Sim A, et al. Vitamin D3 and brain development. Neuroscience. 2003;118(3):641–653. doi: 10.1016/s0306-4522(03)00040-x
- Sánchez-Hernández D, Anderson GH, Poon AN, et al. Maternal fat-soluble vitamins, brain development, and regulation of feeding behavior: an overview of research. Nutr Res. 2016;36(10):1045–1054. doi: 10.1016/j.nutres.2016.09.009
- Greene ND, Copp AJ. Inositol prevents folate-resistant neural tube defects in the mouse. Nat Med. 1997;3(1):60–66. doi: 10.1038/nm0197-60
- Cavalli P, Cavallari U, Unfer V, et al. Caffeine intake and risk of neural tube defects. Birth Defects Res A Clin Mol Teratol. 2011;91(1):67–68. doi: 10.1002/bdra.20739
- Ferrazzi E, Tiso G, Di Martino D. Folic acid versus 5- methyl tetrahydrofolate supplementation in pregnancy. Eur J Obstet Gynecol Reprod Biol. 2020;253:312–319. doi: 10.1016/j.ejogrb.2020.06.012
- Kerkeshko GO, Arutjunyan AV, Arzhanova ON, et al. Folate therapy optimization in complicated pregnancy. Journal of Obstetrics and Women’s Diseases. 2013;62(6):25–36. (In Russ.) doi: 10.17816/JOWD62625-36
- Li Z, Ren A, Zhang L, et al. Extremely high prevalence of neural tube defects in a 4-county area in Shanxi Province, China. Birth Defects Res A Clin Mol Teratol. 2006;76(4):237–240. doi: 10.1002/bdra.20248
Supplementary files







