Analysis of Causes of Sudden Death Among Russian Railway Workers
- Authors: Zhidkova E.A.1,2, Gutor E.M.1, Gurevich K.G.2,3, Makogon N.V.4, Shugushev Z.K.5, Orlov D.O.6, Dzhioyeva O.N.2,4, Drapkina O.M.2,4
-
Affiliations:
- Central Directorate of Healthcare — Branch of Joint Stock Company ‘Russian Railways’
- A. I. Yevdokimov Moscow State University of Medicine and Dentistry
- Research Institute of Healthcare Organization and Medical Management of Moscow Healthcare Department
- National Medical Research Center for Therapy and Preventive Medicine
- RZD-Medicine
- City Clinical Hospital No. 24 of Moscow Healthcare Department
- Issue: Vol 30, No 4 (2022)
- Pages: 497-506
- Section: Original study
- Submitted: 20.09.2022
- Accepted: 29.09.2022
- Published: 28.12.2022
- URL: https://journals.eco-vector.com/pavlovj/article/view/110985
- DOI: https://doi.org/10.17816/PAVLOVJ110985
- ID: 110985
Cite item
Abstract
INTRODUCTION: Health protection of railway workers of various professional groups increases the safety of railway transport, the prestige of the profession and reduces morbidity and mortality from the most common causes in this group of patients.
AIM: To analyze the risk factors of sudden death among Russian Railways workers.
MATERIALS AND METHODS: The design of the study is made according to the ‘case-control’ type. Analysis was carried out of all cases of sudden death (SD) of employees of JSCo ‘Russian Railways’ (RR) in the period from 2009 to 2021 (n = 412). The comparison group consisted of 411 employees of RR who were undergoing periodical medical examination. The groups were formed on the basis of age, employment period, gender, profession. To assess the diagnostic significance of the quantitative signs in predicting a certain outcome, the method of analysis of ROC curves was used.
RESULTS: The chances of death for workers of RR increased in case of past myocardial infarction, and also depended on the type of intervention (p < 0.001). The threshold value of the BMI index in the cut-off point, which corresponded to the highest value of Youden index, was 27.1 kg/m2. In the group of sudden deaths, there were 1.8 times more smokers and 2 times less individuals with total cholesterol level exceeding 5 mmol/l than in the comparison group (p < 0.001). A prognostic model was developed by ROC-analysis to determine the probability of mortality. The sensitivity and specificity of the model were 79.5% and 91.9%, respectively.
CONCLUSION: A prognostic model was developed to determine the probability of sudden death in Russian railway workers, with the sensitivity and specificity 79.5% and 91.9%, respectively. However, the present study did not permit to reveal predictors of sudden death specific of the workers of RR.
Keywords
Full Text
LIST OF ABBREVIATIONS
BMI — body mass index
CI — confidence interval
CVD — cardiovascular diseases
MI — myocardial infarction
PCI — percutaneous coronary intervention
OR — odds ratio
RF — risk factors
RR — Russian Railways
SD — sudden death
INTRODUCTION
Health protection of railway workers of various professional groups increases the safety of railway transport, the prestige of the profession and reduces morbidity and mortality from the most common causes in this group of patients. Besides occupational diseases associated with hazardous work-related factors, special attention is given to the problem of cardiovascular diseases (CVD) [1]. These tendencies are conditioned by a high prevalence of CVD and significant parameters of disability and mortality, both in the world and in the Russian Federation [2]. CVD also present an important problem among some groups of the railway workers because of a considerable amount of the occupational risk factors (RF) such as stress in performing professional duties, high level of responsibility, shift work, etc. [1, 2].
One of the most unfavorable complications of CVD is a sudden cardiac death. With unclear etiology of sudden death (SD), about 90% of cases appear to be connected with CVD [3]. The main causes of death of the locomotive crew workers are ‘external’ causes and CVD [4]. The analysis of RF, morbidity with CVDs and causes of SD among the locomotive crew workers has been repeatedly conducted [5]. At the same time, less attention is given in the literature to other professional groups of the railway workers.
The aim of this study was to analyze the risk factors of sudden death among the workers of the railways of the Russian Federation.
MATERIALS AND METHODS
The study was conducted according to the principles of Declaration of Helsinki and Rules of Good Clinical Practice and was approved by the inter-university Ethics Committee, Protocol No. 05-18 of 2018, May 24.
A retrospective analysis of all cases of SD of workers of ‘Russian Railways’ (RR) was performed in the period from 2009 to 2021. According to the current regulatory documentation of RR, the term ‘sudden death’ is understood as the occurrence of fatal outcome not only during the trip, but also after the trip. The main criterion is passage of not more than 24 hours after the last medical examination and getting admission to operation of the locomotive.
We considered cases of SD among the workers of RR after the pre-trip medical examination within 24 preceding hours. Deaths that occurred in the period more than 24 hours after the pre-trip medical examination, were not taken into account.
A total of 412 cases of SD were analyzed (continuous sampling, group 1). The comparison group (group 2) consisted of 411 employees of RR who passed a medical expert commission in 2011. A brief characteristics of the employees included in the study is given in Table 1. The average age of employees in the study groups was 49 (43–54) years. No additional interventions were performed on the study participants — the signing of Informed Consent was not required.
Table 1. Characteristics of Workers of Russian Railways Included in the Study
Parameter | Category | n (%) |
Group | 1 (died) | 412 (50.1) |
2 (comparison group) | 411 (49.9) | |
Gender | female gender | 48 (5.8) |
male gender | 775 (94.2) | |
Occupation | other workers | 580 (70.5) |
worker of locomotive screw | 243 (29.5) | |
Myocardial infarction and/or percutaneous coronary intervention in history | no myocardial infarction | 320 (38.9) |
past myocardial infarction | 175 (21.3) | |
no information | 189 (23.0) | |
percutaneous coronary intervention with stenting without myocardial infarction | 39 (4.7) | |
percutaneous coronary intervention with stenting with myocardial infarction | 100 (12.2) | |
Smoking | non-smokers | 354 (43.0) |
smokers | 448 (54.4) | |
no information | 21 (2.6) | |
Total cholesterol | below 5 mmol/l | 340 (41.3) |
5 mmol/l and more | 228 (27.7) | |
no information | 255 (31.0) | |
Body mass index | no information | 25 (3.0) |
normal body mass index | 184 (22.4) | |
excessive weight | 351 (42.6) | |
I degree obesity | 190 (23.1) | |
II degree obesity | 58 (7.0) | |
III degree obesity | 10 (1.2) | |
deficit of weight | 5 (0.6) |
In the analysis, the following medical documents were used:
- forensic medical examination report;
- outpatient medical record (reсord form 025/у-04 of Ministry of Health and Social Development of the Russian Federation);
- individual record of pre-trip or pre-shift medical examinations of workers (record form NU-3 of RR);
- personal health record (record form AKU-23 of RR);
- check-list of regular medical examinations (registration form 030/у of the Ministry of Health and Social Development of the Russian Federation).
From the medical documentation, the cause of death according to ICD-10 was written out for group 1 individuals, and potential SD RF which were used for analysis:
- BMI (based on the results of determination of height and weight on the last periodical medical examination) calculated by the formula: BMI = weight (kg)/height2 (m2)
- total cholesterol level of blood serum;
- myocardial infarction (MI) and percutaneous coronary intervention (PCI) in history.
Statistical processing of the results was carried out using StatTech v. 2.1.0 software package (Stattech LLC, Russia) and Office Excel 2016 (Microsoft, USA). Quantitative parameters were evaluated for correspondence with the normal distribution using Shapiro–Wilk test (with n less than 50) or Kolmogorov–Smirnov test (with n more than 50). In the absence of normal distribution, quantitative data were described using the median (Me) and the lower and upper quartiles (Q1–Q3). Categorical data were described with indication of absolute values (n) and fractions (%). The comparison of the two groups by a quantitative parameter, the distribution of which differed from the normal one, was performed using Mann–Whitney U-test. The differences were considered statistically significant at p < 0.05. The comparison of fractions in the analysis of four-field conjugacy tables was performed using Pearson chi-square test (with values of the expected phenomenon more than 10). To assess the diagnostic significance of quantitative signs in predicting a certain outcome, the method of ROC-curve analysis was used. The separating value of the quantitative characteristics in the cut-off point was determined by the highest value of Yuden index. A predictive model of the probability for a certain outcome was constructed using the logistic regression method. A measure of certainty indicating the part of the variance that can be explained by logistic regression was the Nagelkerke coefficient R2.
RESULTS
In the course of study it was found that the risk of SD in men was 1.003 times lower than in women, however, odds ratio (OR) did not show statistical significance (OR = 0.997; 95% confidence interval (CI) 0.557–1.787). In evaluation of the influence of age on the risk of SD among the railway workers, no statistically significant differences between groups 1 and 2 were found either (p = 0.251). The risk of SD in the group of workers of locomotive crews was 1.304 times lower compared to the group of other workers, but with no statistical significance (OR = 0767; 95% CI 0.568–1.035). MI in history reliably increased the probability for SD. Thus, MI was 4.5 times more common in group 1. However, there were twice more cases of stenting in group 2 (p < 0. 001, Table 2).
Table 2. Comparative Characteristics of Analyzed Groups of Railway Workers by Existence of Myocardial infarction and Percutaneous Coronary Intervention in History, n (%)
Category | Myocardial infarction | Stenting of Coronary Arteries | |||
presence | absence | no information | without myocardial infarction | with myocardial infarction | |
1 | 2 | 3 | 4 | 5 | |
Group 1 (sudden death) | 79 (27.7) | 143 (81.7), р1-2 < 0.001 | 189 (100.0), р2-3 < 0.001, р1-3 < 0.001 | 0, р2-4< 0.001 | 0, р2-5< 0.001 |
Group 2 (comparison group) | 241 (75.3) | 32 (18.3) | 0 | 39 (100.0) | 100 (100.0) |
In comparison of groups 1 and 2 by the fact of smoking, statistically significant differences were obtained (Table 3): in group 1 the amount of smokers was 1.8 times that in group 2 (p < 0.001).
Table 3. Comparative Characteristics of Smoking in Analyzed Groups of Railway Workers, n (%)
Category | Smoking | ||
non-smokers | smokers | no information | |
1 | 2 | 3 | |
Group 1 (sudden death) | 102 (28.8) | 289 (64.5), р1-2 < 0.001 | 20 (95.2), р2-3 < 0.001 |
Group 2 (comparison group) | 252 (71.2) | 159 (35.5) | 1 (4.8) |
Also, group 1 patients were characterized by significantly higher BMI values than group 2 patients (p < 0.001, Figure 1). A ROC curve of the dependence of the probability of SD on the BMI index was constructed. The area under the ROC curve was 0.594 ± 0.020 with 95% CI: 0.555–0.632. The resulting model was statistically significant (p < 0.001). The threshold value of the BMI index in the cut-off point, which corresponded to the highest value of Yuden index, was 27.1 kg/m2. The possibility of dying was predicted at BMI value below this level. The sensitivity and specificity of the model were 54.7% and 62.6%, respectively.
Fig. 1. Body mass index (Me (Q1–Q3)) in groups 1 (sudden death) and 2 (comparison group).
Note: * — statistically significant differences relative to group 2, p < 0.001.
Group 1 patients were characterized by a lower total cholesterol level of blood serum than group 2 patients (p < 0.05, Figure 2). In evaluation of the probability of dying depending on the level of the total cholesterol using ROC-analysis, the area under the ROC-curve was 0.597 ± 0.020 with 95% CI: 0.558–0.635. The obtained model was statistically significant (p < 0.001). The threshold value of the ‘total cholesterol’ parameter in the cut-off point, to which the highest value of the Yuden index corresponded, was 4.66 mmol/l. The probability of death was predicted at the value of the ‘total cholesterol’ parameter equal to or exceeding this value. The sensitivity and specificity of this model were 65.9% and 52.7%, respectively. In comparison of the parameter between groups 1 and 2 depending on the threshold value of total cholesterol, statistically significant differences were found (p < 0.001, Table 4). In group 2, there were more individuals with the total cholesterol level above 5 mmol/l than in group 1.
Fig. 2. Total blood serum cholesterol (Me (Q1–Q3)) in groups 1 (sudden death) and 2 (comparison group).
Note: * — statistically significant differences relative to group 2, p < 0.001.
Table 4. Number of Individuals with Different Level of Total Blood Serum Cholesterol in Analyzed Groups of Railway Workers, n (%)
Category | Total Cholesterol Level | ||
< 5 mmol/l | ≥ 5 mmol/l | no information | |
1 | 2 | 3 | |
Group 1 | 73 (21.5) | 85 (37.3), р1-2 < 0.001 | 253 (99.2), р1-3 < 0.001, р2-3 < 0.001 |
Group 2 | 267 (78.5) | 143 (62.7) | 2 (0.8) |
In the next stage of study, a prognostic model was developed to determine the probability of difference between groups and 2 depending on the following parameters: MI in history, PCI in history, smoking, BMI, level of total cholesterol of blood serum.
The method of binary logistic regression was used (n = 482). The observed dependence is described by the equation:
P = 1 / (1 + e-z) × 100%,
z = -3.245 + 3.425XMI – 8.941XPCI without MI – 10.403XPCI with MI + + 1.266Xsmoker – 0.099XBMI + 0.523Xtotal cholesterol
where P — probability of SD, XMI: 0 — no past MI, 1 — past MI, XPCI with MI: 0 — no past MI, 1 — PCI with stenting without MI, XPCI with MI: 0 — no stenting was performed in MI, 1 — PCI with MI, Xsmoking: 0 — non-smoker, 1 — smoker, XBMI — BMI, Xtotal cholesterol — total cholesterol of blood serum.
The obtained regression model is statistically significant (p < 0.001). On the basis of the value of Nagelkerke coefficient of determination, the model explains 59.8% of the observed dispersion of the probability of assigning an individual to group 1 or 2.
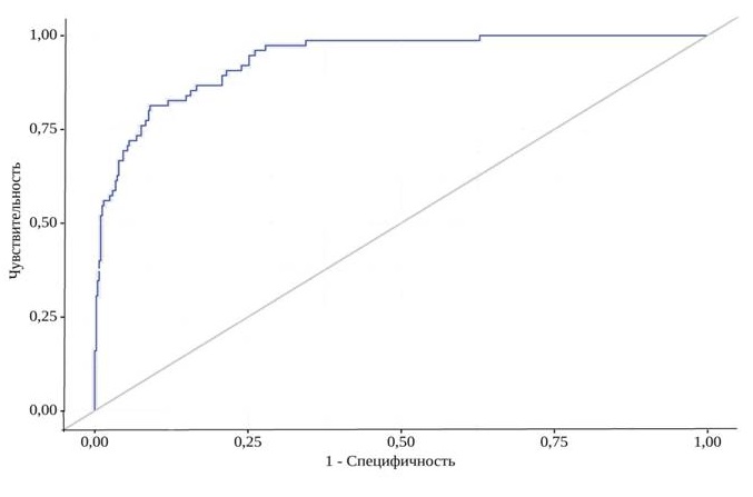
When analyzing the dependence of the probability of death on the value of the logistic function P using ROC-analysis, the curve shown in Figure 3 was obtained. The area under the ROC curve was 0.936 ± 0.020 with 95% CI: 0.896–0.975. The resulting model was statistically significant (p < 0.001). The threshold value of the logistic function in the cut-off point to which the highest Yuden index corresponded was 0.244. The probability of death was predicted at the value of the logistic function P equal to or exceeding this value. The sensitivity and specificity of the model were 79.5% and 91.9%, respectively.
Fig. 3. ROC curve characterizing the dependence of the probability of the ‘patient alive-the patient died’ parameter on the value of logistic function P.
DISCUSSION
Railway transport in the Russian Federation is one of the largest railway complexes in the world [6]. The cost of cargo transportation by railway is usually lower than by other kinds of transport [7]. A study of the health condition of the railway workers, and also of causes of sudden unfavorable outcomes in individuals of the working age is an important and urgent task.
First of all, it should be emphasized that the term ‘sudden death’ is generally accepted in clinical practice [8]. An urgent problem is a study of causes of these situations in the workers during a work shift [9]. According to the current normative documentation of RR, the term ‘sudden death’ is understood as death not only during the shift, but also after it. The main criterion is passage of not more than 24 hours after the last medical examination and getting the admission to work [5].
The fact of conduction of the pre-trip or pre-shift medical examination in this category of patients shows the need to develop measures that improve the quality of these examinations and minimize the cases of SD in patients working in the railway [9]. Our results agree with the literature data that a past MI increases the probability of SD. This may be due to the anatomical peculiarities of the coronary arteries [11], development of atherosclerosis of these vessels [12], and reduction of the ejection fraction of the left ventricle after MI [13].
Smoking also increases the risk of SD, which agrees with the literature data [14]. Frustration of the function of lungs and obstruction of the airways (due to smoking as well) are associated with enhanced risk of a SD in general population.
An increase in the level of total cholesterol in our work increased the risk of SD. Unfortunately, the previous regulatory documents of RR suggested the determination of total cholesterol, and not of its fractions by medical expert commissions (determination of lipid fractions has been introduced only since 2021). Earlier, triglycerides and lipoproteins were determined only in case of high cholesterol values. Meanwhile, disorders in the fractional composition without increase in the total content can also be a predictor of SD [16].
In our study, reduction of BMI diminished the risk of SD, which contradicts the literature data [17]. In particular, it has been shown in the systematic review that individuals with metabolic syndrome are at a high risk of sudden cardiac death. They are under 70% higher risk of SD even without coronary heart disease in history [18]. To note, in the given study we did not take into account the existence of metabolic syndrome, but only calculated BMI. Besides, it should be borne in mind that the studied population was partially restricted: according to the current legislation, individuals with BMI exceeding 40 kg/m2, are not admitted to the work in trains. These facts could play a role in discrepancy of our data and the literature.
We obtained a predictive function P with 80% sensitivity, which is higher than certain studied parameters. Earlier, we showed that the calculation of risks on the SCORE scale does not have predictive value in relation to railway transport workers [5]. Thus, further investigation of this problem is required for prevention of SD in the workplace with higher effectiveness.
It should be noted that the present study did not permit to identify predictors of SD specific for the workers of OOO Russian Railways, all the identified risk factors were described for the general population in one way or another [8]. According to the literature, heart rhythm disorders detected, for example, in Holter monitoring, are also predictors of SD [19–20] which we have not analyzed. The legislative base was changed: starting from 2021, all workers of the train crews obligatorily undergo 24-hour record of ECG both in hiring and on periodical medical examination by medical expert commissions. It is hoped that this will permit to reduce SD among the railway workers in future.
The given study surely had limitations associated with its retrospective and not prospective character. Accordingly, this permitted to study the influence of a limited number of RF of SD.
CONCLUSION
A sudden death of the able-bodied population is always an important not only medical, but also a social problem. On a sample of the railway workers, it was shown that the main cause of sudden death is MI or PCI in history. We studied such risk factors of cardio-vascular diseases as smoking, high cholesterol level and obesity.
A prognostic model for determination of the probability for a sudden death in railway workers of Russia has been developed; sensitivity and specificity of the model was 79.5% and 91.9%, respectively. However, the present study did not permit to identify risk factors, specific for the railway workers.
ADDITIONAL INFORMATION
Funding. This article was not supported by any external sources of funding.
Conflict of interests. The authors declare no conflicts of interests.
Contribution of the authors: E. A. Zhidkova, E. M. Gutor, N. V. Makogon — collection and analysis of primary material; Z. Kh. Shugushev, O. N. Dzhioyeva — clinical interpretation of the study results; D. O. Orlov — statistical analysis; K. G. Gurevich — writing an article; O. M. Drapkina — research design. All authors made a substantial contribution to the conception of the work, acquisition, analysis, interpretation of data for the work, drafting and revising the work, final approval of the version to be published and agree to be accountable for all aspects of the work.
About the authors
Elena A. Zhidkova
Central Directorate of Healthcare — Branch of Joint Stock Company ‘Russian Railways’; A. I. Yevdokimov Moscow State University of Medicine and Dentistry
Email: genmedc@gmail.com
ORCID iD: 0000-0002-6831-9486
SPIN-code: 5915-7535
Cand. Sci. (Med.)
Russian Federation, Moscow; MoscowEkaterina M. Gutor
Central Directorate of Healthcare — Branch of Joint Stock Company ‘Russian Railways’
Email: gutorem23@mail.ru
ORCID iD: 0000-0001-5725-5918
Russian Federation, Moscow
Konstantin G. Gurevich
A. I. Yevdokimov Moscow State University of Medicine and Dentistry; Research Institute of Healthcare Organization and Medical Management of Moscow Healthcare Department
Email: kgurevich@mail.ru
ORCID iD: 0000-0002-7603-6064
SPIN-code: 4344-3045
MD, Dr. Sci. (Med.), Professor
Russian Federation, Moscow; MoscowNikita V. Makogon
National Medical Research Center for Therapy and Preventive Medicine
Email: nikimakogon@gmail.ru
ORCID iD: 0000-0003-3288-7315
Russian Federation, Moscow
Zaur Kh. Shugushev
RZD-Medicine
Email: Zaur937@mail.ru
ORCID iD: 0000-0002-5335-5062
SPIN-code: 3390-4559
MD, Dr. Sci. (Med.), Professor
Russian Federation, MoscowDenis O. Orlov
City Clinical Hospital No. 24 of Moscow Healthcare Department
Email: rizhiy17@mail.ru
ORCID iD: 0000-0002-0994-8880
Russian Federation, Moscow
Ol’ga N. Dzhioyeva
A. I. Yevdokimov Moscow State University of Medicine and Dentistry; National Medical Research Center for Therapy and Preventive Medicine
Email: dzhioevaon@gmail.com
ORCID iD: 0000-0002-5384-3795
SPIN-code: 1803-5454
MD, Dr. Sci. (Med.), Professor
Russian Federation, Moscow; MoscowOksana M. Drapkina
A. I. Yevdokimov Moscow State University of Medicine and Dentistry; National Medical Research Center for Therapy and Preventive Medicine
Author for correspondence.
Email: drapkina@bk.ru
ORCID iD: 0000-0002-4453-8430
SPIN-code: 4456-1297
MD, Dr. Sci. (Med.), Professor
Russian Federation, Moscow; MoscowReferences
- Gutor EM, Zhidkova EA, Gurevich KG. Risk factors for developing diseases in locomotive crew workers. Russian Journal of Occupational Health and Industrial Ecology. 2022;61(1):43–52. (In Russ). doi: 10.31089/1026-9428-2022-62-1-43-52
- Zhidkova EA, Gurevich KG, Kontsevaya AV, et al. Specifics of corporate health programs for railway workers. Cardiovascular Therapy and Prevention. 2021;20(4):2900. (In Russ). doi: 10.15829/1728-8800-2021-2900
- Wikland B. Medically unattended fatal cases of ischaemic heart disease in a defined population. Acta Medica Scandinavica. Supplementum. 1971;524:3–78.
- Kudrin VA, Kraevoj SA. Preventive medical questions of premature death rate on the railway transport. Actual Problems of Transport Medicine. 2008;(1):110–3. (In Russ).
- Kazidaeva EN, Sergunina I.N., Venevtseva Yu.L. Dynamics of cardiovascular risk factors in railway crews. Cardiovascular Therapy and Prevention. 2018;17(3):53–8. (In Russ). doi: 10.15829/1728-8800-2018-3-53-58
- Shavrukov YuM. Development of urban rail transport. Science & Education. Bauman Moscow State Technical University. 2014;(8):25–47. Available at: http://engineering-science.ru/doc/727439.html. Accessed: 2022 September 20. (In Russ).
- Vybranets AV. Bor’ba s avtomobilizatsiy s pomoshch’yu polozhitel’nykh kharakteristik legkogo rel’sovogo transporta. Studencheskiy Vestnik. 2020;(22, Pt 7):82–4. Available at: https://www.internauka.org/journal/stud/herald/120. Accessed: 2022 September 20. (In Russ).
- Shamloo AS, Dilk P, Dagres N. Prevention of sudden cardiac death. Herz. 2022;47(2):135–40. doi: 10.1007/s00059-022-05106-w
- Farioli A, Christophi CA, Quarta CC, et al. Incidence of sudden cardiac death in a young active population. Journal of the American Heart Association. 2015;4(6):e001818. doi: 10.1161/JAHA.115.001818
- Maksimov IB, Fesenko MA, Sinopalnikov VI, et al. Telemetric control in assessing the working capacity of transport industry employees. Russian Journal of Occupational Health and Industrial Ecology. 2021;61(3):191–6. (In Russ). doi: 10.31089/1026-9428-2021-61-3-191-196
- Paratz ED, van Heusden A, Zentner D, et al. Prevalence of Coronary Artery Anomalies in Young and Middle-Aged Sudden Cardiac Death Victims (from a Prospective State-Wide Registry). The American Journal of Cardiology. 2022;175:127–30. doi: 10.1016/j.amjcard.2022.03.055
- Vähätalo J, Holmström L, Pakanen L, et al. Coronary Artery Disease as the Cause of Sudden Cardiac Death Among Victims < 50 Years of Age. The American Journal of Cardiology. 2021;147:33–8. doi: 10.1016/j.amjcard.2021.02.012
- Hanada K, Sasaki S, Seno M, et al. Reduced Left Ventricular Ejection Fraction Is a Risk for Sudden Cardiac Death in the Early Period After Hospital Discharge in Patients With Acute Myocardial Infarction. Circulation Journal. 2022;86(10):1490–8. doi: 10.1253/circj.cj-21-0999
- Aune D, Schlesinger S, Norat T, et al. Tobacco smoking and the risk of sudden cardiac death: a systematic review and meta-analysis of prospective studies. European Journal of Epidemiology. 2018;33(6):509–21. doi: 10.1007/s10654-017-0351-y
- Cheng Y–J, Chen Z–G, Yao F–J, et al. Airflow obstruction, impaired lung function and risk of sudden cardiac death: a prospective cohort study. Thorax. 2022;77(7):652–62. doi: 10.1136/thoraxjnl-2020-215632
- Kunutsor SK, Zaccardi F, Karppi J, et al. Is High Serum LDL/HDL Cholesterol Ratio an Emerging Risk Factor for Sudden Cardiac Death? Findings from the KIHD Study. Journal of Atherosclerosis and Thrombosis. 2017;24(6):600–8. doi: 10.5551/jat.37184
- Remme CA. Sudden Cardiac Death in Diabetes and Obesity: Mechanisms and Therapeutic Strategies. The Canadian Journal of Cardiology. 2022;38(4):418–26. doi: 10.1016/j.cjca.2022.01.001
- Tirandi A, Carbone F, Montecucco F, et al. The role of metabolic syndrome in sudden cardiac death risk: Recent evidence and future directions. European Journal of Clinical Investigation. 2022;52(2):e13693. doi: 10.1111/eci.13693
- Kochi AN, Vettor G, Dessanai MA, et al. Sudden Cardiac Death in Athletes: From the Basics to the Practical Work-Up. Medicina (Kaunas). 2021;57(2):168. doi: 10.3390/medicina57020168
- Verrier RL, Kumar K, Nearing BD. Basis for sudden cardiac death prediction by T-wave alternans from an integrative physiology perspective. Heart Rhythm. 2009;6(3):416–22. doi: 10.1016/j.hrthm.2008.11.019
Supplementary files









