Tactics of Endovascular Treatment of Patients with Coronary Heart Disease with Recurrent Coronary In-Stent Restenosis Using Second- and Third-Generation Stent Systems and Paclitaxel-Coated Balloon Catheters
- Authors: Shevchenko Y.L.1, Ermakov D.Y.1, Maslennikov M.A.1, Ul'bashev D.S.1, Vakhrameyeva A.Y.1
-
Affiliations:
- Saint-George Clinic of Thoracic and Cardiovascular Surgery of PirogovNational Medical and Surgical Center
- Issue: Vol 32, No 1 (2024)
- Pages: 5-16
- Section: Original study
- Submitted: 25.01.2024
- Accepted: 30.01.2024
- Published: 07.04.2024
- URL: https://journals.eco-vector.com/pavlovj/article/view/625996
- DOI: https://doi.org/10.17816/PAVLOVJ625996
- ID: 625996
Cite item
Abstract
INTRODUCTION: The binary in-stent restenosis (ISR) still remains the main factor limiting the effectiveness of percutaneous coronary intervention in the long-term period. Histologically, ISR is defined as neointimal hyperplasia leading to hemodynamically significant narrowing of the arterial lumen. Patients with coronary artery (CA) restenosis represent a particularly challenging group for endovascular treatment.
AIM: To compare effectiveness and safety of the endovascular correction of coronary in-stent restenosis using second- and third-generation stent systems and balloon angioplasty with a drug-coated balloon catheter.
MATERIALS AND METHODS: The study retrospectively included 62 patients with recurrent ISR after the previous endovascular correction. The patients underwent treatment with re-stenting in Saint George Clinic of Thoracic and Cardiovascular Surgery of the National Pirogov Medical Surgical Center in 2016–2023 with use of second- and third-generation drug-eluting stents — cobalt (cobalt alloy) systems with zotarolimus, cobalt-chromium stent systems with sirolimus and zotarolimus, platinum-chromium stent systems with everolimus with biodegradable drug coating. Balloon angioplasty was performed using paclitaxel-coated balloon catheters. The primary endpoint of the study was the target lesion failure (TLF) of CA. The secondary endpoint was major adverse cardiovascular events (MACE).
RESULTS: The TLF rate was 15.6% vs. 13.3% and 28.1% vs. 46.7% in the groups with use of a drug-eluting stent and balloon angioplasty at 1- and 2-year follow-up, respectively (p = 0.30). MACE was recorded in 18.8% vs. 16.7% and 37.5% vs. 56.7% of cases in the groups with use of a drug-eluting stent and balloon angioplasty at 1- and 2-year follow-up, respectively (p = 0.25). The dispersion analysis of predictors of TFL risks identified three factors showing a reliable correlation with the probability for TFL by the second follow-up year in both groups: (1) recurrence of binary ISR (hazard ratio (HR) 2.21; 95% confidence interval (CI) 0.95–4.01; p = 0.03)) in 365 days after the third stage of the percutaneous coronary intervention; (2) length of coronary restenotic lesion (per every 10 mm) (HR 1.25; 95% CI 0.99–1.40; p = 0.002); (3) occlusive restenosis (HR 4.16; 95% CI 0.43–26.96; p = 0.04).
CONCLUSIONS: The implantation of a second- and third-generation drug-eluting stent and balloon angioplasty with use of a drug-coated catheter are comparable in the effectiveness and safety in correcting the recurrent ISR, however, restenting is associated with a lower probability for developing TFL and adverse events.
Full Text
LIST OF ABBREVIATIONS
BAP — balloon angioplasty
BMS — baremetalstent
CA — coronary artery
CAG — coronary angiography
CHD — coronary heart disease
CI — confidence interval
DCBC — drug-coated balloon catheter
DES — drug-elutingstent
HR — hazard ratio
ISR — in-stent restenosis
MACE — Major Adverse Cardiovascular Events
MI — myocardial infarction
MLD — minimal lumen diameter
PCI — percutaneous coronary intervention
TLF — target lesion failure
TLR — target lesion revascularization
INTRODUCTION
Coronary heart disease (CHD) is one of the most common cardiovascular diseases accounting for more than 50% of mortality in this group of patients. The World Health Organization and the World Heart Federation have set a global task of reducing premature mortality from cardiovascular diseases by 25% by 2025 [1].
Currently, percutaneous coronary interventions (PCIs) are a fairly safe and effective treatment method for patients with CHD. Balloon angioplasty (BAP) with coronary stenting (CS) has become the most frequently performed minimally invasive surgery in the world. In the USA, more than 1 million coronary stenting operations are performed annually, and in Russia — 225 thousand. Despite the improvement of the devices for implantation in the coronary artery, binary in-stent restenosis (ISR) still remains the main factor limiting the long-term effectiveness of PCI [2].
Yu L Shevchenko, et al. (2019, 2020, 2022) note that ISR is histologically determined as hyperplasia of neointima, which leads to hemodynamically significant narrowing of the arterial lumen. BAP and stent implantation procedures are associated with destruction of the endothelial cell layerand damage to the intima and media with the resulting exposure of thrombogenic sub endothelium and activation of platelets with simultaneous impairment of cell glycocalyx permeability. The further cascade of cell response to vascular damage after stent installation includes the formation of granulation tissue after migration of smooth muscle cells from media to intima and their proliferation, and also tissue remodeling with synthesis of extracellular matrix proteins [3–5].
The appearance of the first generation drug-eluting stents (DES) (thick wall, permanent polymer) reduced the probability for ISR compared to bare metal stents (BMS). Introduction of DES with a thin strut and biocompatible polymer in X-ray surgical practice, the use of sirolimus, everolimus and other commercial limuses with similar chromatograms (second-generation DES) as cytostatic agents, permitted to reduce the frequency of the target lesion revascularization (TLR) to 15% or less. The further development of the third-generation stent systems with bioresorbable polymer, modification of methods of its application to the implant, and useof novel high-strength cobalt-chromium, platinum-chromium alloys, surgical steel as metal struts, permitted to increase the resistance of DES to restenosis (classification of stent generations according to Yu L Shevchenko (2022) and A Takkar (2018) [4, 6].
To date, the invasive approach is the optimal treatment strategy for patients with CHD with binary ISR. The coronary bypass surgery permits to radically solve the problem of ISR through creating an anastomosis distal to the previously installed stent, however, it is indicated for a small number of patients with ISR with anatomically severe and complex damage to the coronary bed. Thus, PCI seems to be the optimal treatment method for most patients with ISR.
To correct the coronary stent restenosis, PCI can be performed in the amount of re-stenting of the IRS area — stent-to-stent implantation or ISR angioplasty using drug-coated balloon catheter (DCBC). In a number of studies, the tactics of DES implantation in patients with ISR is noted to be more effective in terms of TLR and probability for occurrence of major adverse cardiovascular events (MACE). To this end, BAP with DCBC permits to avoid excessive metallization of the artery, to delay coronary stenting and to simultaneously preserve its possibility in the future. To note, the frequency of the target lesion failure (TLF) after correction of ISR using modern stent systems (of second generation and higher) is comparable with the primary PCI [7].
Thus, in a large study, S Cassese, et al. (2014), analyzed the frequency of ISR in 10,004 patients with CHD, who underwent PCI with use of BMS and DES of the first and second generations in 1998–2009. On the control coronary angiography (CAG) at 6-8 months, the frequency of binary ISR in groups of BMS, first-generation DES and DES with biocompatible polymer was 30.1%, 14.6% and 12.2%, respectively [8]. D Giacoppo, et al. (2020), studied the results of use of DCBC and DES in treatment of patients with ISR in DAEDALUS meta analysis. The work included a total of 710 patients with ISR-BMS (722 lesions) and 1,248 patients with ISR-DES (1377 zones of ISR). In patients of ISR-BMS cohort, no reliable difference was noted in TLR between the use of DCBC and DES (9.2% versus 10.2%, respectively) within 12 months. In patients of ISR-DES group, the TLR frequency was higher in BAP with DCBC and made 20.3% in comparison with DES re-implantation (13.4%; hazard ratio (HR): 1.58; 95% confidence interval (CI): from 1.16 to 2.13) [9].
Patients with recurrent coronary restenosis present a particularly challenging group for treatment. Implantation of a third stent in the zone of repeat ISR is associated with technical difficulties of the intervention and a higher risk for TLF and MACE. At the same time, BAP with DCBC (to reduce metallization of CA) leads to even higher frequency of reaching the above-mentioned endpoints in the long-term period.
In their work, M F Abdelmegid, et al. (2017) analyzed the results of endovascular treatment of patients with ISR and recurrence of ISR using DES implantation and BAP with paclitaxel-coated balloon catheter (BC). At the first stage of ISR correction, the TLRratein patients with DESwas 25% versus 49.1% in patients with BAP after 24 months of follow-up. Recurrent binary ISR was detected in 50% of subjects in the cohort of DES treatment for re-restenosis versus 60% of patients in the BAP group 2 years after X-ray surgical intervention [10]. H Kawamoto, et al. (2015) studied the effectiveness of endovascular correction of recurrentISR using second-generation DES and DCBC in 133 patients who underwent the third PCI in the period from 2008 to 2013. The average follow-up period of patients was 760 (interquartile interval: from 401 to 1,150) days. The total frequency of TLRat 2 year of follow-up was 27.7% in the second-generation DES group versus 38.3% in the BAP cohort; MACE (including TLR) — 28.8% in the first group and 43.5% in the second [11].
Given the very small number of scientific papers on X-ray correction of recurrent ISR, small sample sizes, lack of large studies and meta-analyses devoted to this problem, it seems extremely interesting and promising to analyze the effectiveness and safety of endovascular treatment of ISR using modern stent systems (including the third- generation ones) and paclitaxel-coated BC.
The aim of this study to compare the effectiveness and safety of endovascular correction of recurrent coronary in-stent restenosis using the second- and third-generation stent systems and balloon angioplasty with a drug-coated balloon catheter.
MATERIALS AND METHODS
The study retrospectively used the data of 62 patients with CHD with recurrent coronary in-stent restenosis, who underwent endovascular correction in the amount of PCI with use of the second- and third-generation DES or BAP with paclitaxel-coated balloon catheter from 2016 to 2023. Thirty sevenpatients previously underwent X-ray surgical intervention for ISR on the base of the department of X-ray surgical methods of diagnosis and treatment in Saint George Clinic of Thoracic and Cardiovascular Surgery (the Director — academician of Russian Academy of Sciences Yu. L. Shevchenko) of the Pirogov National Medical and Surgical Center; 25 patients underwent previousPCI in other medical institutions.
Criterion for inclusion in the study: recurrence of binary ISR after the previous two stages of PCI with implantation of a stent in the zone of restenosis.
Exclusion criteria: CHD combined with hemo-dynamically significant lesion of CA and heart valves; aneurysm of the left ventricle requiring reconstruc- tion; evident renal insufficiency; oncological pathology.
There were no significant differences in the clinical and angiographic characteristics of patients of both groups (Tables 1, 2). In DES group, a focal type of restenosis slightly predominated — 19 (54.3%) lesions against 16 (45.7%). At same time, among type I ISR the most common type was local marginal (IB) type — 7 (20%) ISR, then ID — 5 (14.3%), IC — 4 (11.4%) and IA — 3 (8.6%) cases. In patients of BAP group, focal restenosis significantly predominated over non-focal one — 26 (76.5%) zones of restenosis against8 (23.5%). Most patients of the second cohort had a local in-stent (IC) type of ISR. Patients with local inter-stent (IA) and occlusive (IV) types of restenosis were not included in BAP group. Angiographically, there was no reliable difference in the severity of lesion in terms of the incidence rate of B2 and C type of coronary lesions. Seven (21.9%) subjects of the first group and five (16.7%) of the second group had restenosis in the stenting zone of bifurcation of the coronary artery. In total, 37 (100%) DES were installed in the first group, of which 27 (73%) were the second-generation stents, 10 (27%) — the third-generation ones. In the second group, all balloon cathetershad paclitaxel coating.
Table 1. Initial Clinical Characteristics of Patients (n = 62)
Criterion | Value | |
Age, M ± SD, years | 65.1 ± 4.9 | |
Male gender, n (%) | 46 (74.2) | |
Female gender, n (%) | 16 (25.8) | |
History of acute myocardial infarction, n (%) | 28 (45.2) | |
Acute myocardial infarction on inclusion, n (%) | 10 (16.1) | |
Chronic obstructive pulmonary disease, n (%) | 17 (27.4) | |
Smoking, n (%) | 42 (67.7) | |
Diabetes mellitus, n (%) | 23 (37.1) | |
Dyslipidemia, n (%) | 50 (80.6) | |
Body mass index, M ± SD, kg/m2 | 25.9 ± 5.2 | |
Left ventricular ejection fraction, M ± SD, % | 54.9 ± 5.3 | |
Arterial hypertension, n (%) | 49 (79.0) | |
History of acute cerebrovascular accident, n (%) | 3 (4.8) | |
Stable exertional angina, n (%) | 52 (83.9) | |
Functional class of stable exertional angina | II, n (%) | 9 (14.5) |
III, n (%) | 48 (77.4) | |
IV, n (%) | 5 (8.1) | |
Table 2. Preoperative Angiographic Characteristics of Patients (n = 62)
Parameters | Study Groups | ||
Drug-Eluting Stent | Balloon Angioplasty | ||
Number of patients, n (%) | 32 (51.6) | 30 (48.4) | |
Number of stented areas of coronary arteries, n (%) | 35 (50.7) | 34 (49.3) | |
Left main coronary artery, n (%) | 2 (5.7) | 1 (2.9) | |
Anterior descending artery, n (%) | 15 (42.9) | 13 (38.2) | |
Circumflex coronary artery, n (%) | 7 (20.0) | 9 (26.5) | |
Right coronary artery, n (%) | 13 (37.1) | 12 (35.3) | |
First Stage of Percutaneous Coronary Intervention | |||
Total implanted stents at the first stage, n (%) | 38 (100.0) | 36 (100.0) | |
Type (generation) of stent implanted at the first stage | Bare metal stent, n (%) | 3 (7.9) | 2 (5.6) |
First-generation drug-eluting stent, n (%) | 3 (7.9) | 4 (11.1) | |
Second-generation drug-eluting stent, n (%) | 22 (57.9) | 19 (52.8) | |
Third-generation drug-eluting stent, n (%) | 10 (26.3) | 11 (30.6) | |
Stent length, M ± SD, mm | 21.1 ± 7.6 | 22.8 ± 9.0 | |
Implanted stent diameter, M ± SD, mm | 3.1 ± 0.4 | 2.9 ± 0.4 | |
Second Stage of Percutaneous Coronary Intervention | |||
Total implanted stents at the second stage, n (%) | 37 (100.0) | 34 (100.0) | |
Type (generation) of stent implanted at the second stage | Bare metal stent, n (%) | – | – |
First-generation drug-eluting stent, n (%) | – | – | |
Second-generation drug-eluting stent, n (%) | 26 (70.3) | 22 (64.7) | |
Third-generation drug-eluting stent, n (%) | 11 (29.7) | 12 (35.3) | |
Stent length, M ± SD, mm | 23.5 ± 7.1 | 22.6 ± 8.2 | |
Implanted stent diameter, M ± SD, mm | 3.1 ± 0.5 | 3.0 ± 0.6 | |
Third Stage of Percutaneous Coronary Intervention | |||
Type of restenosis | |||
Local inter-stent (IA), n (%) | 3 (8.6) | – | |
Local marginal (IB), n (%) | 7 (20.0) | 8 (23.5) | |
Local in-stent (IC), n (%) | 4 (11.4) | 15 (44.1) | |
Multifocal (ID), n (%) | 5 (14.3) | 3 (8.8) | |
Diffuse in-stent (II), n (%) | 7 (20.0) | 6 (17.6) | |
Proliferative (III), n (%) | 6 (17.1) | 2 (5.9) | |
Occlusive (IV), n (%) | 3 (8.6) | – | |
Type of lesion B2/C, n (%) | 22 (68.8) | 21 (70.0) | |
Restenosis in the zone of stenting of coronary artery bifurcation, n (%) | 7 (21.9) | 5 (16.7) | |
Optical coherent tomography, n (%) | 3 (9.4) | – | |
Intravascular ultrasound, n (%) | 4 (12.5) | 3 (10.0) | |
Number of installed stents, n (%) | 37 (100.0) | – | |
Type (generation) of stent implanted at the third stage | Second generation-drug eluting stent, n (%) | 27 (73.0) | – |
Third generation-drug eluting stent, n (%) | 10 (27.0) | – | |
Stent length, M ± SD, mm | 24.6 ± 8.5 | – | |
Implanted stent diameter, M ± SD, mm | 3.0 ± 0.5 | – | |
Balloon catheter length, M ± SD, mm | – | 22.0 ± 0.5 | |
Balloon catheter diameter, M ± SD, mm | – | 3.1 ± 0.5 | |
Pressure of drug coated balloon catheter, M ± SD, atm. | – | 12.6 ± 4.5 | |
All 62 (100%) patients underwent a total of69coronary restenoticlesions at the third stage of endovascular intervention. All participants of the study signed an informed consent. The second- and third-generation stents were installed in 32 patients, 30 patients underwent BAP with DCBC. In DES group, 2 (5.7%) patients underwent PCI on the left main coronary artery, 15 (42.9%) — on the anterior descending artery, 7 (20%) — on the circumflex artery, 13 (37.1%) — on the right coronary artery. In BAP group, 1(2.9%) patient underwent angioplasty of the left main coronary artery, 13 (38.2%) — of the anterior descending artery and its branches, 9 (26.5%) — of the circumflex artery, 12 (35.3%) — of the right coronary artery.
In the primary PCI, patients of the first group were implanted 38 coronary stents including 3 (7.9%) stents of the first, 22 (57.9%) of the second and 10 (26.3%) of the third generation, and 3 (7.9%) BMS. In BAP group, 36 stents were installed at this stage of X-ray surgical intervention. In BAP patients, the first-, second- and third-generation DES, and alsoBMS were used in primary PCI in 4 (11.1%), 19 (52.8%), 11 (30.6%) and 2 (5.6%) cases, respectively. The average lengths and diameter of the stents did not reliably differ — 21.1 ± 7.6 mm and 3.1 ± 0.4 mm in the first group, 22.8 ± 9.0 mm and 2.9 ± 0.4 mm in the second, respectively.
At the next stage of endovascular intervention, patients of DES group underwent X-ray surgical correction of ISR using 26 (70.3%) drug-eluting stent systems of the second and 11 (29.7%) of the third generation. Patients of DES group at this stage of PCI received 22 (64.7%) second-generation stents and 12 (35.3%) third-generation stents. The length and diameter of the implant averaged 23.5 ± 7.1 mm, 3.1 ± 0.5 mm in DES group and 22.6 ± 8.2 mm, 3.0 ± 0.6 mm in BAP group.
At the preoperative stage, selective multi-projection CAG was carried out on a Toshiba Infinix angiographic system (Japan) according tothe standard protocol with evaluation of the obtained results by two independent specialists. For all patients, anatomic risk was calculated on Syntax Score Iscale, and averaged 14.2 ± 7.1. To diagnose myocardial ischemia, 49 (70%) patients performeda loading test. In 29 patients, single-photon emission tomo- graphy of myocardium synchronized with electro- cardiogram with 99mТс-Technetril was conducted according to the standard protocol: the load was rest. Stress-echocardiography was performed in 20 (40.8%) patients.
In the process of coronary stenting, the patients were implanted the second-generation DES (cobalt (cobalt alloy) stent systems with zotarolimus, cobalt-chromium systems with sirolimus and zotarolimus)) and third-generation DES (platinum-chromium stent systems with everolimus, cobalt-chromium stent systems and sirolimus, rapamycin with biodegradable drug coating). In BAP group, angioplasty was performedusing BC coated with paclitaxel.
PCI was carried out according to the standard protocol (no signing of additional forms of Informed consent was required). After invasive access to the artery, the patient was intravenously introduced sodium heparin solution at a dose 100 U/kg. Before implantation of the stent or use of DCBC, the zone of restenosis was pre-dilated using a standard balloon catheter. In most cases in the DES group, post dilatation of the stented segment was performed using a high pressure balloon. The time of DCBC inflation was 45 ± 15 seconds. On the decision of the operating surgeon, intravascular ultrasound and optical coherent tomography were conducted in a part of patients.
The primary endpoint of the study was the need for revascularization of the target lesion of the carotid artery. The secondary endpoints were MACE: non-lethal myocardial infarction (MI), acute cerebrovascular accident and non-cardiac death.
In statistical processing, the correspondence of the data to normal distribution was evaluated in Statistica 12 software (Stat Soft Inc., USA). The parameters of descriptive statistics included determination ofthe number of observations (n), the mean value (M), the standard deviation (SD), the median (Me). To make a judgment about the significance of differences of quantitative variables in case of distribution close to normal, Student’s t-test was used. In cases where the distribution wasdifferent from normal, the analysis was performed using non-parametric Wilcoxon test and Mann–Whitney U-test.
The results of identification of a significant in-stent restenosis within 24 months were analyzed using Kaplan–Meier method, the evaluation graph represented a stepped line, the function values between the observation points were considered constants. The significance of the effect of risk factors on the development of TLF was determinedin the analysis of variance (ANOVA). The results are presented in the form of HR and 95% CI. The differences were considered statistically significant at p < 0.05.
RESULTS
The quantitative analysis at the final stage of PCI showed that the minimal lumen diameter (MLD) and residual stenosis were greater in the DES group and averaged in patients with DES and BAP 2.7 ± 0.5 mm and 2.4 ± 0.5 mm, 5.6 ± 8.5% and 11.9 ± 7.9%, respectively (p = 0,001; Table 3).
Table 3. PerioperativeQuantitative Analysis of Coronary Angiography Data
Parameters | Study Groups | p | |
Drug-Eluting Stent | Balloon Angioplasty | ||
Number of patients, n (%) | 32 (51.6) | 30 (48.4) | – |
Number of damages, n (%) | 35 (50.7) | 34 (49.3) | – |
Quantitative Analysis before Percutaneous Coronary Intervention | |||
Reference diameter of vessel, M ± SD, mm | 3.1 ± 0.5 | 3.0 ± 0.6 | > 0.05 |
Minimal lumen diameter, M ± SD, mm | 0.7 ± 0.4 | 0.8 ± 0.4 | > 0.05 |
Restenosis degree, M ± SD, % | 79.2 ± 15.6 | 81.8 ± 14.9 | > 0.05 |
Lesion length, M ± SD, mm | 20.1 ± 8.1 | 19.5 ± 7.5 | > 0.05 |
Quantitative Analysis after Percutaneous Coronary Intervention | |||
Minimal lumen diameter, M ± SD, mm | 2.7 ± 0.5 | 2.4 ± 0.5 | 0.001 |
Residual stenosis, M ± SD, % | 5.6 ± 8.5 | 11.9 ± 7.9 | 0.001 |
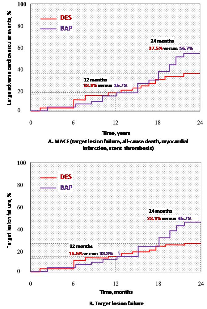
The average follow-up period was 770 ± 301 days. The frequency of major adverse cardiovascular events was comparable in both groups at 1 year — 6 (18.8%) in patients with DES and 5 (16.7%) in BAP group. At the same time, the main share of MACE was represented by TLR. At the second year of follow-up, MACE was recorded in 12 cases (35.5%) in patients of the DES group versus 17 (56.7%) in the BAP cohort. The need for TLR arose in 5 (15.6%) and 9 (28.1%) patients with DES and in 4 (13.3%) and 14 (46.7%) patients who underwent BAP with DCBC at 1 and 2 years of follow-up, respectively. Thrombosis of the stented area developed in 1 subject of each group, non-lethal MI in 1 (3.1%) and 2 (6.7%) patients in DES and BAP groups, respectively (p = 0.21), and after stent implantation 1 patient died of cancer by the end of the follow-up period. Despite the fact that the difference in the occurrence of MACE (p = 0.25) and TLR (p = 0.30) was unreliable, the clinical outcomes in patients after DES installation were more favorable compared with patients who underwent BAP with DCBC (Table 4, Figure 1).
Table 4. Endpoints (Kaplan–Meier Method) at 1 and 2 Years
Parameters | Study Groups | p | |
Drug-Eluting Stent | Balloon Angioplasty | ||
Number of patientsх, n (%) | 32 (51.6) | 30 (48.4) | – |
Number of damages, n (%) | 35 (50.7) | 34 (49.3) | |
Large adverse cardiovascular events | |||
1 year, n (%) | 6 (18.8) | 5 (16.7) | 0.25 |
2 years, n (%) | 12 (37.5) | 17 (56.7) | |
All-cause death | |||
1 year, n (%) | 1 (3.1) | 0 (0) | – |
2 years, n (%) | 1 (3.1) | 0 (0) | |
Myocardial infarction | |||
1 year, n (%) | 0 (0) | 1 (3.3) | 0.21 |
2 years, n (%) | 1 (3.1) | 2 (6.7) | |
Target lesion revascularization | |||
1 year, n (%) | 5 (15.6) | 4 (13.3) | 0.30 |
2 years, n (%) | 9 (28.1) | 14 (46.7) | |
Stent thrombosis | |||
1 year, n (%) | 0 (0) | 0 (0) | 0.83 |
2 years, n (%) | 1 (3.1) | 1 (3.3) | |
Fig. 1. MACE (А) and target lesion failure (B) within 24 months after percutaneous coronary intervention (Kaplan–Meier method) in the study groups.
Notes: BAP — balloon angioplasty, DES — drug-eluting stent, MACE — Major Adverse Cardiovascular Events (large adverse cardiovascular events).
In the analysis of variance of predictors of TLF risk, three factors were identified that showed a reliable correlation with the probability for TLF by the 2nd follow-up year in both groups: (1) recurrence of binary ISR (HR 2.21; 95% IC 0.95–4.01; p = 0.03) in 365 days after the third stage of PCI; (2) the length of restenotic lesion of the coronary artery (foreach 10 mm) (HR 1,25; 95% CI 0.99–1.40; p = 0.002); (3) occlusive restenosis (HR 4.16; 95% CI 0.43–26.96; p = 0.04) (Table 5).
Table 5. Analysis of Variance of Predictors of Risk for Target Lesion Revascularization
Parameters | HR (95% CI) | p |
Drug coated balloon catheter | 1.24 (0.67–2.31) | 0.45 |
Recurrence of in-stent restenosis at 6 months | 1.82 (0.4–8.22) | 0.42 |
Recurrence of in-stent restenosis at 1 year | 2.21 (0.95–4.01) | 0.03 |
Focal restenosis | 0.95 (0.49–1.89) | 0.91 |
Diffuse restenosis | 1.33 (0.6–2.18) | 0.45 |
Occlusive restenosis | 4.16 (0.43–26.96) | 0.04 |
Bifurcation lesion | 1.46 (0.57–2.78) | 0.60 |
Left ventricular ejection fraction | 1.01 (0.95–1.04) | 0.98 |
Exertional angina | 1.15 (0.71–2.82) | 0.34 |
Intravascular ultrasound | 0.64 (0.13–1.55) | 0.36 |
Optical coherent tomography | 0.71 (0.22–1.68) | 0.31 |
Smoking | 1.67 (0.81–4.57) | 0.44 |
Diabetes mellitus | 1.33 (0.59–2.47) | 0.63 |
Length of lesion (for each 10 mm) | 1.25 (0.99–1.40) | 0.002 |
Diameter of stenosis (for each 10%) | 1.03 (0.79–1.27) | 0.56 |
Minimal lumen diameter after percutaneous coronary intervention | 1.11 (0.54–1.89) | 0.91 |
Notes: CI — confidence interval, HR — hazard ratio
DISCUSSION
Today, binary coronary restenosis remains the main factor limiting the effectiveness of PCI in the long-term period. The effectiveness and safety of X-ray surgical correction of ISR after the primary PCI have been analyzed in a number of large-scale studies [8, 9]. To note, in a vast majority of cases, such works do not give evaluation of the results of endovascular interventions in the zone of coronary restenosis with useofmodern DES with biodegradable coating (third generation). With this, using the scientific information search systems eLibrary (RSCI), CyberLeninka and Google Scholar, we failed to find systematized research works in the domestic literature on the problem of recurrent coronary in-stent restenosis after the previous interventionalcorrection of ISR. At the same time, having used NCBI/NLM(all databases),PubMed, Elsevier (Scopus) and Web of Science as searching tools for Internet resources, we noted only single one- and two-center works in English on the endovascular treatment of patients with recurrent ISR, and only one of them described the use of the second-generation DES [10, 11]. Thus, we believe that this study is the first domestic analysis of the results of X-ray surgical correction of ISR using the second- and third-generation DES, as well as paclitaxel-coated BC.
In our work, we noted a greater acute gainof TLF in patients who underwent DES implantation compared to BAP — 15.6% vs. 13.3%by the end of the first year; the results of using DES and DCBC for correction of ISR recurrence in the first 12 months were equal and did not show any reliable difference. By the second year of follow-up, despite the absence of reliable difference, the incidence of TLF was higher in patients who underwent BAP with DCBC compared to DES installation — 28.1% vs. 46.7% (p = 0.44). The results of correcting ISR recurrence obtained in our study were more satisfactory in comparison with the data of M F Abdelmegid, et al. (2016) — 40% vs. 43.3% (p > 0.05) and 50% vs.60% (p = 0.01) of TLF in the groups of DES re-stenting and BAP at 12 and 24 months of follow-up, respectively. In endovascular treatment of ISR, the authors used the first-generation Cypher® and Taxus® drug-eluting stents, which can explain the difference in the incidence of TLF and the rate of ISR increment. In general, the data obtained by us correlated with the results of study by H Kawamoto, et al. (2015). In this work, for correction of ISR recurrence, the authors used Xience V®, Xience Prime®, Promus®, Promus Element® DES with everolimus coating, Endeavor Resolute® DES with zotarolimus coating, А9 Nobori® and Biomatrix® stent systems with biolimus coating, as well as Cre8 BTK®DES with amfilimus coating. For medicinal angioplasty, the study used In. Pact Falcon® and Pantera Lux® paclitaxel-coated BCs. Just as in our study, in the work of H Kawamoto, et al. the rate of ISR growth at 1 year of follow-up prevailed in DES group compared to the group of BAP with DCBC. The TLF incidence was comparable with the data obtained by us at 1 and 2 years of follow-up — 12.5% vs. 10.9%, 27.7% vs. 38.3% in the group with use of thesecond-generation DES and BAP with DCBC (p = 0.21) [11].
The incidence of MACE in our study was 18.8% vs. 16.7% and 37.5% vs. 56.7% by the end of the 1st and 2nd year of follow-upin the first and second group, respectively (p = 0.25). TLF prevailed in MACE structure, other adverse events did not reliably differ between patients of both groups: MI — 1 (3.1%) and 2 (6.7%, p = 0.21), stent thrombosis — 1 (3.1%) and 1 (3.3%, p = 0.83), non-cardiac death — 1 (3.1%) and 0 cases in patents with DES and BAP, respectively. MACE incidence in the study by H Kawamoto, et al. in general, correlated with our data: 1 (1.8%) and 3 (7.6%) cases of acute MI (p = 0.19), 1 (1.8%) and 1 (2.9%) cases of thrombosis of the stented area, 2 (3.3% and 3.6%) all-cause deaths in DES and DCBC group (p = 0.88) [11].
When comparing the intraoperative angiographic parameters of quantitative QCA analysis at the end of surgical intervention,reliably more optimal parameters of MLD and residual stenosis were noted in our study in patients after DES implantation compared with medicinal BAP — 2.7 ± 0.5 mm and 5.6 ± 8.5% versus 2.4 ± 0.5 mm and 11.9 ± 7.9% (p = 0.001). According to M F Abdel-megid, et al. MLD was also reliably higher in patients of DES group — 2.4 ± 0.2 mm versus 2.1 ± 0.3 mm (p = 0.001) with a lower severity of residual stenosis — 12.6 ± 6.9% versus 20.8 ± 5.3% (p = 0.005). In the study by H Kawamoto, et al. the parameters of MLD and residual stenosis in patients after stenting were 2.65 ± 0.48 mm and 13.8 ± 7.6% and 2.34 ± 0.54 mm and in patients with BAP 18.2 ± 8.6% (p < 0.001) [10, 11].
In our study, the variance analysis of TLF risk predictors revealed three factors that showed a reliable correlation with the probability for TLF by the end of 2-year follow-up period in BAP and DES groups: recurrence of binary ISR, the length of restenotic lesion of CA (for each 10 mm) and occlusive restenosis. H Kawamoto, et al. determined 2 independent risk factors for TLF in univariate and multivariate analysis: recurrent restenosis of the stented area by the end of the 1st year of study (HR 2.02; 95% CI 1.02–3.98; p = 0.04 in univariate analysis; HR 2.43; 95% CI 1.14–5.18, p = 0.02 in multivariate analysis); the length of the ISR section (HR 1.21; 95% CI 1.07–1.37, p = 0.002 in univariate analysis; HR 1.15; 95% CI 1.00–1.32, p = 0.049 in multivariate analysis) [11].
CONCLUSIONS
- The use of the second- and third-generation drug-eluting stents provides more optimal angiographic parameters of the minimal lumen diameter of the coronary arteries and of their residual stenosis compared to angioplasty with paclitaxel-coated balloon catheters immediately after percutaneous coronary intervention for recurrence of in-stent restenosis.
- At 1 year after endovascular correction ofrecurrenceof in-stent restenosis, the second- and third-generation drug-eluting stents and paclitaxel-coated balloon catheters are equivalent in terms of the frequency of target lesion failure and adverse events. Two years after X-ray surgical intervention on coronary arteries for recurrent in-stent restenosis, the effectiveness and safety of implantation of second- and third-generation drug-eluting stents and drug balloon angioplasty are comparable; however, restenting is associated with a lower probability for target lesion failure and adverse events.
- Three factors reliably correlate with target lesion failure: recurrence of binary restenosis in 365 days after the third stage of percutaneous coronary intervention, length of restenotic lesion of the coronary artery, occlusive restenosis.
Thus, the data obtained in the course of the presented special study, arein general consistent with the results of few international works devoted to the issue of endovascular correction of recurrence of in-stent stenosis. One should admit that recurrence of in-stent restenosis is an infrequent phenomenon. A further differential analysis of the effectiveness and safety of using various modern stentsystems with biocompatible and biodegradable drug coatings in treatment for restenosis recurrence on more clinical material as far as the data are accumulated seems promising for prediction and improvement the results of treatment of this challenging category of patients.
ADDITIONALLY
Funding. This study was not supported by any external sources of funding.
Conflict of interests. The authors declare no conflicts of interests.
Contribution of the authors: Yu. L. Shevchenko — concept of study, editing; D. Y. Ermakov, M. A. Maslennikov, D. S. Ul’bashev, A. Y. Vakhrameyeva — acquisition and processingof the material, statistical processing, writing the text. The authors confirm the correspondence of their authorship to the ICMJE International Criteria. All authors made a substantial contribution to the conception of the work, acquisition, analysis, interpretation of data for the work, drafting and revising the work, final approval of the version to be published and agree to be accountable for all aspects of the work.
Финансирование. Авторы заявляют об отсутствии внешнего финансирования при проведении исследования.
Конфликт интересов. Авторы заявляют об отсутствии конфликта интересов.
Вклад авторов: Шевченко Ю. Л. — концепция исследования, редактирование; Ермаков Д. Ю., Масленников М. А., Ульбашев Д. С., Вахрамеева А. Ю. — сбор и обработка материала, статистическая обработка, написание текста. Авторы подтверждают соответствие своего авторства международным критериям ICMJE (все авторы внесли существенный вклад в разработку концепции и подготовку статьи, прочли и одобрили финальную версию перед публикацией).
About the authors
Yuriy L. Shevchenko
Saint-George Clinic of Thoracic and Cardiovascular Surgery of PirogovNational Medical and Surgical Center
Email: yur.leon@mail.ru
ORCID iD: 0000-0001-7721-315X
MD, Dr. Sci. (Med.), Professor
Russian Federation, MoscowDmitriy Yu. Ermakov
Saint-George Clinic of Thoracic and Cardiovascular Surgery of PirogovNational Medical and Surgical Center
Author for correspondence.
Email: ermakov.hs@gmail.com
ORCID iD: 0000-0002-8479-8405
MD, Cand. Sci. (Med.)
Mikhail A. Maslennikov
Saint-George Clinic of Thoracic and Cardiovascular Surgery of PirogovNational Medical and Surgical Center
Email: cardiologyru@gmail.com
ORCID iD: 0009-0003-3302-5167
MD, Cand. Sci. (Med.)
Russian Federation, MoscowDaniil S. Ul'bashev
Saint-George Clinic of Thoracic and Cardiovascular Surgery of PirogovNational Medical and Surgical Center
Email: dan103@mail.ru
ORCID iD: 0000-0003-3288-8414
MD, Cand. Sci. (Med.)
Russian Federation, MoscowAnastasiya Yu. Vakhrameyeva
Saint-George Clinic of Thoracic and Cardiovascular Surgery of PirogovNational Medical and Surgical Center
Email: vakhrameeva_n@mail.ru
ORCID iD: 0000-0003-2429-3015
MD, Cand. Sci. (Med.)
Russian Federation, MoscowReferences
- Bogatyreva KB, Azova MM, Aghajanyan AV, et al. Association of the ITGB3 gene T1565C polymorphism with the development of atherosclerosis and in-stent restenosis in patients with stable coronary artery disease. Research Results in Biomedicine. 2018;4(4):3–9. (In Russ).doi: 10.18413/2313-8955-2018-4-4-0-1
- Sostoyaniyeserdechno-sosudistoykhirurgii v RossiyskoyFederatsii — 2021 [Internet]. (In Russ). Available at: https://bakulev.ru/news/glavnoe/sostoyanie-serdechno-sosudistoy-khirurgii-v-rossiyskoy-federatsii-2021/. Accessed: 2024 January 30.
- Shevchenko YuL, Stojko YuM, Gudymovich VG, et al. Endothelial glycocalyx in ensuring the functioning of the cardiovascular system. Bulletin of Pirogov National Medical & Surgical Center. 2020;15(1):107–12. (In Russ). doi: 10.25881/BPNMSC.2020.60.73.019
- Shevchenko YuL, ErmakovDYu, Marchak DI. Dysfunction of coronary bypass grafts and stents after surgical myocardial revascularization in patients with coronary artery disease: pathogenesis, risk factors and clinical assessment. Bulletin of Pirogov National Medical & Surgical Center. 2022;17(3):94–100. (In Russ). doi: 10.25881/20728255_2022_17_3_94
- Abduzhamalova NM, Kabardieva MR, Merkulov EV, et al. Mechanisms of development of in stent restenosis in coronary patients. Kardiologicheskij Vestnik. 2016;(2):100–3. (In Russ).
- Digay AM. On the question of the antiproliferative coating of coronary stents. Patologiya Krovoobrashcheniya i Kardiokhirurgiya. 2018;22(2):22–9. (In Russ). doi: 10.21688/1681-3472-2018-2-22-29
- Viller AG, Kharpunov VF, Bolomatov NV, et al. Long-term outcome after endovascular treatment of coronary in-stent restenosis by paclitaxel-eluting balloons. Bulletin of Pirogov National Medical & Surgical Center. 2013;8(2):15–23. (In Russ).
- Cassese S, Byrne RA, Tada T, et al. Incidence and predictors of restenosis after coronary stenting in 10 004 patients with surveillance angiography. Heart. 2014;100(2):153–9. doi: 10.1136/heartjnl-2013-304933
- Giacoppo D, Alfonso F, Xu B, et al. Paclitaxel-coated balloon angioplasty vs. drug-eluting stenting for the treatment of coronary in-stent restenosis: a comprehensive, collaborative, individual patient data meta-analysis of 10 randomized clinical trials (DAEDALUS study). Eur Heart J. 2020;41(38):3715–28. doi: 10.1093/eurheartj/ehz594
- Abdelmegid MAKF, Ahmed TAN, Kato M, et al. Drug-eluting stents or balloon angioplasty for drug-eluting stent-associated restenosis: An observational follow-up study of first-time versus repeated restenosis. J Saudi Heart Assoc. 2017;29(2):76–83. doi: 10.1016/j.jsha.2016.10.001
- Kawamoto H, Ruparelia N, Latib A, et al. Drug-Coated Balloons Versus Second-Generation Drug-Eluting Stents forthe Management of Recurrent Multimetal-Layered In-Stent Restenosis. JACC Cardiovasc Interv. 2015;8(12):1586–94. doi: 10.1016/j.jcin.2015.04.032
- УДК 618-085:618.39-021.3
Supplementary files







