Application computer monitoring of parameters of the clinical analysis of blood for forecasting and early diagnostics of postoperative inflammatory complications
- Authors: Dolgov G.V.1
-
Affiliations:
- Military Medical Academy
- Issue: Vol 47, No 2 (1998)
- Pages: 36-40
- Section: Original study articles
- Submitted: 15.08.1998
- Accepted: 07.11.2021
- Published: 15.08.1998
- URL: https://journals.eco-vector.com/jowd/article/view/87236
- DOI: https://doi.org/10.17816/JOWD87236
- ID: 87236
Cite item
Full Text
Abstract
Automated system computer monitoring the “Prognoz” was developed on the basis of mathematical modeling of a database of the clinical analysis of blood of 334 women with non complicated current postoperation period and 133 patients with postoperations inflammatory complications. Application of a system the “Prognoz” in clinical practice permits to prognosticate before the operation in 68,8% cases non complicated current postoperation period and in 93,0% cases on the 3-d day after operation to diagnose initial postoperations inflammatory complications.
Full Text
Послеоперационные гнойно-воспалительные осложнения (ПГВО) представляют собой одну из актуальных проблем оперативной гинекологии [8, 9]. Для их ранней диагностики чрезвычайно важным является применение лабораторных показателей, доступных для любого хирургического стационара. В наибольшей степени этим требованиям отвечает лейкоцитарная формула крови, отражающая характер общей неспецифической воспалительной реакции организма. Практические врачи при диагностике ПГВО, как правило, ориентируются на индекс сдвига лейкоцитов (Яблучанский и соавт.,1983) и на лейкоцитарный индекс интоксикации (ЛИИ), предложенный Я. Я. Кальф-Калифом еще в 1941 году. Однако ЛИИ применим только к частным видам патологии и даже сравнительный анализ в разных группах больных приводит порой к несопоставимым и противоречивым результатам.
В настоящее время появились реальные предпосылки для решения проблемы ранней диагностики и прогнозирования ПГВО. Они прежде всего связаны с разработкой нового методологического подхода к оценке адаптационных резервов целостного организма в ответ на хирургический стресс и с появлением современных: методов математического моделирования [2, 4, 7, 10]. Учитывая важнейшую гомеостатическую роль системы крови, целью нашего исследования явилось создание и применение у гинекологических больных компьютерного мониторинга показателей клинического анализа крови для ранней диагностики послеоперационных гнойновоспалительных осложнений.
Материалы и методы
Исследование включало анализ анамнестических, клинических данных и показателей системы крови у 467 женщин до операции, на 1-е, 3-и, 5-е и 12-е сутки послеоперационного периода. Все больные были оперированы в плановом порядке по поводу доброкачественных опухолей матки и придатков или выпадения половых органов. Вид анестезии, инфузионно-трансфузионные программы обеспечения операций и ведение раннего послеоперационного периода, включая обезболивание, были унифицированы. База исследуемых данных включала 176 показателей и была тщательно верифицирована. Исследуемые пациентки были разделены на 2 группы по признаку отсутствия или наличия ПГВО.
В 1-ю группу вошли 334 женщины с неосложненным (саногенетическим) течением послеоперационного периода: 110 пациенток с миомой матки; 49 - с доброкачественными опухолями яичников; 87- с аденомиозом и эндометриоидными кистами яичников и 88 больных с выпадением половых органов.
Во 2-ю группу вошли 133 женщины с послеоперационными гнойно-воспалительными осложнениями. Основная патология представлена миомами матки у 66 пациенток, у 11 - доброкачественными опухолями яичников, у 26 - аденомиозом и эндометриоидными кистами яичников и у 30 больных - различной патологией тазового дна. По характеру послеоперационные осложнения в этой группе распределились следующим образом: 68 женщин с параметритами малого таза; 23 больных с абсцессами купола влагалища и 45 пациенток - с целлюлитами и частичным расхождением краев раны передней брюшной стенки.
При построении прогностической модели различного течения послеоперационного периода по показателям системы крови мы исходили из признания структурной взаимосвязи и организации показателей системы крови, их пространственной неоднородности, за счет которой и сохраняется постоянство количества и качества информации.
Приняв за основу эти принципы, мы попытались подойти к решению этой проблемы посредством математического моделирования динамического структурно-функционального взаимодействия клеток периферической крови с применением дискриминантного, а затем многокомпонентного кластерного анализа.
Результаты исследования и их обсуждение
В результате оценки информативности (с помощью F-критерия Фишера) включенных в модель 176 показателей был сделан вывод, что большая часть из них не представляет интереса для дальнейшего анализа, т.к. их значимость для прогноза несущественна.
Включенные в модель признаки по их значимости в отношении прогноза ПГВО до операции расположились в следующем порядке:
- моноциты;
- анемия;
- показания к операции;
- размеры опухоли;
- предшествующие гинекологические операции;
- наличие кольпита;
- гемоглобин;
- болезненность месячных;
- количество родов;
- заболевания желудочно-кишечного тракта;
- лейкоциты;
- регулярность половой жизни;
- наличие выкидышей;
- эозинофилы;
- мастопатии;
- характер контрацепции;
- сегментоядерные нейтрофилы;
- СОЭ;
- палочкоядерные нейтрофилы;
- возраст;
- рубцово-спаечный процесс;
- характер лечения до операции;
- эритроциты;
- лимфоциты и др.
Дискриминантная модель для перечисленных выше показателей продемонстрировала следующие результаты (табл. 1 ).
Таблица 1. Результаты дискриминантного анализа исследуемых показателей
Группы
| % правильных прогнозов
| Без ПГВО | ПГВО
|
с благоприятным прогнозом | 79.0 | 256 | 68 |
с неблагоприятным прогнозом | 46.4 | 81 | 70 |
Всего | 68.6 | 337 | 138 |
Результаты прогностических заключений до операции и результаты наблюдений совпали в 337 случаях из 475 (68.6% правильных заключений). Ошибочные заключения чаще наблюдались в группе с неблагоприятным прогнозом.
Дальнейший анализ был направлен на поиск комбинации исследуемых признаков, которая была бы достаточно информативной (т.е. без снижения числа правильных прогностических заключений), но в то же время содержала бы минимальное количество показателей. Такой комбинацией оказался набор из пяти показателей клинического анализа крови: СОЭ, гемоглобин, лимфоциты, эритроциты и сегментоядерные нейтрофилы (табл.2).
Таблица 2. Итоговая дискриминантная модель показателей крови больных с различным течением послеоперационного периода
Признак | Дискриминантные коэффициенты
| |
больные без ПГВО | больные с ПГВО | |
СОЭ | 0.52797 | 0.54275 |
Гемоглобин | -0.07917 | -0.09350 |
Эритроциты | 33.81251 | 34.17550 |
Лимфоциты | 18.81825 | 18.65355 |
Сегментоядерные нейтрофилы | 18.73373 | 18.57384 |
Постановка вероятностного прогностического заключения осуществляется линейной комбинацией дискриминантных коэффициентов со значениями признаков, включенных в модель. Если полученная сумма положительна, то прогноз считается благоприятным, т.е. течение послеоперационного периода неосложненное. В случае, если сумма отрицательна, вероятность возникновения ПГВО считается существенной (группа неблагоприятного прогноза).
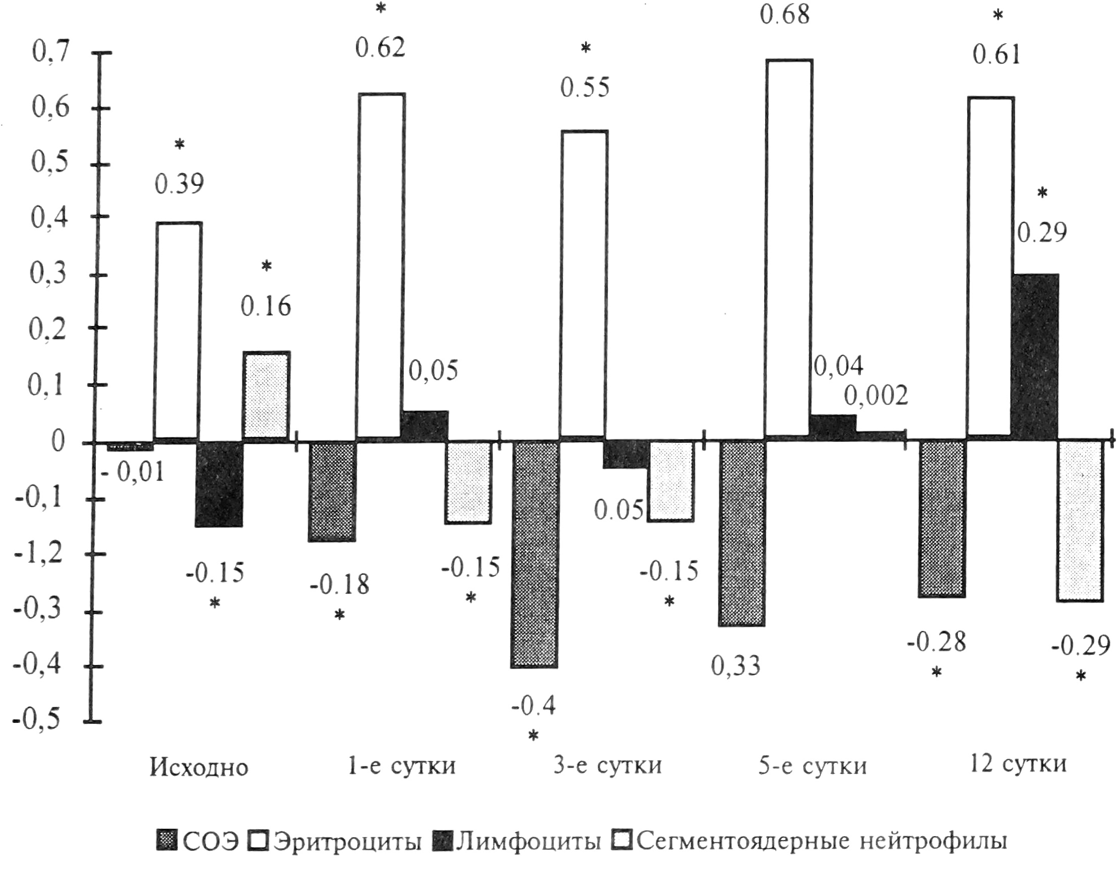
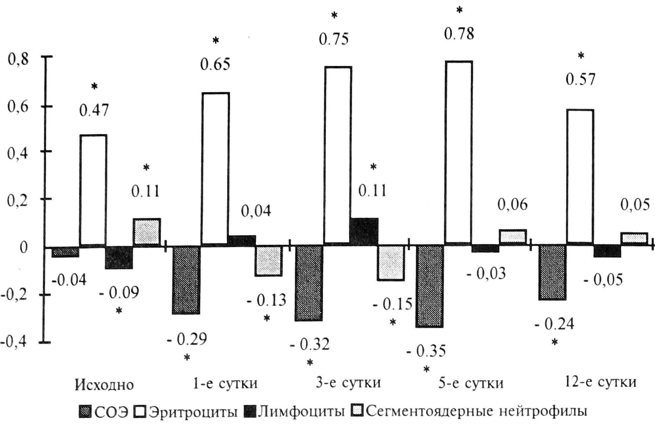
Далее нами предпринята по-пытка выявить наиболее общие закономерности изменений многомерной структуры корреляционных связей показателей системы крови при различном течении послеоперационного периода. Для этой цели был использован метод многофакторного кластерного анализа (априорная классификация наблюдений). Полученные результаты представлены на рис. 1 и 2.
Рис. 1. Характер изменений многомерной структуры корреляционных связей показателей крови больных с неосложненным течением послеоперационного периода.
* - взаимосвязь показателей достоверна (р <0,01).
Рис. 2. Характер изменений многомерной структуры корреляционных связей показателей крови больных с осложненным течением послеоперационного периода.
* - взаимосвязь показателей достоверна (р <0,01).
Анализ данных, представленных на рисунке 1, свидетельствует о том, что для больных с неосложненным течением послеоперационного периода было характерно изменение многомерной структуры связей показателей (замена отрицательных связей на положительные у лимфоцитов и противоположная замена связей у сегментоядерных нейтрофилов) только на 1-е и 3-и сутки после операции. На 5-е сутки послеоперационного периода и на 12-е сутки многомерная структура связей исследуемых показателей соответствовала исходной до операции.
У больных с осложненным течением послеоперационного периода многомерная структура корреляционных связей показателей изменялась на 1-е и 3-и сутки после операции, так же, как и у больных с неосложненным послеоперационным периодом. Однако на 5-е и 12-е сутки после операции она не соответствовала исходной.
Представленные данные согласуются с исследованиями Г. Хагена ( 1985), посвященными синергетике, с работами И. Пригожина и И. Стенгере ( 1986) о поведении сложных диссипативных систем, а также с результатами, полученными И.А.Ерюхиным и С.А.Шляпниковым (1997) при изучении закономерностей адаптации у больных с тяжелой сочетанной механической травмой.
Принципиальной особенностью работы явилось желание избежать принципа линеаризации, т.е. сведения нелинейной системы, какой является целостный организм, к линейной. Этот принцип [7, 10] подразумевает анализ данных без отбрасывания крайних значений, т. к. для целостного организма характерно множество хаотических процессов, и их поведение трудно предсказать, используя классическую методологию.
Исходя из вышесказанного, материалы базы данных больных с различным течением послеоперационного периода были разделены на кластеры. Решающим правилом при разделении групп явились отличия показателей гемоглобина и лимфоцитов до операции. При этом группа больных с неосложненным течением послеоперационного периода (337 наблюдений) была разделена на 4 кластера (118, 80, 99 и 31 наблюдение).
Группа больных с осложненным течением послеоперационного периода была также разделена на 4 варианта (54, 69, 10 и 18 наблюдений).
Все исходные значения показателей крови в кластерах представлены в табл. З и 4.
Таблица 3. Центры кластеров показателей клинического анализа крови больных с неосложненным течением послеоперационного периода до операции
Показатели | Ед. изм. | 1-й кластер | 2-й кластер | 3-й кластер | 4-й кластер |
СОЭ | мм/ч | 8.3±4.7 | 10.0±6.2 | 13.6±9.3 | 13.7±10.6 |
Гемоглобин | г/л | 130.1±8.5 | 128.6±8.2 | 111.1±6.5 | 79.5±11.4 |
Эритроциты | х1012/л | 4.5±0.3 | 4.5±0.3 | 4.0±0.3 | 3.8±0.5 |
Лейкоциты | х109/л | 6.1 ±1.7 | 5.5±1.4 | 5.9±1.5 | 5.7±2.2 |
Лимфоциты | % | 27,4±5.7 | 41,3±5.4 | 30.0±5.9 | 29.3±3.3 |
Сегментоядерные нейтрофилы | % | 64.3+5.7 | 50.2±5.8 | 62.4+6.5 | 62.1±9.8 |
Палочкоядерные нейтрофилы | % | 0.6+1.3 | 0.4+0.7 | 0.5+1.2 | 0.3+1.2 |
Моноциты | % | 5.0+2.4 | 4.8±2.7 | 4.7+2.4 | 4.4±2.6 |
Эозинофилы | % | 1.0+1.5 | 1.6+1.9 | 1.2±1.6 | 1.5±1.8 |
Таблица 4. Центры кластеров показателей крови больных с осложненным течением послеоперационного периода до операции
Показатели | Ед. изм. | 1-й кластер | 2-й кластер | 3-й кластер | 4-й кластер |
СОЭ | мм/ч | 9.8±6.8 | 8.3±4.1 | 36.3±14.3 | 13.6+4.6 |
Гемоглобин | г/л | 131.9±9.7 | 113.0±4.3 | 107.0±10.9 | 82.0±7.3 |
Эритроциты | х1012/л | 4.5±0.3 | 4.2±0.3 | 3.9±0.2 | 3.9±0.3 |
Лейкоциты | х109 /л | 5.5±1.1 | 5.5±1.2 | 6.6±2.6 | 5.4±1.2 |
Лимфоциты | % | 35.0±8.4 | 29.1±7.1 | 22.3±6.4 | 33.2±7.1 |
Сегментоядерные нейтрофилы | % | 56.2±8.6 | 62.0±8.2 | 69.1±8.2 | 59.0±8.2 |
Палочкоядерные нейтрофилы | % | 0.3±0.6 | 0.6±1.2 | 0.5±0.5 | 0.2±1.2 |
Моноциты | % | 3.7±3.3 | 3.9+2.9 | 5.0+3.2 | 3.3±2.9 |
Эозинофилы | % | 1.1±1.7 | 1.0±1.3 | 1.0±1.5 | 1.3+1.3 |
Полученные результаты явились основанием для написания на языке Turbo-Pascal-6 автоматизированной системы компьютерного мониторинга показателей клинического анализа крови “ПРОГНОЗ” и использования ее в практической деятельности клиники акушерства и гинекологии ВМедА.
На этапе расчета определяются относительные линейные расстояния между координатами показателей клинического анализа крови конкретной больной в многомерном пространстве с каждым из показателей «центров кластеров» (4 - для неосложненного и 4 - для осложненного течения послеоперационного периода).
В итоге мы получаем две величины. Они представляют собой суммарные дистанции отклонения или приближения многомерной структуры связей показателей крови данной больной к показателям пациенток с неосложненным (D1) и осложненным (D2) течением послеоперационного периода на день исследования. Из двух полученных дистанций наименьшая по значению является определяющей.
На рис. 3 представлен образец протокола больной А., оперированной по поводу миомы матки. Значения дистанций показателей крови этой больной до операции и на протяжении всего послеоперационного периода свидетельствуют о его неосложненном течении (величина D1 за весь период наблюдения была P D2).
Рис. 3. Характер неосложненного течения послеоперационного периода у больной А (стрелкой отмечен момент операции).
В случае прогнозирования ПГВО разность между большей величиной (Д1- отклонение от саногенетического течения послеоперационного периода ) и меньшей величиной (Д2 - приближение к осложненному течению послеоперационного периода) всегда единицы.
На рис. 4 представлен образец протокола больной С. Анализ исходных показателей крови до операции и на 1-е сутки после операции соответствовал неосложненному течению послеоперационного периода. На 3-и сутки после операции разность между величинами D1 и D2 была больше единицы, а на 5-е сутки после операции она была больше трех единиц, что свидетельствовало о развитии гнойно-воспалительного процесса. Вместе с тем клинически абсцесс купола влагалища проявился только на 1-е сутки послеоперационного периода.
Рис. 4. Характер осложненного течения послеоперационного периода у больной С (стрелка слева - момент операции, стрелка справа - момент клинической диагностики абсцесса купола влагалища).
Таким образом, применение нашего способа позволяет в данном конкретном случае уже на 3-и сутки послеоперационного периода прогнозировать начальные признаки ПГВО.
Проверка работы автоматизированной системы компьютерного мониторинга показателей системы крови “ПРОГНОЗ” и использования ее в практической деятельности клиники была осуществлена на обучающей выборке (2304 наблюдения), а также на контрольной выборке ( 130 наблюдений). Установлено, что результаты прогностического заключения совпадают в 93.0% случаев.
Выводы
- Дискриминантная математическая модель, состоящая из показателей периферической крови ( СОЭ, гемоглобина, лимфоцитов, эритроцитов и сегментоядерных нейтрофилов), позволяет до операции в 68.6% случаев прогнозировать неосложненное течение послеоперационного периода.
- Модель многофакторного анализа показателей клинического анализа крови выявила у больных с неосложненным течением послеоперационного периода восстановление многомерной структуры корреляционных связей показателей, соответствующих исходному состоянию до операции, на З-е сутки послеоперационного периода. У больных с осложненным течением послеоперационного периода многомерная структура корреляционных связей показателей крови не приходит к исходной даже к 12-м суткам послеоперационного периода.
- Применение компьютерной автоматизированной системы “ПРОГНОЗ”, основанной на проведении многофакторного кластерного анализа показателей крови больных, позволяет в 93.0 процентах случаев прогнозировать начальные проявления послеоперационных гнойно-воспалительных осложнений.
About the authors
G. V. Dolgov
Military Medical Academy
Author for correspondence.
Email: info@eco-vector.com
Russian Federation, St. Petersburg
References
Supplementary files






