Effects of metabotropic glutamate receptor antagonists on a rat model of maximum electroshock
- Authors: Bashkatova V.G.1, Sudakov S.K.1
-
Affiliations:
- P.K. Anokhin Scientific Research Institute of Normal Physiology
- Issue: Vol 29, No 2 (2021)
- Pages: 193-200
- Section: Original study
- Submitted: 10.09.2020
- Accepted: 27.01.2021
- Published: 22.07.2021
- URL: https://journals.eco-vector.com/pavlovj/article/view/43913
- DOI: https://doi.org/10.17816/PAVLOVJ43913
- ID: 43913
Cite item
Abstract
AIM: This study aimed to investigate the effect of metabotropic glutamate (mGlu) receptor antagonists on the development of seizure caused by maximum electric shock (MES) and the content of lipid peroxidation (LPO) products in the brain of rats.
MATERIALS AND METHODS: Experiments were carried out on male Wistar rats (n = 87) with a mass of 180–210 g. In this work, MES was administered. Selective antagonists of I and V subtype mGlu receptors were administered 1 h before MES was administered. Control rats were injected an equivalent amount of saline. The intensity of LPO processes was assessed in terms of the level of secondary products reacting with thiobarbituric acid via a spectrophotometric method.
RESULTS: MES led to the development of pronounced clonic–tonic seizures and increased the level of LPO products in the cerebral cortex of rats by more than threefold. A selective antagonist of subtype V mGlu receptors almost completely stopped the tonic phase of rat seizures and largely prevented the intensification of LPO processes caused by MES. Tonic convulsions were observed in 44% of the experimental animals after the administration of a selective subtype I mGlu receptor antagonist. This antagonist also partially reduced the content of LPO products caused by the effect of MES.
CONCLUSION: Thus, mGlu receptors are involved in the development of MES-induced seizures in rats. The most pronounced weakening of convulsive manifestations and the prevention of an increase in the level of LPO products caused by MES were observed in the block of subtype V mGlu receptors. The obtained data confirmed the possibility of using subtype V metabotropic receptor antagonists as anticonvulsants for the treatment of epilepsy with generalized convulsive seizures.
Full Text
Epilepsy and seizure disorders are among the most common and severe diseases of the central nervous system (CNS). According to the WHO, more than 50 million patients with epilepsy are registered worldwide [1]. Insufficient efficacy of existing anticonvulsant drugs, which also have numerous side effects, makes a detailed study of the pathogenetic mechanisms of the disease urgently [2, 3].
To date, excitatory neurotransmitter amino acids aspartate and glutamate undoubtedly participate in the mechanisms of the onset and development of epilepsy and convulsive states [4]. Thus, a study showed that in model epilepsy of various natures, agonists of glutamate ionotropic receptors are convulsants, whereas antagonists are anticonvulsants [5]. In the recent decades, studies aimed at elucidating the role of metabotropic glutamate (mGlu) receptors in neurotoxic brain damage, including convulsive states, have acquired particular relevance [6, 7]. Moreover, mGlu receptors act presynaptically and can contribute to long-term changes in synaptic function [4]. Many studies have revealed the anticonvulsant effect of mGlu receptor modulators in experimental convulsive conditions caused by administration of various convulsive agents [7, 8].
However, to the best of our knowledge, we could find only a few studies that have investigated the effects of mGlu receptors of various subtypes in seizure models caused by maximum electroshock (MES) [9, 10]. MES-induced seizures are commonly regarded as one of the most adequate experimental models of epilepsy. Since no experimental model has absolutely adequately reflected the pathogenesis and development of epilepsy observed in a clinic, the generally accepted approach is the use of seizure models of different genesis. The MES model is also widely used for screening new substances with potential seizure activity [11]. Substances such as phenytoin and phenobarbital exhibited high anticonvulsant activity in this test [11]. These drugs have the ability to selectively prevent the phase of tonic extension of a seizure that occurs in response to supermaximal electrical stimulation with 6 times threshold current, which is 150 mA for rats with a stimulation duration of 0.2 s [11]. Ionotropic receptor antagonists (disocilpine, NBQX, LY293558) also provided significant protection against the tonic phase of seizure in the MES model [12]. However, the use of all these substances was accompanied by a number of negative side effects [7].
The connection between the neurotransmitter function of glutamate and the activation of free radical processes served as the basis for a detailed study of the possible role of these processes in the pathophysiological mechanisms of conditions such as convulsive disorders and cerebral ischemia [13, 14]. Previous studies have found that modulation of not only N-methyl-D-aspartate, but also of mGlu receptors, is accompanied by pronounced oxidative stress, including intensification of lipid peroxidation (LPO) processes in the brain of experimental animals [15]. However, the possible interrelation of mGlu receptors and LPO processes in the mechanisms of seizure states caused by the effect of MES remains practically unstudied.
This study aimed to examine the effect of mGlu receptor antagonists on the development of seizure induced by MES exposure as well as on the content of LPO products in the rat brain.
MATERIALS AND METHODS
Experiments were carried out on Wistar male rats weighing 180–210 g. Experiments were performed in accordance with the requirements of the “Rules for carrying out work using experimental animals” and approved at a meeting of the ethical commission of P.K. Anokhin Scientific Research Institute of Normal Physiology (Protocol No 1 dated September 03, 2005). The study also met the requirements of the World Society for the Protection of Animals and the European Convention for the Protection of Experimental Animals. Animals were kept in cages, with four rats each, and provided free access to water and standard combined feed. To avoid the influence of daily rhythms on the behavioral parameters of animals, all experiments were carried out between 9 and 14 h at a laboratory room temperature of 22°C ± 10°C.
The MES technique (current strength 150 mA, duration of electric stimulation 0.25 s) was used [9]. The following parameters of a seizure were recorded: appearance of clonic seizures and a complete tonic extension seizure with rigidity of the hind limbs (tonic extension phase).
The following mGlu receptor modulators were used in the study: a selective antagonist of subtype V mGlu receptors (mGlu5) – 6-methyl-2-(phenylethyl) pyridine hydrochloride (MPEP; Merz, Germany) and a selective antagonist of subtype I mGlu receptors (mGlu1) (R)-N-cycloheptyl-6–({[(tetrahydro-2-furyl) methyl] amino} methyl) thieno [2, 3-d] pyrimidin-4-ylamine (YM-230888; R&D system Tocris, Minneapolis, MN, USA). mGlu receptor modulators and saline were administered to rats once intraperitoneally (i/p) 1 h before the MES procedure. Animals that were not exposed to MES received single injections of the test substances (i/p) 1 h before decapitation.
The animals were divided into six experimental groups:
group 1 (control, n = 12) – rats which were injected only saline (MEDPRO, Russia) at 1 ml per 200 g of animal’s weight
group 2 (n = 15) – rats were injected saline 1 h before the MES procedure
group 3 (n = 14) – rats received only a selective antagonist of mGlu5 receptors MPEP at a dose of 20 mg/kg
group 4 (n = 14) – rats were injected a selective antagonist of mGlu1 receptor YM-230888 at a dose of 30 mg/kg
group 5 (n = 16) – rats were injected MPEP (20 mg/kg) 1 h before MES exposure
group 6 (n = 16) – rats were injected YM-230888 (30 mg/kg) 1 h before MES exposure
YM-230888 was dispersed with 0.1 ml of 10% polysorbate tween 80 (Pan Reac Appli Chem, Darmstadt, Germany), and the required volume was reached with addition of saline. MTEP was dissolved in saline. Doses of drugs were selected based on literature data and results of our previous studies [16, 17].
To determine the content of secondary LPO products in the brain tissue, animals were decapitated under mild ether anesthesia 1 h after administration of the test substances in groups that were not exposed to MES (groups 1, 2, and 3) or at the height of the development of an MES-induced seizure (groups 4, 5, and 6). After decapitation, the brain was removed and placed on ice, and the frontal cortex was rapidly isolated. Tissue samples for subsequent biochemical studies were stored in liquid nitrogen. The intensity of LPO processes was assessed by the level of products reacting with thiobarbituric acid (TBA) using the generally accepted spectrophotometric method [18]. Ten-fold of the amount of the cooled saline was added to the weighed brain tissue sample, after which the obtained substance was homogenized in a glass Teflon homogenizer (0.2 mm) at a pestle rotation speed of 3000 rpm. From the resulting suspension, 200 μl of the homogenate was taken and placed in a test tube with a friction-fitted lid. The control sample contained 200 μl of saline. To each sample, 0.2 ml of 45% sodium dodecyl sulfate solution (Merck, Germany), 1.5 ml of 20% acetic acid (Neva Reaktiv, Russia), and 8% TBA solution (Sigma-Aldrich, Steinheim, Germany) were successively added, and distilled water was added so that the volume of each sample was 4 ml. The mixture was incubated in water bath at 95°С for 60 min, after which the samples were cooled and centrifuged for 10 min at 4000 g in Armed CH90-1S centrifuge. The optical density of the obtained samples was determined on Aminco DW 2000 spectrophotometer (USA) at 532-nm wavelength. The absorbance of the samples was interpolated to the standard concentration curves of TBA-reacting products (TBARP, products reacting with 2-TBA, nmol/g of tissue).
The results were processed using the Statistica 10.0 software packages (Stat Soft Inc., USA), Excel (Microsoft Office 2019, USA), and Bio-Plex Manager software (version 4.1). Data obtained were expressed as mean ± standard error of the mean. Because group data samples did not follow a normal distribution, for comparative statistical analysis, the nonparametric Mann–Whitney U-test was used for independent groups. Values p < 0.05 were considered significant.
RESULTS AND DISCUSSION
In this study, we found that the MES procedure (current strength, 150 mA; duration of electrical stimulation, 0.2 sec) led to the development of pronounced convulsive clonic–tonic seizures in 100% of animals, and 93% of the rats had a phase of tonic extension of the hind limbs. Administration of mGlu receptor antagonists MPEP (20 mg/kg, i/p) or YM-230888 (30 mg/kg, i/p) without MES effect practically did not show convulsive manifestations in rats (Table 1). A selective antagonist of mGlu5 receptors MPEP at a dose of 20 mg/kg administered 1 h before the MES procedure almost completely stopped the tonic phase of seizures. Thus, when exposed to MES, the phase of tonic extension was registered only in 12% of the animals of this group, compared with 93% of rats receiving saline (p < 0.01, Table 1). MPEP given at the indicated dose before the MES procedure also led to a pronounced reduction of the number of animals in which clonic seizures were noted (p < 0.05, Table 1). On the MES model with the introduction of a selective mGlu1 receptor antagonist YM-230888 at a dose of 30 mg/kg, tonic convulsions were observed in 44% of experimental animals versus 93% in animals that were injected with saline (p < 0.05, Table 1). With this, inhibition of mGlu1 receptors also led to a reliable reduction of the number of animals in which a clonic component of a convulsive seizure was noted (p < 0.05, Table 1).
Table 1. Effect of Metabotropic Glutamate Receptor Antagonists on the Development of Seizures in Wistar Rats Induced by maximum electroshock
Animal groups | Group number | Total, n | Clonic seizures | Tonic convulsions | ||
n | % | n | % | |||
Control 0.9% NaCl | 1 | 12 | 0 | 0 | 0 | 0 |
0.9% NaCl + maximum electroshock | 2 | 15 | 15*** | 100 | 14** | 93 |
MPEP 20 mg/kg | 3 | 14 | 0 | 0 | 0 | 0 |
YM-230888 30 mg/kg | 4 | 14 | 1 | 7 | 0 | 0 |
MPEP 20 mg/kg + maximum electroshock | 5 | 16 | 4*,# | 25 | 2*,## | 12 |
YM-230888 30 mg/kg + maximum electroshock | 6 | 16 | 10*,## | 63 | 7*,# | 44 |
Notes: n, number of animals in the group; * difference in comparison with the control group (*p < 0.05, ** p < 0.01, *** p < 0.001); # difference compared with the MES group (# p < 0.05, ## p < 0.01, *** ### p < 0.001)
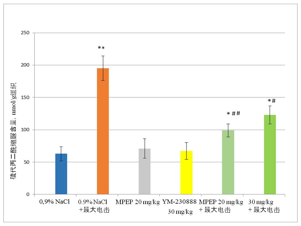
When the intensity of free radical processes was assessed, the MES procedure was accompanied by a more than threefold increase in the concentration of LPO products in the cerebral cortex of rats than that in the control group of animals (195 ± 19 nmol/g and 63 ± 11 nmol/g, respectively, p < 0.001). Administration of mGlu receptor antagonists (MPEP, 20 μ/kg and YM-230888, 10 mg/kg) in the group without MES did not cause significant changes in the level of TBARP in the cerebral cortex of rats compared with that in the control group. Administration of MPEP 1 h before the seizure agent significantly, but not completely, prevented the increase in the content of LPO products caused by MES (Figure 1, p < 0.01). The selective antagonist of mGlu1 receptors YM-230888 also partially reduced the intensification of LPO processes caused by the effect of MES (Figure 1, p < 0.05).
Fig. 1. Effect of metabotropic glutamate receptor antagonists on the content of lipid peroxidation products in the cerebral cortex of rats in the maximum electroshock model.
Notes: * compared with the control group, # compared with the maximum electroshock group (* and # p < 0.05; ** and ## p < 0.01).
The results of the experiments established that mGluR1 and mGluR5 are involved in the mechanisms of seizures caused by the MES procedure. Currently, the development of epilepsy and seizure disorders is undoubtedly based on an imbalance between excitatory and inhibitory neurotransmissions [4]. However, possible relationship between LPO processes, and modulation of mGlu receptors on a MES-induced seizure model found that the MPEP mGlu5 receptor antagonist almost completely suppressed the development of tonic extension and, to a large extent, prevented the intensification of LPO processes [19]. The mGlu1 receptor antagonist YM-230888 under the conditions of this model also, albeit to a lesser extent, prevented the development of tonic seizures as well as increased the production of LPO products in the rat cerebral cortex. The results indicate the inhibitory effect of mGlu receptor antagonists on the intensification of LPO processes in the brain of rats. A study presented on the anticonvulsant activity of drugs with an antioxidant mechanism of action, such as Mexidol [20] and melatonin [14]. Based on our results and literature data, we can assume that a decrease in the activity of LPO processes is a necessary link in the mechanisms of action of drugs with anticonvulsant activity.
CONCLUSION
Thus, mGlu receptors (mGluR1 and mGluR5) are involved in the mechanisms of the development of seizures in rats caused by maximum electroshock. In addition, the most pronounced weakening of convulsive manifestations in the maximum electroshock model was observed with blocking of mGlu5 receptors, whereas inhibition of mGlu1 receptors was less effective. Moreover, administration of antagonists of mGlu5 and mGlu1 receptors partially prevented increase in the level of lipid peroxidation products caused by the effect of maximum electroshock on the cerebral cortex of rats.
Data obtained confirm the possibility of using subtype V metabotropic receptor antagonists as potential antiepileptic drugs in generalized convulsive seizures.
ADDITIONALLY
Financing of study. Budget of P.K. Anokhin Scientific Research Institute of Normal Physiology.
Conflict of interests. The authors declare no actual and potential conflict of interests which should be stated in connection with publication of the article.
Participation of authors. V.G. Bashkatova — concept and design of the study, acquisition and processing of the material, writing the text, S.K. Sudakov — design of the study, editing.
About the authors
Valentina G. Bashkatova
P.K. Anokhin Scientific Research Institute of Normal Physiology
Author for correspondence.
Email: v.bashkatova@nphys.ru
ORCID iD: 0000-0001-6632-5973
SPIN-code: 7383-8483
MD, Dr.Sci.(Biol.), Leading Researcher of the Reinforcements Physiology Laboratory
Russian Federation, MoscowSergey K. Sudakov
P.K. Anokhin Scientific Research Institute of Normal Physiology
Email: s-sudakov@nphys.ru
ORCID iD: 0000-0002-9485-3439
SPIN-code: 1127-4090
ResearcherId: D-1647-2013
MD, Dr.Sci.(Med.), Professor, Director, Head of the Reinforcements Physiology Laboratory
Russian Federation, MoscowReferences
- Khan AU, Akram M, Daniyal M, et al. Awareness and current knowledge of epilepsy. Metabolic Brain Disease. 2020;35(1):45-63. doi: 10.1007/s11011-019-00494-1
- Amengual-Gual M, Sánchez Fernández I, Wainwright MS. Novel drugs and early polypharmacotherapy in status epilepticus. Seizure. 2019;68:79-88. doi: 10.1016/j.seizure.2018.08.004
- Sills GJ, Rogawski MA. Mechanisms of action of currently used antiseizure drugs. Neuropharmacology. 2020;168:107966. doi: 10.1016/j.neuropharm.2020.107966
- Meldrum B. Status epilepticus: the past and the future. Epilepsia. 2007;48(Suppl 8):33-4. doi: 10.1111/j.1528-1167.2007.01343.x
- Hanada T. Ionotropic Glutamate Receptors in Epilepsy: A Review Focusing on AMPA and NMDA Receptors. Biomolecules. 2020;10(3):464. doi: 10.3390/biom10030464
- Sebastianutto I, Cenci MA. mGlu receptors in the treatment of Parkinson's disease and L-DOPA-induced dyskinesia. Current Opinion in Pharmacology. 2018;38:81-9. doi: 10.1016/j.coph.2018.03.003
- Celli R, Santolini I, Van Luijtelaar G, et al. Targeting metabotropic glutamate receptors in the treatment of epilepsy: rationale and current status. Expert Opinion on Therapeutic Targets. 2019;23(4):341-51. doi: 10.1080/14728222.2019.1586885
- Kotlinska JH, Bochenski M, Danysz W. The role of group I mGlu receptors in the expression of ethanol-induced conditioned place preference and ethanol withdrawal seizures in rats. European Journal of Pharmacology. 2011. 670(1):154-61. doi: 10.1016/j.ejphar.2011.09.025
- Cavarsan CF, Matsuo A, Blanco MM, et al. Maximal electro- shock-induced seizures are able to induce Homer1a mRNA expression but not pentylenetetrazole-induced seizures. Epilepsy & Behavior. 2015;44:90-5. doi: 10.1016/j.yebeh.2014.12.034
- Robbins MJ, Starr KR, Honey A, et al. Evaluation of the mGlu8 receptor as a putative therapeutic target in schizophrenia. Brain Research. 2007;1152:215-27. doi: 10.1016/j.brainres.2007.03.028
- Löscher W. Animal Models of Seizures and Epilepsy: Past, Present, and Future Role for the Discovery of Antiseizure Drugs. Neurochemical Research. 2017;42(7):1873-88. doi: 10.1007/s11064-017-2222-z
- Barton ME, Peters SC, Shannon HE. Comparison of the effect of glutamate receptor modulators in the 6 Hz and maximal electroshock seizure models. Epilepsy Research. 2003;56(1):17-26. doi: 10.1016/j.eplepsyres.2003.08.001
- Fadyukova OE, Kuzenkov VS, Koshelev VB, et al. Semax prevents from the excess nitric oxide production caused by incomplete global ischemia in rat brain. Experimental and Clinical Pharmacology. 2001;64(2):31-4. (In Russ).
- Vishnoi S, Raisuddin S, Parvez S. Glutamate Excitotoxicity and Oxidative Stress in Epilepsy: Modulatory Role of Melatonin. Journal of Environmental Pathology, Toxicology and Oncology. 2016;35(4):365-74. doi: 10.1615/JEnvironPatholToxicolOncol.2016016399
- Bratek E, Ziembowicz A, Bronisz A, et al. The activation of group II metabotropic glutamate receptors protects neonatal rat brains from oxidative stress injury after hypoxia-ischemia. PLoS One. 2018;13(7):e0200933. doi: 10.1371/journal.pone. 0200933
- Bashkatova VG, Sudakov SK, Prast H. Antagonists of metabotropic glutamate receptors prevent the development of audiogenic seizures. Bulletin of Experimental Biology and Medicine. 2015;159(1):A001. (In Russ). doi: 10.1007/s10517-015- 2874-0
- Kohara А, Nagakura Y, Kiso T, et al. Antinociceptive profile of a selective metabotropic glutamate receptor 1 antagonist YM-230888 in chronic pain rodent models. European Journal of Pharmacology. 2007;571(1):8-16. doi: 10.1016/j.ejphar.2007.05.030
- Ohkawa H, Ohishi N, Yagi K. Assay for lipid peroxides in animal tissues by thiobarbituric acid reaction. Analytical Biochemistry. 1979;95(2):351-8. doi: 10.1016/0003-2697(79)90738-3
- Palma E, Ruffolo G, Cifelli P, et al. Modulation of GABAA Receptors in the Treatment of Epilepsy. Current Pharmaceutical Design. 2017;23(37):5563-8. doi: 10.2174/1381612823666170809100230
- Voronina TA. Geroprotective effects of ethylmethylhydro- xypyridine succinate in an experimental study. Zhurnal Nevrologii i Psikhiatrii imeni S.S. Korsakova. 2020;120(4):81-7. (In Russ). doi: 10.17116/jnevro202012004181
Supplementary files





