The effect of vitamin D on women’s reproductive health
- Authors: Bakleicheva M.O.1, Kovaleva I.V.2, Bespalova O.N.1, Kogan I.Y.1
-
Affiliations:
- Research Institute of Obstetrics, Gynecology and Reproductology named after D.O. Ott
- Scandinavia Clinic
- Issue: Vol 67, No 3 (2018)
- Pages: 4-19
- Section: Articles
- Submitted: 19.07.2018
- Published: 15.12.2018
- URL: https://journals.eco-vector.com/jowd/article/view/9080
- DOI: https://doi.org/10.17816/JOWD6734-19
- ID: 9080
Cite item
Full Text
Abstract
Background. According to WHO data (2014), more than two billion people are deficient in microelements or have a “hidden hunger” due to the deficiencies of vitamins and minerals. Currently, experts estimate the vitamin D deficiency as a new type of pandemic of the XXI century.
Aim. The current analysis was undertaken to evaluate the effect of vitamin D on women’s reproductive health.
Materials and Methods. Based on the findings of retrospective and prospective studies, meta-analyzes, and material trials over the past 20 years, as well as in accordance with the results of 290 prospective cohort randomized trials, the level of vitamin D affects 172 basic physiological indicators associated with the risk of such complications of pregnancy as miscarriage, preeclampsia, gestational diabetes mellitus, and bacterial vaginosis.
Results. Vitamin D has been shown to be able to act as an immune regulator during the implantation. The placenta produces and responds to vitamin D, which has a local anti-inflammatory response and simultaneously induces the production of decidual growth factors for successful pregnancy. Activated T- and B-lymphocytes have the vitamin D receptors and therefore 1,25(OH)2D is an effective modulator in the immune system. It is able to inhibit the proliferation of Th1 and to restrict the production of such cytokines as interferon-gamma (IFN-γ), interleukin-2 (IL-2), and tumor necrosis factor-alpha (TNF-α). In addition, vitamin D is able to induce cytokines of Th2 that have the protective effect on pregnancy.
Conclusion. Adequate vitamin D intake is important for the successful conception and prolongation of pregnancy, as well as for the health of the fetus and newborn.
Keywords
Full Text
Введение
В эндокринной системе человека витамину D отводится ключевая роль в гомеостазе кальция и минерализации костей, он обладает иммунной функцией, влияет на пролиферацию клеток, а также предотвращает развитие некоторых заболеваний. Витамин D нельзя назвать настоящим витамином в широком смысле этого слова, так как, помимо поступления с пищей, он может быть получен эндогенно, самим организмом человека. Витамин D представляет собой группу жирорастворимых биологически активных веществ, среди которых наиболее значимыми являются холекальциферол (витамин D3) и эргокальциферол (витамин D2).
История открытия
Впервые о витамине D заговорили в начале XX века после ряда научных открытий. Сначала в 1913 г. американец Элмер Макколлум обнаружил в рыбьем жире витамин А и «жирорастворимый фактор роста» с антирахитическими свойствами. В 1918 г. англий ский ветеринар Эдвард Мелленби сделал наблюдение, что от рахита не страдали только те собаки, которых кормили рыбьим жиром, и, таким образом, Мелленби пришел к выводу, что антирахитическими свойствами обладает либо витамин A, либо какое-то связанное с ним вещество. В 1922 г. Элмер Макколлум поставил эксперимент с порцией рыбьего жира, где витамин A был нейтрализован, и после получения данного продукта собаки были излечены от рахита. Таким обра зом, после ряда наблюдений было доказано, что за излечение от рахита отвечает не витамин A, а другой, неизвестный ранее витамин. Так как это был четвертый по счету витамин, открытый учеными, он был назван четвертой буквой латинского алфавита — D [1].
В 1923 г. американский биохимик Гарри Стенбок продемонстрировал в экспериментах на крысах, что облучение пищи ультрафиолетом увеличивает содержание в ней витамина D, позволяя им излечиться от рахита. Примерно в то же время А.Ф. Гесс и Стенбок доказали, что человек может получать витамин D из солнечного света, причем второй из них получил патент на метод облучения ультрафиолетом молока и других жирных продуктов с целью увеличения в них содержания «солнечного витамина». В 1928 г. А. Виндаус завершил цикл работ по выделению витамина D и установлению структуры растительных стеринов или стеролов, один из которых, 7-дегидроксихолестерол, является предшественником витамина D — за что был удостоен Нобелевской премии по химии [2]. Таким образом, высокая значимость витамина D в регуляции фосфорно-кальциевого обмена была доказана еще более ста лет назад, однако роль витамина D как биологически активного гормона продолжала оставаться невыясненной до конца 60-х гг. прошлого века. Большое значение в решении этого вопроса в 60–80-х гг. имело исследование J. Lund, H.F. De Luca, которые изучили этапы метаболизма витамина D и доказали его ядерную локализацию в различных тканях.
Изоформы витамина D
Витамин D объединяет целую группу веществ [3]: в природе существуют пять форм витамина D:
- витамин D1 — так было названо вещество, открытое в 1913 г. E.V. McCollum и выделенное из жира печени трески, представляющее собой соединение эргокальциферола и люмистерола в соотношении 1 : 1;
- витамин D2 — эргокальциферол, образующийся из эргостерола под действием солнечного света главным образом в растениях; представляет собой, наряду с витамином D3, одну из двух наиболее распространенных природных форм витамина D;
- витамин D3 — холекальциферол — образуется в эпидермисе кожи из 7-дегидрохолестерола (7-DHC, превитамин D);
- витамин D4 — дигидротахистерол, или 22,23-дигидроэргокальциферол;
- витамин D5 — ситокальциферол, который образуется из 7-дегидроситостерола.
Поступление в организм и выработка собственного витамина D
Основная роль в регуляции важных физиологических процессов в организме принадлежит витаминам D2 (эргокальциферол) и D3 (холекальциферол). Они относятся к группе жирорастворимых витаминов и имеют различные виды доступа в организм (эндогенный и экзогенный). Это близкие по химической структуре и имеющие сходные этапы метаболизма соединения представляют собой кристаллы без цвета и запаха, устойчивые к воздействию высоких температур, нерастворимые в воде и хорошо растворимые в жирах и органических соединениях. В виде предшественников могут поступать в организм человека как жирорастворимый компонент растительной (эргостерол) или животной (7-DHC) пищи и подвергаться всасыванию вместе с жирами в тонкой кишке. Однако, в отличие от всех других витаминов, они не являются собственно витаминами в классическом смысле, так как биологически инертны. Для их активации, а также превращения в активную форму D-гормона в организме должны пройти два химических процесса гидро ксилирования.
Синтез в организме
Витамин D3 вырабатывается в организме человека эндогенно, где образуется в мальпигиевом и базальном слоях эпидермиса кожи из 7-DHC (провитамин D3) в результате неферментативной, зависимой от ультрафиолетового света, с длиной волны 290–315 нм, реакции фотолиза. После термической изомеризации превитамин D3 за счет температуры тела превращается в холекальциферол. Активность процесса находится в прямой зависимости от интенсивности облучения и в обратной — от степени пигментации кожи. В эпидермисе холекальциферол связывается с витамин-D-свя зывающим белком (VDBP), и 70 % его из кровотока поступает в печень, а другая часть поступает в жировые клетки, где формируется депо витамина D. Показано, что при воздействии солнечных лучей на кожу человека в одной эритемной дозе содержание витамина D3 в крови увеличивается так же, как после приема внутрь 10 000 МЕ витамина D3 [4]. Однако развития гипервитаминоза D при длительной инсоляции не происходит благодаря блокированию поступления избытка витамина D из кожи в кровоток и трансформации его в неактивные соединения. С возрастом содержание 7-дегидрохолестерола в эпидермисе снижается, соответственно, синтез витамина D3 уменьшается, и после 65 лет его уровень уменьшается более чем в 4 раза [5, 6].
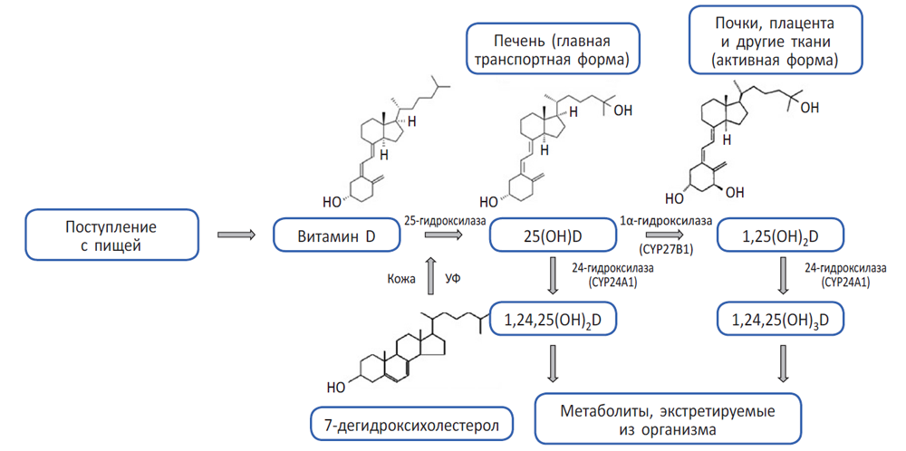
Известно, что для активации витаминов D2 и D3, а также превращения их в активную форму D-гормона в организме должны пройти два химических процесса гидроксилирования (рис. 1). Первое гидроксилирование осуществляется в печени при участии фермента 25-гидроксилазы, который превращает витамин D3 в 25-гидроксивитамин D [25(OH)D] — кальцидол. Второе гидроксилирование происходит в почках с участием фермента CYP27B1 — 1α-гидроксилазы, и его результатом является синтез биологически активного 1,25-дигидро ксивитамина D [1,25(OH)2D] — кальцитриола [7]. Наиболее достоверным методом оценки уровня витамина D служит определение в сыворотке крови именно его промежуточного метаболита — 25-гидроксивитамина D [25(OH)D], который в полной мере отражает суммарное количество витамина D, производимого в коже из 7-DHC под действием УФ-В лучей и получаемого из пищевых продуктов и пищевых добавок. 25(OH)D имеет продолжительный период полураспада в крови, по данным различных авторов, от 15 до 30 дней [7]. Уровень 25(OH)D отражает скорость накопления как эндогенного, так и экзогенного витамина D. Кроме того, синтез 25(OH)D в печени преимущественно регулируется субстратом, то есть неактивной формой витамина D, и в меньшей степени подвержен гуморальным воздействиям. Преобладающее количество метаболитов витамина D циркулирует в крови в связанном с VDBP состоянии, и лишь очень небольшая его часть (0,02–0,05 % 25(OH)D и 0,2–0,6 % 1,25(OH)2D) остается свободной. Концентрация не связанных с белком метаболитов витамина D поддерживается на достаточно стабильном уровне даже при заболеваниях печени и снижении продукции VDBP и поэтому не является достоверным индикатором содержания витамина D в организме. В этой связи уровень VDBP в сыворотке крови может быть маркером физиологических и патологических изменений во время беременности, при заболеваниях печени, нефротическом синдроме и других патологиях.
Рис. 1. Синтез и метаболизм витамина D в организме и его активные формы [10]
Приблизительно 90–95 % 25(ОН)D тесно связаны со специфическим α-глобулином —VDBP, который, в свою очередь, связан с сывороточным альбумином. У человека выделены три основных циркулирующих варианта VDBP (Gc1F, С2 и Gc1S), которые отличаются по степени сродства к 25(OH)D. Частота их полиморфизма варьирует у лиц разных народностей и этносов. Так, например, вариант Gc1F чаще встречается у лиц африканского происхождения, который является высокоаффинным с высоким сродством к 25(OH)D. Чернокожие имеют более низкие уровни 25(ОН)D, и им чаще ставят диагноз дефицита витамина D [8, 9].
На втором этапе метаболизма при помощи VDBP 25(OH)D переносится в почки. Комплекс 25(OH)D/VDBP взаимодействует с эндоцитозными рецепторами клеток проксимальных канальцев — мегалином и кубилином, которые реабсорбируют 25(OH)D из клубочкового фильтрата. На этом этапе метаболизма 25(OH)D гидроксилируется в почках при помощи митохондриального фермента семейства цитохрома P450 1α-гидроксилазы (CYP27B1) и 24-гидроксилазы до биологически высоко активного метаболита кальцитриола (1,25(OH)2D и 24,25(ОН)2D).
В соответствии с современными представлениями 1,25(ОН)2D — это прогормон, по своей активности в 10–100 раз превышающий активность 25(ОН)D. Показано, что основная доля 1,25(OH)2D в организме человека синтезируется в проксимальных канальцах почек, но некоторая часть синтезируется в разных типах клеток, которые экспрессируют CYP27B1 [11]. Имеются многочисленные доказательства то го, что в иммунных, эпителиальных клетках, костной ткани, эндотелии сосудов, паратиреоидных железах, слизистой оболочке кишечника 25(ОН)D конвертируется в 1,25(ОН)2D с по мощью изофермента цитохрома Р-450 CYP27A1 и митохондриального энзима CYP27В1 [12]. Предполагается, что ренальная продукция 1,25(ОН)2D направлена на осуществление «классических» функций витамина D, а экстраренальная — на реализацию других биологических эффектов, на сегодняшний день являющихся предметом многочисленных исследований [13–15]. Таким образом, 25(ОН)D представляет собой транспортную форму витамина D, а 1,25(ОН)2D — его гормональную форму, механизм действия которой аналогичен классическому действию стероидных гормонов.
Возвращаясь к метаболизму витамина D в организме и его активной форме, стоит отметить, что существуют механизмы, способствующие ограничению образования активной формы витамина, — это стимуляция фермента CYP24A1 (24-гидроксилазы), который превращает кальцитриол в неактивную, водорастворимую форму кальцитроевой кислоты, в дальнейшем выводимой из организма с желчью [5, 16]. В отличие от витаминов, к активной форме витамина D (1,25(OH)2D — кальцитриол) в клетках различных органов и тканей выявлены специфические рецепторы (Vitamin D Receptors, или VDR), что позволяет классифицировать витамин D как D-гормон, функции которого состоят в способности генерировать и модулировать биологические реакции в тканях-мишенях за счет регуляции транскрипции генов [17, 18]. VDR относится к семейству ядерных рецепторов, необходимых для реализации действия стероидных гормонов (тестостерон, эстрадиол, кортизол, альдостерон). Содружественным VDR является ретиноидный X-рецептор (RXR) — ядерный рецептор к витамину А. Образованный этими двумя рецепторами комплекс VDR – RXR в присутствии активной формы витамина D [1,25(OH)2D] связывается с соответствующим участком генома и запускает механизм транскрипции генов с последующей трансляцией соответствующих белковых молекул. Таким образом, замыкается цепь — воздействие витамина D приводит к синтезу конкретных белков, определяющих течение метаболических процессов в клетках и тканях [18–21]. Выявление и изучение ДНК локуса, к которому прикрепляется комплекс VDR – RXR (ассоциированный с 1,25-D), позволило расшифровать многие гены, которые имеют отношение к реализации воздействия витамина D. Часть генов активизируется непосредственно и быстро, часть же опосредованно и в течение определенного промежутка времени — от нескольких часов до нескольких суток [20, 21]. Хотя эффект активного 1,25(OH)2D на клетках-мишенях прежде всего отражает геномную активность, более поздние данные свидетельствуют о наличии дополнительного негеномного механизма сигнализации через мембраны, ассоциированные со стероидсвязанным рецептором быстрого реагирования (MARRS), что приводит к более быстрому ответу — от секунд до нескольких минут. Наличие такого механизма предполагается в различных тканях, включая кишечник, кости, паращитовидные железы, печень, моноциты и панкреатические бета-клетки. Вместе с тем сигнализация с помощью VDR также связана с экспрессией гена CYP19 (ароматазы), функционально объединяющего витамин D с семьей репродуктивных стероидных гормонов. Важную роль в биологическом действии витамина D играют также ферменты CYP27B1 и CYP24A1, осуществляющие регуляцию синтеза и катаболизма витамина в печени и почках (рис. 2).
Рис. 2. Механизм действия гормона-витамина D [10]. 1,25(OH)2D — активная форма витамина D кальцитриол; VDR — рецептор к витамину D; RXR — ретиноидный X-рецептор; VDRE — связь комплекса VDR – RXR с соответствующим участком генома и запуск механизмов транскрипции генов с последующей трансляцией соответствующих белковых молекул. Геномные и негеномные реакции связывания рецептора витамина D с 1,25(OH)2D. В геномном ответе 1,25(OH)2D связывается с ядерным рецептором витамина D (VDR). Гетеродимеризация VDR с RXR и связывание с VDREs в промоторах генов-мишеней влияет на транскрипцию, как правило, путем увеличения транскрипции и генерации последующих биологических ответов. По пути негеномного ответа соединения 1,25(OH)2D — VDR связано с кавеолой плазматической мембраны, активирует одну или несколько вторых систем-посредников для быстрого реагирования
VDR у женщин выявлены в овариальной ткани, эндометрии, фаллопиевых трубах, а также в децидуальной оболочке и плаценте; у мужчин VDR экспрессируются в гладких мышцах придатка яичка, сперматогониях, клетках Сертоли, семенных канальцах, предстательной железе и семенных пузырьках. Таким образом, витамин D действует как напрямую через связь с рецепторами, так и опосредованно, через стимуляцию синтеза стероидных гормонов (эстрогенов, прогестерона, тестостерона), которые необходимы для правильного созревания фолликулов и эндометрия у женщин и нормального сперматогенеза у мужчин. Витамин-D-гормон регулирует экспрессию около 3 % всего генома человека (более 1000 генов, локализованных в разных хромосомах) [16, 22, 23].
Поступление в организм с пищей
Витамин D2 можно получить только из пищи растительного происхождения, такой как хлеб, грибы, некоторые овощи, а основным источником промышленного получения эргостерола служат дрожжи.
Он поступает в организм с пищей, всасываясь обязательно в присутствии желчи в тонком кишечнике. Далее включается в состав хиломикронов и транспортируется лимфатической системой в венозный кровоток, проходя затем аналогичные с холекальциферолом этапы метаболизма. Для его нормального всасывания необходимо присутствие в пище достаточного количества жира. Нарушение секреции желчи при заболеваниях печени и желчевыводящих путей существенно затрудняет всасывание витамина в кишечнике [24].
Витамин D3 также может быть получен организмом экзогенно из пищевых продуктов животного происхождения, именно его рассматривают как «истинный» витамин D, тогда как другие представители этой группы считают модифицированными производными витамина D. Лишь немногие натуральные продукты питания содержат витамин D: некоторые водоросли и потребляющие их рыбы богаты этим витамином — мясо жирных сортов рыб, таких как тунец, лосось, макрель, рыбий жир, ее печень, намного меньше содержат витамин D говяжья печень, сыр, яичный желток. Чтобы получить 400 МЕ витамина, нужно ежедневно съедать 150 г лососины или 900 г трески. В значительно меньшей степени витамин D содержится в сливочном масле, сыре и других жирных молочных продуктах, яичном желтке, икре.
Суточная потребность человека в витамине D составляет 600 МЕ, поэтому даже при диете, богатой продуктами с высоким содержанием данного витамина, без достаточного нахождения на солнце потребность организма в витамине D не может быть полностью удовлетворена.
Пищевые добавки
В добавках и обогащенных продуктах витамин D доступен в двух формах: D2 (эргокальциферол) и D3 (холекальциферол), которые химически отличаются только в структуре боковой цепи. Витамин D2 производится под действием ультрафиолетового облучения из эргостерола в дрожжах, а витамин D3 — путем облучения 7-DHC из ланолина и химической конверсии холестерина. Эти две формы традиционно считаются эквивалентными на основании их способности вылечить рахит, и, действительно, действие витамина D2и витамина D3 идентично. Обе формы (а также витамин D в продуктах питания и от синтеза в эпидермисе кожи) эффективно повышают уровни сывороточного 25(OH)D. Окончательно выводы о каких-либо различиях в эффективности этих двух форм витамина D сделать нельзя, однако имеются исследования, подтверждающие, что при нормальных дозах, которые можно получить при питании, витамины D2 и D3 по силе действия эквивалентны, а при повышенных витамин D2 менее эффективен [25].
Классические и неклассические эффекты витамина D
На данный момент существует два вида эффектов витамина D, которые основаны на его действии в организме как витамина и как стероидного гормона. Это «классические», или «скелетные», эффекты, связанные с его влиянием на кальциево-фосфорный обмен и минеральную плотность костной ткани, и «неклассические», или «нескелетные», биологические эффекты. К классическим эффектам относятся следующие: обмен кальция, синтез паратгормона, обмен фосфатов/кальция в почках, дифференцировка и функции остеобластов и остеокластов. Под неклассическими эффектами понимают такие, как иммуномодулирующий, противовоспалительный, антибактериальный (стимуляция продукции кателицидинов — противомикробных пептидов), антипролиферативный апоптоз-регулирующий, регуляция ангио неогенеза, анаболический, липолитический, гипотензивный (ингибирование продукции ренина), антидепрессивный, анальгетический, нормогликемический (стимуляция продукции инсулина) [5–7].
В организме более 30 видов тканей имеют рецепторы к витамину D и, таким образом, способны реагировать на 1,25(OH)2D [13]. Одними из таких органов-мишеней при неклассических эффектах витамина D являются: иммун ная система (влияние как на врожденный иммунитет, так и на приобретенный), β-клетки поджелудочной железы, сердечно-сосудистая система в целом, мозг. Благодаря влиянию витамина D индуцируется секреция гормонов, модулируются иммунные реакция организма, под контроль попадает клеточная пролиферация и дифференцировка.
Регулирование иммунной системы
Витамин D влияет на функцию как приобретенного, так и врожденного иммунитета. В целом 1,25(OH)2D подавляет активность гуморального иммунитета, активируя при этом клеточный [19, 26, 27].
В системе гуморального иммунитета 1,25(OH)2D ингибирует продукцию IgG, пролиферацию и дифференцировку В-лимфоцитов и пролиферацию Т-лимфоцитов, а также ингибирует пролиферацию клеток Т-хелпера 1 (Th1) [27–30], благодаря чему уменьшается синтез продуцируемых этими клетками цитокинов. И наоборот, 1,25(OH)2D индуцирует цитокины Т-хелпера 2 (Th2) и регуляторные Т-клетки (Treg) [30, 31]. Th1-клетки продуцируют интер ферон-гамма (IFN-g), интерлейкин-2 (IL-2) и фактор некроза опухоли – α (TNF-α), а Th2-клетки продуцируют IL-4, IL-5, IL-6, IL-9, IL-10 и IL-13 [65]. Возможно, из-за его спо собности ингибировать ответ приобретенного иммунитета и воспаление агонисты витамина D и сам витамин D эффективны в подавлении аутоиммунных процессов, что было доказано в нескольких исследованиях с животными.
Среди аутоиммунных заболеваний стоит выделить ревматоидный артрит, диабет 1-го типа, воспалительные заболевания кишечника (по типу неспецифического язвенного колита) и системную красную волчанку. В настоящее время ведутся исследования применения аналогов витамина D при лечении данных аутоиммунных заболеваний у людей. Врожденный иммунитет активируется незамедлительно, при первом же контакте с микробным антигеном. Этот процесс может стимулировать витамин D, миелоидные и эпителиальные клетки, которые экспрессируют Toll-like-рецепторы (TLR) [32–34], CYP27B1 и VDR. У людей существуют десять видов TLR, которые активируются посредством их связи с лигандами антигенов микробного происхождения. Активация TLR индуцирует секрецию LL-37, он же — CAMP (cathelicidin antimicrobial peptide — противомикробный пептид кателицидина), во многих тканях, которые покрыты эпителием [33–37]. Такие ткани постоянно подвергаются воздействию микробных агентов (от слюнных желез до тканей репродуктивной системы) [36]. Приведенные данные показывают влияние витамина D на адекватный ответ иммунной системы организма.
Регулирование клеточной пролиферации и дифференцировки
За последнее время было доказано, что 1,25(OH)2D обладает антипролиферативной активностью и влияет на дифференцировку различных типов клеток, таких как кератиноциты, остеобласты, хондроциты, мезенхимальные, нервные, эндотелиальные и иммунные клетки [38–42]. Антипролиферативный эффект частично опосредован благодаря индукции ингибиторов клеточного цикла, которые препятствуют переходу от фазы G1 к S-фазе цикла.
Благодаря антипролиферативным и продифференцирующим эффектам витамина D была выдвинута гипотеза о роли этого прогормона в подавлении роста опухоли при онкологических заболеваниях [43–45].
Доказано, что рак молочной железы, толстой кишки, простаты и другие его виды связаны с дефицитом витамина D [17, 44, 46]. Важно отметить, что женщины в постменопаузе, которые получали четыре года 1100 МЕ витамина D и 1500 мг кальция ежедневно, имели значительно меньшие риски при развитии многих форм злокачественных новообразований по сравнению с контрольной группой [46]. Витамин D и его аналоги в будущем имеют все перспективы при лечении рака молочной железы, толстой кишки и предстательной железы, что уже демонстрируется в исследованиях на животных и клеточных культурах [10].
Суточные нормы витамина в организме
«Золотым стандартом» определения концентрации 25(ОН)D в крови во всем мире является метод тандемной хромато-масс-спектрометрии (мультистероидный анализ), который позволяет максимально точно (в отличие от наиболее распространенного радиоиммунного анализа — РИА) выявить дефицит или недостаточность витамина D. Согласно рекомендациям Канадского общества экспертов по изучению витамина D оптимальным уровнем 25(OH)D в сыворотке крови можно считать 40–60 нг/мл (100–150 нмоль/л). Дефицит витамина D определяется как уровень 25(OH)D в сыворотке крови менее 20 нг/мл (50 нмоль/л). Этого мнения придерживаются также эксперты Международного эндокринологического общества [7].
Многие эксперты считают, что уровень 20–30 нг/мл (50–75 нмоль/л) должен расцениваться как «недостаточность» витамина D, а оптимальный уровень 25(OH)D составляет более 30 нг/мл (75 нмоль/л). Однако уже сейчас существует ряд исследований, демонстрирующих значительные преимущества в отношении здоровья и качества жизни достижения более высокого уровня 25(OH)D [48, 49].
Суточная норма витамина D представлена в табл. 1.
Таблица 1 / Table 1. Суточная норма витамина D [83]
Recommended dietary allowances (RDAs) and tolerable upper intake levels (ULs) for vitamin D [83]
Возраст | Рекомендуемая суточная норма витамина D, МЕ | Безопасный верхний предел витамина D, МЕ |
0–12 месяцев | 400 | 1000–1500 |
1–13 лет | 600 | 2500–4000 |
14–18 лет | 600 | 4000 |
19–70 лет | 600 | 4000 |
71 год и старше | 800 | 4000 |
Беременные и кормящие женщины | 600 | 4000 |
Витамин D и прегравидарная подготовка
В наше время актуален вопрос дефицита витамина D, что, в свою очередь, подразумевает так называемую метаболическую пандемию.
Основные факторы риска недостаточности витамина D:
- сезон (осень, зима);
- недостаточное пребывание на открытом воздухе — нахождение на солнце около 5–30 минут с 10 утра до 3 часов дня 2 раза в неделю с открытым лицом, руками, ногами, спиной и без солнцезащитного крема обеспечивает достаточный синтез витамина D (на территории Российской Федерации);
- проживание в северных широтах — в Се верном полушарии: вся территория Рос сии, Европы, практически всей Северной Америки, что связано с углом падения УФ-В лучей в этих регионах земного шара;
- интенсивность пигментации кожи (ме ланин);
- сниженный кожный синтез витамина D;
- ускоренные темпы полового созревания;
- наличие сопутствующих заболеваний (пониженная способность к поглощению жиров);
- наличие ожирения (ИМТ более 30 кг/м2), так как избыточное количество подкожного жира поглощает больше витамина и замедляет его поступление в кровоток. Повышение уровня лептина, вызванное избытком жировой ткани, может ингибировать почечный синтез активной формы витамина D;
- неиспользование обогащенных витамином D продуктов;
- генетические особенности метаболизма витамина D.
По данным ряда достоверных исследований [50–52], можно утверждать, что не менее 50 % населения земного шара имеет в той или иной степени выраженности дефицит витамина D. С возрастом количество людей в мире с дефицитом витамина D увеличивается до 80–90 % [7]. Более того, с возрастом происходит снижение уровня витамина D даже у людей, проживающих в регионах с достаточным уровнем инсоляции, что связано со снижением содержания предшественника витамина D3 — 7-DHС в коже пожилых людей.
Так как VDR и 1α-гидроксилаза обнаружены в тканях репродуктивных органов, включая яичники, матку, плаценту и гипофиз, очевидна ассоциация витамина D с репродуктивным здоровьем женщины. Существуют доказательства того, что витамин D оказывает определенное влияние на результаты ЭКО, развитие синдрома поликистозных яичников и эндометриоза, а также в целом на стероидогенез у здоровых женщин. Для изучения этого вопроса ученые из Италии (Милан) провели крупное исследование, в котором сравнили частоту удачного оплодотворения женщин методом ЭКО, предварительно разделив их на группы пациенток с нормальным содержанием витамина D и с дефицитом этого витамина. Объектом исследования явились все женщины, прошедшие процедуру ЭКО в одном из итальянских центров по лечению бесплодия в 2012 г. В группу с дефицитом витамина D (дефицит определялся при уровне витамина D в крови менее 20 нг/мл) попало 154 участницы, и 181 женщина составила группу с относительно нормальным уровнем витамина D (более 20 нг/мл). Исследование показало, что у женщин с достаточным уровнем витамина D почти в два раза чаще наступала беременность по сравнению с женщинами, имеющими недостаточный уровень витамина D. По мнению Alessio Paffoni, этот эффект объясняется тем, что у женщин с нормальным уровнем витамина D улучшается образование качественных яйцеклеток, а также повышаются шансы успешной имплантации эмбриона в матку. Доктор Alessio Paffoni, будучи одним из авторов исследования, заключила, что женщины, имеющие достаточный уровень витамина D, чаще беременеют после ЭКО, чем женщины с дефицитом витамина D, а также низкий уровень витамина D может приводить к бесплодию. Утверждение не является аксиомой и требует проверки в рандомизированных контролируемых исследованиях.
Интересны результаты еще одного исследования, проведенного в 2016 г. у 84 женщин с бесплодием, проходивших процедуру ЭКО, по результатам которого у пациенток с более высоким уровнем 25(OH)D в сыворотке крови и фолликулярной жидкости наступление клинической беременности после ЭКО было более вероятно, а высокий уровень витамина D улучшал результаты контролируемой гиперстимуляции яичников [53].
Обращает на себя внимание то, что результаты ВРТ разнятся в зависимости от времени года. Так, более высокие показатели частоты наступления беременности были достигнуты весной и летом, а низкие — осенью. Исследователи связали это с количеством световых часов в течение суток, особенно в северных странах. Зимой снижалось количество овуляций и рецептивность эндометрия по сравнению с многократным увеличением этих показателей летом.
Интересны результаты Американского исследования, проведенного в группах женщин, принимавших участие в программах ВРТ с переносом донорских яйцеклеток, которое продемонстрировало, что уровень 25(OH)D > 30 нг/мл (75 нмоль/л) был связан с более высоким количеством беременностей у реципиенток, а также с бóльшим количеством рожденных детей (31 % у пациенток с дефицитом витамина D по сравнению с 59 % у пациенток с нормальным уровнем витамина D). Также было отмечено повышение естественной фертильности как у женщин из бесплодных пар, так и у фертильных женщин — доноров яйцеклеток при нормальном уровне витамина D. Результаты исследования позволили авторам сделать вывод, что витамин D реализует свой потенциальный эффект действия на фертильность посредством влияния на эндометрий (его структуру и рецептивность), так как биологический материал (яйцеклетка) принадлежал донору [54].
Влияние витамина D на течение беременности
Эффекты витамина D на плаценту в целом и клетки трофобласта в частности
Плацента человека экспрессирует все компоненты сигнальной системы витамина D (VDR, RXR, CYP27B1 и CYP24A1). Weisman et al. [55] обнаружили, что децидуальная и плацентарная ткань способна синтезировать 1,25(OH)2D и 24,25(OH)2D, которые ингибируют экспрессию цитокинов, таких как гранулоцитарный макрофагальный колониестимулирующий фактор-2 (GMCSF-2), фактор некроза опухоли – α (TNF-α), провоспалительный интерлейкин-6 (IL-6), и увеличивают экспрессию CAMP в первично культивируемых децидуальных клетках человека и цитотрофобластах [43, 56, 57]. Важно, что третья линия клеточной культуры трофобласта после воздействия E. coli, но с одновременным использованием витамина D была инфицирована на порядок меньше, чем такая же клеточная культура без применения витамина D [56], что может быть следствием повышенного уровня CAMP. Следует вывод, что добавление витамина D в рацион питания при уровне 25(OH)D < 30 нг/мл в сыворотке крови (недостаточность или дефицит витамина D) может снизить уровень инфекционных процессов во время беременности.
Функции витамина D при беременности
Доказано, что плацента способна синтезировать 1,25(OH)2D. Существуют данные, которые показывают, что производство плацентой 1,25(OH)2D в течение беременности на фоне увеличенного синтеза этого же витамина почками превышает скорость выведения его из орга низма, способствуя его накоплению [58]. Как следствие, у женщин в третьем триместре беременности содержание 1,25(OH)2D в сыворотке крови в два раза выше, чем у небеременных или у женщин после родов [59, 60].
Доказано, что 1,25(OH)2D является одним из звеньев в ауто- и паракринной иммунной системе, которая запускается во время беременности [61]. 1,25(OH)2D ингибирует вы свобождение цитокинов Th1 и увеличивает Th2 (цитокины Th2 доминируют при имплантации) [61, 62]. Эта модуляция иммунной системы может предотвратить отторжение имплан тированного эмбриона. 1,25(OH)2D также помогает трансформироваться эндометрию в децидуальные клетки [63, 64] и увеличивает экспрессию HOXA10 — гена, важного для имплан тации эмбрионов, их миелоидной дифференцировки на ранней стадии беременности [64–67].
Есть данные, которые показывают, что 1,25(OH)2D регулирует выделение и секрецию хорионического гонадотропина человека в синцитиотрофобласте и увеличивает плацентарное производство половых стероидов [10]. Оказалось, что кальцитриол способствует транспорту кальция в плаценту, стимулирует выделение плацентарного лактогена, а также регулирует экспрессию HOXA10 (ген, определяющий развитие половых органов) в стромальных клетках эндометрия человека. Экспрессия HOXA10 имеет определенное значение для развития эндометрия и позволяет улучшить восприимчивость к имплантации [10]. В совокупности данные свидетельствуют о том, что 1,25(OH)2D помогает имплантировать и поддерживает нормальную беременность, способствует росту плода посредством доставки кальция, контролирует секрецию нескольких важных гормонов плаценты и ограничивает производство провоспалительных цитокинов.
Дефицит витамина D обусловливает ряд таких неблагоприятных осложнений беременности, как вторичная гипертензия и гестоз [68, 70], увеличение частоты кесарева сечения и спонтанных преждевременных родов, развитие бактериального вагиноза на ранних сроках беременности [66], гестационный сахарный диабет. Гестоз — это одно из наиболее распространенных акушерских осложнений, которое вносит значительный вклад в показатели заболеваемости и смертности матери и плода. Нарушение инвазии трофобласта, низкая плацентарная перфузия, дисфункция эндотелия и окислительный стресс являются механизмами, лежащими в основе гестоза. Наличие витамина D и его рецепторов в плаценте, а также способность витамина D модулировать иммунные, воспалительные и сосудистые реакции позволяют обосновать роль дефицита витамина D у беременных в патогенезе гестоза [67, 69, 70]. Высокий уровень витамина D у женщин коррелирует с более низкой частотой развития гестоза и с низкими показателями артериального давления крови. Содержание 25(OH)D во время беременности менее 20 нг/мл связано с четырехкратным, а менее 15 нг/мл — с пятикратным увеличением частоты развития гестоза тяжелой степени. Исследование, проведенное M. Haugen et al. среди 23 423 первородящих женщин в Норвегии, показало снижение на 27 % риска развития данного заболевания у женщин, которые получали 400–600 МЕ витамина D в день по сравнению с женщинами, не получавшими добавок. Существует точка зрения, что дефицит витамина D, приводя к дефициту половых гормонов, способствует нарушению соотношения жирозапасающих (пролактин, инсулин, кортизол) и жиросжигающих (гормон роста, катехоламины, половые гормоны, тиреоидные гормоны) факторов [71].
Улучшает ли исходы беременности употребление витамина D?
Дефицит или недостаточность витамина D считается распространенным состоянием среди беременных женщин, и дополнительный прием витамина D во время беременности был предложен в качестве превентивной защиты беременной и плода. Доказано, что дефицит витамина D может быть связан с осложнениями беременности, включая спонтанный аборт. Витамин D выполняет плейотропные функции, которые регулируют процессы имплантации, роста и развития плода, о чем говорилось выше (рис. 3).
Рис. 3. Риски для матери и плода при недостаточности витамина D (содержание 25(ОН)D < 32 нг/мл) в течение беременности и после рождения ребенка
Одно большое исследование показало обратную корреляционную связь между добавлением витамина D в рацион питания беременной и спонтанными преждевременными родами. Более высокие дозировки витамина D уменьшали вероятность прерывания беременности [83].
В «Справочнике величин потребления питательных веществ» (Dietary Reference Intakes, DRI) потребление витамина D небеременными, беременными и кормящими женщинами составляет 5 мкг/день, а допустимая граница установлена на уровне 50 мкг/день [84, 85]. Недавние исследования в США и других странах показали, что низкий уровень витамина D распространенное явление во время беременности, особенно в первом триместре. Ли и др. обнаружили, что 50 % матерей и 65 % новорожденных имели значительный дефицит витамина D при рождении, несмотря на то, что ежедневно за время беременности женщины принимали витамин D, содержащий 400 МЕ в одной дозе, и выпивали два стакана молока, обогащенного витамином D [86]. Кроме того, низкий уровень витамина D, как было показано, значительно более распространен среди негроидной расы, нежели европеоидной.
Дополнительный прием витамина D обязательно рекомендуется женщинам, которые являются строгими вегетарианцами или веганами, а также женщинам с лактазной недостаточностью.
В МКБ-10 (Международная классификация болезней) зафиксирован диагноз, касающийся состояния организма при дефиците витамина D: E55 Недостаточность витамина D или E55.9 Недостаточность витамина D неуточненная (авитаминоз D).
Из вышесказанного можно сделать вывод, что основная и наиболее важная роль витамина D в первую очередь связана с его функцией прогормона, которая обеспечивает и поддерживает работу многих систем организма. Таким обра зом, достаточный уровень D-гормона важен на протяжении всей жизни.
В исследованиях, проведенных в период с 2009–2015 гг., имеются доказательства того, что низкий уровень витамина D ассоциирован с высоким риском общей смертности, увеличением частоты сердечно-сосудистых заболеваний, онкологических заболеваний (рак молочной железы, простаты, толстой кишки), развитием саркопении (дефицит мышечной массы), ожирения, метаболического синдрома, а также инсулинорезистентности и сахарного диабета 1-го и 2-го типов у взрослых [6, 7, 23, 87–93]. По данным 290 проспективных когортных рандомизированных исследований, уровень витамина D сказывается на 172 основ ных физиологических показателях здоровья человека, связанных с риском различных возраст-ассоциированных заболеваний. Таким образом, дефицит витамина D — это маркер плохого состояния здоровья [94], на который нужно и важно влиять превентивно, не дожидаясь развития заболеваний.
About the authors
Margarita O. Bakleicheva
Research Institute of Obstetrics, Gynecology and Reproductology named after D.O. Ott
Author for correspondence.
Email: bakleicheva@gmail.com
Resident Physicia
Russian Federation, Saint PetersburgIrina V. Kovaleva
Scandinavia Clinic
Email: call@avaclinic.ru
MD
Russian Federation, Saint PetersburgOlesya N. Bespalova
Research Institute of Obstetrics, Gynecology and Reproductology named after D.O. Ott
Email: shiggerra@mail.ru
MD, PhD, DSci (Medicine), Deputy Director for Research
Russian Federation, Saint PetersburgIgor Yu. Kogan
Research Institute of Obstetrics, Gynecology and Reproductology named after D.O. Ott
Email: iagmail@ott.ru
MD, PhD, DSci (Medicine), Professor, Corresponding Member of RAS, Interim Director
Russian Federation, Saint PetersburgReferences
- Коровина Н.А., Захарова И.Н., Дмитриева Ю.А. Современные представления о физиологической роли витамина D у здоровых и больных детей // Педиатрия. Журнал им. Г.Н. Сперанского. - 2008. - Т. 87. - № 4. - С. 124-130. [Korovina NA, Zakhаrova IN, Dmitrieva YA. Current ideas about the physiological role of vitamin D in healthy and sick children. Pediatriia. 2008;87(4):124-130. (In Russ.)]
- Семин С.Г., Волкова Л.В., Моисеев А.Б., Никитина Н.В. Перспективы изучения биологической роли витамина D // Педиатрия. Журнал им. Г.Н. Сперанского. - 2012. - Т. 91. - № 2. - С. 122-131. [Semin SG, Volkova LV, Moiseev AB, Nikitina NV. Prospects for studying the biological role of vitamin D. Pediatriia. 2012;91(2):122-131. (In Russ.)]
- Витамин D и репродуктивное здоровье женщины / Под ред. И.Е. Зазерской. - СПб.: Эко-Вектор, 2017. [Vitamin D and women’s reproductive health. Ed by I.E. Zazerskaya. Saint Petersburg: Eco-Vector LLC; 2017. (In Russ.)]
- Wehr E, Pilz S, Schweighofer N, et al. Association of hypovitaminosis D with metabolic disturbances in polycystic ovary syndrome. Eur J Endocrinol. 2009;161(4):575-582. doi: 10.1530/EJE-09-0432.
- Шварц Г.Я. Витамин D и D-гормон. - М.: Анахарсис, 2005. [Shvarts GY. Vitamin D and D-hormone. Moscow: Anaharsis; 2005. (In Russ.)]
- Риггз Б.Л., Мелтон Л.Д. Остеопороз. Этиология, диагностика, лечение. - СПб.: БИНОМ, 2000. [Riggz BL, Melton LD. Osteoporosis. Etiology, diagnosis, treatment. Saint Petersburg: BINOM; 2000. (In Russ.)]
- Holick MF, Binkley NC, Bischoff-Ferrari HA, et al. Evaluation, treatment, and prevention of vitamin D deficiency: an Endocrine Society clinical practice guideline. J Clin Endocrinol Metab. 2011;96(7):1911-1930. doi: 10.1210/jc.2011-0385.
- Carter GD, Phinney KW. Assessing vitamin D status: time for a rethink? Clin Chem. 2014;60(6):809-811. doi: 10.1373/clinchem.2013.219386.
- Powe CE, Evans MK, Wenger J, et al. Vitamin D-binding protein and vitamin D status of black Americans and white Americans. N Engl J Med. 2013;369(21):1991-2000. doi: 10.1056/NEJMoa1306357.
- Shin JS, Choi MY, Longtine MS, Nelson DM. Vitamin D effects on pregnancy and the placenta. Placenta. 2010;31(12):1027-1034. doi: 10.1016/j.placenta.2010.08.015.
- Bikle DD. Vitamin D and immune function: understanding common pathways. Curr Osteoporos Rep. 2009;7(2):58-63. doi: 10.1007/s11914-009-0011-6.
- Drocourt L, Ourlin JC, Pascussi JM, et al. Expression of CYP3A4, CYP2B6, and CYP2C9 is regulated by the vitamin D receptor pathway in primary human hepatocytes. J Biol Chem. 2002;277(28):25125-25132. doi: 10.1074/jbc.M201323200.
- Руснак Ф.И. Витамин D и прогрессирование заболеваний почек // Вестник научно-технического развития. - 2009. - № 11. - С. 52-64. [Rusnak FI. Vitamin D and progression of kidney disease. Vestnik Nauchno-Tekhnicheskogo Razvitiya. 2009;(11):52-64. (In Russ.)]
- Adams JS, Rafison B, Witzel S, et al. Regulation of the extrarenal CYP27B1-hydroxylase. J Steroid Biochem Mol Biol. 2014;144 Pt A:22-27. doi: 10.1016/j.jsbmb.2013.12.009.
- Holick MF. Vitamin D: evolutionary, physiological and health perspectives. Curr Drug Targets. 2011;12(1):4-18. doi: 10.2174/138945011793591635.
- Castro LC. The vitamin D endocrine system. Arq Bras Endocrinol Metabol. 2011;55(8):566-575. doi: 10.1590/S0004-27302011000800010.
- Holick MF. Vitamin D deficiency. New Eng J Med. 2007;357(3):266-281. doi: 10.1056/NEJMra070553.
- Kinuta K, Tanaka H, Moriwake T, et al. Vitamin D is an important factor in estrogen biosynthesis of both female and male gonads. Endocrinology. 2000;141(4):1317-1324. doi: 10.1210/endo.141.4.7403.
- Bikle D. Nonclassic actions of vitamin D. J Clin Endocrinol Metab. 2009;94(1):26-34. doi: 10.1210/jc.2008-1454.
- Jones G, Strugnell SA, DeLuca HF. Current understanding of the molecular actions of vitamin D. Physiol Rev. 1998;78(4):1193-1231. doi: 10.1152/physrev.1998.78.4.1193.
- Jenster G, Spencer TE, Burcin MM, et al. Steroid receptor induction of gene transcription: a two-step model. Proc Natl Acad Sci U S A. 1997;94(15):7879-7884. doi: 10.1073/pnas.94.15.7879.
- Bouillon R, Carmeliet G, Verlinden L, et al. Vitamin D and human health: lessons from vitamin D receptor null mice. EndocrRev. 2008;29(6):726-776. doi: 10.1210/er.2008-0004.
- Blomberg Jensen M, Dissing S. Non-genomic effects of vitamin D in human spermatozoa. Steroids. 2012;77(10):903-909. doi: 10.1016/j.steroids.2012.02.020.
- Громова О.А., Торшин И.Ю., Пронин А.В. Особенности фармакологии водорастворимой формы витамина D на основе мицелл // Фарматека. - 2015. - № 1. - С. 28-35. [Gromova OA, Torshin IJ, Pronin AV. Features of pharmacology of water-soluble form of vitamin D based on micelles. Farmateka. 2015;(1):28-35. (In Russ.)]
- Cranney A, Horsley T, O’Donnell S, et al. Effectiveness and safety of vitamin D in relation to bone health. Evid Rep Technol Assess (Full Rep). 2007;(158):1-235.
- Adams JS, Liu PT, Chun R, et al. Vitamin D in defense of the human immune response. Ann N Y Acad Sci. 2007;1117:94-105. doi: 10.1196/annals.1402.036.
- Adams JS, Hewison M. Unexpected actions of vitamin D: new perspectives on the regulation of innate and adaptive immunity. Nat Clin Pract Endocrinol Metab. 2008;4(2):80-90. doi: 10.1038/ncpendmet0716.
- Rigby WF, Stacy T, Fanger MW. Inhibition of T lymphocyte mitogenesis by 1,25-dihydroxyvitamin D3 (calcitriol). J Clin Invest. 1984;74(4):1451-1455. doi: 10.1172/JCI111557.
- Chen S, Sims GP, Chen XX, et al. Modulatory effects of 1,25-dihydroxyvitamin D3 on human B cell differentiation. J Immunol. 2007;179(3):1634-1647. doi: 10.4049/jimmunol.179.3.1634.
- Lemire JM, Adams JS, Sakai R, Jordan SC. 1 alpha,25-dihydroxyvitamin D3 suppresses proliferation and immunoglobulin production by normal human peripheral blood mononuclear cells. J Clin Invest. 1984;74(2):657-661. doi: 10.1172/JCI111465.
- Karatekin G, Kaya A, Salihoglu O, et al. Association of subclinical vitamin D deficiency in newborns with acute lower respiratory infection and their mothers. Eur J Clini Nutr. 2009;63(4):473-477. doi: 10.1038/sj.ejcn.1602960.
- Liu PT, Schenk M, Walker VP, et al. Convergence of IL-1beta and VDR activation pathways in human TLR2/1-induced antimicrobial responses. PloS One. 2009;4(6):e5810. doi: 10.1371/journal.pone.0005810.
- Wang TT, Nestel FP, Bourdeau V, et al. Cutting edge: 1,25-dihydroxyvitamin D3 is a direct inducer of antimicrobial peptide gene expression. J Immunol. 2004;173(5):2909-2912. doi: 10.4049/jimmunol.173.5.2909.
- Liu PT, Stenger S, Tang DH, Modlin RL. Cutting edge: vitamin D-mediated human antimicrobial activity against Mycobacterium tuberculosis is dependent on the induction of cathelicidin. J Immunol. 2007;179(4):2060-2063. doi: 10.4049/jimmunol.179.4.2060.
- Bulet P, Stocklin R, Menin L. Anti-microbial peptides: from invertebrates to vertebrates. Immunol Rev. 2004;198:169-184. doi: 10.1111/j.0105-2896.2004.0124.x.
- Gombart AF, Borregaard N, Koeffler HP. Human cathelicidin antimicrobial peptide (CAMP) gene is a direct target of the vitamin D receptor and is strongly up-regulated in myeloid cells by 1,25-dihydroxyvitamin D3. FASEB J. 2005;19(9):1067-1077. doi: 10.1096/fj.04-3284com.
- Martineau AR, Wilkinson KA, Newton SM, et al. IFN-gamma- and TNF-independent vitamin D-inducible human suppression of mycobacteria: the role of cathelicidin LL-37. J Immunol. 2007;178(11):7190-7198. doi: 10.4049/jimmunol.178.11.7190.
- Banerjee P, Chatterjee M. Antiproliferative role of vitamin D and its analogs - a brief overview. Mol Cell Biochem. 2003;253(1-2):247-254. doi: 10.1023/A:1026072118217.
- Samuel S, Sitrin MD. Vitamin D’s role in cell proliferation and differentiation. Nutr Rev. 2008;66(10 Suppl 2):S116-124. doi: 10.1111/j.1753-4887.2008.00094.x.
- Nagpal S, Na S, Rathnachalam R. Noncalcemic actions of vitamin D receptor ligands. Endocr Rev. 2005;26(5):662-687. doi: 10.1210/er.2004-0002.
- Gurlek A, Pittelkow MR, Kumar R. Modulation of growth factor/cytokine synthesis and signaling by 1alpha,25-dihydroxyvitamin D(3): implications in cell growth and differentiation. Endocr Rev. 2002;23(6):763-786. doi: 10.1210/er.2001-0044.
- Verstuyf A, Carmeliet G, Bouillon R, Mathieu C. Vitamin D: a pleiotropic hormone. Kidney Int. 2010;78(2):140-145. doi: 10.1038/ki.2010.17.
- Diaz L, Noyola-Martinez N, Barrera D, et al. Calcitriol inhibits TNF-alpha-induced inflammatory cytokines in human trophoblasts. J Reprod Immunol. 2009;81(1):17-24. doi: 10.1016/j.jri.2009.02.005.
- Deeb KK, Trump DL, Johnson CS. Vitamin D signalling pathways in cancer: potential for anticancer therapeutics. Nat Rev Cancer. 2007;7(9):684-700. doi: 10.1038/nrc2196.
- Choi M, Makishima M. Therapeutic applications for novel non-hypercalcemic vitamin D receptor ligands. ExpertOpin Ther Pat. 2009;19(5):593-606. doi: 10.1517/ 13543770902877717.
- Guyton KZ, Kensler TW, Posner GH. Cancer chemoprevention using natural vitamin D and synthetic analogs. Annu Rev Pharmacol Toxicol. 2001;41:421-442. doi: 10.1146/annurev.pharmtox.41.1.421.
- Lappe JM, Travers-Gustafson D, Davies KM, et al. Vitamin D and calcium supplementation reduces cancer risk: results of a randomized trial. Am J Clin Nutr. 2007;85(6):1586-1591. doi: 10.1093/ajcn/85.6.1586.
- Bischoff-Ferrari HA, Giovannucci E, Willett WC, et al. Estimation of optimal serum concentrations of 25-hydroxyvitamin D for multiple health outcomes. Am J Clin Nutr. 2006;84(1):18-28. doi: 10.1093/ajcn/84.1.18.
- Pludowski P, Holick MF, Pilz S, et al. Vitamin D effects on musculoskeletal health, immunity, autoimmunity, cardiovascular disease, cancer, fertility, pregnancy, dementia and mortality-a review of recent evidence. Autoimmun Rev. 2013;12(10):976-989. doi: 10.1016/j.autrev.2013.02.004.
- Palacios C, Gonzalez L. Is vitamin D deficiency a major global public health problem? J Steroid Biochem Mol Biol. 2014;144 Pt A:138-145. doi: 10.1016/j.jsbmb.2013.11.003.
- Тишова Ю.А., Ворслов Л.О., Жуков А.Ю., Калинченко С.Ю. Распространенность дефицита D-гормона (25ОНD3) у пациентов с ожирением в России: ретроспективное популяционное исследование / VII Международный конгресс ISSAM; Ноябрь 29 - Декабрь 1, 2013; Москва. - М., 2013. [Tishova YA, Vorslov LO, Zhukov AY, Kalinchenko SY. Prevalence of D deficiency-hormone (25ОНD3) in obese patients in Russia: a retrospective population-based study. In: Proceedings of the 7th International Congress ISSAM; 2013 Nov 29 - Dec 1; Moscow. Moscow; 2013. (In Russ.)]
- Тюзиков И.А. Гормон D-статус у мужчин с андрологической патологией (пилотное исследование) / X Международный конгресс «Мужское здоровье»; Май 22-24, 2014. Минск. - Минск, 2014. [Tyuzikov IA. Hormone D-status in men with andrological pathology (pilot study). In: Proceedings of the 10th International Congress “Men’s healthˮ; 2014 May 22-24; Minsk. Minsk; 2014. (In Russ.)]
- Anagnostis P, Karras S, Goulis DG. Vitamin D in human reproduction: a narrative review. Int J Clin Pract. 2013;67(3):225-235. doi: 10.1111/ijcp.12031.
- Zhao J, Huang X, Xu B, et al. Whether vitamin D was associated with clinical outcome after IVF/ICSI: a systematic review and meta-analysis. Reprod Biol Endocrinol. 2018;16(1):13. doi: 10.1186/s12958-018-0324-3.
- Weisman Y, Harell A, Edelstein S, et al. 1 alpha, 25-Dihydroxyvitamin D3 and 24,25-dihydroxyvitamin D3 in vitro synthesis by human decidua and placenta. Nature. 1979;281(5729):317-319. doi: 10.1038/281317a0.
- Liu N, Kaplan AT, Low J, et al. Vitamin D induces innate antibacterial responses in human trophoblasts via an intracrine pathway. Biol Reprod. 2009;80(3):398-406. doi: 10.1095/biolreprod.108.073577.
- Evans KN, Nguyen L, Chan J, et al. Effects of 25-hydroxyvitamin D3 and 1,25-dihydroxyvitamin D3 on cytokine production by human decidual cells. Biol Reprod. 2006;75(6):816-822. doi: 10.1095/biolreprod.106.054056.
- Novakovic B, Sibson M, Ng HK, et al. Placenta-specific methylation of the vitamin D 24-hydroxylase gene: implications for feedback autoregulation of active vitamin D levels at the fetomaternal interface. J Biol Chem. 2009;284(22):14838-14848. doi: 10.1074/jbc.M809542200.
- Cross NA, Hillman LS, Allen SH, et al. Calcium homeostasis and bone metabolism during pregnancy, lactation, and postweaning: a longitudinal study. Am J Clin Nutr. 1995;61(3):514-523. doi: 10.1093/ajcn/61.3.514.
- Kovacs CS, Kronenberg HM. Maternal-fetal calcium and bone metabolism during pregnancy, puerperium, and lactation. Endocr Rev. 1997;18(6):832-872. doi: 10.1210/edrv.18.6.0319.
- Zehnder D, Evans KN, Kilby MD, et al. The ontogeny of 25-hydroxyvitamin D(3) 1alpha-hydroxylase expression in human placenta and decidua. Am J Pathol. 2002;161(1):105-114. PMC1850695. doi: 10.1016/S0002-9440(10)64162-4.
- Piccinni MP, Scaletti C, Maggi E, Romagnani S. Role of hormone-controlled Th1- and Th2-type cytokines in successful pregnancy. J Neuroimmunol. 2000;109(1):30-33. doi: 10.1016/S0165-5728(00)00299-X.
- Lapillonne A. Vitamin D deficiency during pregnancy may impair maternal and fetal outcomes. Med Hypotheses. 2010;74(1):71-75. doi: 10.1016/j.mehy.2009.07.054.
- Ganguly A, Tamblyn JA, Finn-Sell S, et al. Vitamin D, the placenta and early pregnancy: effects on trophoblast function. J Endocrinol. 2018;236(2):R93-R103. doi: 10.1530/JOE-17-0491.
- Du H, Daftary GS, Lalwani SI, Taylor HS. Direct regulation of HOXA10 by 1,25(OH)2D3 in human myelomonocytic cells and human endometrial stromal cells. Mol Endocrinol. 2005;19(9):2222-2233. doi: 10.1210/me.2004-0336.
- Bodnar LM, Krohn MA, Simhan HN. Maternal vitamin D deficiency is associated with bacterial vaginosis in the first trimester of pregnancy. J Nutr. 2009;139(6):1157-1161. doi: 10.3945/jn.108.103168.
- Bodnar LM, Catov JM, Simhan HN, et al. Maternal vitamin D deficiency increases the risk of preeclampsia. J Clin Endocrinol Metab. 2007;92(9):3517-3522. doi: 10.1210/jc.2007-0718.
- Halhali A, Acker GM, Garabedian M. 1,25-Dihydroxyvitamin D3 induces in vivo the decidualization of rat endometrial cells. J Reprod Fertil. 1991;91(1):59-64. doi: 10.1530/jrf.0.0910059.
- Darmochwal-Kolarz D, Leszczynska-Gorzelak B, Rolinski J, Oleszczuk J. T helper 1- and T helper 2-type cytokine imbalance in pregnant women with pre-eclampsia. Eur J Obstet Gynecol Reprod Biol. 1999;86(2):165-170. doi: 10.1016/S0301-2115(99)00065-2.
- Halhali A, Tovar AR, Torres N, et al. Preeclampsia is associated with low circulating levels of insulin-like growth factor I and 1,25-dihydroxyvitamin D in maternal and umbilical cord compartments. J Clin Endocrinol Metab. 2000;85(5):1828-1833. doi: 10.1210/jcem.85.5.6528.
- Zhang C, Qiu C, Hu FB, et al. Maternal plasma 25-hydroxyvitamin D concentrations and the risk for gestational diabetes mellitus. PloS One. 2008;3(11):e3753. doi: 10.1371/journal.pone.0003753.
- Merewood A, Mehta SD, Chen TC, et al. Association between vitamin D deficiency and primary cesarean section. J Clin Endocrinol Metab. 2009;94(3):940-945. doi: 10.1210/jc.2008-1217.
- Yorifuji J, Yorifuji T, Tachibana K, et al. Craniotabes in normal newborns: the earliest sign of subclinical vitamin D deficiency. J Clin Endocrinol Metab. 2008;93(5):1784-1788. doi: 10.1210/jc.2007-2254.
- Camadoo L, Tibbott R, Isaza F. Maternal vitamin D deficiency associated with neonatal hypocalcaemic convulsions. Nutr J. 2007;6:23. doi: 10.1186/1475-2891-6-23.
- Mahon P, Harvey N, Crozier S, et al. Low maternal vitamin D status and fetal bone development: cohort study. J Bone Miner Res. 2010;25(1):14-19. doi: 10.1359/jbmr.090701.
- Maiya S, Sullivan I, Allgrove J, et al. Hypocalcaemia and vitamin D deficiency: an important, but preventable, cause of life-threatening infant heart failure. Heart. 2008;94(5):581-584. doi: 10.1136/hrt.2007.119792.
- Sayers A, Tobias JH. Estimated maternal ultraviolet B exposure levels in pregnancy influence skeletal development of the child. J Clin Endocrinol Metab. 2009;94(3):765-771. doi: 10.1210/jc.2008-2146.
- Javaid MK, Crozier SR, Harvey NC, et al. Maternal vitamin D status during pregnancy and childhood bone mass at age 9 years: a longitudinal study. Lancet. 2006;367(9504):36-43. doi: 10.1016/S0140-6736(06)67922-1.
- Stene LC, Ulriksen J, Magnus P, Joner G. Use of cod liver oil during pregnancy associated with lower risk of Type I diabetes in the offspring. Diabetologia. 2000;43(9):1093-1098. doi: 10.1007/s001250051499.
- Kinney DK, Teixeira P, Hsu D, et al. Relation of schizophrenia prevalence to latitude, climate, fish consumption, infant mortality, and skin color: a role for prenatal vitamin d deficiency and infections? Schizophr Bull. 2009;35(3):582-595. doi: 10.1093/schbul/sbp023.
- Brehm JM, Celedon JC, Soto-Quiros ME, et al. Serum vitamin D levels and markers of severity of childhood asthma in Costa Rica. Am J Respir Crit Care Med. 2009;179(9):765-771. doi: 10.1164/rccm.200808-1361OC.
- Litonjua AA, Weiss ST. Is vitamin D deficiency to blame for the asthma epidemic? J Allergy Clin Immunol. 2007;120(5):1031-1035. doi: 10.1016/j.jaci.2007.08.028.
- ods.od.nih.gov [Internet]. National Institutes of Health, U.S.: Vitamin D Fact Sheet for Health Professionals. [updated 2018 Mar 2; cited 05 Jun 2018] Available from: https://ods.od.nih.gov/factsheets/VitaminD-HealthProfessional/.
- Autier P, Boniol M, Pizot C, Mullie P. Vitamin D status and ill health: a systematic review. Lancet Diabetes Endocrinol. 2014;2(1):76-89. doi: 10.1016/S2213-8587(13)70165-7.
- vitamindsociety.org [Internet]. The Vitamin D Society. Vitamin D Health Benefits. [cited 5 Jun 2018] Available from: http://www.vitamindsociety.org/benefits.php.
- Wang Y, Li H, Zheng M, et al. Maternal vitamin D deficiency increases the risk of adverse neonatal outcomes in the Chinese population: A prospective cohort study. PloS One. 2018;13(4):e0195700. doi: 10.1371/journal.pone.0195700.
- Masuda S, Jones G. Promise of vitamin D analogues in the treatment of hyperproliferative conditions. Mol Cancer Ther. 2006;5(4):797-808. doi: 10.1158/1535-7163.MCT-05-0539.
- Плещева А.В., Пигарова Е.А., Дзеранова Л.К. Витамин D и метаболизм: факты, мифы и предубеждения // Ожирение и метаболизм. - 2012. - № 2. - C. 33-42. [Pleshheva AV, Pigarova EA, Dzeranova LK. Vitamin D and metabolism: facts, myths and misconceptions. Obesity and Metabolism. 2012;(2):33-42. (In Russ.)]
- Ford JA, MacLennan GS, Avenell A, et al. Cardiovascular disease and vitamin D supplementation: trial analysis, systematic review, and meta-analysis. Am J Clin Nutr. 2014;100(3):746-755. doi: 10.3945/ajcn.113.082602.
- Zittermann A, Prokop S. The role of vitamin D for cardiovascular disease and overall mortality. Adv Exp Med Biol. 2014;810:106-119. doi: 10.1007/978-1-4939-0437-2_6.
- Tomlinson PB, Joseph C, Angioi M. Effects of vitamin D supplementation on upper and lower body muscle strength levels in healthy individuals. A systematic review with meta-analysis. J Sci Med Sport. 2015;18(5):575-580. doi: 10.1016/j.jsams.2014.07.022.
- Haghsheno MA, Mellstrom D, Behre CJ, et al. Low 25-OH vitamin D is associated with benign prostatic hyperplasia. J Urol. 2013;190(2):608-614. doi: 10.1016/j.juro.2013.01.104.
- Gandini S, Boniol M, Haukka J, et al. Meta-analysis of observational studies of serum 25-hydroxyvitamin D levels and colorectal, breast and prostate cancer and colorectal adenoma. Int J Cancer. 2011;128(6):1414-1424. doi: 10.1002/ijc.25439.
- Xu Y, Shao X, Yao Y, et al. Positive association between circulating 25-hydroxyvitamin D levels and prostate cancer risk: new findings from an updated meta-analysis. J Cancer Res Clin Oncol. 2014;140(9):1465-1477. doi: 10.1007/s00432-014-1706-3.
Supplementary files






