Evaluation of biological effectiveness of amino acid mixture as potential stimulator of synthetic processes in skeletal muscles
- Authors: Stogov M.V.1, Kireeva E.A.1
-
Affiliations:
- The Russian Ilizarov Scientific Center for Restorative Traumatologyand Orthopaedics
- Issue: Vol 26, No 2 (2018)
- Pages: 213-221
- Section: Original study
- Submitted: 19.07.2018
- Accepted: 19.07.2018
- Published: 20.07.2018
- URL: https://journals.eco-vector.com/pavlovj/article/view/9093
- DOI: https://doi.org/10.23888/PAVLOVJ2018262213-221
- ID: 9093
Cite item
Abstract
Background. The ability of certain amino acids to stimulate anabolic processes in skeletal muscles has been proved by fundamental research, which makes it important to search for effective agents based on amino acids for stimulation of synthetic processes in skeletal muscles.
Aim. To study the effect of oral administration of the original amino acid mixture (Larginine, Lmethionine, Lleucine, Lisoleucine) on protein, lipid and carbohydrate metabolism in skeletal muscles and liver of CBA male mice.
Material and Methods. Two series of experiments were performed. In the first series (n=36), the animals were divided into three groups. In group 1 (n = 12), the mice received a diet balanced in protein and carbohydrates for two months. The animals of group 2 (n=12) were kept on a carbohydrate, proteindepleted isocaloric diet, in which wheat gliadin served as the protein source. Mice of group 3 (n=12) were kept on a diet similar to the second group, in which deficit of protein was compensated for with the tested mixture of Lamino acids. In the animals of the second series (n=36) acute liver failure was modeled by a single intraperitoneal injection of 20% carbon tetrachloride solution (CTC) in olive oil. Three days after the injection of CTC, all animals of the second series were randomly divided into three groups, depending on the received diet.
Results. The results of the first series of experiments showed that compensation for protein deficiency with amino acid mixture reliably prevented excessive buildup of glycogen in muscles, led to a decrease in lipids in tissue, and also prevented reduction in the level of muscle protein. The results of the second series of experiments showed that intake of the amino acid mixture prevented loss of protein in muscles and supported the proteinsynthetic function of the liver.
Conclusion. The study demonstrated that the tested mixture, when taken orally, can prevent disorders of proteincarbohydratelipid ratio in the muscles.
Keywords
Full Text
At present, a significant part of fundamental research dedicated to search for means of stimulation of anabolism in muscles is taken by works on the application of low molecular weight compounds, primarily of amino acids, as stimulators [1, 2]. So, numerous model experiments show a significant anabolic effect of additional intake of both separate amino acids and of their mixtures, on muscles [3-5]. Here, it is noted that the most effective stimulators of anabolism in muscles are amino acids with branched hydrocarbyl [6, 7]. In this group of amino acids, the maximal anabolic activity is found in leucine [8]. Besides, effectiveness of peroral intake of arginine for stimulation of positive nitrogen balance was also demonstrated [9]. Synthesis of protein in muscles is to a different extent stimulated by additional intake of phenylalanine [10], glutamine [11], methionine [12]. Anabolic effect of dipeptides is under study [13].
Thus, the ability of certain amino acids to control protein metabolism in skeletal muscles is proved by fundamental research. Here it is evident that anabolic effect of amino acids may enhance in case of their complex use in certain combinations. In view of this, we developed a complex of amino acids (RF patent of invention № 2454227) consisting of L-line amino acids (leucine, isoleucine, methionine, arginine), for activation of protein anabolism in skeletal muscles.
Aim of work – to study the effect of peroral intake of the original amino acid mixture on the protein, carbohydrate, lipid metabolism in skeletal muscles and liver in experimental animals.
Materials and Methods
Active components of the mixture were amino acids of Sigma-Aldrich (USA) manufacture: L-arginine (Cat. №A5006), L-methio-nine (Cat. №M9625), L-leucine (Cat. №L8000), L-isoleucine (Кат. №I2752). Amino acids were mixed ex tempore in equal weight proportions (1:1:1:1) and dissolved in distilled water at 37°С on the basis of 0.5 g of mixture in 50 ml of water. Then this solution was used for impregnation of food (bread made of straight white wheat flour) which was dried at 37°С before being given to animals.
The experimental work was conducted on 72 male mice of CBA line of two months age, 25-30 g of weight. The animals were divided into two experimental series.
In the first series (n=36) the animals were arranged into two groups. The 1st group of mice (n=12) received the diet balanced in protein (3.3 g of digestible protein a day) and in carbohydrate. Animals of the 2nd group were kept on isocaloric carbohydrate diet with low content of protein (0.88 g of digestible protein a day) with wheat gliadin being a source of protein. Mice of group 3 (n=12) were given the diet similar to the second group in which deficit of protein was compensated for with the tested mixture of L-amino acids (leucine, isoleucine, arginine, methionine in proportion 1:1:1:1) in the quantity replenishing deficit of amine nitrogen. For drinking, all animals received distilled water at free access.
In the animals of the second series (n=36) a model of acute hepatic failure was created by a single intraperitoneal introduction of 20% carbon tetrachloride (CTC) solution in olive oil (RF patent № 2456927). Three days after the injection of CTC all animals of the second series were randomly divided into three groups depending on the diet they were given.
Animals of the 1st group of this series (n=12) received the usual diet balanced in protein (3.3 g of digestible protein a day) and in carbohydrates, within 2 months. Animals of the 2nd group (n=12) were kept on isocaloric carbohydrate diet with low content of protein (0.88 g of digestible protein per day) with wheat gliadin as a source of protein. Mice of the 3d group (n=12) were kept on the diet similar to the second group but with deficit of protein compensated for with the tested mixture of L-amino acids (leucine, isoleucine, arginine, methionine in proportion 1:1:1:1) in the quantity replenishing deficit of amine nitrogen. For drinking, all animal received distilled water at free access.
Six animals of each group were subject to euthanasia in a month after the beginning of the experiment, the other six animals – in two months. Euthanasia was conducted by decapitation after narcotization with diethyl ether.
The research was conducted with permission of the Ethics Committee of G.A. Ilizarov Russian Scientific Center for Restorative Traumatology and Orthopedics. The work was conducted with observance of the principles of animal welfare in compliance with the requirements of European Convention for the protection of vertebrate animals used for experimental and other scientific purposes, and the Directive A 2010/63/EU of European Parliament and the Council of 22.09.2010 on the protection of animals used for scientific purposes.
After euthanasia the skeletal muscles of hip were cleared of connective tissues, and preparation of the liver was made. The level of glycogen in the weighed amounts of the organs was detected: by indirect anthrone method in muscles, and by direct anthrone method in the liver [14]. After extraction with chloroform/methanol mixture (2:1), the content of the total lipids was detected in the liver and muscles by a gravimetric method [14]. A separate weighed amount of muscles was washed off from erythrocytes and grinded in 0.03M KCl solution at 5°С until a homogeneous homogenate was obtained, After 15 minutes of extraction the homogenate was centrifuged for 15 minutes at 14000g in Beckman & Coulter ultracentrifuge (USA). The total protein was detected in the supernatant fluid by Lowry method. Blood was taken by decapitation, and in the serum concentration of the total protein and urea was detected using Vital Diagnostic reagent sets (St.-Petersburg) in Stat Fax 1904+ biochemical photometer (USA).
Reliability of group-to-group differences in the studied parameters was determined using non-parametric Kruskal-Wallis test with subsequent multiple comparison using Dunn criterion. The data in the figures were presented in the form of median, 25÷75th percentile.
Results and Discussion
The effectiveness of the tested amino acid mixture for activation of protein anabolism in skeletal muscle was evaluated in parallel with evaluation of the concentration of glycogen and lipids in the liver, since it is known that the liver significantly influences the functional condition of skeletal muscles through utilization of muscle lactate, re-synthesis of glucose and redistribution of the pool of exogenous amino acids [15].
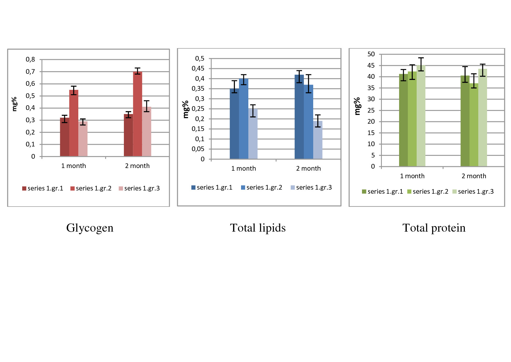
The results of the experiment in the first series of animals showed a statistically significant increase in the level of glycogen in the 2nd group of mice (with limitation of protein in food) in comparison with mice of the 1st and 3d groups, in parallel with increase in duration of protein limitation in food (Fig. 1). With this background, mice of this group showed a tendency to reduction in the level of the total protein in muscles.
In mice of the 3d group (with compensated protein deficit) the level of glycogen in muscles after 1 and 2 months of observation was reliably reduced relative to the 2nd group animals. The level of total lipids in muscles of the 3d group mice was significantly lower than of the 1st and in the 2nd groups. Mice of the 3d group showed a tendency to increase in the total protein in muscles relative to the 2nd group.
In the liver of mice of the 2nd group a significant increase in the level of glycogen was noted after 1 and 2 months of observation (Fig. 2). Concentration of the total lipids in the liver of mice of 2nd and 3d groups showed a statistically significant reduction relative to the 1st group.
Note: figures above the bars are the numbers of groups with which there existed statistically significant differences (р<0.05)
Fig. 2. Content of glycogen and total lipids in the liver of mice of the first series after 1 and 2 months of the experiment.
Note: figures above the bars are the numbers of groups with which there existed statistically significant differences (р<0.05)
Thus, the results of the first series of the experiment showed with statistical significance (in comparison with the 2nd group) that compensation for protein deficit with the tested amino acid mixture prevented excessive increase in glycogen in muscles, led to reduction in lipids in tissue and prevented reduction in protein in muscles. In our opinion it was also evident that intake of the tested mixture produced a regulatory effect on metabolism of carbohydrates in the liver preventing their excessive accumulation noted in the 2nd group of animals kept on the diet with excess of carbohydrates. The observed wide spectrum of influence of the studied amino acids on metabolism of the main substances in muscles and liver is probably associated with the fact that in conditions of protein deficit in a mammalian organism, the given amino acids may play a role of a systemic controller (cofactor) on both enzymatic and genetic level that agrees with the results of some previous works [6-9].
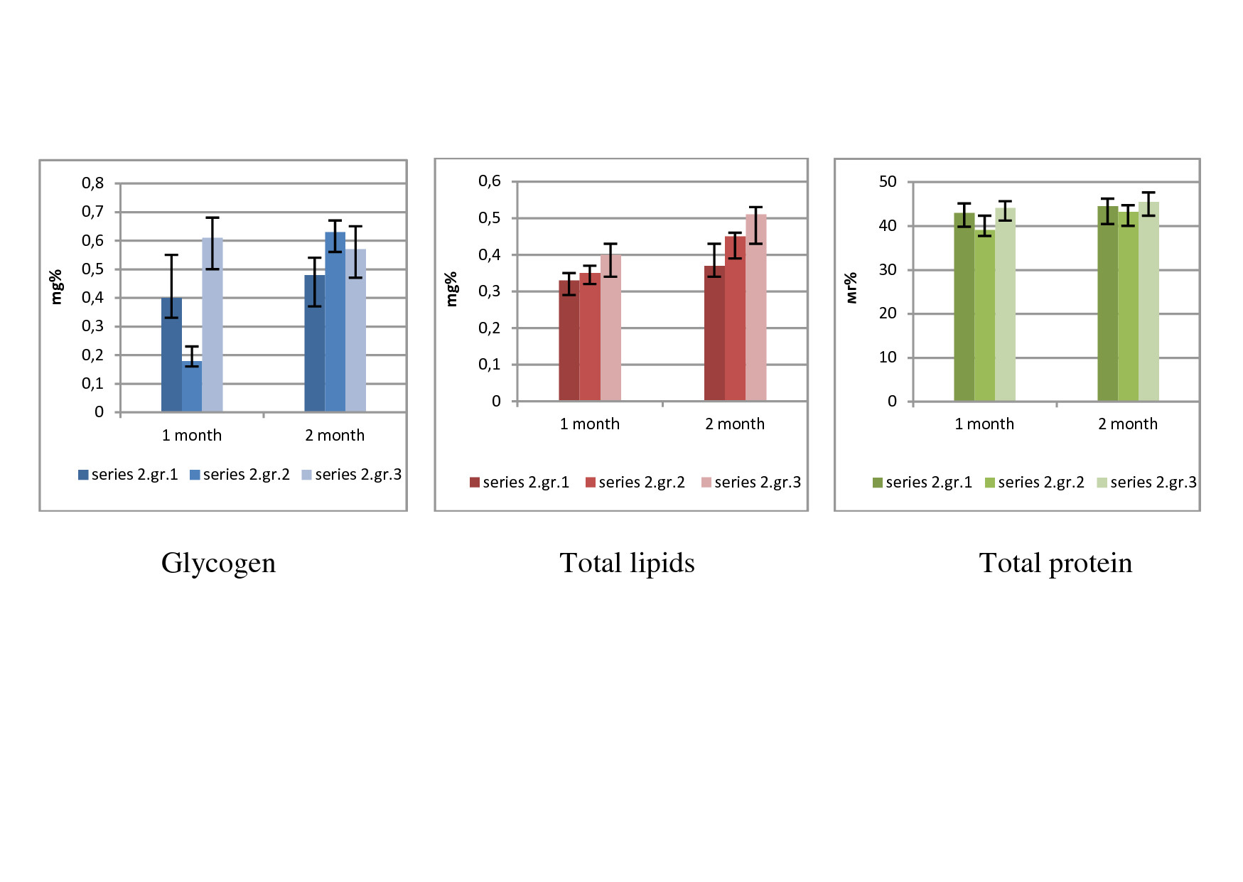
On the basis of the fact that the liver controls distribution of the pool of exogenous amino acids, we conducted the second series of experiments with modeling of acute hepatic failure. According to the results of this series, group 3 in contrast to group 2 showed a tendency for preservation of the content of protein in muscles at the level of the 1st group (Fig. 3). Besides, after 1 month of the experiment, in mice of the 3d group a significant increase in the content of glycogen in muscles and liver, and in the content of total lipids in the liver was noted in comparison with 2nd group (Fig. 4). This result may be attributed to the activating effect of the studied amino acid mixture on gluconeogenesis and lipogenesis in liver realized through direct involvement into the process of the products of deamination of consumed amino acids – alpha-ketoacids. These processes finally contributed to preservation of glycogen storages in the liver in mice of group 3.
The results of the second series of the experiment permit to make a conclusion that the tested amino acid mixture, on the one hand, can produce a direct myotropic effect and directly prevent loss of protein in muscles, and, on the other hand, it possesses an evident hepatotropic effect directed at compensation for nitrogenous deficit in the liver with the underlying deficit of proteins. This effect of the tested mixture helped maintain protein-synthesizing function of the liver that was confirmed by the data of examination of the blood serum. In particular, the level of the total protein in blood serum of the animals of the 3d group (with compensation of protein deficit) of the second series reliably increased after 2 months of the experiment as compared to animals of the 2nd group (protein deficit) of the same series. (Fig. 5). No significant reduction in synthesis of urea was noted either.
Fig. 3. Content of glycogen, total lipids and total protein in muscles of mice of the second series after 1 and 2 months of the experiment.
Note: figures above the bars are the numbers of groups with which there existed statistically significant differences (р<0.05)
Fig. 4. Concentration of glycogen and total lipids in the liver of mice of the second series after 1 and 2 months of the experiment.
Note: figures above the columns are the numbers of groups with which there existed statistically significant differences (р<0.05)
Fig. 5. Content of the total protein and urea in serum of mice of the second series after 1 and 2 months of the experiment.
Note: figures above the columns designate numbers of groups with which there existed statistically significant differences (р<0.05)
Conclusion
The conducted research showed that peroral intake of the tested mixture of amino acids (L-leucine, L-isoleucine, L-argi-nine, L-methionine in proportion 1:1:1:1) within 2 months can prevent disorders in protein-carbohydrate-lipid ratio in skeletal muscles of male mice of CBA line. This result can be explained both by direct activation of metabolism in tissue, and by indirect mechanisms of interorganic interaction with the liver.
Thus, the presented mixture of amino acids can be used as a potential composite drug that increases effectiveness of usage of dietary protein with the aim of activation of anabolic processes in skeletal muscles of animals and humans.
About the authors
Maxim V. Stogov
The Russian Ilizarov Scientific Center for Restorative Traumatology and Orthopaedics
Author for correspondence.
Email: stogo_off@list.ru
ORCID iD: 0000-0001-8516-8571
SPIN-code: 9345-8300
Grand PhD in Biological sciences, Associate Professor, Leading Researcher of Laboratory of Biochemistry
Russian Federation, 6, M.Ulianova St., Kurgan, 640005Elena A. Kireeva
The Russian Ilizarov Scientific Center for Restorative Traumatology and Orthopaedics
Email: stogo_off@list.ru
ORCID iD: 0000-0002-1006-5217
SPIN-code: 9598-0838
PhD in Biological sciences, Senior Researcher of Laboratory of Biochemistry
Russian Federation, 6, M.Ulianova St., Kurgan, 640005References
- Lieber RL, Jacks TM, Mohler RL, et al. Growth hormone secretagogue increases muscle strength during remobilization after canine hindlimb immobilization. J Orthop Res. 1997; 15(4):51927.
- Schertzer JD, Ryall JD, Lynch GS. Systemic administration of IGFI enhances oxidative status and reduces contractioninduced injury in skeletal muscles of mdx dystrophic mice. Am J Physiol Endocrinol Metab. 2006;291(3): E499E505. doi: 10.1152/ajpendo.00101.2006
- Hamel FG, Upward JL, Siford GL, et al. Inhibition of proteasome activity by selected amino acids. Metabolism. 2003;52(7):8104.
- Levi RS, Sanderson IR. Dietary regulation of gene expression. Curr Opin Gastroenterol. 2004;20(2):13942.
- Zhou P, Zhang L, Li J, et al. Effects of dietary crude protein levels and cysteamine supplementation on protein synthetic and degradative signaling in skeletal muscle of finishing pigs. PLoS One. 2015;10(9):e0139393. doi: 10.1371/ journal.pone.0139393
- Duan Y, Duan Y, Li F, et al. Effects of supplementation with branchedchain amino acids to lowprotein diets on expression of genes related to lipid metabolism in skeletal muscle of growing pigs. Amino Acids. 2016;48(9):213144. doi: 10.1007/s0072601622232
- Zheng L, Wei H, Cheng C, et al. Supplementation of branchedchain amino acids to a reducedprotein diet improves growth performance in piglets: involvement of increased feed intake and direct muscle growthpromoting effect. Br J Nutr. 2016;115(12): 223645. doi: 10.1017/S0007114516000842
- Duan Y, Li F, Li Y, et al. The role of leucine and its metabolites in protein and energy metabolism. Amino Acids. 2016;48(1):4151. doi: 10.1007/s0072601520671
- Holecek M, Sispera L. Effects of arginine supplementation on amino acid profiles in blood and tissues in fed and overnightfasted rats. Nutrients. 2016;8(4):206. doi: 10.3390/nu8040206
- Welle S, Bhatt K, Pinkert CA. Myofibrillar protein synthesis in myostatindeficient mice. Am J Physiol Endocrinol Metab. 2006;290(3): 40915. doi: 10.1152/ajpendo.00433.2005
- Wernerman J. Clinical use of glutamine supplementation. J Nutr. 2008;138(10):20404. doi: 10.1093/jn/138.10.2040S
- Hosford AD, Hergenreder JE, Kim JK, et al. Effects of supplemental lysine and methionine with zilpaterol hydrochloride on feedlot performance, carcass merit, and skeletal muscle fiber characteristics in finishing feedlot cattle. J Anim Sci. 2015;93(9):453244. doi:10.2527/ jas.20159047
- Dabrowski K, Terjesen BF, Zhang Y, et al. A concept of dietary dipeptides: a step to resolve the problem of amino acid availability in the early life of vertebrates. J Exp Biol. 2005; 208(15):288594. doi: 10.1242/jeb.01689
- Severin SE, Solov'eva GA, editors. Praktikum po biokhimii. Moscow: Izdatelstvo MGU; 1989. (In Russ).
- Stogov MV, Luneva SN, Tkachuk EA., et al. Interorganic relationship of energy metabolism substrates in mice for skeletal trauma. Genij Ortopedii. 2010;(3):402. (In Russ).
Supplementary files











