Тиболон и его метаболиты: фармакология, тканевая специфичность и эффекты на экспериментальных моделях опухолей
- Авторы: Kloosterboer H.J.1
-
Учреждения:
- Scientific Development Group, NV Organon
- Выпуск: Том 47, № 2 (1998)
- Страницы: 44-49
- Раздел: Оригинальные исследования
- Статья получена: 15.08.1998
- Статья одобрена: 07.11.2021
- Статья опубликована: 15.08.1998
- URL: https://journals.eco-vector.com/jowd/article/view/87241
- DOI: https://doi.org/10.17816/JOWD87241
- ID: 87241
Цитировать
Полный текст
Аннотация
Тиболон (действующие вещество препарата ливиал) представляет собой стероид со слабыми эстрогенными, прогестогенными и андрогенными свойствами, которые могут использоваться в качестве альтернативы обычной гормональной заместительной терапии у женщин в постменопаузе. Была проведена серия экспериментов (на крысах) для изучения влияния тиболона и его метаболитов на тканевую избирательность и на модели опухолей in vitro и in vivo. Тканевая избирательность тиболона была обнаружена в кости, где эстрогенная активность восстанавливает костную массу, и качество кости у крыс после овариэктомии, и отсутствие эстрогенной активности предотвращают пролиферацию эндометрия. Тиболон не стимулировал клеточную пролиферацию в линиях опухолевых клеток и уменьшал опухолевую нагрузку при опухолях молочных желез, вызванных ДМБА, как на модели лечения, так и на модели профилактики. Было показано, что тиболон и каждый из трех метаболитов значительно уменьшают среднюю опухолевую нагрузку после 10 недель лечения. Эти результаты показывают, что метаболиты могут вносить свой вклад в окончательный эффект тиболона в экспериментах in vivo и что метаболизм играет ключевую роль в проблеме избирательных тканевых эффектов тиболона.
Тканеспецифическое действие тиболона может быть обусловлено различиями метаболизма в различных тканях в комбинации с типов рецепторов и их плотностью.
Ключевые слова
Полный текст
Введение
В идеале гормональная заместительная терапия (ГЗТ) должна оказывать тканеспецифическое действие, причем эстрогенный компонент устраняет приливы посредством действия на головной мозг и предотвращает потерю костной ткани, в то время как прогестиновый компонент защищает эндометрий. ГЗТ должна также оказывать положительные эффекты на сосудистую систему и влагалище. Кроме того, не должно быть неблагоприятных эффектов на метаболические пути, управляемые печенью, и, в частности, ГЗТ не должна стимулировать эндометрий или ткань молочных желез. Эстрогенная заместительная терапия не может быть описана как тканеспецифическая, поскольку гормоны доставляются через систему кровообращения, стимулируя рецепторы во всех тканях, и поэтому эстрогены должны комбинироваться с прогестогенами во избежание неблагоприятных эффектов на молочные железы и эндометрий.
Напротив, соединение тиболона представляет собой стероид со слабыми эстрогенными, прогестонными и андрогенными свойствами, которые, как было показано, являются тканеспецифическими. Исследования показали, что тиболон является безопасной и эффективной формой ГЗТ [1]. Было показано, что тиболон подавляет уровни фолликулостимулирующего гормона и лютеинизирующего гормона у пациенток в постклимактерическом периоде
[2, 3] и подавляет овуляцию у фертильных женщин [4]. Было показано, что он также предотвращает потерю костной ткани у женщин в постменопаузе в значительно большей степени, чем плацебо, уменьшал приливы, потливость и головную боль, и многие пациентки отмечали нарастание ощущения благополучия. Тиболон не стимулирует пролиферацию эндометрия, не оказывает неблагоприятного эффекта на функцию печени или на углеводный обмен. Он оказывает положительное воздействие на сердечно-сосудистую систему. Хотя тиболон снижает уровень липопротеида высокой плотности (ЛВП), он также снижает уровни триглицеридов и липопротеидов и не оказывает неблагоприятного эффекта на факторы свертывания.
Приводится обзор серии экспериментов, в которых исследовались фармакологический профиль и тканевая специфичность тиболона и его метаболитов, а также их воздействие на моделях опухолей.
Фармакология
Исследования in vitro
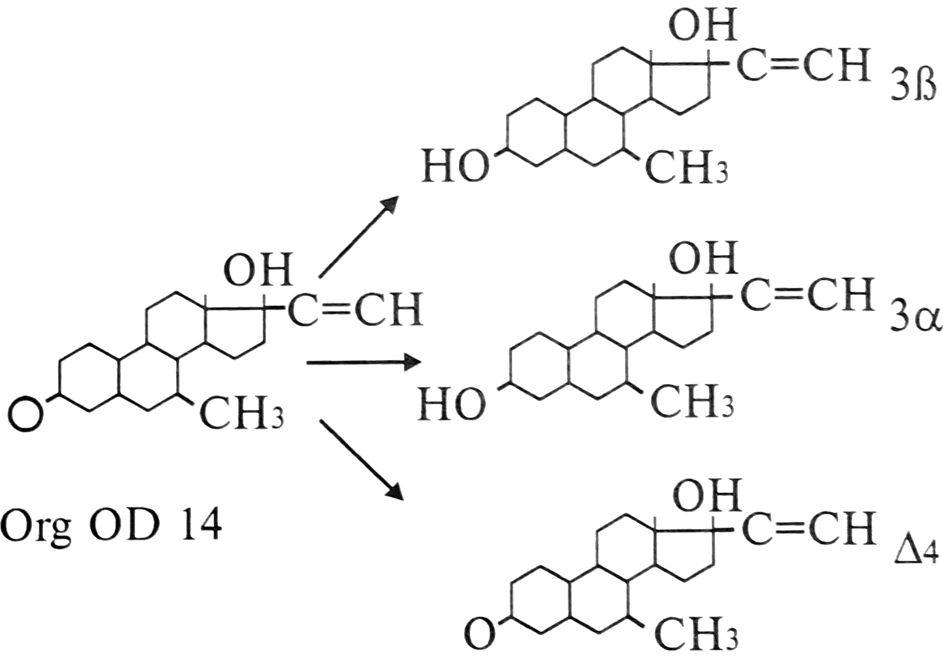
Тиболон имеет эстрогенные, прогестогенные и андрогенные характеристики. После введения тиболон быстро превращается в три метаболита: За-ОН и 3ß-OH метаболиты и А4 -изомерный матеболит (рис. 1). Было обнаружено, что в линиях клеток MCF 7 эти метаболиты имеют различ ный относительный аффинитет связывания с рецепторами прогестерона (ПР), эстрогена (ЭР) и андрогена (АР) человека. Тиболон слабо связывается со всеми этими рецепторами: цитозольный ПР 1,1% (Org 2028 = 100%), цитозольный ЭР 0,5% (эстрадиол = 100%), цитозольный АР 2,4% (ДГТ = 100%).
Рис. 1. Химическая структура тиболона и его метаболитов.
А4 -изомер связывался только с цитозольным прогестероном ( 10,4%) и андрогенными рецепторами (29,1%), а За-ОН метаболит и 3/3-ОН метаболит связывались только с эстрогенными рецепторами (2,5% и 1,9% соотвественно). Аналогичные результаты были обнаружены, когда тиболон и его метаболиты использовались для индуцирования активности люциферазы в клетках яичников китайских хомячков, содержащих рецепторы прогестерона (ПР), эстрогена (ЭР) или андрогена (АР) (при ПР 4,6% относительно Org 2058, при ЭР 0,2% относительно эстрадиола и АР 5,6% относительно ДГТ). Тиболон вызвал слабую активность рецепторов прогестерона, андрогена и эстрогена, тогда как А4 -изомер вызвал активность только рецепторов прогестерона (8,0%) и андрогена (20,3%), а За- ОН и 3/3-ОН метаболиты вызывали активность только эстрогенных рецепторов, составляющую соответственно 2,9% и 2,1%.
Исследования in vivo
При количественном определении Allen-Doisy, в котором оценивается эстрогенная активность на ткани влагалища крыс, тиболон проявил 10% активности этинилэстрадиола. У кроликов едва наблюдалась прогестогенная активность, определяемая как дифференциация ткани эндометрия, что наиболее вероятно, связано с взаимодействием эстрогенных метаболитов в плане влияния на прогестогенную реакцию эндометрия у этого вида. У крыс тиболон проявил 5% андрогенной активности метилтестостерона. А4 -изомер обладал гораздо более высокой эстрогенной активностью, чем тиболон, тогда как За-ОН и 3/3-ОН метаболиты, вероятно, быcтро превращались в другие неактивные метаболиты, поскольку они обладают меньшей эстрогенной активностью in vivo, чем тиболон. А4 -изомер при изолированном применении обладал более высокой эстрогенной активностью, чем тиболон, вероятно, вследствие образования эстрогенных метаболитов, отличных от метаболитов, образованных из тиболона, таких как 3-гидроксил 5 а - восстановленные соединения.
У -изомер имел андрогеную активность, которая в пять раз превышала активность тиболона, тогда как За-ОН метаболит и 3/3-ОН метаболит не имели андрогенной активности, свидетельствуя о том, что их широкого превращения в а4-изомер не происходит. a4 -изомер проявил более высокую активность, способствующую наступлению и сохранению беременности, чем тиболон, тогда как аналогичная активность За-ОН и 3/3-ОН метаболитов низкая. У интактных крыс ингибирующая овуляцию активность У -изомера в пять раз превышала активность тиболона (и, должно быть, связана с эстрогенной и прогестогенной активностью этого метаболита). Как и в предшествующих испытаниях, За-ОН метаболит и 3/3-ОН метаболиты проявили небольшую или отсутствующую активность в этом эксперименте.
Тканевая специфичность
Исследование костей
Влияние тиболона на костную массу, костный метаболизм и качество кости оценивалось у крыс с использованием денситометрии и гистоморфометрии, биохимических показателей образования и резорбции кости, а также с помощью теста сгибания бедренной кости в трех точках соответственно.
На моделях у крыс в пределах 4 недель после овариэктомии наблюдается четкое уменьшение костной массы, которая может быть восстановлена с помощью лечения этинилэстрадиолом. Результаты исследований костной минеральной плотности, проведенных на бедренных костях крыс после овариэктомии, показали, что после 4 недель лечения тиболон действовал таким же образом, как эстрадиол. У крыс без яичников тиболон вызывал четкую, зависимую от дозы, реакцию (рис. 2), подавляя резорбцию кости и поэтому сохраняя нормальные уровни костной массы. Действие эстрадиола и тиболона на кости объясняется тем, что эти соединения подавляют остекланез. Воздействия тиболона могут блокироваться антиэстрогенными препаратами, но не антиандрогенными или антипрогестогенными, свидетельствуя о том, что благоприятный эффект наиболее вероятно связан с эстрогенными компонентами. Положительные эффекты могут объясняться более высокой распространенностью эстрогенных метаболитов в костной ткани (или костном мозге).
Рис. 2. Влияние этинилэстрадиола (ЭЭ2) и тиболона (Org OD14) на костную минеральную плотность в бедренных костях крыс. Величины представлены в виде средних ± стандартная ошибка средней.
* - р<0,05.
Был проведен эксперимент для сравнения качества кости у интактных и овариэктомированных крыс, получавших тиболон или этинилэстрадиол. Наблюдалось уменьшение максимальной нагрузки, которое могло относиться к бедренным костям овариэктомированных крыс в сравнении с интактными крысами. Было установлено, что лечение тиболоном улучшало качество костей в той же степени, что и этинилэстрадиол у овариэктомированных крыс, и наблюдалась зависимая от дозы реакция. Воздействия тиболона на кости аналогичны воздействиям эстрогена.
Исследования ткани эндометрия
Активность и патоморфология эпителия эндометрия оценивались у крыс, получавших тиболон или этинилэстрадиол. Влияние лечения на пролиферацию эндометрия оценивалось у неполовозрелых крольчих в нашей собственной лаборатории, а также в тканевых культурах эндометрия человека группой Gurpide [11]. Оценка в баллах активности у крыс основывалась на высоте эпителия просвета, числе и размере желез и высоте железистого эпителия. Балльная оценка патоморфологии основывалась на присутствии метаплазии или гиперплазии и наличии и числе кист.
У неполовозрелых крольчих тиболон не вызывал пролиферацию эндометрия до такой степени, как этинилэстрадиол, вероятно, ввиду неэстрогенных эффектов А4 -изомера. Аналогичные результаты были получены, когда активность и патоморфология эпителия матки интактных и подвергнутых овариэктомии крыс изучались после лечения тиболоном и этинилэстрадиолом. Патология эндометрия отчетливо на
блюдалась при использовании этинилэстрадиола, но не тиболона. Активность эндометрия была ниже при использовании тиболона, чем при использовании этинилэстрадиола.
Инкубировали образцы культуры ткани эндометрия человека и исследовали влияние тиболона и его метаболитов на эстрадиол - 17ß-дегидрогеназу в пролиферативном эндометрии [11]. Известно, что уровни эстрадиол-17ß- дегидрогеназы возрастают под влиянием прогестинов. И тиболон, и д' -изомер вызывали возрастание уровней эстрадиол-17ß- дигедроназы, доказывая, что тиболон в эндометрии действовал как прогестонное соединение. Выраженный прогестогенный эффект тиболона в системе in vivo был неожиданным и свидетельствовал о том, что тиболон превращался в У -изомер. Это было подстверждено исследованиями метаболизма с использованием меченного тритием тиболона (рис. З), которые показало, что тиболон специфически изомеризировался в А4 -изомер в эндометрии человека.
Рис. 3. Изомеризация [ЗН] тиболона (Org OD 14) в эндометрии человека [13].
Модели опухолей
Исследования in vitro
Для исследования влияния тиболона на риск молочной железы в исследованиях in vivo изучался рост двух субклонов (А и Н) линий опухолевых клеток MCF-7 и субклонов А и S клеток T47-D [12]. В целом, влияние тиболона на клеточную пролиферацию было существенно меньше, чем влияние эстрадиола. В клетках MCF-7 (А) тиболон оказывал слабый пролиферативный эффект (1 % активности эстрадиола), который не достиг максимального уровня, полученного при использовании эстрадиола, тогда как в клетках MCF-7 (Н), которые обладали меньшей реактивностью на эстроген, тиболон и страдиол проявили аналогичное различие реакции роста, как в субклоне А. В клетках T47-D (А) эффект тиболона составил приблизительно 1% от эффекта эстрадиола, а в клетках T47-D (S) тиболон не оказывал даже более низкого стимулирующего эффекта, но в субклоне T47-D не было показано вообще никакой стимуляции. В присутствии эстрадиола тиболон оказывал подавляющее рост действие на клетки Т47- D субклона S, но не субклона А.
Рис. 4. Влияние тиболона (Org OD 14) и тамоксифена на вызванные ДМБА опухоли молочных желез у крыс: терапевтическая модель.
* - р<0,05.
Исследование in vivo
Известно, что пролактин и эстрогены стимулируют опухоли молочных желез, тогда как андрогены оказывают подавляющее влияние, а прогестины оказывают изменчивые воздействия. Дляизучения терапевтического и предотвращающего (профилактического) лечения тиболоном и тамоксифеном в исследованиях in vivo, проведенных у крыс, использовались опухоли молочной железы, вызванные диметилбензатраценом (ДМБА). На терапевтической модели лечение проводилось в течение 7 недель после вызванного развития опухолей, тогда как на профилактической модели лечение назначалось непосредственно после ДМБА [12].
В сравнении с контрольными крысами, у которых опухолевая уменьшение опухолевой нагрузки при использовании тиболона, в сравнении с контролем (рис.5). В профилактической модели проводилось испытание метаболитов (За-ОН метаболита, 3/3-ОН метаболита и А4 -изомера), и они значительно уменьшили среднее число опухолей и среднюю опухолевую нагрузку по данным оценки объема (мм2) и массы (г) после 10 недель лечения. Это свидетельствует о том, что метаболиты вносят вклад в эффект тиболона.
Рис. 5. Влияние тиболона (Org OD14) на вызванные ДМБА опухоли молочной железы у крыс: профилактическая модель.
* - р<0,05.
Выводы
В классической экспериментальной модели тиболон проявляет слабую эстрогенную, прогестогенную и андрогенную активность. Тканеспецифические эффекты тиболона исследовались на кости, молочной железе и эндометрии. Было показано, что тиболон проявляет тканевую специфичность, которую можно частично объяснить дифференциальным местным метаболизмом. Метаболиты обладают различным связыванием с гормональными рецепторами и различной активностью, и поэтому различие местной концентрации метаболитов наряду с различной местной популяцией рецепторов (типы и уровни) могут привести к тканевой специфичности. Тиболон ведет к увеличению костной массы и качества кости у крыс после овариэктомии путем подавления резорбции костей образом, подобным эстрогену. Тиболон не вызывал патологию эндометрия у крыс и проявляет меньшее пролиферативное воздействие, чем эстрадиол, благодаря прогестагенному метаболиту-изомеру.
Тиболон в целом оказывал на линии опухолевых клеток (MCF-7 и T47-D) пролиферативное воздействие, составляющее только 1 % эффекта эстрадиола, и отчетливо подавлял развитие и рост опухолей молочной железы, вызванных ДМБА. Тканеспецифическое действие тиболона может быть вызвано различием метаболизма в различных тканях в комбинации с присутствием типов рецепторов и их плотностью.
Перевод подготовлен агентством “Интердиалект”
Об авторах
H. J. Kloosterboer
Scientific Development Group, NV Organon
Автор, ответственный за переписку.
Email: info@eco-vector.com
Нидерланды, Oss
Список литературы
- Tax L., Goorissen Е.М. and Kicovic P. M. Clinical profile of Org OD14. Maturitas, 1987, Suppl. 13-13.
- CittadiniJ., Ben J. and Badano A.R. The use of a new steroid (Org OD14) in the climacteric syndrome.
- Reproduccion, 1982. - №6. - P. 69- 79.
- Kicovic P.M., Cortes-Prieto J and Luisi M. Placebo-controlled crossover study of effects of Org OD 14 in menopausal women. Reproduccion, 1982. - № 6. -P. 81-91.
- Franchimont P., Franchi F. and Luidi M. Ovulation-inhibiting properties of Org OD14. Reproduccion, 1982. - №6. - P. 61-67.
- lindsay R., Hart D.M. and Kraszewski A. Prospective doublebind trial of synthetic steroid (Org OD 14) for preventing postmenopausal osteoporosis. Br. Med. J., 1978. - №280. - P. 1207-1209.
- Bjarnson N. H., Bjarnson K., Hassager C. and Christiansen C. The response in spinal bone mass to tibolone treatment is related to bone turnover in elderly women. Bone, 1997. - №20. -P. 151 -155.
- Nevinny-Stickel J. Double-blind cross-over study with Org OD 14 and placebo in postmenopausal patients. Arch. Gynecol., 1983. - №234. - P. 27- 31.
- Travoux R., Dieuland P. and Blum A. Efficacy and safety of Org OD 14 in the treatment of climacteric complaints. Maturitas, 1983. - №5. - P. 89-96.
- Genazzani A.R., Petraglia F. and Facchinetti F. Effects of Org OD 14 on pituitary and peripheral beta- endorphin in castrated rats and postmenopausal women. Presented at the 4 yj International Congress of the Menopause, Orlando, USA. Maturitas, 1984, Suppl., 35-48.
- Benedek-Jaszmann L.J. Longterm placebo-controlled efficacy and safety study of OrgOD 14 in climacteric women. Maturitas, 1987, Suppl., 25-33.
- Markiewicz L. and Gurpide E. In vitro evaluation of estrogenic, estrogen antagonistic and progestagenic effects of a steroid drug (OrgOD 14) and its metabolites on human endometrium. J. Steroid. Biochem., 1990. - №35. - P.535-541.
- Kloosterboer H.J., Schoonen W. G., Deckers G. H. and Klijn J. G. Effects of progestagens and OrgOD 14. I in vitro tumour models. J. Steroid. Biochem. Mol. Biol., 1994. - №49. -P. 311-318.
- Tang B., Markiewicz L., Kloosterboer H.J. and Gurpide T. Human sendometrial 3 bera-Hydrozysteroid dehydrogenase/isomerase can locally reduce intrinsic estrogenic/progestagenic actMty ratios of a steroidal drug (OrgOD 14). J. Steroid. Biochem. Mol. Biol., 1993. - №45. - P. 345-351.
Дополнительные файлы







