Macular edema risk factors after vitrectomy for rhegmatogenous retinal detachment complicated by proliferative vitreoretinopathy
- 作者: Boiko E.V.1,2,3, Khizhnyak I.V.1, Bayborodov Y.V.1,2
 - 
							隶属关系: 
							
- S.N. Fedorov National Medical Research Center “MNTK “Eye Microsurgery”
 - I.I. Mechnikov North-Western State Medical University
 - S.M. Kirov Military Medical Academy
 
 - 期: 卷 14, 编号 3 (2021)
 - 页面: 7-16
 - 栏目: Original study articles
 - ##submission.dateSubmitted##: 29.03.2021
 - ##submission.dateAccepted##: 18.10.2021
 - ##submission.datePublished##: 15.11.2021
 - URL: https://journals.eco-vector.com/ov/article/view/64272
 - DOI: https://doi.org/10.17816/OV64272
 - ID: 64272
 
如何引用文章
详细
BACKGROUND: Despite significant advances in the technology of surgical treatment of regmatogenous retinal detachment, a certain proportion of patients with emerging macular edema against the background of silicone oil tamponade remains.
AIM: To evaluate the risk factors of macular edema development and to work out a mathematical model for its prediction based on a retrospective analysis of clinical data of patients with rhegmatogenous retinal detachment complicated by proliferative vitreoretinopathy.
MATERIALS AND METHODS: A retrospective case series of 64 patients (64 eyes) with regmatogenous retinal detachment complicated by grade CP proliferative vitreoretinopathy who underwent primary retinal detachment repair. Patients were divided into two groups: with the presence of macular edema in the postoperative period and without it (32 patients in each group). In all cases, at the initial examination, retinal detachment involved the macular area.
RESULTS: Using regression analysis, two significant factors were identified: the sum of the 8 meridians of the visual field before surgery (p = 0.015) and the number of detached quadrants (p = 0.021). Based on the identified factors, a model for predicting macular edema occurrence in the postoperative period in the surgical treatment of regmatogenous retinal detachment was obtained.
CONCLUSIONS: The investigation results allowed establishing that the retinal detachment area and the sum of the 8 meridians of the visual field are significant pre-operative factors for macular edema development in retinal detachments with proliferative vitreoretinopathy of CP 1-2 degree. The developed mathematical model based on these indicators is characterized by significant information content and allows predicting macular edema occurrence in the postoperative period. The use of the proposed prognostic model determines a differentiated approach to surgical prevention of macular edema and allows making a decision on the removal of internal limiting membrane at the preoperative stage.
全文:
BACKGROUND
Over the past decades, the technology of surgical treatment of rhegmatogenous retinal detachment has evolved significantly. Currently, most surgeons prefer vitrectomy to episcleral buckling in the treatment of retinal detachment, especially in cases complicated by severe proliferative vitreoretinopathy.
Despite the seemingly complete removal of the vitreous body along with the hyaloid membrane, a certain proportion of postoperative complications persist, one of which is macular edema (ME) associated with silicone oil tamponade. According to some authors, the probability of this complication in cases where vitrectomy was the treatment for retinal detachment varies from 6% to 31% [1–3]. Among the risk factors for this complication, the authors identify the number, size of breaks and their localization, as well as the degree of proliferative vitreoretinopathy (PVR) expanse [1, 3, 4].
The pathophysiological aspects of the ME occurrence after vitrectomy for rhegmatogenous retinal detachment remain unelucidated.
This study aimed to investigate the predictors of ME development and to work out a mathematical model based on a retrospective analysis of clinical and investigational data in patients with rhegmatogenous retinal detachment complicated by PVR.
MATERIALS AND METHODS
To study the risk factors for ME, 64 patients (64 eyes) with rhegmatogenous retinal detachment (RD) complicated by type 1–2 SR degree PVR were selected, and a retrospective analysis of the surgical treatment results in patients was performed. The study cohort consisted of 32 patients with ME in the postoperative period (main group) and 32 patients without ME (control group). The age of patients ranged from 30 to 81 years, there were 28 women and 36 men among them. On presentation, RD involved the macular area in all cases.
Exclusion criteria were diabetes mellitus, aphakia, uveitis, post-traumatic conditions, a combination of RD with a macular hole, cataracts, age-related macular degeneration, and repeated revisions of the vitreal cavity with re-tamponade.
In addition to the standard ophthalmological examination, all patients in the postoperative period underwent B-scan ultrasonography, optical coherence tomography with an assessment of thickness and volume of the macular area of the retina using the Spectralis device (Heidelberg Engineering, Germany).
Surgical procedure was performed in all patients under mask anesthesia and included total vitrectomy using 25-gauge instruments combined with cerclage, laser coagulation in the tear zone, and tamponade with silicone oil of 1,300 cSt. All surgeries were performed by one surgeon. Silicone oil was removed after 2.5–3.5 months.
In the postoperative period, local therapy was used in the form of antibiotic instillation (moxifloxacin 0.5%) q.i.d. for 7 days, dexamethasone 0.1% q.i.d. for 14 days, and bromfenac 0.09% b.i.d. for 1 month.
Clinical and instrumental monitoring was performed in the first 3 days after the surgery, before the silicone oil removal, during 1 month after silicone oil removal, or at other timepoints if complaints appeared. The follow-up in the postoperative period was 6–18 months.
Statistical processing of the study results was performed using Microsoft Excel 2016 statistical software. Differences were considered to be significant at p < 0.05. Binary logistic regression was used to assess the probability of edema development in each patient based on preoperative and many postoperative parameters. To study the predictors of ME, factors, such as sex, age, duration of RD, best corrected visual acuity before and after surgery, the anteroposterior axis length, the presence of inherent lens or intraocular lens, intraocular pressure (Pт), visual field by the sum of eight meridians, the expanse of PVR in quadrants, the number of detached quadrants, the maximum height of RD, the predominance of RD in upper or lower quadrants, and the number of tears and their localization were evaluated.
RESULTS
In all patients, the anatomical result of complete retinal reattachment was achieved after the completion of a single silicone oil tamponade with a mean duration of 97.4 ± 11.1 days. The average period of ME detection in the main group was 48.8 ± 26.2 days.
Table 1 presents that, according to preoperative indicators, the main and control groups did not have statistically significant differences and were comparable.
Table 1. Indicators of the studied factors and their significance in groups of patients with regmatogenous retinal detachment in the preoperative period / Таблица 1. Показатели исследуемых факторов и их значимость в группах пациентов с регматогенной отслойкой сетчатки в дооперационном периоде
Factor  | Control group, М ± m (n = 32)  | Main group, М ± m (n = 32)  | Significance of testing the hypothesis of homogeneity of groups, р  | Level of significance obtained within the BLR model, р  | 
Age. years  | 58.12 ± 13.26  | 60.52 ± 11.25  | 0.57  | >0.05  | 
Gender  | Ж — 15, М — 17  | Ж — 13, М — 19  | 0,75  | |
Duration of retinal detachment. days  | 52.53 ± 57.57  | 62.04 ± 53.66  | 0.34  | |
Maximum corrected visual acuity  | 0.08 ± 0.08  | 0.14 ± 0.18  | 0.40  | |
Length of the anteroposterior axis. mm  | 25.04 ± 1.96  | 24.66 ± 1.65  | 0.55  | |
Anterior chamber depth  | 3.87 ± 0.83  | 3.71 ± 0.69  | 0.64  | |
Intraocular pressure (PТ), mmHg  | 14.18 ± 3.91  | 15.39 ± 3.66  | 0.81  | |
Phakic eye  | 15  | 14  | 0.82  | |
Pseudophakic eye  | 17  | 18  | 0.82  | 
Note. М ± m, the mean value and error of the mean; BLR, binary logistic regression
Table 2 presents the data of clinical factors characterizing RD in patients of the studied groups.
Table 2. Characteristics of retinal detachment in patients of the studied groups in the preoperative period / Таблица 2. Характеристика отслойки сетчатки пациентов исследуемых групп в дооперационном периоде
Index  | Control group, М ± m (n = 32)  | Main group, М ± m (n = 32)  | Significance of testing the hypothesis of homogeneity of groups, р  | Level of significance obtained within the BLR model, р  | 
Number of detached quadrants  | 2.94 ± 0.97  | 3.22 ± 0.74  | 0.43  | 0.021  | 
Maximum height of retinal detachment. mm  | 4.59 ± 2.02  | 4.30 ± 1.70  | 0.83  | >0.05  | 
PVR extense. quadrants  | 1.47 ± 0.87  | 1.43 ± 0.66  | 0.87  | >0.05  | 
Visual field by the sum of 8 meridians. deg.  | 174.41 ± 154.64  | 232.26 ± 127.09  | 0.21  | 0.015  | 
Extense of retinal detachment: upper quadrants lower quadrants  | 9 (28.13%) 23 (71.87%)  | 4 (12.50%) 28 (87.50%)  | 0.25 0.25  | >0.05 >0.05  | 
Localization of the tear(s): upper quadrants lower quadrants  | 21 (65.62%) 11 (34.38%)  | 26 (81.25%) 6 (18.75%)  | 0.27 0.27  | >0.05 >0.05  | 
Number of retinal tears: single 2 or more  | 32 (100%) 0  | 22 (68.75%) 10 (31.25%)  | 0.014 0.014  | >0.05 >0.05  | 
Note. М ± m, the mean value and error of the mean; BLR, binary logistic regression; PVR, proliferative vitreoretinopathy.
According to Table 2, a significant dependence of ME probability on the number of retinal tears was revealed (p = 0.014). Thus, in the control group, only single breaks were noted in 100% of cases, and in the main group, 10 patients (31.25%) had ≥2 breaks.
No association was found on the predominant localization of RD (upper or lower quadrants), the location of peripheral retinal tears (in the upper or lower halves), as well as on the number of detached quadrants, the maximum height of RD, and the expanse of PVR in quadrants (p > 0.05 in all cases).
Analysis of the functional results of treatment of patients with RD in the study groups is presented in Table 3.
Table 3. Functional results of the studied groups in the postoperative period / Таблица 3. Функциональные результаты исследуемых групп в послеоперационном периоде
Index  | Control group, М ± m (n = 32)  | Main group, М ± m (n = 32)  | Significance of postoperative parameters, р  | 
Best corrected visual acuity  | 0.25 ± 0.10  | 0.32 ± 0.17  | 0.23  | 
Visual field by the sum of 8 meridians, deg.  | 383.24 ± 67.73  | 378.26 ± 71.18  | 0.61  | 
Note. М ± m, the mean value and error of the mean.
Data presented in Table 3 reveal that the indicators of best corrected visual acuity despite being higher in the main group, and the visual field by the sum of eight meridians after surgery in both groups were not statistically significantly different (p > 0.05) and prominently exceeded those before surgery (Tables 1 and 2). Intraocular pressure levels in the study groups (15.12 ± 2.89 mm Hg in the control group vs. 16.74 ± 3.20 mm Hg in the main group) in the postoperative period did not reveal statistical differences (p = 0.11).
Table 4 presents the results of the morphometric study.
Table 4. Morphometric characteristics of the macular zone of the studied groups in the postoperative period according to optical coherence tomography / Таблица 4. Морфометрические характеристики макулярной зоны исследуемых групп в послеоперационном периоде по данным оптической когерентной томографии
Parameters  | Control group, М ± m (n = 32)  | Main group, М ± m (n = 32)  | Significance of indicators, р  | 
Central retinal thickness, µm  | 237.35 ± 29.72  | 346.78 ± 71.73  | <0.0001  | 
Volume of macular retina, mm3  | 8.22 ± 0.87  | 9.75 ± 1.70  | 0.003  | 
Note. М ± m, the mean value and error of the mean.
Analysis of the maximum retinal height in the center and the volume of the macular area according to optical coherence tomography data indicates that the groups significantly differ in the retinal volume in the macular area and the retinal height in the center of the foveolar zone (Table 4).
A qualitative assessment of the macular area of the main group showed the presence of predominantly diffuse edema in 93.7% of cases with cystic cavities (Fig. 1).
Fig. 1. Optical coherence tomogram of the macular area of patient I., 64 years old, 47 days after surgery. Significant cystoiod macular edema / Рис. 1. Оптическая когерентная томограмма макулярной зоны пациентки И., 64 года, через 47 дней после операции. Отмечается выраженный кистозный макулярный отёк
As a result of the regression analysis, significant indicators were identified, such as the sum of eight meridians of the visual field before surgery (p = 0.015) and the number of detached quadrants (p = 0.021) (Table 2).
A mathematical model was obtained for predicting the macular edema probability (MEP):
MEP = 1 / (1 + 2.72–(–12.637 + 0.017·8М + 2.978·N)),
where 8M is the sum of eight meridians of the visual field before surgery, and N is the number of detached quadrants.
The resulting mathematical model for the assessment of the ME probability in a patient enables measuring the severity of his condition based on the data obtained before surgery. This model has a sensitivity of 84.6%, specificity of 81.8%, and test accuracy of 83.3%, which indicates the sufficient reliability of the model [5].
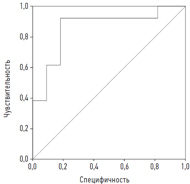
To assess the predictive value of the proposed logistic regression model, receiver operator characteristic (ROC) analysis was performed. The quality of the prognosis is determined by the area under the characteristic curve. In our case, the area under the curve was 0.86 (Fig. 2). For values from 0.8 to 0.9, the quality of the model is defined as very good [6].
Fig. 2. ROC-curve for the proposed model / Рис. 2. ROC-кривая для предложенной модели
DISCUSSION
The development of ME after successful surgery for rhegmatogenous RD, as in any other condition, is a negative factor for the functional outcome. Several studies show that the removal of the internal limiting membrane (ILM) at vitrectomy for rhegmatogenous RD reduces the probability of ME [1, 7–12]. However, ILM removal becomes a traumatic procedure for the retina since the latter is part of the structure of the Müller cell and can cause a decrease in visual acuity, the appearance of metamorphopsia, and a decrease in sensitivity in the central parts of the retina, according to microperimetry [13–16]. This warrants the expedience to study the necessity of the ILM removal [3, 17].
The risk factors for the development of ME and epiretinal membranes in endovitreal treatment of RDs have been actively discussed.
H. Kunikata and K. Nishida [18] showed that the involvement of the macula in RD is already such a factor. Moreover, some studies have shown that a long duration of retinal detachment, which includes the central zones, increases the risk for ME [19, 13, 20]. However, M.J. Blanco-Teijeiro et al. [21] showed an inverse relationship in groups with and without ILM peeling, and the duration of RD was a statistically insignificant factor (p = 0.141). The results of our study demonstrate that the risk for ME does not depend on the duration of RD (p = 0.34).
According to various authors, another significant risk factor for ME formation is the number of peripheral retinal tears [13, 20]. M.J. Blanco-Teijeiro et al. [21] showed that the presence of two or more tears is a risk factor for ME and the epiretinal membrane. R.C. Katira et al. [17], in their publication, explain the mechanism of ME and the formation of epiretinal membranes by the migration of pigment epithelial cells and other progenitor cells from the subretinal space through retinal breaks. This study also revealed that the risk for ME occurrence depended on the number of peripheral tears (p = 0.014), which may indicate a more pronounced tendency for vitreoretinal proliferation. It cannot be ruled out that the presence of several breaks requires a larger amount of laser photocoagulation, which may determine a more pronounced inflammatory reaction; this was confirmed by some Russian studies [22].
When assessing the impact of the expanse of proliferative vitreoretinopathy on the risk of ME occurrence, no relationship was found (p = 0.87). In their study, I. Chatziralli et al. [23] revealed that PVR is a significant risk factor for the occurrence of ME compared with the group without PVR. However, the study did not consider the degree of expanse by quadrant. According to previous studies, such criterion as “the number of detached quadrants,” is indirectly a significant factor in the development of PVR [24–26].
Evaluation of the data obtained using regression analysis established the high significance of such indicator as the number of detached quadrants (p = 0.021). A large area of the detached retina may lead to an immense release and migration of pigment epithelial cells from the subretinal space, which causes ME [24].
This study, as well as other publications, showed that factors, such as age, gender, best corrected visual acuity, length of the anteroposterior axis, intraocular pressure, and the presence of an inherent or artificial lens, are considered statistically insignificant in the occurrence of ME [13, 19–21, 27]. According to R. Sella et al. [20] and N. Shiraki et al. [28], the location of retinal tears and topography of detached quadrants are not statistically significant factors in the development of ME, which was confirmed in our study.
The main aim of this study was the creation of a mathematical model for predicting the probability of ME at the preoperative stage. Using regression analysis, two significant factors were identified, namely the sum of eight visual field meridians before surgery (p = 0.015) and the number of detached quadrants (p = 0.021). Based on the identified factors, a model for predicting the occurrence of ME in the postoperative period in the surgical treatment of rhegmatogenous RD was obtained. Sensitivity (84.6%), specificity (81.8%), and accuracy (83.3%) were indicators that confirm the significance of this predictive model. The ROC analysis of the proposed model showed a good prognostic quality (0.86).
One would think that since the number of detached quadrants and the sum of visual fields are interrelated, one could rely on only one of the factors. However, when creating a logistic regression model with the forced inclusion of the indicator “visual field by the sum of eight meridians” only, the model turns out to be significant (p = 0.030); but the accuracy decreases to 68.6%, while sensitivity was 80% and specificity decreased to 53.3%. With the forced inclusion into the model of the indicator “number of detached quadrants” only, the model turns out to be insignificant (p = 0.343). Therefore, in the initially obtained model, the factor “number of detached quadrants” complements the factor, “visual field by the sum of eight meridians,” and improves the prognostic quality. H. Noda et al. [29] showed that when microperimetry data were compared with the optical coherence tomography data of a partially detached macular area, the function of the detached retina weakened gradually, suggesting the significance of the indicator “visual field by the sum of eight meridians.”
Thus, at the preoperative stage, it became possible to apply a differentiated approach for ILM removal to prevent the development of ME in the surgical treatment of rhegmatogenous RD.
CONCLUSIONS
The results of the carried-out study allowed to establish that significant preoperative factors in the development of ME in RDs with PVR SR1–2 include the area of the detached retina and the visual field by the sum of eight meridians.
The mathematical model developed, which was based on the indicators of the detached retina area and the visual field by the sum of eight meridians, is characterized by the high information content (sensitivity of 84.6%, specificity of 81.8%, and test accuracy of 83.3%) and enables the prediction of ME in the postoperative period.
The use of the proposed prediction model determines a differentiated approach to the surgical prevention of ME and enables decision-making of ILM removal at the preoperative stage.
ADDITIONAL INFORMATION
Author contributions. All authors confirm that their authorship complies with the international ICMJE criteria (all authors have made a significant contribution to the development of the concept, research and preparation of the article, and have read and approved the final version of the manuscript before its publication).
Conflict of interest. The authors declare no conflict of interest.
Funding. The study had no external funding.
作者简介
Ernest Boiko
S.N. Fedorov National Medical Research Center “MNTK “Eye Microsurgery”; I.I. Mechnikov North-Western State Medical University; S.M. Kirov Military Medical Academy
														Email: boiko@mntk.spb.ru
				                					                	SPIN 代码: 7589-2512
																		                								
MD, Dr. Sci. (Med.), professor
俄罗斯联邦, Saint Petersburg; Saint Petersburg; Saint PetersburgIgor Khizhnyak
S.N. Fedorov National Medical Research Center “MNTK “Eye Microsurgery”
														Email: Igor.Khizhnyak126@yandex.ru
				                	ORCID iD: 0000-0002-1785-7794
				                	SPIN 代码: 3711-7703
																		                								
ophthalmologist
俄罗斯联邦, Saint PetersburgYaroslav Bayborodov
S.N. Fedorov National Medical Research Center “MNTK “Eye Microsurgery”; I.I. Mechnikov North-Western State Medical University
							编辑信件的主要联系方式.
							Email: yaroslavvitsug@rambler.ru
				                					                	SPIN 代码: 2702-4365
																		                								
Cand. Sci. (Med.)
俄罗斯联邦, Saint Petersburg; Saint Petersburg参考
- Nam KY, Kim JY. Effect of internal limiting membrane peeling on the development of epiretinal membrane after pars plana vitrectomy for primary rhegmatogenous retinal detachment // Retina. 2015. Vol. 35. No. 5. P. 880–885. doi: 10.1097/IAE.0000000000000421
 - Borowicz D, Nowomiejska K, Nowakowska D, et al. Functional and morphological results of treatment of macula-on and macula-off rhegmatogenous retinal detachment with pars plana vitrectomy and sulfur hexafluoride gas tamponade // BMC Ophthalmol. 2019. Vol. 19. No. 1. P. 118. doi: 10.1186/s12886-019-1120-3
 - Poulsen CD, Petersen MP, Green A, et al. Fundus autofluorescence and spectral domain optical coherence tomography as predictors for long-term functional outcome in rhegmatogenous retinal detachment // Graefes Arch Clin Exp Ophthalmol. 2019. Vol. 257. No. 4. P. 715–723. doi: 10.1007/s00417-018-04222-w
 - Sosnovskii SV, Boiko EhV, Kharitonova NN. Obosnovanie i razrabotka sistemy kolichestvennoi otsenki tyazhesti proliferativnoi vitreoretinopatii. Fyodorov journal of ophthalmic surgery. 2009;(4): 25–29. (In Russ.)
 - Patent RUS № 2724009С1. Khizhnyak IV, Boiko EhV, Baiborodov YaV. Sposob prognozirovaniya makulyarnogo oteka posle mikroinvazivnoi vitrehktomii po povodu otsloiki setchatki. (In Russ.)
 - Trukhacheva NV. Matematicheskaya statistika v mediko-biologicheskikh issledovaniyakh s primeneniem paketa Statistica. Moscow: Geotar-Media, 2013. 379 p. (In Russ.)
 - Zakharov VD, Shkvorchenko DO, Kakunina SA, et al. Khirurgicheskoe lechenie regmatogennoi otsloiki setchatki metodom ehndovitreal’nogo vmeshatel’stva s pilingom vnutrennei pogranichnoi membrany. Modern technologies in ophthalmology. 2018(1): 138–141. (In Russ.)
 - Shkvorchenko DO, Zakharov VD, Kakunina SA, et al. Comparative estimation of surgical treatment results of rhegmatogenous retinal detachment. Fyodorov journal of ophthalmic surgery. 2015;(4):43–50. (In Russ.)
 - Shkvorchenko DO, Zakharov VD, Kakunina SA, et al. Analysis of visual functions recovery in patients with regmatogenous retinal detachment after surgical treatment by the method of the single-port vitrectomy 25G. Cataractal and refractive surgery. 2014;(4):51–54. (In Russ.)
 - Heo MS, Kim HW, Lee JE, et al. The clinical features of macular pucker formation after pars plana vitrectomy for primary rhegmatogenous retinal detachment repair // Korean J Ophthalmol. 2012. Vol. 26. No. 5. P. 355–361. doi: 10.3341/kjo.2012.26.5.355
 - Tsilimbaris MK, Chalkia A, Tsika C, et al. Clinical and spectral-domain optical coherence tomography findings of patients with incomplete visual recovery after anatomically successful retinal detachment surgery // Journal of Ophthalmology. 2015. Vol. 2015. ID420401. doi: 10.1155/2015/420401
 - Gupta RR, Iaboni DSM, Seamone ME, Sarraf D. Inner, outer, and full-thickness retinal folds after rhegmatogenous retinal detachment repair: A review // Surv Ophthalmol. 2019. Vol. 64. No. 2. P. 135–161. doi: 10.1016/j.survophthal.2018.10.007
 - Martinez-Castillo V, Boixadera A, Distefano L, et al. Epiretinal membrane after pars plana vitrectomy for primary pseudophakic or aphakic rhegmatogenous retinal detachment: incidence and outcomes // Retina. 2012. Vol. 32. No. 7. P. 1350–1355. doi: 10.1097/IAE.0b013e318242b965
 - Clark A, Balducci N, Pichi F, et al. Swelling of the arcuate nerve fiber layer after internal limiting membrane peeling // Retina. 2012. Vol. 32. No. 8. P. 1608–1613. doi: 10.1097/IAE.0b013e3182437e86
 - Pichi F, Lembo A, Morara M, et al. Early and late inner retinal changes after inner limiting membrane peeling // Int Ophthalmol. 2014. Vol. 34. No. 2. P. 437–446. doi: 10.1007/s10792-013-9831-6
 - Eissa MGAM, Abdelhakim MASE, Macky TA, et al. Functional and structural outcomes of ILM peeling in uncomplicated macula-off RRD using microperimetry & en-face OCT // Graefes Arch Clin Exp Ophthalmol. 2018. Vol. 256. No. 2. P. 249–257. doi: 10.1007/s00417-017-3875-7
 - Katira RC, Zamani M, Berinstein DM, Garfinkel RA. Incidence and characteristics of macular pucker formation after primary retinal detachment repair by pars plana vitrectomy alone // Retina. 2008. Vol. 28. No. 5. P. 744–748. doi: 10.1097/IAE.0b013e318162b031
 - Kunikata H, Nishida K. Visual outcome and complications of 25-gauge vitrectomy for rhegmatogenous retinal detachment; 84 consecutive cases // Eye (Lond). 2010. Vol. 24. No. 6. P. 1071–1077. doi: 10.1038/eye.2010.41
 - Akiyama K, Fujinami K, Watanabe K, et al. Internal limiting membrane peeling to prevent post-vitrectomy epiretinal membrane development in retinal detachment // Am J Ophthalmol. 2016. Vol. 171. P. 1–10. doi: 10.1016/j.ajo.2016.08.015
 - Sella R, Sternfeld A, Budnik I, et al. Epiretinal membrane following pars plana vitrectomy for rhegmatogenous retinal detachment repair // Int J Ophthalmol. 2019. Vol. 12. No. 12. P. 1872–1877. doi: 10.18240/ijo.2019.12.09
 - Blanco-Teijeiro MJ, Bande Rodriguez M, Mansilla Cuñarro R, et al. Effects of internal limiting membrane peeling during vitrectomy for macula-off primary rhegmatogenous retinal detachment // Eur J Ophthalmol. 2018. Vol. 28. No. 6. P. 706–713. doi: 10.1177/1120672117750055
 - Lyskin PV, Zakharov VD, Zgoba MI. Endolaser photocoagulation in retinal detachment surgery, as an inducer of inflammation and changes in the cytokine profile. Practical medicine. 2017;2(9):117–121. (In Russ.)
 - Chatziralli I, Theodossiadis G, Dimitriou E, et al. Macular edema after successful pars plana vitrectomy for rhegmatogenous retinal detachment: factors affecting edema development and сonsiderations for treatment // Ocul Immunol Inflamm. 2019. Vol. 29. No. 1. P. 1–6. doi: 10.1080/09273948.2019.1652330
 - Dontsova JA, Shishkin MM. Evaluation of the effectiveness of combined surgery of regmatogenous retinal detachment complicated by proliferative vitreoretinopathy, stage C. Modern technologies in ophthalmology. 2020;(1):129–131. (In Russ.) doi: 10.25276/2312-4911-2020-2-129-131
 - Saber EE, Bayoumy ASM, Elmohamady MN, Faramawi HM. Macular microstructure and visual acuity after macula-off retinal detachment repair by 23-gauge vitrectomy plus silicone endotamponade // Clin Ophthalmol. 2018. Vol. 12. P. 2005–2013. doi: 10.2147/OPTH.S181595
 - Jurišić D, Geber MZ, Ćavar I, Utrobičić DK. Retinal Layers Measurements following Silicone Oil Tamponade for Retinal Detachment Surgery // Semin Ophthalmol. 2018. Vol. 33. No. 5. P. 711–718. doi: 10.1080/08820538.2017.1417452
 - Foveau P, Leroy B, Berrod JP, Conart JB. Internal Limiting Membrane Peeling in Macula-off Retinal Detachment Complicated by Grade B Proliferative Vitreoretinopathy // Am J Ophthalmol. 2018. Vol. 191. P. 1–6. doi: 10.1016/j.ajo.2018.03.037
 - Shiraki N, Sakimoto S, Sakaguchi H, et al. Vitrectomy without prone positioning for rhegmatogenous retinal detachments in eyes with inferior retinal breaks // PLoS One. 2018. Vol. 13. No. 1. P. e0191531. doi: 10.1371/journal.pone.0191531
 - Noda H, Kimura S, Hosokawa MM, et al. Effect of rhegmatogenous retinal detachment on preoperative and postoperative retinal sensitivities // Scientific Reports. 2020. Vol. 10. No. 1. ID21497. doi: 10.1038/s41598-020-78693-5
 
补充文件
				
			
						
						
					




