Protective Effects of L-Arginine on Mitochondria of Rat Epididymis in Hyperhomocysteinemia Induced by Prolonged Methionine Load
- Authors: Zvyagina V.I.1, Shumaev K.B.2, Belskikh E.S.1, Uryasyev O.M.1, Akhmedova S.R.1, Marsyanova Y.A.1, Shitikova A.M.1, Suchkova O.N.1
- 
							Affiliations: 
							- Ryazan State Medical University
- The Federal Research Centre ‘Fundamentals of Biotechnology’ of the Russian Academy of Sciences
 
- Issue: Vol 30, No 4 (2022)
- Pages: 457-470
- Section: Original study
- Submitted: 19.07.2022
- Accepted: 07.11.2022
- Published: 28.12.2022
- URL: https://journals.eco-vector.com/pavlovj/article/view/109410
- DOI: https://doi.org/10.17816/PAVLOVJ109410
- ID: 109410
Cite item
Abstract
INTRODUCTION: The study of markers of oxidative stress, metabolites of nitric oxide (II) (NOx) and the balance of carnitine fractions in mitochondria of rat epididymis, permits to evaluate the protective role of L-arginine in experimental hyperhomocysteinemia.
AIM: To study the influence of L-arginine on the parameters of energy metabolism, level of NO metabolites, oxidative modification of proteins and balance of carnitine fractions in mitochondria of the head and tail of rat epididymis in hyperhomocysteinemia.
MATERIALS AND METHODS: In animals of group 1 (n = 8), severe hyperhomocysteinemia (HHcy) was modeled by administration of methionine suspension at a dose of 1.5 g/kg twice daily for 21 days with addition of 1% methionine in drinking water; group 2 rats (n = 8) received suspension base without methionine; animals of group 3 (n = 8) were daily administered L-arginine solution at a dose of 500 mg/kg intragastrically against the background methionine load from day 11 to day 21; group 4 animals (n = 8) were administered L-arginine solution of at a dose of 500 mg/kg for 10 days; group 5 (n = 8) served as a control for group 4 and received drinking water intragastrically. Concentrations of total homocysteine and NOx were determined in serum. In the mitochondrial fraction of the homogenate of epididymis tissues, the level of oxidatively modified proteins (OMP), the concentration of NOx, lactate and carnitine fractions, the activity of lactate dehydrogenase (LDH), superoxide dismutase (SOD), H+-ATPase, succinate dehydrogenase (SDH) were evaluated.
RESULTS: HHcy was accompanied by reduction of the level of NOx in blood serum and mitochondria of epididymis head tissues. In mitochondria of tissues of head and tail of epididymis, a marked reduction of all fractions of carnitine, activity of LDH, H+-ATPase, SDH, increase in the activity of SOD and in the level of OMP were observed. With modeled HHcy, L-arginine reduced the extent of hyperhomocysteinemia, prevented reduction of NOx level in the blood serum and epididymis head and reduced the content of OMP of the epididymis mitochondria.
CONCLUSION: L-arginine introduced in combination with methionine, reduces the extent of severity of hyperhomocysteinemia. The positive effect of L-arginine on increase in the concentration of NOx metabolites in blood serum and mitochondria of epididymis in conditions of methionine load was also confirmed. L-arginine exhibits antioxidant properties, reducing the severity of oxidative stress induced by hyperhomocysteinemia. Differences in the adaptive response to oxidative stress of the mitochondria of the head and tail of epididymis were demonstrated.
Full Text
LIST OF ABBREVIATIONS
ADMA ― asymmetric dimethylarginine
АGXT-2 ― Alanine-Glyoxylate Aminotransferase 2
BCKDC ― branched-chain α-ketoacid dehydrogenase complex
CrAT II ― carnitine acyltransferase II
DDAH ― dimethylarginine dimethylaminohydrolase
EDTA ― ethylene diamine tetraacetate
HHC ― hyperhomocysteinemia
IVF ― in vitro fertilization
LDG ― lactate dehydrogenase
NAD+ ― nicotinamide adenine dinucleotide oxidized
NADH ― nicotinamide adenine dinucleotide reduced
NO ― nitric oxide (II)
NOS ― nitric oxide synthase
NOx ― total metabolites NO (II)
ODU ― optical density unit
OPM ― oxidative protein modification
OS ― oxidative stress
PRMTs ― protein arginine methyltransferases
RAP OPM ― reserve adaptive potential of oxidative protein modification
ROS ― reactive oxygen species
SAH ― S-adenosylhomocysteine
SAM ― S-adenosylmethionine
SDG ― succinate dehydrogenase
SDMA ― symmetric dimethylarginine
SOD ― superoxide dismutase
INTRODUCTION
Currently, the increasing spread of fertility disorders becomes one of the global healthcare problems [1]. According to some authors, the peak of recorded fertility disorders falls on the most able-bodied age of 35–44 years ― in 17.7% of cases in females and in 14.9% of cases in males [2]. Here, the share of ‘male factor’ in 21.1 ± 2.8% of cases is the key factor of inability to conceive a child [3].
Male fertility is usually diagnosed on the basis of quantitative and morphological criteria of spermatozoa, which, however, do not permit to exactly predict the probability of conception in patients with idiopathic infertility and do not exactly predict the results of in vitro fertilization (IVF) [3]. In this context, according to R. J. Aitken, et al., an important role in evaluation of the function of spermatozoa is played by investigation of markers of oxidative stress (OS) and antioxidant protection [3, 4].
Among the probable causes of OS that may underlie an oxidative damage to cells of the male reproductive system, of importance is mitochondrial dysfunction associated with excessive generation of reactive oxygen species (ROS) by mitochondria, and with frustration of antioxidant protection, which, in turn, causes imbalance of the processes of redox-regulation of cell hemostasis [5–7].
It should be noted that antioxidants such as L-arginine, L-carnitine, carotenoids, vitamins E, C and B9, coenzyme Q, cysteine and acetyl-cysteine are currently considered as potential therapeutic agents for the correction of fertility disorders. However, to date, the results of their application remain contradictory [7, 8]. In this regard, an approach that takes into account the heterogeneity of the causes of OS seems promising, which reflects the need for identification of biomarkers to personalize the therapy of fertility disorders [9].
It has been established that L-arginine is characterized by pronounced antioxidant activity manifested even in conditions of the primary mitochondrial dysfunction [10], and can reduce the extent of deficit of nitric oxide II (NO) synthesis and OS induced by homocysteine [11], but the mechanism of this process is not fully understood [12].
It is reported that epididymal dysfunction associated with disorders in formation of the microenvironment for spermatozoa, may be a significant factor of male infertility. Moreover, each segment of the epididymis makes a specific contribution to the microenvironment of the lumen, but, nevertheless, the molecular mechanisms involved in gaining mobility and the ability to fertilization, remain to a large extent understudied [13]. Analysis of the content of carnitine, markers of oxidative stress and mitochondrial enzyme activity in experimental hyperhomocysteinemia separately and in combination with L-arginine, will allow to evaluate the specific response of tissues of the epididymis to modeled pathological conditions [13, 14].
The aim of this study to the influence of L-arginine on the parameters of energy metabolism, the level of NO metabolites, oxidative modification of proteins, and the balance of carnitine fractions in mitochondria of the head and tail of the epididymis of rats in conditions of hyperhomocysteinemia.
MATERIALS AND METHODS
The study was performed on male rats of Wistar line. Experiments with animals were carried out in accordance with the ‘European Convention for the Protection of Vertebrates Used for Experimental and Other Scientific Purposes’ (Strasbourg, 1986), Order of the Ministry of Health and Social Development of the Russian Federation No. 708n of 2010, August 23 ‘On Approval of the Rules of Laboratory Practice’, and the statements of the Bioethical Commission of Ryazan State Medical University of the Ministry of Health of the Russian Federation (Protocol No. 16 of 2018, November 06). The animals were kept in standard vivarium conditions, for feeding they received dry food ‘Chara’ (Assortiment-Agro, Russia) containing 0.7% methionine-cystine recalculated for dry matter, all vitamins of group B, including B6 ― 28 mg/kg, B9 ― 64 mg/kg, B12 ― 0.13 mg/kg.
The experimental animals were divided to 5 groups:
- group 1 (HHC, n = 8) ― model of hyperhomo-cysteinemia: rats with severe hyperhomocysteinemia (> 100 µmol/l). For this, the animals were administered 25% methionine suspension at a dose of 1.5 g of methionine (Sigma-Aldrich, USA) per 1 kg of body mass intragastrically (through a gastric tube) twice daily within 21 days; additionally, instead of drinking water, rats received 1% water solution of methionine with continuous access to drinking bowls [15];
- group 2 (Tween, n = 8) ― control of modeled hyperhomocysteinemia: rats received suspension base according to the same scheme, consisting of water, tween-80 (Vecton, Russia) and starch (Vecton, Russia). Drinking bowls for these animals were filled with ordinary drinking water;
- group 3 (HHC + Arg, n = 8) ― model of hyperhomocysteinemia with the underlying administration of L-arginine: the animals with hyperhomocysteinemia (similar to group 1) were intragastrically administered L-arginine solution (Sigma, США) on 0.9% NaCl at a dose of 500 mg/kg daily in the intervals between introduction of methionine suspension from the 11th to 21st day [16];
- group 4 (L-arginine, n = 8) ― introduction of L-arginine to healthy animals at a dose of 500 mg/kg daily for 10 days;
- group 5 ― control for group 4 (control, n = 8): the animals received the same amount of drinking water intragastrically instead of L-arginine solution, during the same period as group 4.
The animals were withdrawn from the experiment in the morning before meal. Under ether rausсh anesthesia, the animals with preserved breathing and heartbeat were exsanguinated by crossing the abdominal aorta. After that, the epididymis was extracted, washed in the medium containing 0.25 M sucrose (Czech Republic, repackaged by State Scientific Centre of Applied Microbiology, Russia), 0.001 M EDTA (Company Helicon, Russia) and 0.05 M tris-buffer (pH 7.4) (Vecton, Russia), the head and tail of the epididymis were separated and used in further research [13]. A Potter homogenizer (Sartorius, Germany) was used for homogenization.
The homogenates were centrifuged for 10 minutes at 800 g to precipitate nuclei and undisturbed cells. The supernatant was centrifuged for 15 minutes at 14,000 g on a refrigerated centrifuge K24D (Germany) [17]. The precipitate containing mitochondria was resuspended in the isolation medium in the ratio of 1:9. To a part of the mitochondrial suspension, Triton X-100 (Helicon Company, Russia) was added at a final concentration of 0.02% to destroy the membranes. All the procedures described above were performed at temperature not higher than 4°C. For further analysis there were used:
- blood serum in which the concentration of total homocysteine and NO metabolites (NOx), that is, the total nitrite and nitrate level, was determined;
- mitochondrial fraction with destroyed membranes where oxidative modification of protein (OMP), concentration of NOx, lactate, carnitine fractions, activity of lactate dehydrogenase enzymes (LDG, EC 1.1.1.27) and of superoxide dismutase (SOD, EC 1.15.1.1) were determined;
- mitochondrial fraction with undestroyed membranes, where activity of Н+-АТPase (EC 3.6.3.14) and succinate dehydrogenase (SDG, EC 1.3.5.1) were determined.
Concentration of total homocysteine was determined by enzyme-linked immunoassay using a commercial kit (Axis Shield, Great Britain). The principle of the method is based on reduction of protein-bound homocysteine to free homocysteine which is enzymatically converted to S-adenosyl-L-homocysteine, with its consequent enzyme-linked immunoassay.
The total protein content was determined by Lowry method using a reagent kit (Ekoservis, Russia) and KFK-3-01 ZOMZ photocolorimeter (Russia).
The total level of NO metabolites (NOx) was photocolorimetrically evaluated on Stat Fax 3200 analyzer (Awareness Technology, USA) using Griss reagent (Neva Reactiv, Russia) and vanadium chloride (III) (AcrosOrganics, USA) to determine the sum of nitrites and nitrates [18].
The concentration of lactic acid was determined colorimetrically on Stat Fax 1900+ analyzer (Awareness Technology, USA) by lactate oxidase method using a kit of Diasys (Germany).
SDG activity was evaluated by spectrophotometric method using the reaction of reduction of potassium hexacyanoferrate (III) to potassium ferrocyanide on SF-2000 spectrophotometer (Russia). The activity of the enzyme is proportional to the amount of reduced ferrocyanide [17].
LDG activity was determined by decrease in the concentration of NADH in the pyruvate reduction reaction using a commercial kit (Diasys, Germany) on a Stat Fax 1900+ analyzer (Awareness Technology, USA).
The activity of H+-ATPase was evaluated by Bodansky method through determination of the amount of inorganic phosphate by the formation of ammonium phosphomolybdate reduced by ascorbic acid to molybdenum blue, the optical density of which is proportional to the concentration of inorganic phosphate. The measurement was carried out using a photocolorimeter KFK-3-01 ZOMZ (Russia) [19].
The total activity of mitochondrial SOD was evaluated by inhibition of quercetin auto-oxidation reaction using KFK-3-01 ZOMZ photocolorimeter (Russia) [20].
The OMP level was analyzed on SF-2000 spectrophotometer (Russia), with subsequent recalculation of the area under the light absorption curve [21]. To evaluate OMP, the level of carbonyl derivatives of oxidized amino acid residues of proteins was determined by reaction with 2.4-dinitrophenylhydrazine. The amount of carbonyl derivatives of amino acid residues in proteins was estimated by the area under the curve, divided into rectangular trapezoids. The total amount of products of spontaneous oxidative modification of proteins (SP OMP) was expressed in optical density units (ODU) per mg of protein (ODU/mg of protein) [21]. In parallel with the determination of SP OMP, metal-catalyzed oxidation (MC OMP) was determined in Fenton reaction, which served as a parameter of the maximum possible oxidative damage to protein molecules and was taken for 100%. Then the reserve-adaptive potential of oxidative damage to mitochondrial proteins (RAP OMP) was calculated, which was expressed in % as the ratio of SP OMP/MC OMP. The lower the proportion of spontaneous oxidation products (SP OMP), the higher the reserve-adaptation potential (RAP OMP) [21].
The concentration of carnitine in the mitochondria of rat epididymis tissues was determined on a Stat Fax 3200 analyzer (Awareness Technology, USA) by Wan L. and Hubbard R. W. method (1998) based on the formation of free CoASH that non-enzymatically reacts with 5.5-dithiobis-2-nitrobenzoate (dimethylarginine dimethyl-aminohydrolase, DTNB) to form stained 5-thio-2-nitro-benzoate, the staining intensity of which was measured spectrophotometrically at λ = 410 nm [22].
Statistical processing of the results was carried out using Statistica 10.0 (Stat Soft Inc., USA). The graphs were plotted using GraphPad Prism 9.0 (Graph Pad Software, USA). The correspondence of the samples to the normal distribution was checked using Shapiro-Wilk test. The distribution was different from normal, and therefore Kruskal–Wallis test and Mann–Whitney test with a 2-stage correction for multiple comparisons of Benjamin–Krieger–Iecutelli or Mann–Whitney test were used to identify differences between independent groups in comparison of 2 groups. The level of differences was considered statistically significant with the probability of a null hypothesis about the absence of differences p < 0.05.
RESULTS
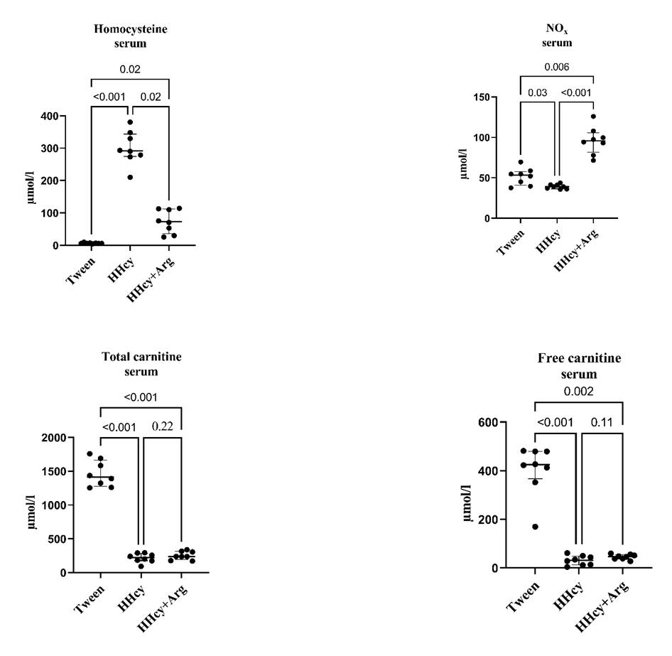
Introduction of methionine in the diet of male rats for 21 days led to increase in the concentration of cysteine in blood serum above 100 µmol/l which corresponded to severe form of HHC (Figure 1). The developed HHC was accompanied by statistically significant reduction of NOx in blood serum, which reflected deficit of nitric oxide synthesis by vascular wall endothelium, induced in the model.
Fig. 1. Concentration of NOx, homocysteine and free carnitine in blood serum of study groups of animals, Me [Q1; Q3].
Note: HHC ― modeled hyperhomocysteinemia ― group 1, Tween ― group 2, modeled hyperhomocysteinemia with the underlying administration of L-arginine ― group 3. P-values with the accuracy of thousandths are given above the graphs.
Evaluation of NOx level in mitochondria of homogenate of the epididymis head revealed reduction of their concentration in comparison with the group receiving only suspension base, and confirmed systemic character of deficit of NO synthesis in a severe form of hyperhomocysteinemia (Figure 2).
Fig. 2. Comparison of the levels of NO (II) metabolites and lactate of mitochondria in the study models, Me [Q1; Q3].
Note: HHC ― modeled hyperhomocysteinemia ― group 1, Tween ― group 2, modeled hyperhomocysteinemia with the underlying administration of L-arginine ― group 3. P-values with the accuracy of thousandths are given above the graphs.
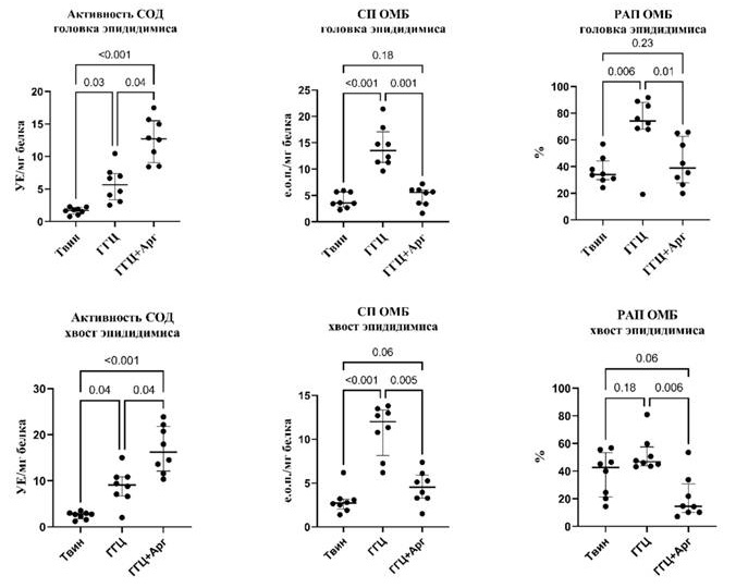
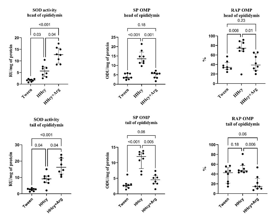
According to Figures 2 and 3, increase in homocysteine concentration was accompanied by pronounced increase in oxidative modification of proteins in both the head and tail of the testicular appendage, and by a significant increase in SOD activity by 220% (p = 0.03) and 240% (p = 0.04), respectively, relative to the control group. All this could evidence the occurrence of OS in the tissues of the epididymis in conditions of hyperhomocysteinemia (Figures 2, 3).
Fig. 3. Comparison of study parameters of oxidative stress of mitochondria in study models, Me [Q1; Q3].
Note: HHC ― model of hyperhomocysteinemia ― group 1, Tween ― group 2, model of hyperhomocysteinemia with the underlying administration of L-arginine ― group 3. P-values with the accuracy of thousandths are given above the graphs.
In animals, there was also a decrease in the RAP of oxidative modification only in the head of the epididymis, which probably indicates lower resistance of the head of the testis appendage of rats to oxidative damage.
Along with a significant increase in the parameters of the oxidative stress, there was also a decrease in the activity of the studied enzymes involved in the bioenergetic processes of mitochondria (SDG, H+-ATPase), as well as an increase in the concentration of mitochondrial lactate and a statistically significant drop in LDG activity in the head of the epididymis (Figure 4).
Fig. 4. Comparison of the activity of mitochondrial enzymes in the study models, Me [Q1; Q3].
Note: HHC ― model of hyperhomocysteinemia ― group 1, Tween ― group 2, model of hyperhomocysteinemia with the underlying administration of L-arginine ― group 3. P-values with the accuracy of thousandths are given above the graphs.
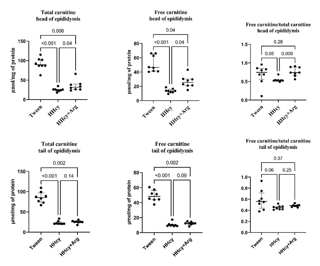
The detected changes were accompanied by a considerable reduction of the concentration of total carnitine in mitochondria isolated from the homogenate of epididymis tissue, by 270% (р < 0.001) in the head of the epididymis, and by 300% (р < 0.001) in the tail of the epididymis (Figure 5).
Fig. 5. Comparison of the content of L-carnitine in mitochondria of homogenates of the head and tail of epididymis in the study models, Me [Q1; Q3].
Note: HHC ― model of hyperhomocysteinemia ― group 1, Tween ― group 2, model of hyperhomocysteinemia with the underlying administration of L-arginine ― group 3. P-values with the accuracy of thousandths are given above the graphs.
To note, we found a statistically significant strong reverse correlation relationship between the level of serum homocysteine and concentration of total carnitine in the mitochondrial fraction in the head of the epididymis (r = -0.74, p = 0.001); and moderate reverse correlation relationship in the tail of the epididymis (r = -0.61, p = 0.012).
Oral administration of L-arginine to rats at a dose of 500 mg/kg against the background model of hyperhomocysteinemia led to a less pronounced increase in serum homocysteine concentration, and also to increase in the level of nitric oxide II metabolites in blood serum by 170% (p = 0.006) compared to animals administered a suspension base, and by 80% (p < 0.001) compared to the control level; in the mitochondria of the epididymis head ― by 82.8% (p = 0.006) compared to the series with the administration of methionine, and by 31% (p < 0.001) compared to the control values. No statistically significant changes in the content of NO metabolites were found in the tail of the epididymis.
In modeling of hyperhomocysteinemia against the background introduction of L-arginine, there was also noted statistically significant reduction of the total area under the curve of absorption spectrum of protein oxidation modification products in both studied fractions of epididymis. Besides, with a combined administration of L-arginine and methionine, there was no significant reduction of reserve-adaptation potential, like in the series with hyperhomocysteinemia (Figure 3).
Along with this, in administration of L-arginine to animals with modeled hyperhomocysteinemia, the activity of SDG and Н+-АТPase did not differ from the series of animals with severe HHC and was below the control values.
For a more objective evaluation of the effect of L-arginine of the epididymis tissue of male rats, similar biochemical parameters were studied in the absence of oxidative stress induced by excessive load with methionine, for which a series of animals was used with administration of L-arginine during the same period and at the same dose as healthy animals (Figure 6).
Fig. 6. Levels of NO (II) metabolites and carnitine in blood serum of intact animals and with introduction of L-arginine, Me [Q1; Q3].
Note: L-arginine ― animal group 4, control ― animal group 5 (control for group 4). P-values with the accuracy of thousandths are given above the graphs.
A statistically significant increase was found in the concentration of NO metabolites in blood serum (by 150%, р < 0.001), in mitochondria of the tail (by 28.6%, р = 0.03) and of the head (by 25.75%, р = 0.003) of epididymis.
Increase in the level of total and free carnitine in the tail of epididymis by 31.3% (р = 0.04) and 37.7% (р = 0.01), respectively, was noted. There was also reduction of SOD activity in the head by 20.0% (р = 0.03) and in the tail by 17.8% (р = 0.02). Other studied biochemical parameters did not show any statistically significant changes (Figure 7).
Fig. 7. Changes of the studied parameters of mitochondria of the head and tail of epididymis with administration of L-arginine, Me [Q1; Q3].
Note: L-arginine ― animal group 4, control ― animal group 5 (control for group 4). P-values with the accuracy of thousandths are given above the graphs.
DISCUSSION
Changes in the level of OMP together with statistically significant increase in the activity of SOD both in the tail and head of the epididymis found in the series of rats with a combined administration of L-arginine and methionine, permit to suggest protective effect of L-arginine associated with reduction of the intensity of oxidative damage to the epididymis proteins in rats.
Different reactions were found in mitochondria of the tissues of the head and tail of the epididymis with administration of L-arginine. Thus, in the tail of epididymis, increase in the activity of LDG and decrease in the concentration of lactate relative to the series of animals with HHC were observed, with this, there was increase in the content of total carnitine in the head mostly due to the free fraction (Figures 2, 4).
In contrast to the series with administration of L-arginine to healthy animals, in hyperhomocysteinemia, L-arginine did not cause any statistically significant changes in the level of total carnitine in mitochondria of the head and tail of the epididymis due to the fact that it is probably used for excretion of methionine metabolites in the form of short-chain carnitine esters [23–25]. In this case, the removal of excess methionine will prevent development of complications associated with derangement of its metabolism, however, physiological concentration of carnitine is insufficient for complete elimination of all the incoming methionine.
Prolonged administration of methionine (a donor of methyl groups) creates conditions for enhanced production of dimethyl arginines (ADMA, SDMA). These methylated arginine derivatives, on the one hand, can inhibit absorption of L-arginine by сells with participation of cationic transporters (CAT) [26], due to which, supposedly, concentration of NO metabolites in blood serum increases to a higher extent than in mitochondria of the epididymis. On the other hand, dimethylarginines, primarily, ADMA, are inhibitors of NO-synthase (EC 1.14.13), decoupling of which causes intensification of ROS production [27, 8]. In this connection, we probably observe a more significant increase in the activity of mitochondrial SOD, antioxidant protection enzyme, than with introduction of methionine alone, besides, ROS can also stimulate the activity of arginine methyltransferases (EC 2.1.1.321) and re-enhance the synthesis of dimethylarginines [29, 30].
It is also known from the literature sources that homocysteine inhibits the activity of dimethylarginine dimethylaminohydrolase (DDAH, EC 3.5.3.18) which metabolizes ADMA to inactive products thus causing accumulation of ADMA and inhibition of nitric oxide synthesis [31, 32].
We may suggest that the reduction of the level of homocysteine and of the severity of hyperhomocysteinemia was due to the competitive transport of arginine and methionine. Thus, J. W. Robinson, et al. found out that absorption of L-methionine is strongly inhibited by L-arginine and citrulline [33, 34]. Thus, the inhibitory effect of ADMA on NO-synthase is decreased due to elimination of ADMA in reactivation of DDAH.
On the basis of the results of the study and literature review we proposed a scheme that generalizes understanding of mechanisms of reduction of the level of homocysteine with the administration of L-arginine (Figure 8).
Fig. 8. A scheme of probable mechanisms of reduction of the level of homocysteine with administration of L-arginine.
Notе: ADMA ― asymmetric dimethylarginine, SDMA ― symmetric dimethylarginine, SAM ― S- adenosylmethionine, SAH ― S-adenosylhomocysteine, PRMTs ― protein arginine methyltransferases, АGXT-2 ― alanine-glyoxylate aminotransferase 2, BCKDC ― branched-chain α-ketoacid dehydrogenase complex, CrAT II ― carnitine acyltransferase II, DDAH ― dimethylarginine dimethylaminohydrolase, NOS ― nitric oxide synthase. NAD+ ― nicotinamide adenine dinucleotide oxidized; NADH ― NAD reduced; ROS ― reactive oxygen species, NO ― nitric oxide (II). Hydrolysis ― hydrolysis of methylated proteins in lysosomes. Decomposition products of ADMA: aminomethyl, citrulline. Red arrows indicate processes associated with increase in homocysteine level. Green arrows indicate the probable mechanisms of reduction of homocysteine level.
Of interest is also the fact of reduction of the activity of mitochondrial SOD in the epididymis of male rats in administration of L-arginine to group 4 rats. But in combined administration of L-arginine and methionine, there was a statistically significant increase in the activity of this enzyme, and determination of dependence of parameters of NO metabolites and the activity of SOD in the mitochondrial fraction showed the existence of moderate direct statistically significant correlation relationships between these parameters in the studied sections of the epididymis:
- head of the epididymis: r = 0.46; р = 0.023;
- tail of the epididymis: r = 0.46; р = 0.018.
Although L-arginine has a direct antioxidant effect [35], it cannot be excluded that in this situation its antioxidant effect is associated with increase in NO production and with its subsequent participation in inactivation of free radicals. This antioxidant effect of NO may be associated with the formation of dinitrosyl iron complexes, in mitochondria as well [36]. These NO complexes are known to effectively inhibit the processes of free radical oxidation and oxidative biopolymer modification [36, 37]. With this, interaction of superoxide radical with NO produces a very strong oxidizer ― peroxynitrite which can mediate development of oxidative stress and lead to enhancement of SOD expression [30, 36, 37].
CONCLUSION
Thus, L-arginine reduces the extent of evidence of hyperhomocysteinemia induced by prolonged administration of methionine at a high dose, probably due to inhibition of transport of methionine to cells with the resultant increase in the concentration of nitric oxide metabolites. In turn, some NO metabolites, like L-arginine itself, exhibit protective antioxidant properties, preventing development of oxidative stress induced by overproduction of homocysteine.
The caudal part of epididymis proved to be more resistant to oxidative damage induced by prolonged methionine load. Besides, there were also demonstrated differences in the adaptive response with use of exogenous L-arginine in modeling severe hyperhomocysteinemia.
In connection with the above, it can be stated that there exist convincing prerequisites for the study of pharmacotherapy of deranged fertility processes in men with use of L-arginine that can enhance vasodilating effects, block lipid peroxidation processes and excessive ROS production, and also restore the activity of mitochondrial enzymes, correcting the mitochondrial dysfunction induced by excessive load with methionine.
ADDITIONAL INFORMATION
Funding. The study was supported by the grant of the President of the Russian Federation MK-4805.2022.3.
Conflict of interests. The authors declare no conflicts of interests.
Contribution of the authors: V. I. Zvyagina ― concept and design development, manuscript preparation, data analysis, biochemical studies, final approval for manuscript publication; K. B. Shumayev ― concept development, manuscript editing, critical intellectual content verification; E. S. Bel’skikh ― data analysis, preparation of the manuscript, work on drawings; O. M. Uryas’yev ― concept development, manuscript editing, S. R. Akhmedova ― data analysis, student; Yu. A. Marsyanova ― manuscript preparation, conduction of biochemical studies, reproduction of experimental models in rats; A. M. Shitikova ― manuscript preparation, conduction of biochemical studies, reproduction of experimental models in rats; O. N. Suchkova ― carrying out biochemical researches. All authors made a substantial contribution to the conception of the work, acquisition, analysis, interpretation of data for the work, drafting and revising the work, final approval of the version to be published and agree to be accountable for all aspects of the work.
About the authors
Valentina I. Zvyagina
Ryazan State Medical University
														Email: vizvyagina@yandex.ru
				                	ORCID iD: 0000-0003-2800-5789
				                	SPIN-code: 7553-8641
																		                								
Cand. Sci. (Biol.), Associate Professor
Konstantin B. Shumaev
The Federal Research Centre ‘Fundamentals of Biotechnology’ of the Russian Academy of Sciences
														Email: tomorov@mail.ru
				                	ORCID iD: 0000-0001-8835-5188
				                	SPIN-code: 7765-3295
																		                								
Dr. Sci. (Biol.)
Eduard S. Belskikh
Ryazan State Medical University
														Email: ed.bels@yandex.ru
				                	ORCID iD: 0000-0003-1803-0542
				                	SPIN-code: 9350-9360
																		                								
MD, Cand. Sci. (Med.)
Oleg M. Uryasyev
Ryazan State Medical University
														Email: uryasev08@yandex.ru
				                	ORCID iD: 0000-0001-8693-4696
				                	SPIN-code: 7903-4609
																		                								
MD, Dr. Sci. (Med.), Professor
Russian Federation, RyazanSabina R. Akhmedova
Ryazan State Medical University
							Author for correspondence.
							Email: danfeyt@mail.ru
				                	ORCID iD: 0000-0002-6437-8120
				                																			                												                	Russian Federation, 							Ryazan						
Yulia A. Marsyanova
Ryazan State Medical University
														Email: yuliyamarsyanova@yahoo.com
				                	ORCID iD: 0000-0003-4948-4504
				                	SPIN-code: 4075-3169
																		                								
Anna M. Shitikova
Ryazan State Medical University
														Email: anyakudlaeva@mail.ru
				                	ORCID iD: 0000-0002-4004-9058
				                	SPIN-code: 3416-3961
																		                								
Cand. Sci. (Biol.), Associate Professor
Russian Federation, RyazanOlga N. Suchkova
Ryazan State Medical University
														Email: suchkovaon@gmail.com
				                	ORCID iD: 0000-0001-5227-7288
				                	SPIN-code: 2282-3653
																		                												                	Russian Federation, 							Ryazan						
References
- Agarwal A, Mulgund A, Hamada A, et al. A unique view on male infertility around the globe. Reproductive Biology and Endocrinology. 2015;13:37. doi: 10.1186/s12958-015-0032-1
- Datta J, Palmer MJ, Tanton C, et al. Prevalence of infertility and help seeking among 15 000 women and men. Human Reproduction. 2016;31(9):2108–18. doi: 10.1093/humrep/dew123
- Aitken RJ, Baker MA. The Role of Genetics and Oxidative Stress in the Etiology of Male Infertility-A Unifying Hypothesis? Frontiers in Endocrinology. 2020;11:581838. doi: 10.3389/fendo.2020.581838
- Aitken RJ, Flanagan HM, Connaughton H et al. Involvement of homocysteine, homocysteine thiolactone, and paraoxonase type 1 (PON-1) in the etiology of defective human sperm function. Andrology. 2016;4(2): 345–60. doi: 10.1111/andr.12157
- Sies H, Jones DP. Reactive oxygen species (ROS) as pleiotropic physiological signalling agents. Nature Reviews. Molecular Cell Biology. 2020;21(7):363–83. doi: 10.1038/s41580-020-0230-3
- Ramalho–Santos J, Varum S, Amaral S, et al. Mitochondrial functionality in reproduction: from gonads and gametes to embryos and embryonic stem cells. Human Reproduction Update. 2009;15(5):553–72. doi: 10.1093/humupd/dmp016
- Belskikh ES, Zvyagina VI, Uryas’ev OM. Modern concepts of the pathogenesis and approaches to correction of mitochondrial dysfunction. Nauka Molodykh (Eruditio Juvenium). 2016;(1):104–12. (In Russ).
- Smits RM, Mackenzie–Proctor R, Yazdani A, et al. Antioxidants for male subfertility. The Cochrane Database of Systematic Reviews. 2019;3(3):CD007411. doi: 10.1002/14651858.CD007411.pub4
- Jung JH, Seo JT. Empirical medical therapy in idiopathic male infertility: Promise or panacea? Clinical and Experimental Reproductive Medicine. 2014;41(3):108–14. doi: 10.5653/cerm.2014.41.3.108
- Agarwal A, Leisegang K, Majzoub A, et al. Utility of Antioxidants in the Treatment of Male Infertility: Clinical Guidelines Based on a Systematic Review and Analysis of Evidence. The World Journal of Men’s Health. 2021;39(2):233–90. doi: 10.5534/wjmh.200196
- West SG, Likos–Krick A, Brown P, et al. Oral L-arginine improves hemodynamic responses to stress and reduces plasma homocysteine in hypercholesterolemic men. The Journal of Nutrition. 2005;135(2):212–7. doi: 10.1093/jn/135.2.212
- Lee SJ, Park SH, Chung JF, et al. Homocysteine-induced peripheral microcirculation dysfunction in zebrafish and its attenuation by L-arginine. Oncotarget. 2017;8(35):58264–71. doi: 10.18632/oncotarget.16811
- Elbashir S, Magdi Y, Rashed A, et al. Epididymal contribution to male infertility: An overlooked problem. Andrologia. 2021;53(1):e13721. doi: 10.1111/and.13721
- Park Y–J, Pang M–G. Mitochondrial Functionality in Male Fertility: From Spermatogenesis to Fertilization. Antioxidants. 2021;10(1):98. doi: 10.3390/antiox10010098
- Medvedev DV, Zvyagina VI, Fomina MA. Modeling of severe hyperhomocysteinemia in rats. I.P. Pavlov Russian Medical Biological Herald. 2014;(4):42–6. (In Russ).
- Sun X, Sharma S, Fratz S, et al. Disruption of endothelial cell mitochondrial bioenergetics in lambs with increased pulmonary blood flow. Antioxidants & Redox Signaling. 2013;18(14):1739–52. doi: 10.1089/ars.2012.4806
- Prokhorova MI, Zolotova LA, Flerov MA, et al.; Prokhorova MI, editor. Metody biokhimicheskikh issledovaniy (lipidnyy i energeticheskiy obmen). Leningrad: Izdatel’stvo Leningradskogo gosudarstvennogo universiteta; 1982. (In Russ).
- Metelskaya VA, Gumanova NG. Screening as a method for determining the serum level of nitric oxide metabolites. Russian Clinical Laboratory Diagnostics. 2005;(6):15–7. (In Russ).
- Serebrov VYu, Sukhanova GA, editors. Bioenergetika kletki. Tomsk: Sibirskiy gosudarstvennyy meditsinskiy universitet; 2008. P. 79–82. (In Russ).
- Kostyuk VA, Potapovich AI, Kovaleva ZhV. A simple and sensitive method of determination of superoxide dismutase activity based on the reaction of quercetin oxidation. Voprosy Meditsinskoi Khimii. 1990;36(2):88–91. (In Russ).
- Fomina MA, Abalenikhina YuV. Okislitel’naya modifikatsiya belkov tkaney pri izmenenii sinteza oksida azota. Moscow: GEOTAR-Media; 2018. (In Russ).
- Wan L, Hubbard RW. Determination of free and total carnitine with a random-access chemistry analyzer. Clinical Chemistry. 1998;44(4):810–6.
- Zvyagina VI, Belskikh ES, Uryasev OM, et al. Influence of carnitine chloride on mitochondria of the heart of rats during the modeling of hyperhomocysteinemia. Medical News of the North Caucasus. 2018; 13(1):78–81. doi: 10.14300/mnnc.2018.13022
- Zvyagina VI, Belskikh ES. Carnitine Chloride Reduces the Severity of Experimental Hyperhomocysteinemia and Promotes Lactate Utilization by the Mitochondrial Fraction of the Rat Epididymis. Biochemistry (Moscow). Supplement Series B: Biomedical Chemistry. 2021;15:326–36. doi: 10.1134/S1990750821040119
- Zvyagina VI, Belskikh ES. Comparative Assessment of the Functional Activity of Rat Epididymal Mitochondria in Oxidative Stress Induced by Hyperhomocysteinemia and L-NAME Administration. Journal of Evolutionary Biochemistry and Physiology. 2022;58:364–79. doi: 10.1134/S0022093022020065
- Banjarnahor S, Rodionov RN, König J, et al. Transport of L-Arginine Related Cardiovascular Risk Markers. Journal of Clinical Medicine. 2020;9(12):3975. doi: 10.3390/jcm9123975
- Liu X, Hou L, Xu D, et al. Effect of asymmetric dimethylarginine (ADMA) on heart failure development. Nitric Oxide. 2016;54:73–81. doi: 10.1016/j.niox.2016.02.006
- Uryas'yev OM, Shakhanov A, Kanatbekova ZK. Nitric oxide and regulators of its synthesis in chronic obstructive pulmonary disease. I.P. Pavlov Russian Medical Biological Herald. 2021;29(3):427–34. (In Russ). doi: 10.17816/PAVLOVJ62681
- Tain Y–L, Hsu C–N. Toxic Dimethylarginines: Asymmetric Dimethylarginine (ADMA) and Symmetric Dimethylarginine (SDMA). Toxins. 2017;9(3):92. doi: 10.3390/toxins9030092
- Tain Y–L, Hsu C–N. Interplay between Oxidative Stress and Nutrient Sensing Signaling in the Developmental Origins of Cardiovascular Disease. International Journal of Molecular Sciences. 2017;18(4):841. doi: 10.3390/ijms18040841
- Fulton MD, Brown T, Zheng YG. The Biological Axis of Protein Arginine Methylation and Asymmetric Dimethylarginine. International Journal of Molecular Sciences. 2019;20(13):3322. doi: 10.3390/ijms20133322
- Robinson JW, Felber JP. A survey of the effect of other amino-acids on the absorption of L-arginine and L-lysine by the rat intestine. Gastroenterologia. 1964;101:330–8. doi: 10.1159/000202330
- Robinson JW. Interactions between neutral and dibasic amino acids for uptake by the rat intestine. European Journal of Biochemistry. 1968;7(1):78–89. doi: 10.1111/j.1432-1033.1968.tb19577.x
- Stühlinger MC, Tsao PS, Her JH, et al. Homocysteine impairs the nitric oxide synthase pathway: role of asymmetric dimethylarginine. Circulation. 2001;104(21):2569–75. doi: 10.1161/hc4601.098514
- Liang M, Wang Z, Li H, et al. L-Arginine induces antioxidant response to prevent oxidative stress via stimulation of glutathione synthesis and activation of Nrf2 pathway. Food and Chemical Toxicology. 2018;115:315–28. doi: 10.1016/j.fct.2018.03.029
- Shumaev KB, Kosmachevskaya OV, Grachev DI, et al. Possible mechanism of antioxidant action of dinitrosyl iron complexes. Biochemistry (Moscow), Supplement Series B: Biomedical Chemistry. 2021;15:313–9. doi: 10.1134/S1990750821040090
- Kosmachevskaya OV, Nasybullina EI, Shumaev KB, et al. Protective Effect of Dinitrosyl Iron Complexes Bound with Hemoglobin on Oxidative Modification by Peroxynitrite. International Journal of Molecular Sciences. 2021;22(24):13649. doi: 10.3390/ijms222413649
Supplementary files
 
				
			 
					 
						 
						 
									
 
  
  
  Email this article
			Email this article 



 Open Access
		                                Open Access Access granted
						Access granted Subscription or Fee Access
		                                							Subscription or Fee Access
		                                					









